Performance of Bolt-Welded CFST Short Columns with Different Initial Imperfections: Experimental and Numerical Studies
Abstract
:1. Introduction
2. Experimental Program
2.1. Specimen Designs and Preparations
2.2. Test Set-Up
3. Experimental Results and Discussions
3.1. Failure Mode
3.2. Axial Load (N) Versus Axial Deformation (Δ) Responses
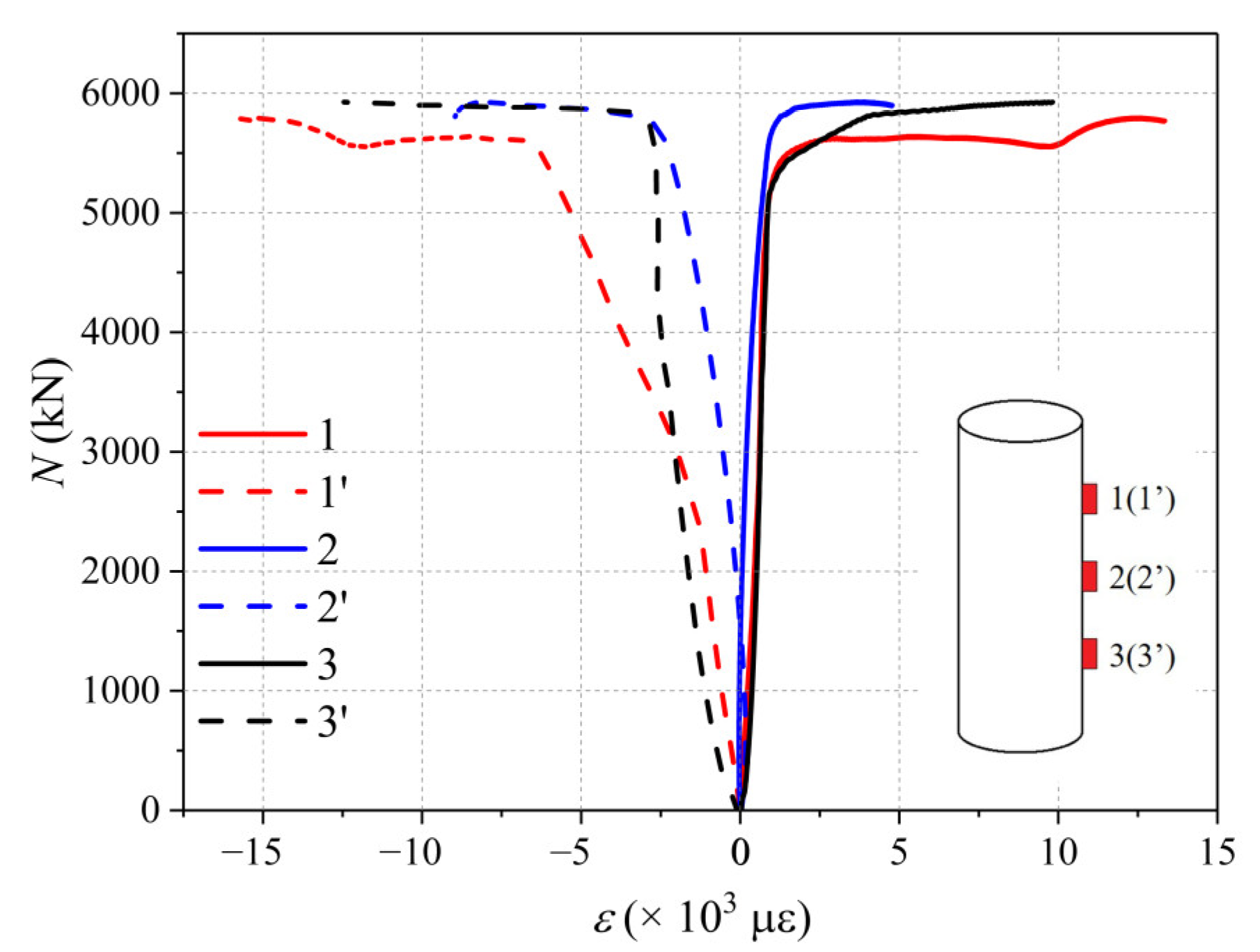
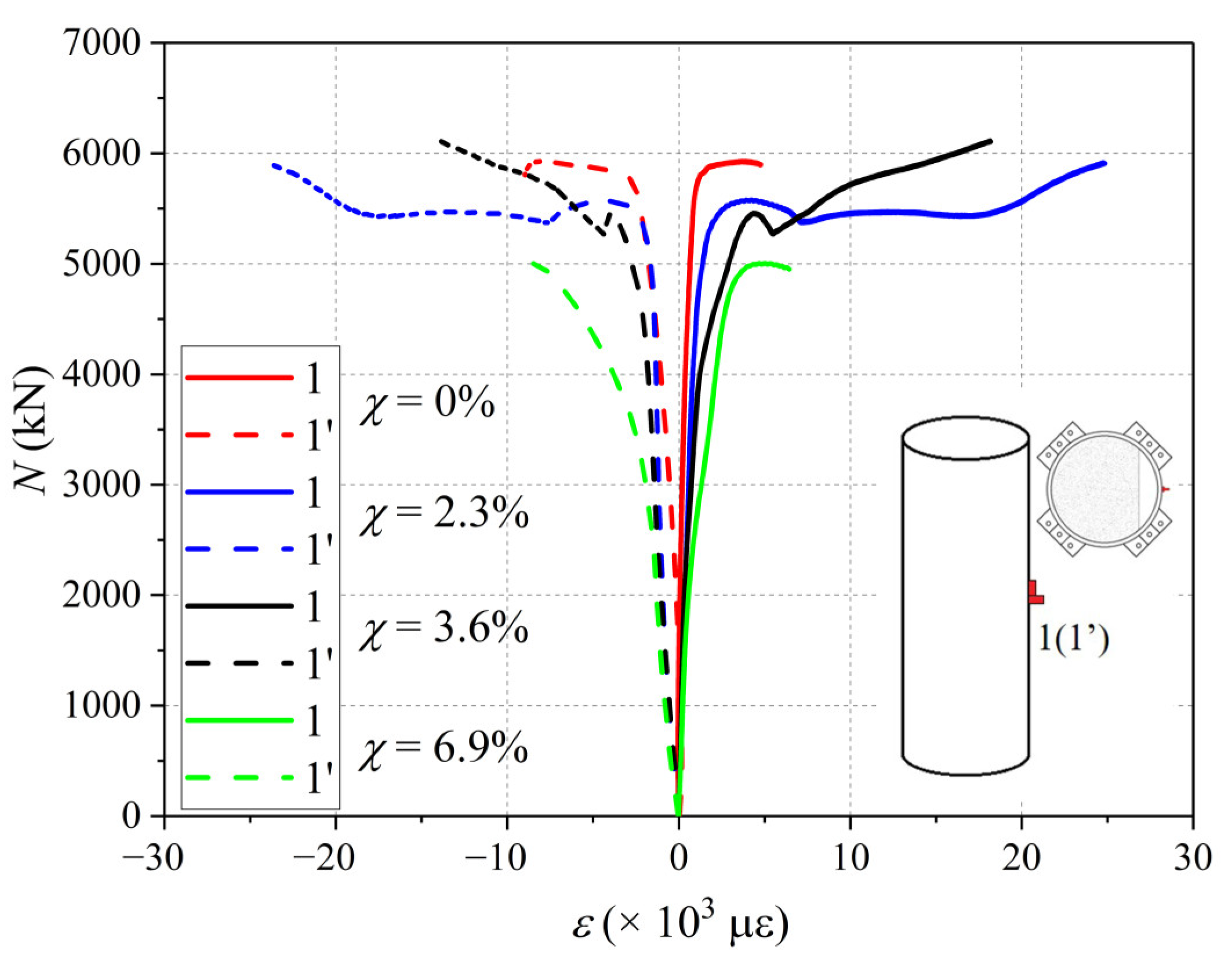
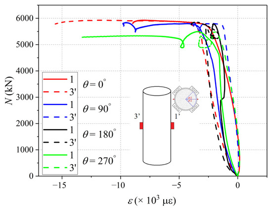
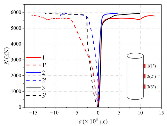
3.3. Strain Analysis
4. Numerical Analysis
4.1. Description of FEA Model
4.2. Validation of FEA Model
4.3. Numerical Analysis Results
5. Discussions
6. Conclusions
- The interfacial gap has limited influence on the performance of BWCFST short columns. The BWCFST short columns with interfacial gap present similar axial load (N) versus axial deformation (Δ) response compared with that of the normal BWCFST short column. Compared with the peak strength () of normal specimen, the peak strength of specimens with interfacial gap ratios () of 90°, 180° and 270° decrease by 2.11%, 2.48% and 5.99%, respectively.
- The spherical-cap gap has a significant influence on the performance of BWCFST short columns. When the spherical-cap gap ratio () increases from 2.3% to 6.9%, the peak strength loss of BWCFST short columns increases from 6.58% to 15.54%.
- All the BWCFST short columns exhibit the failure mode of local outward buckling and end buckling under axial compression. The increase of gap ratio will lead to more obvious buckling of the steel tube. In addition, due to the support of the flange at the middle height of the specimens, no buckling occurred at the bolt-welded joints of all the specimens.
- A finite element model for the analysis of BWCFST short columns with initial imperfections is established and verified by the experiment results. The simulated failure modes, axial load (N) versus axial deformation (Δ) response have good agreement with the experimental results.
- At the peak strength (), the existence of interfacial gap hardly changes the distribution of longitudinal stresses (S33) on the cross-section at the middle height of the specimens. The interaction stress (p) at the interface between the core concrete and the steel tube indicates that the steel tube still provides sufficient confinement for the core concrete with the presence of interfacial gap. Hence, all the BWCFST short columns with interfacial gap have the same peak strength under the ideal conditions of simulations. However, the bond between the core concrete and the steel tube is lost due to the gap. Therefore, when the increases, the post-peak bearing capacity of BWCFST short columns decreases, and more significant buckling of steel tube can be observed.
- It is found that the spherical-cap gap will lead to a significant weakening of the interaction stress (p), and change the distribution of longitudinal stresses (S33) on the cross-section at the middle height of the BWCFST short columns. The larger no-confinement region can be observed in the core concrete of the BWCFST short columns, which results in a reduction in peak strength ().
Author Contributions
Funding
Data Availability Statement
Conflicts of Interest
Nomenclature
| CFST | Concrete-Filled Steel Tube | Poisson’s ratio of steel | |
| BWCFST | Bolt-Welded CFST | Stress at proportional limit of steel | |
| FEA | Finite Element Analysis | Yield strength of steel | |
| H | Height of the column | Ultimate strength of steel | |
| h | Height of the cross-section of column | Cylinder compressive strength of concrete | |
| Interfacial gap ratio | Elastic modulus of concrete | ||
| Spherical-cap gap ratio | Poisson’s ratio of concrete | ||
| d | Dimension of spherical-cap gap | CDP | Concrete Damaged Plasticity |
| D | Outer diameter of the cross-section of steel tube | Strain at compressive strength of concrete | |
| Peak strength | Confinement factor | ||
| N | Axial load | Cross-section area of steel | |
| Δ | Strength index of BWCFST short column | Cross-section area of concrete | |
| SI | Uniaxial force | Characteristic strength of concrete | |
| Peak strength of BWCFST short column with gap | Cube strength of concrete | ||
| Peak strength of BWCFST short column without gap | Coefficient | ||
| Strain of BWCFST short column | Coefficient | ||
| Transverse strain of BWCFST short column | Fracture energy of concrete | ||
| Longitudinal strain of BWCFST short column | Uniaxial tensile strength of concrete | ||
| C3D8R | 3D eight-node solid linear reduced-integration | p | Interaction stress between the steel tube and core concrete at peak strength |
| Elastic modulus of steel | S33 | Longitudinal stress of core concrete |
References
- Liao, F.Y.; Han, L.H.; He, S.H. Behavior of CFST short column and beam with initial concrete imperfection: Experiments. J. Constr. Steel Res. 2011, 67, 1922–1935. [Google Scholar] [CrossRef]
- Han, L.H.; Li, W.; Bjorhovdeb, R. Developments and advanced applications of concrete-filled steel tubular (CFST) structures Members. J. Constr. Steel Res. 2014, 100, 211–228. [Google Scholar] [CrossRef]
- Nakai, H.; Matsui, S.; Yoda, T.; Kurita, A. Trends in Steel-Concrete Composite Bridges in Japan. Struct. Eng. Int. J. Int. Assoc. Bridge Struct. Eng. 1998, 8, 30–34. [Google Scholar] [CrossRef]
- Han, L.H.; Wang, W.H.; Yu, H.X. Analytical behaviour of RC beam to CFST column frames subjected to fire. Eng. Struct. 2012, 36, 394–410. [Google Scholar] [CrossRef]
- Schafer, B.W.; Peköz, T. Computational modeling of cold-formed steel: Characterizing geometric imperfections and residual stresses. J. Constr. Steel Res. 1998, 47, 193–210. [Google Scholar] [CrossRef]
- Selvaraj, S.; Madhavan, M. Geometric Imperfection Measurements and Validations on Cold-Formed Steel Channels Using 3D Noncontact Laser Scanner. J. Struct. Eng. 2018, 144, 4018010. [Google Scholar] [CrossRef]
- Sediek, O.A.; Wu, T.Y.; Chang, T.H.; McCormick, J.; El-Tawil, S. Measurement, Characterization, and Modeling of Initial Geometric Imperfections in Wide-Flange Steel Members Subjected to Combined Axial and Cyclic Lateral Loading. J. Struct. Eng. 2021, 147, 04021120. [Google Scholar] [CrossRef]
- Liao, F.Y.; Han, L.H.; Tao, Z. Behaviour of CFST stub columns with initial concrete imperfection: Analysis and calculations. Thin-Walled Struct. 2013, 70, 57–69. [Google Scholar] [CrossRef]
- Xue, J.Q.; Briseghella, B.; Chen, B.C. Effects of debonding on circular CFST stub columns. J. Constr. Steel Res. 2012, 69, 64–76. [Google Scholar] [CrossRef]
- Han, L.H.; Ye, Y.; Liao, F.Y. Effects of Core Concrete Initial Imperfection on Performance of Eccentrically Loaded CFST Columns. J. Struct. Eng. 2016, 142, 04016132. [Google Scholar] [CrossRef]
- Ye, Y.; Han, L.H.; Tao, Z. Effects of gaps on the behaviour of circular CFST members under shear. Eng. Mech. 2016, 33, 62–66. [Google Scholar] [CrossRef]
- Ye, Y.; Li, W.; Liu, X.J.; Guo, Z.X. Behaviour of concrete-filled steel tubes with concrete imperfection under axial tension. Mag. Concr. Res. 2021, 73, 743–756. [Google Scholar] [CrossRef]
- Zhang, W.J.; Liao, F.Y.; Li, W. Experimental study on the cyclic behavior of concrete-filled steel tubular (CFST) members with circular-segment gaps under combined comperssion-bending-torsion loading. Eng. Mech. 2019, 36, 121–133. [Google Scholar] [CrossRef]
- Liao, F.Y.; Zhang, W.J.; Han, H. Cyclic performance of circular concrete-filled steel tubular members with initial gap between tube and concrete core. Adv. Struct. Eng. 2020, 23, 174–189. [Google Scholar] [CrossRef]
- Zhu, H.Q.; Zhang, H.; Liu, L.S. Experimental Study on Cyclic Lateral Loaded Circular CFST Members with Initial Imperfections. Ksce. J. Civ. Eng. 2021, 25, 3064–3074. [Google Scholar] [CrossRef]
- Huang, Y.H.; Liu, A.R.; Fu, J.Y.; Pi, Y.L. Experimental investigation of the flexural behavior of CFST trusses with interfacial imperfection. J. Constr. Steel Res. 2017, 137, 52–65. [Google Scholar] [CrossRef]
- Chen, S.L.; Hou, C.; Zhang, H.; Han, L.H. Structural behaviour and reliability of CFST trusses with random initial imperfections. Thin Wall Struct 2019, 143, 106192. [Google Scholar] [CrossRef]
- Lu, Z.R.; Guo, C.; Li, G.C. Air void and ring gap effect on CFST arch bridges dynamic performance. J. Constr. Steel Res. 2021, 177, 106418. [Google Scholar] [CrossRef]
- Liu, X.C.; Pu, S.H.; Zhang, A.L.; Xu, A.X.; Ni, Z.; Sun, Y.; Ma, L. Static and seismic experiment for bolted-welded joint in modularized prefabricated steel structure. J. Constr. Steel Res. 2015, 115, 417–433. [Google Scholar] [CrossRef]
- Liu, X.C.; Tao, Y.L.; Chen, X.S.; Cui, F.Y. Seismic performance of welded-bolted joint between double channel beam and CFST column. Eng. Struct. 2021, 247, 113202. [Google Scholar] [CrossRef]
- Han, L.H.; An, Y.F. Performance of concrete-encased CFST stub columns under axial compression. J. Constr. Steel Res. 2014, 93, 62–76. [Google Scholar] [CrossRef]
- Ministry of Housing and Urban-Rural Development of the People’s Republic of China. Code for Design of Concrete Structures. (GB 50010-2010); China Architecture Industry Press: Beijing, China, 2010.
- ACI Committee 318; ACI 318: Building Code Requirements for Structural Concrete; American Concrete Institute: Farmington Hills, MI, USA, 2005.
- Lee, J.; Fenves, G.L. Plastic-Damage Model for Cyclic Loading of Concrete Structures. J. Eng. Mech. 1998, 124, 892–900. [Google Scholar] [CrossRef]
- Han, L.H.; Yao, G.H.; Tao, Z. Performance of concrete-filled thin-walled steel tubes under pure torsion. Thin Wall Struct 2007, 45, 24–36. [Google Scholar] [CrossRef]
- Hillerborg, A.; Modéer, M.; Petersson, P.E. Analysis of crack formation and crack growth in concrete by means of fracture mechanics and finite elements. Cem. Concr. Res. 1976, 6, 773–781. [Google Scholar] [CrossRef]
- International Federation for Structural Concrete. fib Model Code for Concrete Structures. (2010); Deutsche Nationalbibliothek: Lausanne, Switzerland, 2012. [Google Scholar]




























| Name | Dimension of Gap d × l (mm2) | (%) | (%) |
|---|---|---|---|
| A1 | - | - | |
| B1 | 5 × 63 | 2.3 | |
| B2 | 10 × 88 | 4.6 | |
| B3 | 15 × 106 | 6.9 | |
| C1 | - | - | 90 |
| C2 | - | - | 180 |
| C3 | - | - | 270 |
Publisher’s Note: MDPI stays neutral with regard to jurisdictional claims in published maps and institutional affiliations. |
© 2022 by the authors. Licensee MDPI, Basel, Switzerland. This article is an open access article distributed under the terms and conditions of the Creative Commons Attribution (CC BY) license (https://creativecommons.org/licenses/by/4.0/).
Share and Cite
Yu, P.; Ren, Z.; Yun, W.; Zhao, Y.; Xu, J. Performance of Bolt-Welded CFST Short Columns with Different Initial Imperfections: Experimental and Numerical Studies. Buildings 2022, 12, 1352. https://doi.org/10.3390/buildings12091352
Yu P, Ren Z, Yun W, Zhao Y, Xu J. Performance of Bolt-Welded CFST Short Columns with Different Initial Imperfections: Experimental and Numerical Studies. Buildings. 2022; 12(9):1352. https://doi.org/10.3390/buildings12091352
Chicago/Turabian StyleYu, Peng, Zhaoyong Ren, Weijing Yun, Ye Zhao, and Jinglei Xu. 2022. "Performance of Bolt-Welded CFST Short Columns with Different Initial Imperfections: Experimental and Numerical Studies" Buildings 12, no. 9: 1352. https://doi.org/10.3390/buildings12091352
APA StyleYu, P., Ren, Z., Yun, W., Zhao, Y., & Xu, J. (2022). Performance of Bolt-Welded CFST Short Columns with Different Initial Imperfections: Experimental and Numerical Studies. Buildings, 12(9), 1352. https://doi.org/10.3390/buildings12091352

