Player Tracking Data Analytics as a Tool for Physical Performance Management in Football: A Case Study from Chelsea Football Club Academy
Abstract
1. Introduction
2. Methods
2.1. Data Source
2.2. Acquisition of Data
2.3. Description of the Physical Performance Metrics
2.4. Statistical Analysis
3. Results
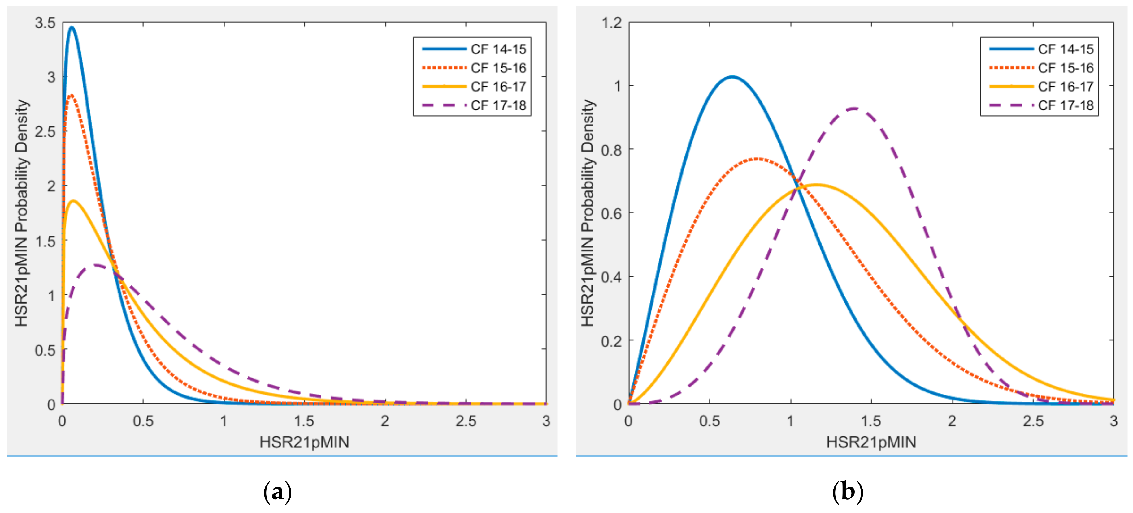
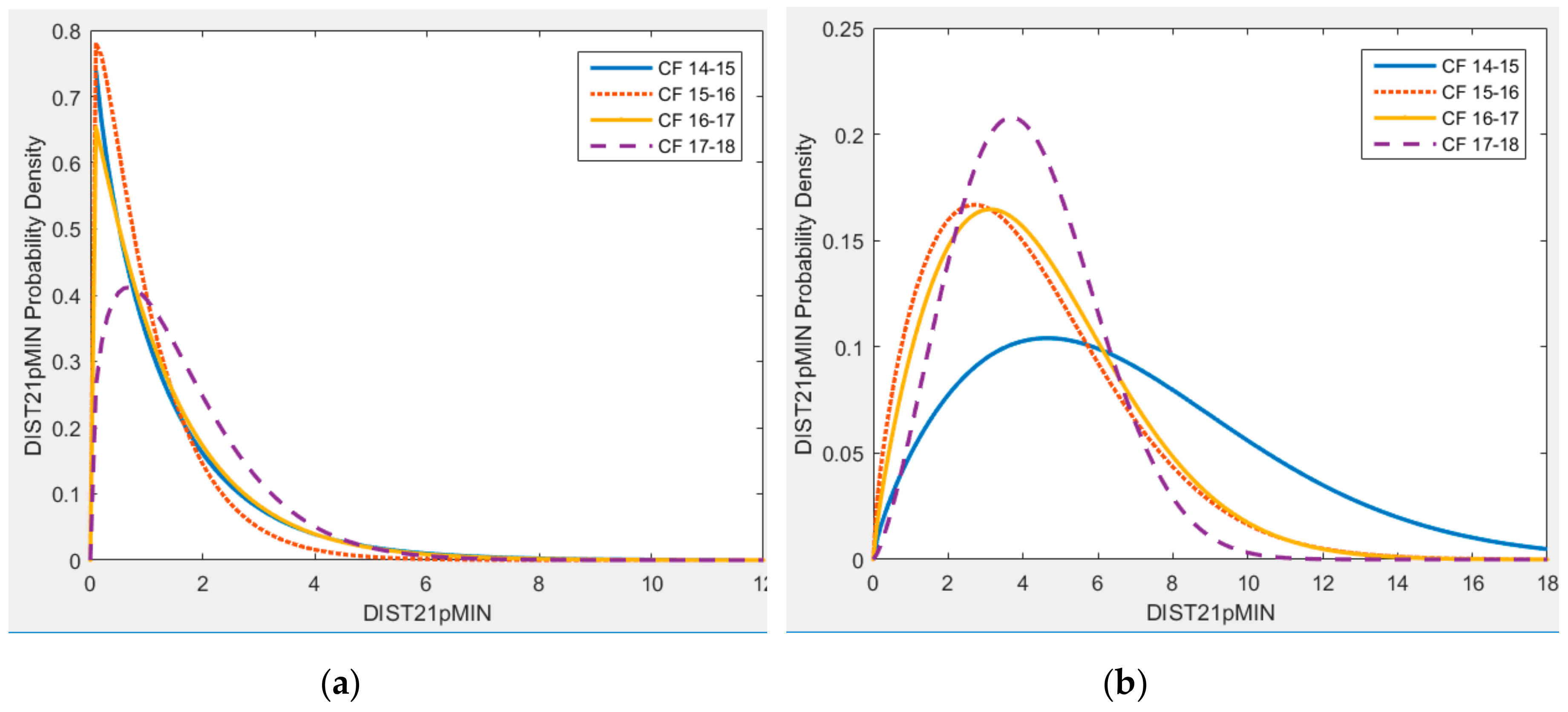
3.1. Comparison of Average Match Demands Across Seasons and Positions
3.2. Comparison of Activity Level Demands during Competitive Matches and Training Sessions
3.3. Patterns of Training and Match Demands Across Seasons
4. Discussion
4.1. Positional Variation of High-Speed Running Activity during Training and Matches
4.2. Comparison of High-Speed Running Activity between Training and Match Sessions
4.3. Seasonal Variation of Per-Session Activity Demands
4.4. Pointers for Further Study
5. Conclusions
Author Contributions
Conflicts of Interest
References
- Arnason, A.; Sigurdsson, S.B.; Gudmundsson, A.; Holme, I.; Engebretsen, L.; Bahr, R. Physical fitness, injuries, and team performance in soccer. Med. Sci. Sports Exerc. 2004, 36, 278–285. [Google Scholar] [CrossRef] [PubMed]
- Drust, B. Performance analysis research: Meeting the challenge. J. Sports Sci. 2010, 28, 921–922. [Google Scholar] [CrossRef] [PubMed]
- Salvo, V.D.; Baron, R.; Tschan, H.; Montero, F.J.C.; Bachl, N.; Pigozzi, F. Performance Characteristics according to Playing Position in Elite Soccer. Int. J. Sports. Med. 2007, 28, 222–227. [Google Scholar] [CrossRef] [PubMed]
- Bradley, P.S.; Sheldon, W.; Wooster, B.; Olsen, P.; Boanas, P.; Krustrup, P. High-intensity running in English FA Premier League soccer matches. J. Sports Sci. 2009, 27, 159–168. [Google Scholar] [CrossRef] [PubMed]
- Barnes, C.; Archer, D.T.; Hogg, B.; Bush, M.; Bradley, P.S. The evolution of physical and technical performance parameters in the English Premier League. Int. J. Sports. Med. 2014, 35, 1095–1100. [Google Scholar] [CrossRef] [PubMed]
- Bush, M.; Barnes, C.; Archer, D.T.; Hogg, B.; Bradley, P.S. Evolution of match performance parameters for various playing positions in the English Premier League. Hum. Mov. Sci. 2015, 39, 1–11. [Google Scholar] [CrossRef] [PubMed]
- Randers, M.B.; Mujika, I.; Hewitt, A.; Santisteban, J.; Bischoff, R.; Solano, R.; Zubillaga, A.; Peltola, E.; Krustrup, P.; Mohr, M. Application of four different football match analysis systems: A comparative study. J. Sports Sci. 2010, 28, 171–182. [Google Scholar] [CrossRef] [PubMed]
- Hausler, J.; Halaki, M.; Orr, R. Application of Global Positioning System and Microsensor Technology in Competitive Rugby League Match-Play: A Systematic Review and Meta-analysis. Sports Med. 2016, 46, 559–588. [Google Scholar] [CrossRef] [PubMed]
- Dwyer, D.B.; Gabbett, T.J. Global Positioning System Data Analysis: Velocity Ranges and a New Definition of Sprinting for Field Sport Athletes. J. Strength Cond. Res. 2012, 26, 818–824. [Google Scholar] [CrossRef] [PubMed]
- White, A.D.; Macfarlane, N.G. Analysis of International Competition and Training in Men’s Field Hockey by Global Positioning System and Inertial Sensor Technology. J. Strength Cond. Res. 2015, 29, 137–143. [Google Scholar] [CrossRef] [PubMed]
- Varley, M.C.; Jaspers, A.; Helsen, W.F.; Malone, J.J. Methodological Considerations When Quantifying High-Intensity Efforts in Team Sport Using Global Positioning System Technology. Int. J. Sports Physiol. Perform. 2017, 12, 1059–1068. [Google Scholar] [CrossRef] [PubMed]
- Wisbey, B.; Montgomery, P.G.; Pyne, D.B.; Rattray, B. Quantifying movement demands of AFL football using GPS tracking. J. Sci. Med. Sport 2010, 13, 531–536. [Google Scholar] [CrossRef] [PubMed]
- Larsson, P. Global positioning system and sport-specific testing. Sports Med. 2003, 33, 1093–1101. [Google Scholar] [CrossRef] [PubMed]
- Scott, M.T.U.; Scott, T.J.; Kelly, V.G. The Validity and Reliability of Global Positioning Systems in Team Sport: A Brief Review. J. Strength Cond. Res. 2016, 30, 1470–1490. [Google Scholar] [CrossRef] [PubMed]
- Cummins, C.; Orr, R.; O’Connor, H.; West, C. Global Positioning Systems (GPS) and Microtechnology Sensors in Team Sports: A Systematic Review. Sports Med. 2013, 43, 1025–1042. [Google Scholar] [CrossRef] [PubMed]
- Halson, S.L. Monitoring Training Load to Understand Fatigue in Athletes. Sports Med. 2014, 44 (Suppl. 2), 139–147. [Google Scholar] [CrossRef] [PubMed]
- Di Salvo, V.; Pigozzi, F.; González-Haro, C.; Laughlin, M.S.; de Witt, J.K. Match performance comparison in top English soccer leagues. Int. J. Sports. Med. 2013, 34, 526–532. [Google Scholar] [CrossRef] [PubMed]
- Bradley, P.S.; Carling, C.; Gomez Diaz, A.; Hood, P.; Barnes, C.; Ade, J.; Boddy, M.; Krustrup, P.; Mohr, M. Match performance and physical capacity of players in the top three competitive standards of English professional soccer. Hum. Mov. Sci. 2013, 32, 808–821. [Google Scholar] [CrossRef] [PubMed]
- Hewitt, A.; Norton, K.; Lyons, K. Movement profiles of elite women soccer players during international matches and the effect of opposition’s team ranking. J. Sports Sci. 2014, 32, 1874–1880. [Google Scholar] [CrossRef] [PubMed]
- Johnston, R.J.; Watsford, M.L.; Kelly, S.J.; Pine, M.J.; Spurrs, R.W. Validity and Interunit Reliability of 10 Hz and 15 Hz GPS Units for Assessing Athlete Movement Demands. J. Strength Cond. Res. 2014, 28, 1649–1655. [Google Scholar] [CrossRef] [PubMed]
- Barr, M.; Beaver, T.; Turczyn, D.; Cornish, S. The Validity and Reliability of 15 Hz Global Positioning System Units for Assessing the Activity Profiles of University Football Players. J. Strength Cond. Res. 2017. [Google Scholar] [CrossRef] [PubMed]
- Coutts, A.J.; Duffield, R. Validity and reliability of GPS devices for measuring movement demands of team sports. J. Sci. Med. Sport 2010, 13, 133–135. [Google Scholar] [CrossRef] [PubMed]
- Scott, B.R.; Lockie, R.G.; Knight, T.J.; Clark, A.C.; de Jonge, X.A.J. A comparison of methods to quantify the in-season training load of professional soccer players. Int. J. Sports Physiol. Perform. 2013, 8, 195–202. [Google Scholar] [CrossRef] [PubMed]
- Miñano-Espin, J.; Casáis, L.; Lago-Peñas, C.; Gómez-Ruano, M.Á. High Speed Running and Sprinting Profiles of Elite Soccer Players. J. Hum. Kinet. 2017, 58, 169–176. [Google Scholar] [CrossRef] [PubMed]
- Lilliefors, H.W. On the Kolmogorov-Smirnov Test for Normality with Mean and Variance Unknown. J. Am. Stat. Assoc. 1967, 62, 399–402. [Google Scholar] [CrossRef]
- MathWorks–Makers of MATLAB and Simulink. Available online: https://uk.mathworks.com/ (accessed on 6 August 2018).
- Statistical Software. Available online: https://www.jmp.com/en_gb/home.html (accessed on 6 August 2018).
- Tee, J.C.; Lambert, M.I.; Coopoo, Y. GPS comparison of training activities and game demands of professional rugby union. Int. J. Sports Sci. Coach. 2016, 11, 200–211. [Google Scholar] [CrossRef]
- Hartwig, T.B.; Naughton, G.; Searl, J. Motion Analyses of Adolescent Rugby Union Players: A Comparison of Training and Game Demands. J. Strength Cond. Res. 2011, 25, 966–972. [Google Scholar] [CrossRef] [PubMed]
- Dawson, B.; Hopkinson, R.; Appleby, B.; Stewart, G.; Roberts, C. Comparison of training activities and game demands in the Australian Football League. J. Sci. Med. Sport 2004, 7, 292–301. [Google Scholar] [CrossRef]
- Stevens, T.G.A.; de Ruiter, C.J.; Twisk, J.W.R.; Savelsbergh, G.J.P.; Beek, P.J. Quantification of in-season training load relative to match load in professional Dutch Eredivisie football players. Sci. Med. Footb. 2017, 1, 117–125. [Google Scholar] [CrossRef]
- Morgans, R.; Orme, P.; Anderson, L.; Drust, B. Principles and practices of training for soccer. J. Sport Health Sci. 2014, 3, 251–257. [Google Scholar] [CrossRef]
- Lazarus, B.H.; Stewart, A.M.; White, K.M.; Rowell, A.E.; Esmaeili, A.; Hopkins, W.G.; Aughey, R.J. Proposal of a Global Training Load Measure Predicting Match Performance in an Elite Team Sport. Front. Physiol. 2017, 8, 930. [Google Scholar] [CrossRef] [PubMed]





| Season | Number of Players in Each Season | Total Number of Data Entries | |||
|---|---|---|---|---|---|
| Playing Position | 2014–2015 | 2015–2016 | 2016–2017 | 2017–2018 | |
| Centre Forward (CF) | 13 | 14 | 12 | 9 | 4976 | 
| Centre Midfielder (CM) | 18 | 22 | 20 | 19 | 10,896 | 
| Full Back (FB) | 12 | 15 | 14 | 11 | 5041 | 
| Total | 43 | 51 | 46 | 39 | 20,913 | 
| Season | 2014–2015 | 2015–2016 | 2016–2017 | 2017–2018 | |||||
|---|---|---|---|---|---|---|---|---|---|
| Playing Position | Metric | µ | σ | µ | σ | µ | σ | µ | σ | 
| CF | HSR21pMIN | 0.79 | 0.41 | 1.04 | 0.57 | 1.38 | 0.53 | 1.39 | 0.38 | 
| DIST21pMIN | 6.83 | 4.87 | 4.41 | 3.24 | 4.64 | 2.88 | 4.18 | 1.71 | |
| Total DISTpMIN | 111.6 | 21.34 | 110.1 | 18.14 | 112.4 | 13.5 | 110.2 | 11.17 | |
| CM | HSR21pMIN | 0.65 | 0.70 | 0.81 | 0.52 | 1.02 | 0.47 | 1.15 | 0.72 | 
| DIST21pMIN | 5.66 | 7.56 | 3.48 | 2.93 | 3.76 | 3.25 | 3.70 | 2.30 | |
| Total DISTpMIN | 117.5 | 19.3 | 115.5 | 14.14 | 117.5 | 16.98 | 117.8 | 11.25 | |
| FB | HSR21pMIN | 0.63 | 0.41 | 0.85 | 0.32 | 1.08 | 0.52 | 1.19 | 0.45 | 
| DIST21pMIN | 5.31 | 4.83 | 3.80 | 1.99 | 3.72 | 2.67 | 3.81 | 1.63 | |
| Total DISTpMIN | 108.7 | 13.2 | 108.4 | 15.12 | 107.6 | 11.2 | 108.5 | 9.47 | |
© 2018 by the authors. Licensee MDPI, Basel, Switzerland. This article is an open access article distributed under the terms and conditions of the Creative Commons Attribution (CC BY) license (http://creativecommons.org/licenses/by/4.0/).
Share and Cite
De Silva, V.; Caine, M.; Skinner, J.; Dogan, S.; Kondoz, A.; Peter, T.; Axtell, E.; Birnie, M.; Smith, B. Player Tracking Data Analytics as a Tool for Physical Performance Management in Football: A Case Study from Chelsea Football Club Academy. Sports 2018, 6, 130. https://doi.org/10.3390/sports6040130
De Silva V, Caine M, Skinner J, Dogan S, Kondoz A, Peter T, Axtell E, Birnie M, Smith B. Player Tracking Data Analytics as a Tool for Physical Performance Management in Football: A Case Study from Chelsea Football Club Academy. Sports. 2018; 6(4):130. https://doi.org/10.3390/sports6040130
Chicago/Turabian StyleDe Silva, Varuna, Mike Caine, James Skinner, Safak Dogan, Ahmet Kondoz, Tilson Peter, Elliott Axtell, Matt Birnie, and Ben Smith. 2018. "Player Tracking Data Analytics as a Tool for Physical Performance Management in Football: A Case Study from Chelsea Football Club Academy" Sports 6, no. 4: 130. https://doi.org/10.3390/sports6040130
APA StyleDe Silva, V., Caine, M., Skinner, J., Dogan, S., Kondoz, A., Peter, T., Axtell, E., Birnie, M., & Smith, B. (2018). Player Tracking Data Analytics as a Tool for Physical Performance Management in Football: A Case Study from Chelsea Football Club Academy. Sports, 6(4), 130. https://doi.org/10.3390/sports6040130
 
        




 
       