Technological Performance of Cricket Powder (Acheta domesticus L.) in Wheat-Based Formulations
Abstract
:Simple Summary
Abstract
1. Introduction
2. Materials and Methods
2.1. Materials
2.2. Methods
2.2.1. Functional Properties
Hydration Properties
Foaming and Emulsifying Properties
2.2.2. Rheological Properties
Gluten Aggregation Properties
Dough Mixing Properties
Dough Extension Properties
2.2.3. Bread Making and Bread Characterization
2.2.4. Fresh Pasta Preparation and Characterization
2.2.5. Statistics
3. Results and Discussion
3.1. Functional Properties
3.1.1. Hydration Properties
3.1.2. Foaming and Emulsifying Properties
3.2. Rheological Properties
3.2.1. Gluten Aggregation Properties
3.2.2. Dough Mixing Properties
3.2.3. Dough Extension Properties
3.3. Bread-Making Performance
3.3.1. Dough-Leavening Properties
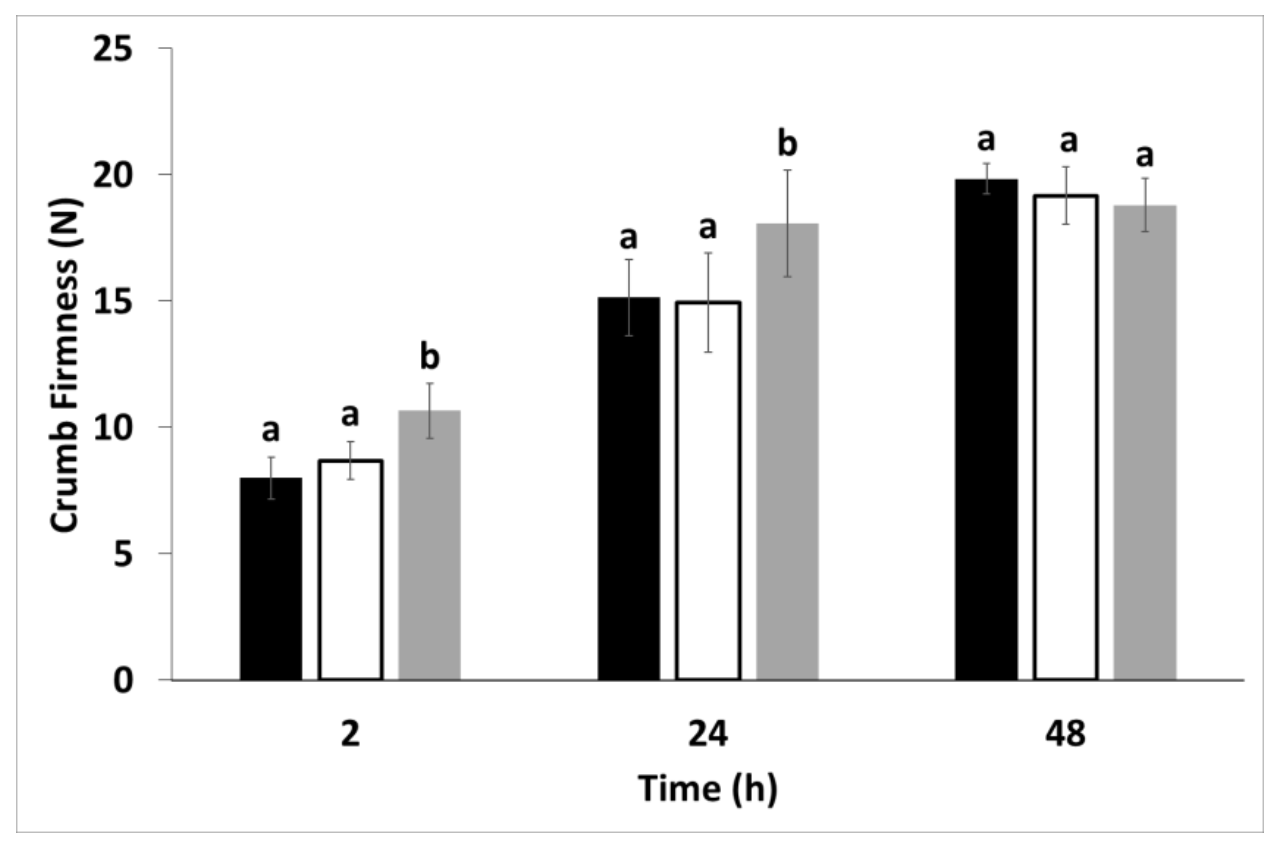
3.3.2. Bread Characteristics
3.4. Pasta Properties
4. Conclusions
Supplementary Materials
Author Contributions
Funding
Institutional Review Board Statement
Data Availability Statement
Acknowledgments
Conflicts of Interest
References
- United Nations. World Population Projected to Reach 9.8 Billion in 2050, and 11.2 Billion in 2100. Available online: https://www.un.org/development/desa/en/news/population/world-population-prospects-2017.html (accessed on 13 June 2022).
- Van Huis, A.; Van Itterbeeck, J.; Klunder, H.; Mertens, E.; Halloran, A.; Muir, G.; Vantomme, P. Edible insects: Future prospects for food and feed security. FAO For. Pap. 2013, 171, xvi+187. [Google Scholar]
- Carcea, M. Nutritional Value of Grain-Based Foods. Foods 2020, 9, 504. [Google Scholar] [CrossRef] [PubMed]
- Gravel, A.; Doyen, A. The use of edible insect proteins in food: Challenges and issues related to their functional properties. Innov. Food Sci. Emerg. Technol. 2020, 59, 102272. [Google Scholar] [CrossRef]
- Van Huis, A.; Rumpold, B.; Maya, C.; Roos, N. Nutritional qualities and wnhancement of edible insects. Annu. Rev. Nutr. 2021, 41, 551–576. [Google Scholar] [CrossRef] [PubMed]
- Guiné, R.P.; Correia, P.; Coelho, C.; Costa, C.A. The role of edible insects to mitigate challenges for sustainability. Open Agric. 2021, 6, 24–36. [Google Scholar] [CrossRef]
- Balzan, S.; Fasolato, L.; Maniero, S.; Novelli, E. Edible insects and young adults in a north-east Italian city an exploratory study. BFJ 2016, 118, 318–326. [Google Scholar] [CrossRef]
- Ardoin, R.; Prinyawiwatkul, W. Consumer perceptions of insect consumption: A review of western research since 2015. Int. J. Food Sci. Technol. 2021, 56, 4942–4958. [Google Scholar] [CrossRef]
- Skotnicka, M.; Karwowska, K.; Kłobukowski, F.; Borkowska, A.; Pieszko, M. Possibilities of the development of edible insect-based foods in Europe. Foods 2021, 10, 766. [Google Scholar] [CrossRef]
- Mlček, J.; Rop, O.; Borkovcova, M.; Bednářová, M. A comprehensive look at the possibilities of edible insects as food in Europe-A review. Pol. J. Food Nutr. Sci. 2014, 64, 147–157. [Google Scholar] [CrossRef] [Green Version]
- Scholliers, J.; Steen, L.; Glorieux, S.; Van de Walle, D.; Dewettinck, K.; Fraeye, I. The effect of temperature on structure formation in three insect batters. Int. Food Res. J. 2019, 122, 411–418. [Google Scholar] [CrossRef]
- González, C.M.; Garzón, R.; Rosell, C.M. Insects as ingredients for bakery goods. A comparison study of H. Illucens, A. Domestica and T. Molitor flours. Innov. Food Sci. Emerg. Technol. 2019, 51, 205–210. [Google Scholar] [CrossRef]
- Cappelli, A.; Oliva, N.; Bonaccorsi, G.; Lorini, C.; Cini, E. Assessment of the rheological properties and bread characteristics obtained by innovative protein sources (Cicer Arietinum, Acheta Domesticus, Tenebrio Molitor): Novel food or potential improvers for wheat flour? LWT 2020, 118, 108867. [Google Scholar] [CrossRef]
- Severini, C.; Azzollini, D.; Albenzio, M.; Derossi, A. On printability, quality and nutritional properties of 3D printed cereal based snacks enriched with edible insects. Int. Food Res. J. 2018, 106, 666–676. [Google Scholar] [CrossRef] [PubMed]
- Biró, B.; Fodor, R.; Szedljak, I.; Pásztor-Huszár, K.; Gere, A. Buckwheat-pasta enriched with silkworm powder: Technological analysis and sensory evaluation. LWT 2019, 116, 108542. [Google Scholar] [CrossRef]
- Çabuk, B.; Yılmaz, B. Fortification of traditional egg pasta (erişte) with edible insects: Nutritional quality, cooking properties and sensory characteristics evaluation. Int. J. Food Sci. Technol. 2020, 57, 2750–2757. [Google Scholar] [CrossRef]
- van Huis, A.; Halloran, A.; Van Itterbeeck, J.; Klunder, H.; Vantomme, P. How many people on our planet eat insects: 2 billion? J. Insects Food Feed 2022, 8, 1–4. [Google Scholar] [CrossRef]
- Jongema, Y. List of Edible Insects of the World (1 April 2017); Wageningen UR: Wageningen, The Netherlands, 2017; Available online: https://www.wur.nl/en/Research-Results/Chair-groups/Plant-Sciences/Laboratory-of-Entomology/Edible-insects/Worldwide-species-list.htm (accessed on 13 June 2022).
- Sogari, G. Entomophagy and Italian consumers: An exploratory analysis. Prog. Nutr. 2015, 17, 311–316. [Google Scholar]
- Commission Implementing Regulation (EU) 2022/188 of 10 February 2022 authorising the placing on the market of frozen, dried and powder forms of Acheta domesticus as a novel food under Regulation (EU) 2015/2283 of the European Parliament and of the Council, and amending Commission Implementing Regulation (EU) 2017/2470 (Text with EEA relevance). Off. J. Eur. Union 2017, L30, 108–114. Available online: https://eur-lex.europa.eu/legal-content/EN/TXT/PDF/?uri=CELEX:32022R0188&from=EN (accessed on 13 June 2022).
- Rumpold, B.A.; Schlüter, O.K. Nutritional composition and safety aspects of edible insects. Mol. Nutr. Food Res. 2013, 57, 802–823. [Google Scholar] [CrossRef]
- da Silva Lucas, A.J.; de Oliveira, L.M.; da Rocha, M.; Prentice, C. Edible insects: Na alternative of nutritional, functional and bioactive compounds. Food Chem. 2020, 311, 126022. [Google Scholar] [CrossRef]
- Osimani, A.; Milanović, V.; Cardinali, F.; Roncolini, A.; Garofalo, C.; Clementi, F.; Pasquini, M.; Mozzon, M.; Foligni, R.; Raffaelli, N.; et al. Bread enriched with cricket powder (Acheta domesticus): A technological, microbiological and nutritional evaluation. Innov. Food Sci. Emerg. Technol. 2018, 48, 150–163. [Google Scholar] [CrossRef]
- Cecchini, C.; Bresciani, A.; Menesatti, P.; Pagani, M.A.; Marti, A. Assessing the rheological properties of durum wheat semolina: A review. Foods 2021, 10, 2947. [Google Scholar] [CrossRef] [PubMed]
- Marti, A.; Ulrici, A.; Foca, G.; Quaglia, L.; Pagani, M.A. Characterization of common wheat flours (Triticum aestivum L.) through multivariate analysis of conventional rheological parameters and gluten peak test indices. LWT 2015, 64, 95–103. [Google Scholar] [CrossRef] [Green Version]
- Duda, A.; Adamczak, J.; Chełmińska, P.; Juszkiewicz, J.; Kowalczewski, P. Quality and nutritional/textural properties of durum wheat pasta enriched with cricket powder. Foods 2019, 8, 46. [Google Scholar] [CrossRef] [PubMed] [Green Version]
- Jucker, C.; Belluco, S.; Bellezza Oddon, S.; Ricci, A.; Bonizzi, L.; Lupi, D.; Savoldelli, S.; Biasato, I.; Caimi, C.; Mascaretti, A.; et al. Impact of some local organic by-products on Acheta domesticus growth and meal production. J. Insects Food Feed 2021, 1–10. [Google Scholar] [CrossRef]
- Fernandez-Cassi, X.; Supeanu, A.; Vaga, M.; Jansson, A.; Boqvist, S.; Vagsholm, I. The house cricket (Acheta domesticus) as a novel food: A risk profile. J. Insects Food Feed 2019, 5, 137–157. [Google Scholar] [CrossRef]
- Delvendahl, N.; Rumpold, B.A.; Langen, N. Edible insects as food–insect welfare and ethical aspects from a consumer perspective. Insects 2022, 13, 121. [Google Scholar] [CrossRef]
- Nguyen, D.Q.; Mounir, S.; Allaf, K. Functional properties of water holding capacity, oil holding capacity, wettability, and sedimentation of swell-dried soybean powder. SJET 2015, 3, 402–412. [Google Scholar]
- Yadav, R.B.; Yadav, B.S.; Dhull, N. Effect of incorporation of plantain and chickpea flours on the quality characteristics of biscuits. Int. J. Food Sci. Technol. 2012, 49, 207–213. [Google Scholar] [CrossRef] [Green Version]
- Rodriguez-Sandoval, E.; Sandoval, G.; Cortes-Rodríguez, M. Effect of quinoa and potato flours on the thermomechanical and breadmaking properties of wheat flour. Braz. J. Chem. Eng. 2012, 29, 503–510. [Google Scholar] [CrossRef] [Green Version]
- Yasumatsu, K.; Sawada, K.; Moritaka, S.; Misaki, M.; Toda, J.; Wada, T.; Ishii, K. Whipping and emulsifying properties of soybean products. Agric. Biol. Chem. 1972, 36, 719–727. [Google Scholar] [CrossRef]
- Suárez-Estrella, D.; Cardone, G.; Buratti, S.; Pagani, M.A.; Marti, A. Sprouting as a pre-processing for producing quinoa-enriched bread. J. Cereal Sci. 2020, 96, 103111. [Google Scholar] [CrossRef]
- ICC (International Association for Cereal Science and Technology). ICC Standard No. 115/1, Method for Using the Brabender Farinograph; ICC (International Association for Cereal Science and Technology): Vienna, Austria, 1992. [Google Scholar]
- AACC (American Association of Cereal Chemists International). Approved Methods of Analysis, 11th ed.; AACC (American Association of Cereal Chemists International): St. Paul, MN, USA, 2001. [Google Scholar]
- Ndiritu, A.K.; Kinyuru, J.N.; Kenji, G.M.; Gichuhi, P.N. Extraction technique influences the physico-chemical characteristics and functional properties of edible crickets (Acheta domesticus) protein concentrate. Food Meas. 2017, 11, 2013–2021. [Google Scholar] [CrossRef]
- Zielińska, E.; Baraniak, B.; Karaś, M.; Rybczyńska, K.; Jakubczyk, A. Selected species of edible insects as a source of nutrient composition. Food Res. Int. 2015, 77, 460–466. [Google Scholar] [CrossRef]
- Li, W.; Xiao, X.; Guo, S.; Ouyang, S.; Luo, Q.; Zheng, J.; Zhang, G. Proximate composition of triangular pea, white pea, spotted colored pea, and small white kidney bean and their starch properties. Food Bioprocess Technol. 2014, 7, 1078–1087. [Google Scholar] [CrossRef]
- Pearce, K.N.; Kinsella, J.E. Emulsifying properties of proteins: Evaluation of a turbidimetric technique. J. Agríe. Food Chem. 1978, 26, 716–723. [Google Scholar] [CrossRef]
- Knorr, D. Functional properties of chitin and chitosan. J. Food Sci. 1982, 47, 593–595. [Google Scholar] [CrossRef]
- Sreerama, Y.N.; Sashikala, V.B.; Pratape, V.M.; Singh, V. Nutrients and antinutrients in cowpea and horse gram flours in comparison to chickpea flour: Evaluation of their flour functionality. Food Chem. 2012, 131, 462–468. [Google Scholar] [CrossRef]
- Mundi, S.; Aluko, R.E. Physicochemical and functional properties of kidney bean albumin and globulin protein fractions. Food Res. Int. 2012, 48, 299–306. [Google Scholar] [CrossRef]
- Yi, L.; Lakemond, C.M.; Sagis, L.M.; Eisner-Schadler, V.; van Huis, A.; van Boekel, M.A. Extraction and characterisation of protein fractions from five insect species. Food Chem. 2013, 141, 3341–3348. [Google Scholar] [CrossRef]
- Cardone, G.; D’Incecco, P.; Casiraghi, M.C.; Marti, A. Exploiting milling by-products in bread-making: The case of sprouted wheat. Foods 2020, 9, 260. [Google Scholar] [CrossRef] [PubMed] [Green Version]
- Boros, N.; Kónya, É.; Győri, Z. Comparison of rheological characteristics of winter wheat cultivars determined by Extensograph and Alveograph. Acta Aliment. 2013, 42, 338–348. [Google Scholar] [CrossRef]
- Ghoshal, G.; Mehta, S. Effect of chitosan on physicochemical and rheological attributes of bread. FSTI 2019, 25, 198–211. [Google Scholar] [CrossRef] [PubMed]
- Pasqualone, A.; Laddomada, B.; Centomani, I.; Paradiso, V.M.; Minervini, D.; Caponio, F.; Summo, C. Bread making aptitude of mixtures of re-milled semolina and selected durum wheat milling by-products. LWT 2017, 78, 151–159. [Google Scholar] [CrossRef]
- Mezaize, S.; Chevallier, S.; Le Bail, A.; de Lamballerie, M. Optimization of gluten-free formulations for french-style breads. J. Food Sci. 2009, 74, E140–E146. [Google Scholar] [CrossRef]
- Moore, M.M.; Heinbockel, M.; Dockery, P.; Ulmer, H.M.; Arendt, E.K. Network formation in gluten-free bread with application of transglutaminase. Cereal Chem. 2006, 83, 28–36. [Google Scholar] [CrossRef]
- de Oliveira, L.M.; da Silva Lucas, A.J.; Cadaval, C.L.; Mellado, M.S. Bread enriched with flour from cinereous cockroach (Nauphoeta cinerea). Innov. Food Sci. Emerg. Technol. 2017, 44, 30–35. [Google Scholar] [CrossRef]






| Wheat Flour | 5% Cricket Powder | 10% Cricket Powder | 20% Cricket Powder | |||
|---|---|---|---|---|---|---|
| Absorption properties (25 °C) | Water (WAC) | g/mL | 1.69 ± 0.03 a | 1.69 ± 0.06 a | 1.73 ± 0.05 a | 1.75 ± 0.02 a |
| Oil (OAC) | g/mL | 1.71 ± 0.01 a | 1.72 ± 0.02 a | 1.74 ± 0.02 a | 1.81 ± 0.01 b | |
| Absorption properties (90 °C) | Water absorption index (WAI) | g/g | 3.73 ± 0.12 a | 3.81 ± 0.11 a | 3.86 ± 0.04 a | 3.85 ± 0.14 a |
| Water solubility index (WSI) | g/g | 1.55 ± 0.16 a | 1.64 ± 0.38 a | 1.83 ± 0.09 ab | 2.30 ± 0.01 b | |
| Swelling power | Swelling power (SP) | g/g | 3.65 ± 0.11 a | 3.73 ± 0.09 a | 3.73 ± 0.10 a | 3.74 ± 0.14 a |
| Foaming capacity | Foaming capacity (FC) | % | 44.00 ± 5.66 b | 4.00 ± 2.83 a | 5.00 ± 1.41 a | 6.00 ± 2.83 a |
| Foaming stability (FS) | % | 90.27 ± 0.15 a | 98.11 ± 7.12 a | 98.09 ± 0.01 b | 98.15 ± 6.86 b | |
| Emulsifying capacity | Emulsifying activity (EA) | % | 12.40 ± 0.32 b | 4.00 ± 0.01 a | 4.40 ± 0.01 a | 4.08 ± 0.01 a |
| Emulsion stability (ES) | % | 11.20 ± 0.01 b | 3.92 ± 0.01 a | 3.92 ± 0.01 a | 2.40 ± 1.28 a |
| Wheat Flour | 5% CP | 10% CP | ||
|---|---|---|---|---|
| Water absorption | (%) | 27 ± 2 a | 32 ± 2 b | 35 ± 3 b |
| Cooking loss | (%) | 1.2 ± 0.1 a | 1.2 ± 0.1 a | 1.4 ± 0.1 b |
| Firmness | (N) | 12 ± 1 b | 11 ± 1 b | 6 ± 1 a |
Publisher’s Note: MDPI stays neutral with regard to jurisdictional claims in published maps and institutional affiliations. |
© 2022 by the authors. Licensee MDPI, Basel, Switzerland. This article is an open access article distributed under the terms and conditions of the Creative Commons Attribution (CC BY) license (https://creativecommons.org/licenses/by/4.0/).
Share and Cite
Bresciani, A.; Cardone, G.; Jucker, C.; Savoldelli, S.; Marti, A. Technological Performance of Cricket Powder (Acheta domesticus L.) in Wheat-Based Formulations. Insects 2022, 13, 546. https://doi.org/10.3390/insects13060546
Bresciani A, Cardone G, Jucker C, Savoldelli S, Marti A. Technological Performance of Cricket Powder (Acheta domesticus L.) in Wheat-Based Formulations. Insects. 2022; 13(6):546. https://doi.org/10.3390/insects13060546
Chicago/Turabian StyleBresciani, Andrea, Gaetano Cardone, Costanza Jucker, Sara Savoldelli, and Alessandra Marti. 2022. "Technological Performance of Cricket Powder (Acheta domesticus L.) in Wheat-Based Formulations" Insects 13, no. 6: 546. https://doi.org/10.3390/insects13060546
APA StyleBresciani, A., Cardone, G., Jucker, C., Savoldelli, S., & Marti, A. (2022). Technological Performance of Cricket Powder (Acheta domesticus L.) in Wheat-Based Formulations. Insects, 13(6), 546. https://doi.org/10.3390/insects13060546

