Mechanism of Improving Heat-Affected Zone Toughness of Steel Plate with Mg Deoxidation after High-Heat-Input Welding
Abstract
1. Introduction
2. Experimental Methods
2.1. Experimental Steel Preparation
2.2. Welding Thermal Simulation Experiments
2.3. Microstructure and Inclusion/Precipitate Analysis
3. Experimental Results
3.1. Microstructure and Toughness of Base Metal and HAZ
3.2. Characteristics of Inclusions/Precipitates in HAZ Microstructures
3.2.1. Characteristics of Micron Size Inclusions
3.2.2. Characteristics of Nanoscale Particles
3.2.3. Thermodynamic Calculation of Evolution of Inclusions/Precipitates
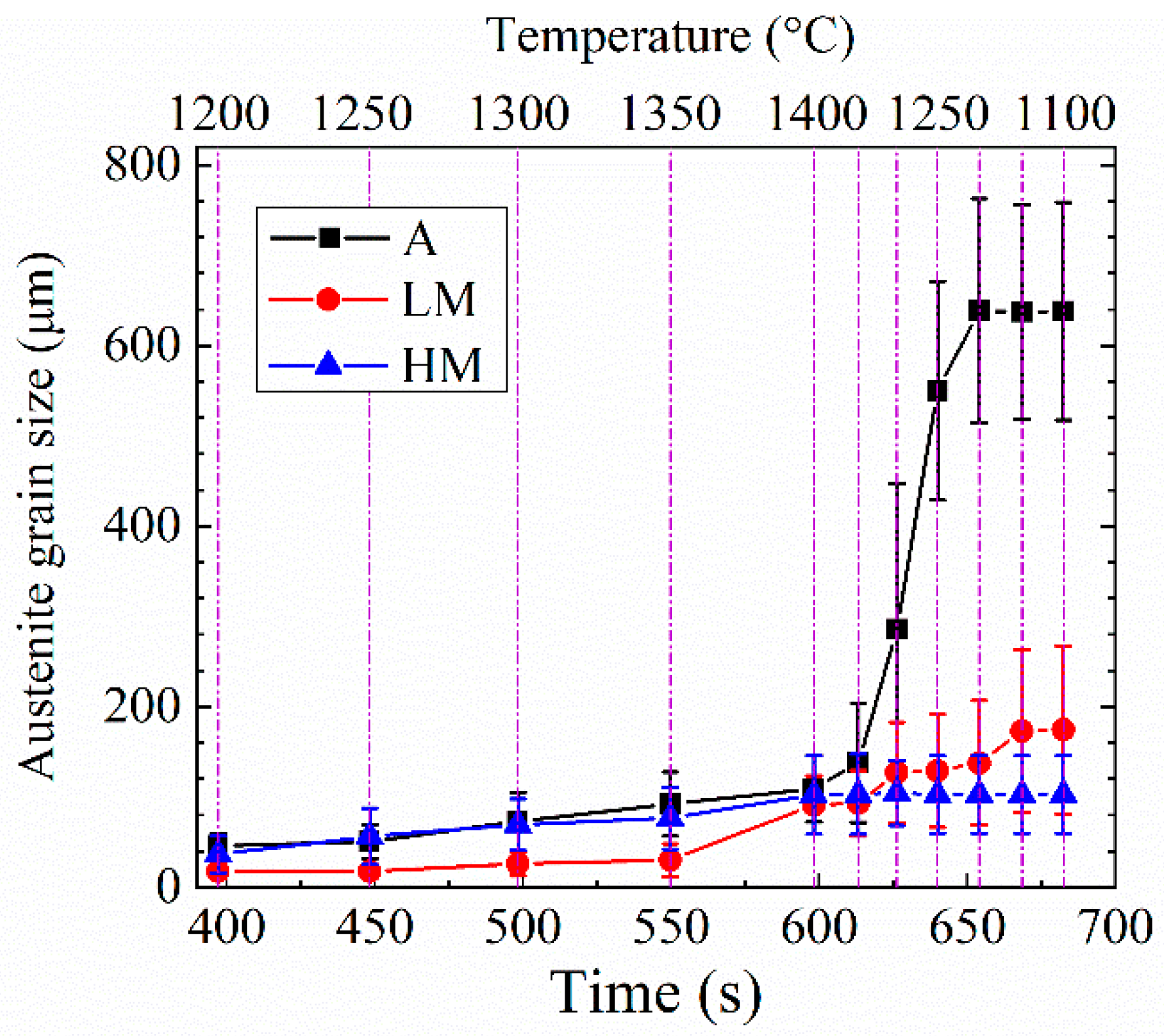
3.3. Growth Behavior of Austenite Grains
4. Discussion
4.1. Effect of Mg Content on the Behavior of Ti-Containing Inclusions
4.2. Role of Mg Deoxidation on Improving HAZ Toughness
5. Conclusions
- The microstructure in the base metal of steels with Mg deoxidation containing low and high-level Mg contents (LM and HM) were both fine bainite, as well as the steel with the conventional Al deoxidation (A), resulting in the excellent toughness of base metals. After the simulated welding with the heat-input of 400 kJ/cm, compared with base metals, the toughness of HAZ of A, LM, and HM were decreased by 88.59%, 25.66%, and 23.63%, respectively. The intragranular acicular ferrite (IAF) and polygonal ferrite (PF) contributed to the improvements of HAZ toughness of LM and HM, respectively.
- With the increase of Mg content in steel with Mg deoxidation, the oxide in micron size inclusion was firstly changed to MgO-Ti2O3, then to MgO with the further increase in Mg content in steel. The formation of nanoscale TiN particles was promoted more obviously with the higher Mg content in the steel.
- The micron size MgO-Ti2O3+MnS inclusion could effectively induce the formation of IAF. The growth rates of austenite grains at the high-temperature stage (1400~1250 °C) during the HAZ thermal cycle of A, LM, and HM were 10.55, 0.89, 0.01 μm/s, respectively. It was indicated that nanoscale TiN particles formed in steel with Mg deoxidation were effective to inhibit the growth of austenite grain.
- The excellent HAZ toughness of steel plates after welding with a heat input of 400 kJ/cm could be obtained by control of the Mg content in steel to selectively promote the formation of IAF or retard the growth of austenite grain.
Author Contributions
Funding
Acknowledgments
Conflicts of Interest
References
- Yang, J.; Zhu, K.; Wang, G.D. Progress in the Technological Development of Oxide Metallurgy for Manufacturing Steel Plates with Excellent Haz Toughness. Baosteel Technol. Res. 2008, 2, 43–50. [Google Scholar]
- Xu, L.Y.; Yang, J.; Wang, R.Z. Influence of Al Content on the Inclusion-Microstructure Relationship in the Heat-Affected Zone of a Steel Plate with Mg Deoxidation After High-Heat-Input Welding. Metals 2018, 8, 1027. [Google Scholar] [CrossRef]
- Lou, H.N.; Wang, C.; Wang, B.X.; Wang, Z.D.; Li, Y.Q.; Chen, Z.G. Inclusion Evolution Behavior of Ti-Mg Oxide Metallurgy Steel and its Effect on a High Heat Input Welding HAZ. Metals 2018, 8, 534. [Google Scholar] [CrossRef]
- Song, M.M.; Hu, C.L.; Song, B.; Zhu, H.Y.; Xue, Z.L.; Xu, R.S. Effect of Ti-Mg Treatment on the Impact Toughness of Heat Affected Zone in 0.15%C-1.31%Mn Steel. Steel Res. Int. 2018, 89, 1700355. [Google Scholar] [CrossRef]
- Sarma, D.S.; Karasev, A.V.; Jönsson, P.G. On the Role of Non-Metallic Inclusions in the Nucleation of Acicular Ferrite in Steels. ISIJ Int. 2009, 49, 1063–1074. [Google Scholar] [CrossRef]
- Lee, J.L.; Pan, Y.T. Effect of Sulfur Content on the Microstructure and Toughness of Simulated Heat-Affected Zone in Ti-Killed Steels. Metall. Trans. A 1993, 24, 1399–1408. [Google Scholar] [CrossRef]
- Mabuchi, H.; Uemori, R.; Fujioka, M. The Role of Mn Depletion in Intra-Granular Ferrite Transformation in the Heat Affected Zone of Welded Joints with Large Heat Input in Structural Steels. ISIJ Int. 1996, 36, 1406–1412. [Google Scholar] [CrossRef]
- Shim, J.H.; Byun, J.S.; Cho, Y.W.; Oh, Y.J.; Shim, J.D.; Lee, D.N. Mn Absorption Characteristics of Ti2O3 Inclusions in Low Carbon Steels. Scr. Mater. 2001, 44, 49–54. [Google Scholar] [CrossRef]
- Kang, Y.J.; Jang, J.H.; Park, J.H.; Lee, C.H. Influence of Ti On Non-Metallic Inclusion Formation and Acicular Ferrite Nucleation in High-Strength Low-Alloy Steel Weld Metals. Met. Mater. Int. 2014, 20, 119–127. [Google Scholar] [CrossRef]
- Hou, Y.H.; Zheng, W.; Wu, Z.H.; Li, G.Q.; Moelans, N.; Guo, M.X.; Khan, B.S. Study of Mn Absorption by Complex Oxide Inclusions in Al-Ti-Mg Killed Steels. Acta Mater. 2016, 118, 8–16. [Google Scholar] [CrossRef]
- Kimura, S.; Nakajima, K.; Mizoguchi, S. Behavior of Alumina-Magnesia Complex Inclusions and Magnesia Inclusions on the Surface of Molten Low-Carbon Steels. Metall. Mater. Trans. B 2001, 32, 79–85. [Google Scholar] [CrossRef]
- Karasev, A.V.; Suito, H. Characteristics of Fine Oxide Particles Produced by Ti/M (M=Mg and Zr) Complex Deoxidation in Fe-10 Mass%Ni Alloy. ISIJ Int. 2008, 48, 1507–1516. [Google Scholar] [CrossRef]
- Kim, H.S.; Chang, C.H.; Lee, H.G. Evolution of Inclusions and Resultant Microstructural Change with Mg Addition in Mn/Si/Ti Deoxidized Steels. Scr. Mater. 2005, 53, 1253–1258. [Google Scholar] [CrossRef]
- Chai, F.; Yang, C.F.; Hang, S.; Zhang, Y.Q.; Xu, Z. Effect of Magnesium on Inclusion Formation in Ti-Killed Steels and Microstructural Evolution in Welding Induced Coarse-Grained Heat Affected Zone. J. Iron Steel Res. Int. 2009, 16, 69–74. [Google Scholar] [CrossRef]
- Xu, L.Y.; Yang, J.; Wang, R.Z.; Wang, W.L.; Wang, Y.N. Effect of Mg Addition on Formation of Intragranular Acicular Ferrite in Heat-Affected Zone of Steel Plate After High-Heat-Input Welding. J. Iron Steel Res. Int. 2018, 25, 433–441. [Google Scholar] [CrossRef]
- Yang, J.; Xu, L.Y.; Zhu, K.; Wang, R.Z.; Zhou, L.J.; Wang, W.L. Improvement of HAZ Toughness of Steel Plate for High Heat Input Welding by Inclusion Control with Mg Deoxidation. Steel Res. Int. 2015, 86, 619–625. [Google Scholar] [CrossRef]
- Zhang, L.P.; Davis, C.L.; Strangwood, M. Effect of TiN Particles and Microstructure on Fracture Toughness in Simulated Heat-Affected Zones of a Structural Steel. Metall. Mater. Trans. A 1999, 30, 2089–2096. [Google Scholar] [CrossRef]
- Kato, T.; Sato, S.; Ohta, H.; Shiwaku, T. Effects of Ca Addition on Formation Behavior of TiN Particles and HAZ Toughness in Large Heat Input Welding. Kobe Steel Eng. Rep. 2011, 61, 32–35. [Google Scholar]
- Sennour, M.; Esnouf, C. Contribution of Advanced Microscopy Techniques to Nano-Precipitates Characterization: Case of AlN Precipitation in Low-Carbon Steel. Acta Mater. 2003, 51, 943–957. [Google Scholar] [CrossRef]
- Karmakar, A.; Kundu, S.; Roy, S.; Neogy, S.; Srivastava, D.; Chakrabarti, D. Effect of Microalloying Elements on Austenite Grain Growth in Nb-Ti and Nb-V Steels. Mater. Sci. Technol. 2014, 30, 653–664. [Google Scholar] [CrossRef]
- Li, X.B.; Zhang, T.S.; Min, Y.; Liu, C.J.; Jiang, M.F. Effect of Magnesium Addition in Low-Carbon Steel Part 1: Behaviour of Austenite Grain Growth. Ironmak. Steelmak. 2017, 46, 292–300. [Google Scholar] [CrossRef]
- Liu, Y.; Wan, X.L.; Li, G.Q.; Wang, Y.; Zheng, W.; Hou, Y.H. Grain Refinement in Coarse-Grained Heat-Affected Zone of Al-Ti-Mg Complex Deoxidised Steel. Sci. Technol. Weld. Join. 2018, 24, 43–51. [Google Scholar] [CrossRef]
- Kai, Z.; Jian, Y.; Wang, R.Z.; Yang, Z.G. Effect of Mg Addition on Inhibiting Austenite Grain Growth in Heat Affected Zones of Ti-Earing Low Carbon Steels. J. Iron Steel Res. Int. 2011, 18, 60–64. [Google Scholar]
- Xu, L.Y.; Yang, J.; Wang, R.Z.; Wang, Y.N.; Wang, W.L. Effect of Mg Content on the Microstructure and Toughness of Heat-Affected Zone of Steel Plate After High Heat Input Welding. Metall. Mater. Trans. A 2016, 47, 3354–3364. [Google Scholar] [CrossRef]
- Yan, N.; Yu, S.; Chen, Y. In Situ Observation of Austenite Grain Growth and Transformation Temperature in Coarse Grain Heat Affected Zone of Ce-Alloyed Weld Metal. J. Rare Earth. 2017, 35, 203–210. [Google Scholar] [CrossRef]
- Cao, Y.; Wan, X.; Hou, Y.; Niu, C.; Liu, Y.; Li, G. In Situ Observation of Grain Refinement in the Simulated Heat-Affected Zone of Al-Ti-0.05% Ce-Deoxidized Steel. Steel Res. Int. 2019, 90, 1900084. [Google Scholar] [CrossRef]
- Wan, X.L.; Wu, K.M.; Huang, G.; Wei, R.; Cheng, L. In Situ Observation of Austenite Grain Growth Behavior in the Simulated Coarse-Grained Heat-Affected Zone of Ti-Microalloyed Steels. Int. J. Miner. Metall. Mater. 2014, 21, 878–885. [Google Scholar] [CrossRef]
- Zhu, K.; Yang, Z.G. Effect of Magnesium on the Austenite Grain Growth of the Heat-Affected Zone in Low-Carbon High-Strength Steels. Metall. Mater. Trans. A 2011, 42, 2207–2213. [Google Scholar] [CrossRef]
- Baker, T.N. Titanium Microalloyed Steels. Ironmak. Steelmak. 2019, 46, 1–55. [Google Scholar] [CrossRef]
- Cao, L.; Wang, G.C.; Yuan, X.H.; Jin, P.L.; Sridhar, S. Thermodynamics and Agglomeration Behavior on Spinel Inclusion in Al-Deoxidized Steel Coupling with Mg Treatment. Metals 2019, 9, 900. [Google Scholar] [CrossRef]
- Zhang, T.S.; Liu, C.J.; Jiang, M.F. Effect of Mg on Behavior and Particle Size of Inclusions in Al-Ti Deoxidized Molten Steels. Metall. Mater. Trans. B 2016, 47, 2253–2262. [Google Scholar] [CrossRef]
- Zou, X.D.; Sun, J.C.; Matsuura, H.; Wang, C. Documenting Ferrite Nucleation Behavior Differences in the Heat-Affected Zones of Eh36 Shipbuilding Steels with Mg and Zr Additions. Metall. Mater. Trans. A 2019, 50, 4506–4512. [Google Scholar] [CrossRef]
- Zhang, Y.; Li, X.B.; Ma, H. Enhancement of Heat-Affected Zone Toughness of a Low Carbon Steel by TiN Particle. Metall. Mater. Trans. B 2016, 47, 2148–2156. [Google Scholar] [CrossRef]
- Zou, Z.Y.; Li, Y.X. Effect of Inclusions on Toughness and Microstructures in Simulated Coarse-Grain Heat-Affected Zones of Al/Ti Deoxidised and Nb/V Microalloyed Steels. Ironmak. Steelmak. 2019, 46, 574–583. [Google Scholar]













| Steels | C | Si | Mn | P | S | Ti | Mg | Al | O | N | 
|---|---|---|---|---|---|---|---|---|---|---|
| A | 0.078 | 0.20 | 1.50 | 0.01 | 0.0050 | 0.0120 | — | 0.0260 | 0.0022 | 0.0014 | 
| LM | 0.081 | 0.17 | 1.45 | 0.01 | 0.0060 | 0.0096 | 0.0027 | 0.0010 | 0.0040 | 0.0040 | 
| HM | 0.077 | 0.20 | 1.53 | 0.01 | 0.0040 | 0.0110 | 0.0099 | 0.0020 | 0.0024 | 0.0028 | 
| Steels | T1~T5 | T5~T8 | T8~T11 | 
|---|---|---|---|
| (1200~1400 °C) | (1400~1250 °C) | (1250~1100 °C) | |
| A | 0.32 | 10.55 | 2.06 | 
| LM | 0.36 | 0.89 | 1.02 | 
| HM | 0.32 | 0.01 | 0.00 | 
© 2020 by the authors. Licensee MDPI, Basel, Switzerland. This article is an open access article distributed under the terms and conditions of the Creative Commons Attribution (CC BY) license (http://creativecommons.org/licenses/by/4.0/).
Share and Cite
Xu, L.; Yang, J.; Park, J.; Ono, H. Mechanism of Improving Heat-Affected Zone Toughness of Steel Plate with Mg Deoxidation after High-Heat-Input Welding. Metals 2020, 10, 162. https://doi.org/10.3390/met10020162
Xu L, Yang J, Park J, Ono H. Mechanism of Improving Heat-Affected Zone Toughness of Steel Plate with Mg Deoxidation after High-Heat-Input Welding. Metals. 2020; 10(2):162. https://doi.org/10.3390/met10020162
Chicago/Turabian StyleXu, Longyun, Jian Yang, Joohyun Park, and Hideki Ono. 2020. "Mechanism of Improving Heat-Affected Zone Toughness of Steel Plate with Mg Deoxidation after High-Heat-Input Welding" Metals 10, no. 2: 162. https://doi.org/10.3390/met10020162
APA StyleXu, L., Yang, J., Park, J., & Ono, H. (2020). Mechanism of Improving Heat-Affected Zone Toughness of Steel Plate with Mg Deoxidation after High-Heat-Input Welding. Metals, 10(2), 162. https://doi.org/10.3390/met10020162
 
        


 
       