Simple Summary
Agriolimax agrestis is one of the most important cash crop pests in China, widely affecting tobacco, vegetables, edible mushrooms, and other crops. Not only does it cause direct damage to plants but it also spreads bacteria that are harmful to plants and humans. Currently, the control of A. agrestis relies mainly on chemical agents; however, the heavy application of chemicals often leads to ecological damage. In this study, using Carabus elysii as a natural enemy, the predatory ability of adult C. elysii on A. agrestis was assessed under indoor conditions for the first time. The results show that C. elysii adults have a strong predatory ability on different sizes of slugs, especially juvenile slugs, and the female adults have a better predatory ability than the male adults. In general, C. elysii has strong potential to control A. agrestis and can be used as an effective control measure.
Abstract
Terrestrial slugs are a prominent agricultural pest worldwide. To mitigate the negative effects of chemical pest control, biological control involves the use of natural enemies to reduce the impact of target pests. Numerous insects are natural predators of slugs. This study evaluated potential of the predatory species, Carabus elysii Thomson (Coleoptera: Carabidae) to biologically control the terrestrial slug, Agriolimax agrestis. Laboratory experiments were conducted to investigate the functional response, searching efficiency, and interference effect of female and male C. elysii adults regarding adult, immature, and juvenile A. agrestis individuals. The results show that both female and male ground beetle adults are functionally capable of preying on different sizes of terrestrial slugs. C. elysii exhibited Holling type II functional responses when preying on A. agrestis. The maximum daily prey consumption was 35.5 juveniles, 25.1 immatures, and 17.1 adults for adult females and 26.9 juveniles, 20.3 immatures, and 11.6 adults for adult males. The searching efficiency of female C. elysii adults regarding A. agrestis was always higher than that of male adults for identical ages and densities of A. agrestis. Moreover, the predation of C. elysii on slugs was affected by predator density. The disturbance coefficient of male C. elysii were the highest on adult A. agrestis. The results of this study suggest that female C. elysii exhibit a high potential for the biological control of A. agrestis.
1. Introduction
Slugs (Mollusca: Gastropoda: Stylommatophora) are prominent agricultural and horticultural pests in temperate and tropical regions worldwide. In addition to feeding on all parts of plants, they are vectors for numerous plant pathogens that can reduce both the aesthetic appearance of plants and crop yields [1,2]. Furthermore, they disseminate parasites that can be harmful for humans, domestic animals, and wild mammals. Slugs of this order are widely distributed in all provinces and regions of China [3,4]. Various species of slug (e.g., Agriolimax agrestis Linnaeus, Phiolomycus bilineatus Bonson, and Limax flavus Linnaeus) occur frequently in southern China and are an agricultural pest affecting vegetables, tobacco, and other crops [4,5,6]. Among them, the terrestrial slug A. agrestis is a very common and harmful mollusk and is distributed worldwide. The slugs are hermaphrodites with male and female reproductive organs and can fertilize themselves or mate [7,8]. The activities of slugs have been governed not by any definite annual cycle but by the prevailing condition of the weather [5,9]. In the Guiyang area (SW China), the slugs can be found all year round and have become the most serious and economically damaging pest in spring and summer [5]. A. agrestis occurs in two to six generations a year, with complex overlapping generations. The period of occurrence varies between generations, ranging from 9 to 14 months (270~420 d) [10,11,12]. Adults can lay eggs 2–3 d after mating, and the egg period is usually 35–134 d. Generally, each adult lays 94–279 eggs with a maximum of 426 eggs [13,14,15].
Presently, A. agrestis is controlled mainly through chemical agents. However, the cryptic habit of slugs dwelling in the soil and their resistance to chemical control measures resulting from the extensive and widespread use of chemical agents have led to the decreasing effectiveness of chemical control. In addition, chemical control leads to pesticide residues, which are harmful to the ecosystem [16,17,18,19]. A. agrestis can also be controlled by agronomic and physical means. However, this incurs high costs and is neither efficient nor precise. Therefore, to achieve the sustainable management and safe control of slugs, biological control carries great potential, and relevant research is needed.
Biological control with insects is performed in integrated pest management, which is an environmentally friendly approach that emphasizes natural control, safety, and efficiency [20]. The natural enemies of slugs include various insect species (e.g., ground beetles, rove beetles, fireflies, and ants), nematodes, and several myriapods [3,21,22]. Carabid beetles, many of which are prominent gastropod-feeding insects, are beneficial organisms in agroecosystems because they are potential natural control agents against slugs [23,24,25]. Therefore, they could be used as an alternative to commercial molluscicides with the prospect of broad application [25].
The carabid beetle, Carabus elysii Thomson, is one of the more common beetles and is widely distributed in central, eastern, and southern China [26,27,28]. The adult beetle is 28–32 mm in length and 9–11 mm in width, and the body length of adult females is larger than that of adult males. The generation cycle is long, with only one generation a year [26,27]. The beetle is a nocturnal feeder and often hides in the soil between crevices, dead leaves, and weeds due to their aversion to light. The carabid species prey on the larvae of Lepidoptera, slugs, snails, and other small mollusks through adults and larvae and thus have potential for controlling slugs [26,29]. Studies on C. elysii have focused mainly on its morphology and distribution [30,31,32]. To our knowledge, few reports regarding its predation function exist. Investigating its predation of slugs is therefore vital for understanding this species’ potential for biological pest control. In this study, we investigated the predatory functional response, searching efficiency, and interference effects of C. elysii regarding predation on the terrestrial slug A. agrestis and discussed the potential for its use in the biological control of slugs.
2. Materials and Methods
2.1. Slugs and Beetles
A.agrestis individuals were collected from vegetable fields of the Fuguo Farming Cooperative, Yuqing County, Zunyi City, Guizhou Province (107. 47′ E, 27. 40′ N), and reared on Lactuca sativa Linnaeus in the laboratory to facilitate reproduction. According to an established method used for Pomacea canaliculata (Lamarck) [33], the slugs were categorized into three sizes on the basis of their body length (L) when straightened: juvenile (5 mm ≤ L < 15 mm), immature (15 mm ≤ L < 25 mm), and adult (25 mm ≤ L < 40 mm). The juvenile, immature, and adult slugs that exhibited consistent reproduction in the same generation were used as experimental prey.
C.elysii individuals were collected from Yelang National Forest Park, Hezhang County, Bijie City, Guizhou Province (104. 64′ E, 27. 08′ N). They were fed on Tenebrio molitor Linnaeus. Female and male adults with consistent reproduction in the same generation were used for the experiments.
Experiments were conducted in climate-controlled chambers (RXZ, Ningbo Jiangnan Instrument Factory, Ningbo, Zhejiang, China) at 25 °C ± 1 °C, 75% ± 5% relative humidity and L:D = 14:10 h photoperiod.
2.2. Functional Response
The predatory functional responses of female and male adults of C. elysii to A. agrestis larvae, immatures, and adults were studied separately. All experiments were conducted in square rearing containers (21 cm length × 14.3 cm width × 6.8 cm height). Twenty holes (1 cm diameter) in the cover ensured sufficient ventilation. Inside each container, an L. sativa leaf disk (9 cm length × 15 cm width) was placed upside down on wet filter paper to retain the leaf’s freshness. The prey densities of A. agrestis were 10, 20, 30, 40, and 50 individuals per container for larvae, and 5, 10, 15, 20, and 25 individuals per container for immatures and adults. All slugs and all beetles were starved for 24 h prior to the experiment. The predators were introduced individually to the containers. After 24 h exposure, the beetles were removed, and the number of residual preys was recorded. Each prey density was replicated 10 times.
The predatory functional response was calculated using a Holling type II [34] formula for fitting:
where N is the prey density, Na is the number of consumed preys, T is the time available for the predator to discover the prey (T = 24 h), a’ is the instantaneous attack rate, and Th is the time required by the predator to process one individual (handling time). A nonlinear least-squares method was used to estimate the parameters a’ and Th. The starting values of a’ and Th needed by the NLR procedure were found using the linear regression of 1/Na against 1/N. The resultant y-intercept is the initial estimate of Th, and the reciprocal of the regression coefficient is an estimate of a’.
Na = a’TN/(1 + a’ThN)
2.3. Searching Efficiency
According to the results of the parameters a’ and Th obtained in Section 2.2, the searching efficiency (S) of C. elysii preying on A. agrestis was calculated according to the formula:
where S represents the finding effect, a’, Th, and N have the same meaning as in Section 2.2 [35].
S = a’/(1 +a’Th N)
2.4. Intraspecific Competition
The interference effects of female and male adults of C. elysii on larvae, immature and adult A. agrestis, were studied separately. The densities of predators per container were 1, 3, 5, and 7 female or male C. elysii. Female or male predators were introduced to each container containing 100 slugs. After 24 h of exposure, the predators were removed, and the number of residual preys was recorded. Each predator density treatment had five replicates.
The Hassell model equation was used as
where E is the mean predation rate per predator, Q is the search constant, P is the predator density, and m is the disturbance coefficient [36]. The values of Q and m were obtained from nonlinear regression models—the power exponential regressing of E and P.
E = QP−m
2.5. Data Analysis
The instantaneous attack rate (a’), handling time (Th), searching constant (Q), and disturbance coefficient (m) of female and male beetles preying on various sizes slugs were found through one-way analysis of variance (ANOVA) with post hoc comparisons using the LSD test, (p < 0.05). Data analysis was performed using Excel software (Microsoft Excel 2016, Microsoft, Redmond, WA, USA) and SPSS software (SPSS, version 21.0, Chicago, IL, USA). The goodness of fit of each equation was tested by a chi-square (x2) test.
3. Results and Analysis
3.1. Functional Response
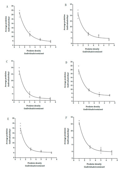
The A. agrestis predation capacity of C. elysii adults increased gradually with an increase in prey density (Figure 1). However, the predation growth rates (decreasing rate of increase in the feeding rate) of C. elysii adults preying on A. agrestis decreased with increasing prey density (Figure 1), which is an indicator of type II functional response. The values of the correlation coefficient R2 of the functional response (0.9148–0.9871) were greater than 0.9 (Table 1), revealing a significant correlation between the observed and the predicted predated-prey number. The values x2 =0.0623–0.2090 with the chi-square goodness-of-fit tests concerning predicted and observed predation were substantially lower than the threshold of x2(0.05, 4) = 9.49. This indicates that the fitted Holling type II disc equation reflected the predation by C. elysii.
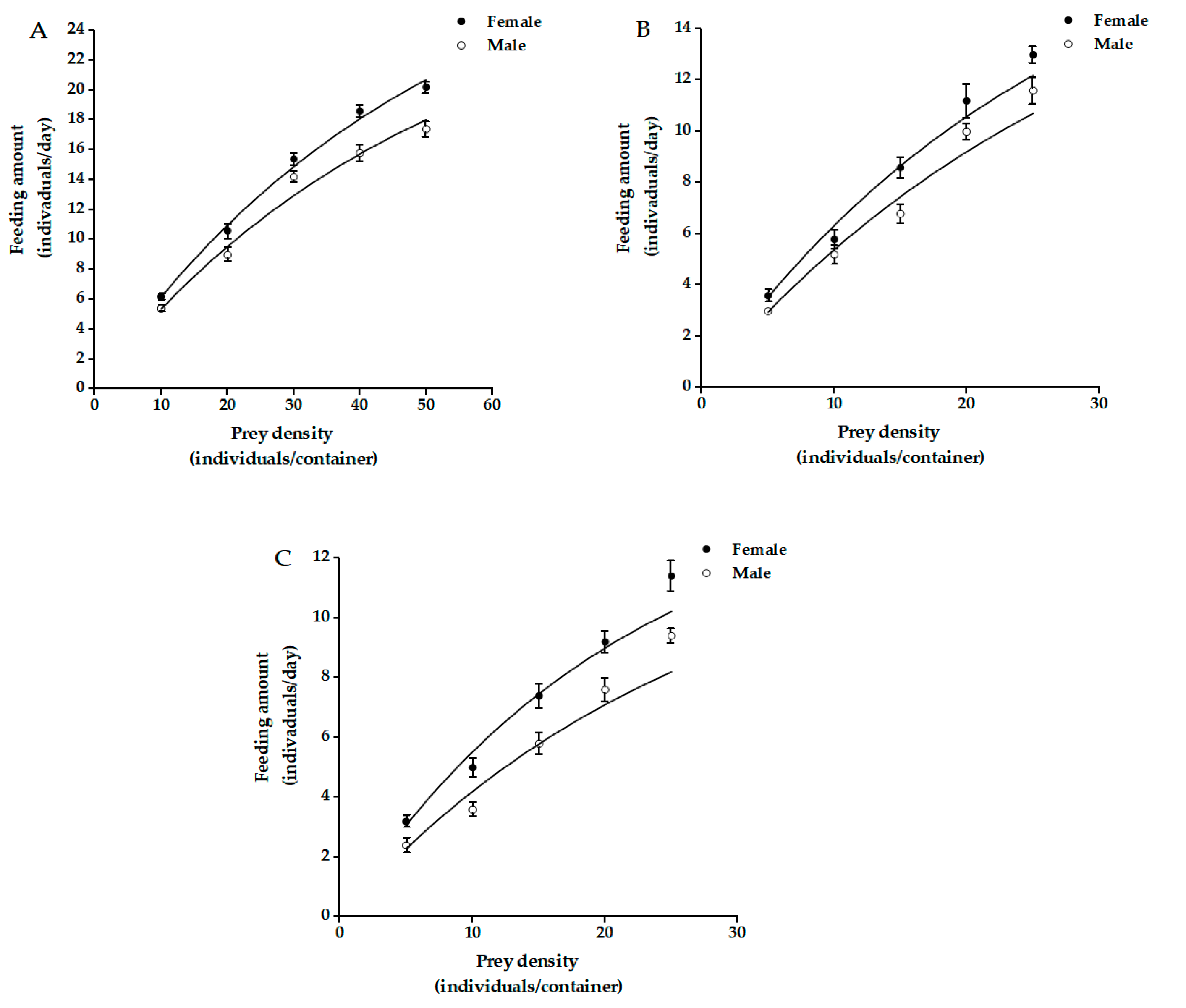
Figure 1.
Fitting curve of predation function responses of C. elysii adults to juvenile (A), immatures (B), and adults (C) of A. agrestis.
Table 1.
Functional responses of C. elysii adults to distinct sizes of A. agrestis.
Using Holling’s disc equation, the coefficients of a’ (instantaneous attack rate) and Th (handling time) were estimated for C. elysii males and females (Table 1). There was no significant difference in a’ between female and male C. elysii feeding on juvenile and immature A. agrestis, and female beetles consumed significantly more adults than the male beetles. Female beetles exhibited significantly higher Th for slug adults than juveniles and immatures, and no significant difference in case of male beetles. The maximum daily prey consumption by female adults was 35.4895 (juvenile), 25.0841 (immature), and 17.1168 (adult), and the prey consumption by male adults was 26.9042 (juvenile), 20.2789 (immature), and 11.6290 (adult).
3.2. Searching Efficiency
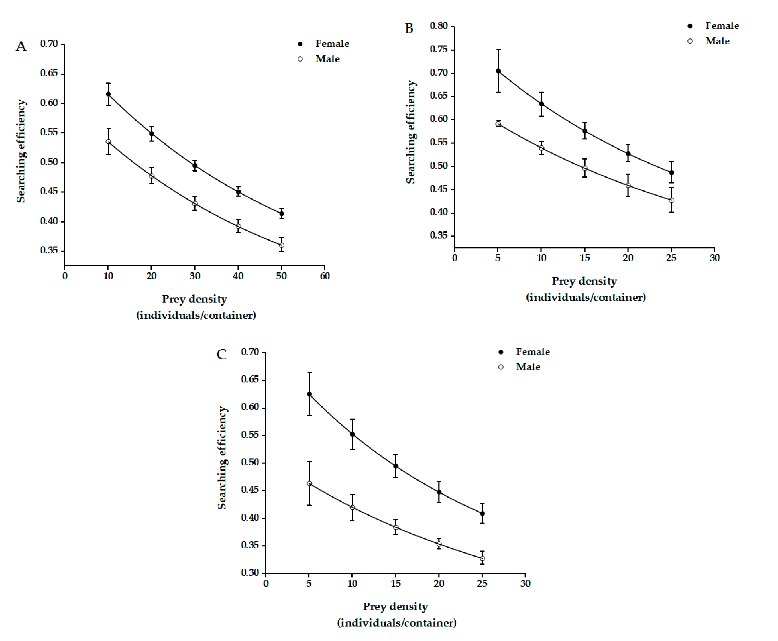
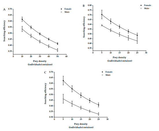
The searching efficiency of both female and male C. elysii adults regarding distinct categories of A. agrestis decreased with increasing prey density. The searching efficiency of female C. elysii adults regarding A. agrestis was always higher than that of male adults at identical ages and densities of A. agrestis (Figure 2).
Figure 2.
Searching efficiency of C. elysii adults for juvenile (A), immature (B), and adult (C) A. agrestis individuals.
3.3. Intraspecific Competition
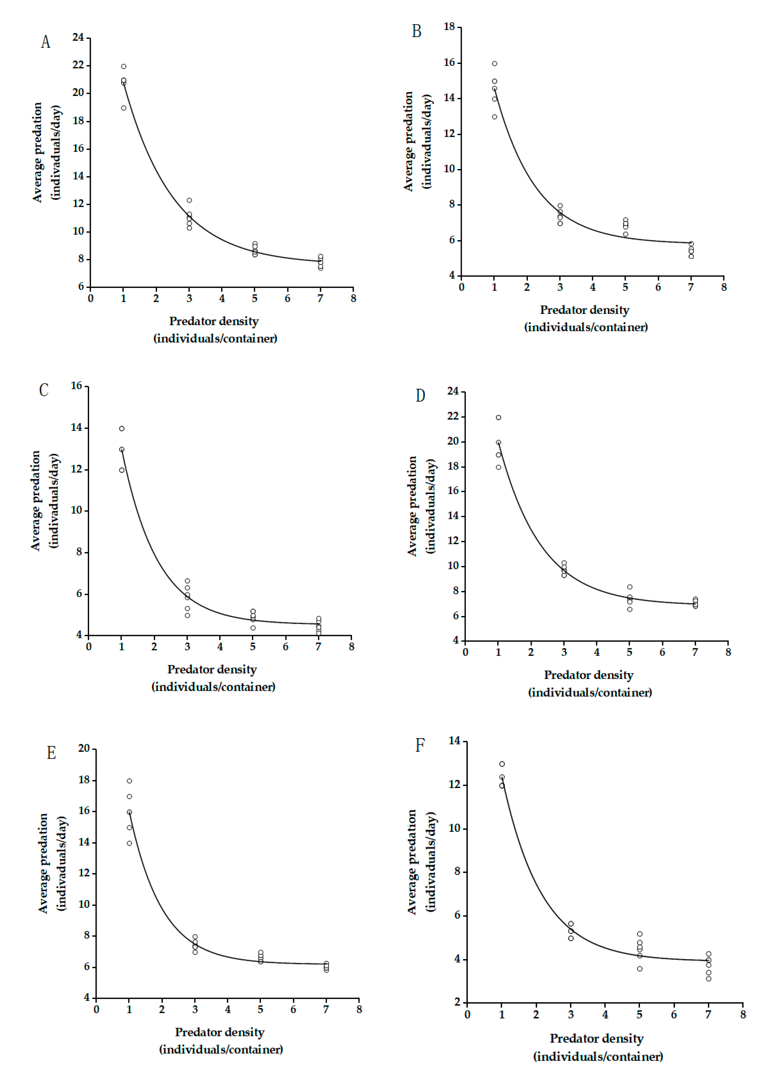
With increasing density of C. elysii, its predation on A. agrestis increased. However, the predation rate per adult gradually decreased (Figure 3). The equation E = QP−m of the Hassell model was used to fit the predator density. The values of the correlation coefficient R2 of the functional response were greater than 0.99, revealing that the predation rate of C. elysii was significantly correlated with its density and predator density interfered with its predation on slugs(Table 2). In other words, an increase in the density of predators led to an increase in the interference effect between predator individuals, which caused a decrease in the overall predation rate. The Q and m values of both male and female adults were significantly different for different sizes of slugs.
Figure 3.
Interspecific disturbance responses of male and female adults of C. elysii preying on A. agrestis; interspecific interference response of female adults to juvenile (A), immature (B), and adult (C) A. agrestis; Interspecific interference response of male adults to juvenile (D), immature (E), and adult (F) A. agrestis. Each data point represents the average predation of C. elysii adults at different densities. Curves were fitted using the intraspecific competition equation (Equation (3)).
Table 2.
Interference response coefficients of C. elysii density to distinct sizes of A. agrestis.
4. Discussion
Studying predation by natural enemies is important for determining the potential of certain species to control specific target pests [37]. The carabid beetles Harpalus rufipes (De Geer), Pterostichus melanarius (Illiger), Abax parallelepipedus (Piller and Mitterpacher), Poecilus cupreus Linnaeus, Carabus nemoralis Müller, and Pterostichus niger (Schaller) have been reported as prominent predators of slugs (e.g., Deroceras reticulatum (Müller), Arion lusitanicus Mabille) [38,39,40,41]. The effectiveness of natural enemies against pests is often evaluated by a predator–prey model using the Holling functional response, in which the maximum daily prey consumption (a’/Th) is a vital parameter that shows the predation efficacy of natural enemies against the prey. A greater a’/Th value expresses a greater control of natural enemies against pests [42]. In this study, the functional responses of female and male C. elysii to A. agrestis followed the Holling type II model. Female and male adults of the ground beetle are functionally capable of preying on different-sized (i.e., juvenile, immature, and adult) terrestrial slugs (Figure A1). The predation levels of the prey decreased with slug development, and the juveniles were the most affected prey. Previous studies have suggested that other carabid beetle species have a higher predation preference and capacity for small slugs. El-Danasoury et al. (2017) and El-Danasoury and Iglesias-Piñeiro (2018) reported that H. rufipes showed remarkable predation on the eggs and larvae of D. reticulatum under indoor conditions. The beetles’ ability to prey on small juveniles (≤5.0 mg) was greater than their ability to prey on medium-sized juvenile slugs (10–20 mg) and large juveniles (50–60 mg) [43,44]. McKemey et al. (2001) also found that under indoor conditions P. melanarius only fed on D. reticulatum larvae (<40 mg) and eggs and rarely fed on slugs over 40 mg [39,45]. The medium-sized slugs of D. reticulatum could be attacked by P. melanarius in the absence of alternative prey, but large slugs were not [38]. This situation is similar to that observed in the predation of slugs by C. nemoralis, C. violaceus, Pterostichus. madidus (Fabricius), A. parallelepipedus, etc. [40,41,46,47]. The body size of slugs has a greater effect on the predatory abilities of their natural enemies, which may be related to the defense mechanism of slugs [43]. Hanlon et al. (2008) observed that slugs secrete large amounts of calcium to increase the mucus’s viscosity to defend against natural enemies when they are exposed to damage [48,49]. Their ability to secrete mucus and defend against natural enemies is gradually strengthened as their defense mechanism progressively improves as they increase in body size.
Our study found that the maximum daily predation of slugs by female predators was more than that of the male adults, indicating that female predators have a greater predation ability on slugs. Oberholzer and Frank (2003) found that there was little distinctiveness between the predation rates of male and female adults of P. melanarius on D. reticulatum and no gender differences in P. cupreus [38]. No differences in the predation of P. melanarius on different slugs were found between the sexes either [50]. However, Symondson (1989) found that the female beetles ate more than the males, although their predation rates were similar when A. parallelepipedus fed on D. reticulatum [51]. Other predatory insects, such as Eocanthecona furcellata (Wolff), Arma chinensis (Fallou), and Orius similis Zheng on Spodoptera frugiperda (Smith) found that adult females consumed more prey than adult males [52,53,54]. All of these natural enemies showed larger body sizes in females than in males, which may be a reason for the difference in predation between males and females. Furthermore, females usually need to store more energy to supply their subsequent need to lay eggs.
The searching behavior of predators seeking to consume prey is called searching efficiency [35]. In our experiments, it was found that female adult skeptic beetles were more efficient in searching for slugs than male adults. The natural enemies mainly rely on the receptors on olfactory, auditory, tactile, and visual to search for prey, especially on the antennae, which are the main receptor organs of insects [55]. Some studies have shown that there was no significant difference in the morphological distribution of receptors on the antennae of female and male C. elysii, regardless of the fact that the total number of receptors in female adults was significantly higher than in male adults [31,32]. It was speculated that this may be the reason for the difference in the search effect between male and female adults.
Our experiments indicated that the density of the carabid beetle itself had a significant effect on predation on the same density of ground slugs. With the increase in density, the total predation gradually increased, but the average predation and predation rate gradually decreased. Mou et al. (2005) showed that total predation increased with predator density with the consumption of three species of lepidopteran larvae, Lampronadata cristata (Butler), Phalera assimilis (Bremer et Grey) and Hypocala subsatura (Guenee) by Calosoma maximoviczi Morowitzi [56]. However, the high density increased the mutual interference between individuals, decreasing the predation rate. Similarly, this phenomenon was found in the predation of other common predatory natural enemies, such as Propylea japonica (Thunberg), Menochilus sexmaculata (Fabricius), Orius sauteri (Poppius), etc. [37,57,58].
5. Conclusions
In this study, the results of the predation ability of female and male C. elysii on different sizes of A. agrestis under indoor conditions showed that the carabid beetle has strong potential to prevent and control the terrestrial slug. Future research should be conducted on the predation ability of larvae C. elysii, the biological characteristics of C. elysii, and the effects of different ecological factors on predation. Simultaneously, the actual occurrence features of slugs in the field, the influence of environmental factors, etc., should be fully considered for the systematic evaluation of the predation ability and pest control effect of the carabid beetle on terrestrial slugs. The release pattern, release density, and release time conditions of natural enemies in field conditions were clarified to lay the theoretical foundation for green ecological control of slugs.
Author Contributions
Conceptualization, L.J. and W.C.; methodology, L.J. and H.T.; formal analysis, R.Z. and X.W.; investigation, X.W. and F.G.; writing—original draft preparation, L.J.; validation, R.Z.; writing—review and editing, R.Z. and W.C. All authors have read and agreed to the published version of the manuscript.
Funding
This research received no external funding.
Institutional Review Board Statement
Not applicable.
Informed Consent Statement
Not applicable.
Data Availability Statement
The data represented in this study are available on request from the corresponding author.
Conflicts of Interest
The authors declare no conflict of interest.
Appendix A. Photos of Slug Damage and Beetle Predation
Figure A1.
A. agrestis damaging lettuce (a); female adult of C. elysii feeding on A. agrestis (b); male adult of C. elysii attacking A. agrestis (c,d).
Figure A1.
A. agrestis damaging lettuce (a); female adult of C. elysii feeding on A. agrestis (b); male adult of C. elysii attacking A. agrestis (c,d).

References
- South, A. Terrestrial Slugs: Biology, Ecology and Control; Chapman and Hall: London, UK, 1992. [Google Scholar]
- Barker, G.M. Molluscs as Crop Pests; CABI Publishing: Wallingford, UK, 2002; 468p. [Google Scholar]
- Liu, Y.Y.; Chen, D.N. The morphology of slugs and their damage to agriculture. Bull. Biol. 1966, 1, 23–27. [Google Scholar]
- Chen, D.N.; Gao, J.X. Common snails and slugs that damage crops and their control. Chin. J. Zool. 1976, 3, 24–26. [Google Scholar]
- Xue, D.J.; Deng, Y.; Luo, G.W.; Xia, X.Y.; Tian, H. Regularity of outbreak and control of Agriolimax cagrestis in Guiyang region. Guizhou Agric. Sci. 1998, 2, 40–43. [Google Scholar]
- Li, Y.H. Damage characteristics and control methods of Agriolimax agrestis, a vegetable crop in wengan. China Plant Prot. 2005, 8, 21. [Google Scholar]
- Li, Z.Z. List of Wildlife in Guizhou; Guizhou Science and Technology Publishing House: Guiyang, China, 2011. [Google Scholar]
- Chen, D.N.; Gao, J.X. Molluscs from Agricultural Regions of China; Agriculture Publishing House: Beijing, China, 1984. [Google Scholar]
- Chen, D.N.; Gao, J.X.; Shi, J.C. Natural extinction of Agriolimax agrestis in relation to agrometeorological conditions. Plant Prot. 1981, 4, 39. [Google Scholar]
- Shi, D.M.; Jiao, J.H. Study on the occurring regularity and integrated control of Agriolimax agrestis in green-house. For. Pest Dis. 1998, 1, 3–4, 27. [Google Scholar]
- Ne, Q.S.; Liu, Y.Q.; Li, C.; Huang, N.Y. Occurrence and control of wild slugs on farm tobacco. Sichuan Agric. Sci. Technol. 2009, 3, 49. [Google Scholar]
- Zhou, Y.S.; Yang, M.; Zhu, P.; Zhou, Z.Q.; Su, P.; Deng, J.; Wang, T.D. Occurrence pattern of Agriolimax agrestis in tobacco fields and its integrated control. J. Southwest Agric. Univ. 2003, 2, 93–100+110. [Google Scholar]
- Yu, Y.W. The research on Agriolimax agrestis breeding habits. Liaoning Agric. Sci. 2015, 2, 66–69. [Google Scholar]
- Guan, W.G. Patterns of occurrence and chemical control of Agriolimax agrestis in greenhouses in Daqing. Chin. J. Zool. 1989, 5, 6–9. [Google Scholar]
- Liu, H.L.; Liu, X. The occurrence and control of Agriolimax agrestis in tobacco fields in Sichuan. Sichuan Agric. Sci. Technol. 2013, 9, 39. [Google Scholar]
- Zhu, F.C. Patterns of occurrence of edible mushroom slugs and comprehensive prevention and control measures. J. Chang. Veg. 2017, 23, 54–56. [Google Scholar]
- Ni, P.; Zhang, J.Q.; Li, W.; Li, N.; Liu, Y.G.; Ma, C.W. Screening and efficacy trials of molluscicide for the control of snail pests in the field. Yunnan Agric. Sci. Technol. 2018, s1, 90–92. [Google Scholar]
- DeSilva, S.M.; Chesmore, D.; Smith, J.; Port, G. Listening to Slugs: Acceptability and Consumption of Molluscicide Pellets by the Grey Field Slug, Deroceras reticulatum. Insects 2021, 12, 548. [Google Scholar] [CrossRef] [PubMed]
- Amy, C.; Neil, A.; Gordon, P. The fate of Deroceras reticulatum following metaldehyde poisoning. Insects 2021, 12, 344. [Google Scholar]
- Barratt, B.I.P.; Moran, V.C.; Bigler, F.; van Lenteren, J.C. The status of biological control and recommendations for improving uptake for the future. BioControl 2018, 63, 155–167. [Google Scholar] [CrossRef] [Green Version]
- Wu, J.Z.; Guo, Q.; Yang, Y.Y.; Chen, W.L. Study on the predatory function of larva of Lampyrigera yunnana (Fairmaire) Coleoptera: Cantharidae. J. Mt. Agric. Biol. 2016, 35, 25–29. [Google Scholar]
- Archita, B.; Christopher, D.W.; Jenna, L.R. A literature review of biological and bio-rational control strategies for slugs: Current research and future prospects. Insects 2021, 12, 541. [Google Scholar]
- Kromp, B. Carabid beetles in sustainable agriculture: A review on pest control efficacy, cultivation impacts and enhancement. Agric. Ecosyst. Environ. 1999, 74, 187–228. [Google Scholar] [CrossRef]
- Symondson, W.O.C.; Sunderland, K.D.; Greenstone, M.H. Can generalist predators be effective biocontrol agents? Annu. Rev. Entomol. 2002, 47, 561–594. [Google Scholar] [CrossRef] [Green Version]
- Symondson, W.O.C. Coleoptera (Carabidae, Staphylinidae, Lampyridae, Drilidae and Silphidae) as predators of terrestrial gas-tropods. In Natural Enemies of Terrestrial Molluscs; Barker, G.M., Ed.; CABI Publishing: Wallingford, UK, 2004; pp. 37–84. [Google Scholar]
- Hu, D.J. Ningbo Forestry Pest Atlas; China Science and Technology Publishing House: Beijing, China, 2013. [Google Scholar]
- Shi, J. Common Forest Insects and Spiders in the Middle and Lower Reaches of the Yangtze River; Northeast Forestry University Publishing House: Harbin, China, 2008. [Google Scholar]
- Zhao, M.J.; Li, L.Z.; Tang, L. The Colourful World of Insects, An Ecological Catalogue of 600 Species of Insects in China; Shanghai Popular Science Publishing House: Shanghai, China, 2005. [Google Scholar]
- Zhu, C.Q.; Qing, D.M.; Yin, X.M. Insect Fauna of Henan: Coleoptera; Henan Science and Technology Press: Zhengzhou, China, 1999. [Google Scholar]
- Yang, X.R.; Li, W.B. Comparative morphology of the mouthparts of three species of Carabus insects. Mod. Agric. Sci. Technol. 2006, 12, 125–126. [Google Scholar]
- Qi, Q. Ultrastructure on the Cephalic Appeendages sensorial of three kinds of carabus. Master Thesis, Anhui University, Hefei, China, 2015. [Google Scholar]
- Li, W.B.; Liu, N.Y.; Xu, Q.; Sun, M.; Fang, J.; Wang, S.Y. Ultrastructure structure of antennal sensilla of carabid beetle Carabus elysii Thomson, 1856 (Coleoptera: Carabidae). Entomol. Res. 2017, 49, 81–86. [Google Scholar] [CrossRef] [Green Version]
- Ma, C.J.; Wang, R.; Liu, B.; Huang, B.; Hou, Y.M.; Tang, B.Z. Molluscicidal activity of tea saponin to Pomacea canaliculata and its safety evaluation against three aquatic organisms. Chin. J. Pestic. Sci. 2021, 23, 139–145. [Google Scholar]
- Holling, C.S. Some characteristics of simple type of predation and parasitism. Can. Entomol. 1959, 91, 385–398. [Google Scholar] [CrossRef]
- Ding, Y.Q. Principles and Applications of Mathematical Ecology of Insect Populations; Science Press: Beijing, China, 1980; Volume 11, pp. 195–211. [Google Scholar]
- Hassell, M.P.; Varley, G.C. New inductive population model for insect parasites and its bearing on biological control. Nature 1969, 223, 1133–1137. [Google Scholar] [CrossRef] [PubMed]
- Fu, B.L.; Qiu, H.Y.; Li, Q.; Shun, Y.Y.; Zhou, S.H.; Yang, S.Y.; Li, S.G.; Tang, L.G.; Zhang, F.P.; Liu, K. Predation of Orius sauteri on Thrips hawaiiensis in the laboratory. Chin. J. Appl. Entomol. 2019, 56, 91–98. [Google Scholar]
- Oberholzer, F.; Frank, T. Predation by the Carabid Beetles Pterostichus melanarius and Poecilus cupreus on Slugs and Slug Eggs. Biocontrol. Sci. Technol. 2003, 1, 99–110. [Google Scholar] [CrossRef]
- McKemey, A.R.; Symondson, W.O.C.; Glen, D.M. Predation and prey size choice by the carabid beetle Pterostichus melanarius (Coleoptera: Carabidae): The dangers of extrapolating from laboratory to field. Bull. Entomol. Res. 2003, 93, 227–234. [Google Scholar] [CrossRef] [PubMed]
- Pianezzola, E.; Roth, S.; Hatteland, B.A. Predation by carabid beetles on the invasive slug Arion vulgaris in an agricultural semi-field experiment. Bull. Entomol. Res. 2013, 103, 225–232. [Google Scholar] [CrossRef]
- Wendland, S.; Baudy, P.; Fusser, M.S.; Entling, M.H.; Schirmel, J. Contrasting predation pressure of different ground beetles on slugs and their eggs. BioControl 2017, 62, 749–756. [Google Scholar] [CrossRef]
- Zhou, J.Z.; Chen, C.M. Predation of wolf spider, Lycsoa Pseudoamulata on brown planthopper, Nilaparvata lugens, and its simalution model: I.functional response. Biological. Control. Bull. 1986, 2, 2–9. [Google Scholar]
- El-Danasoury, H.; Cerecedo, C.; Córdoba, M.; Iglesias-Piñeiro, J. Predation by the carabid beetle Harpalus rufipes on the pest slug Deroceras reticulatum in the laboratory. Ann. Appl. Biol. 2017, 170, 251–262. [Google Scholar] [CrossRef]
- El-Danasoury, H.; Iglesias-Piñeiro, J. Predation by polyphagous carabid beetles on eggs of a pest slug: Potential implications of climate change. J. Appl. Entomol. 2018, 142, 340–348. [Google Scholar] [CrossRef]
- Mckemey, A.R.; Symondson, W.O.C.; Glen, D.M.; Brain, P. Effects of slug size on predation by Pterostichus melanarius (Coleoptera: Carabidae). Biocontrol. Sci. 2001, 11, 83–93. [Google Scholar] [CrossRef]
- Paill, W. Slug feeding in the carabid beetle Pterostichus melanarius: Seasonality and dependence on prey size. J. Molluscan Stud. 2004, 70, 203–205. [Google Scholar] [CrossRef] [Green Version]
- Hatteland, B.A.; Grutle, K.; Mong, C.E.; Skartveit, J.; Symondson, W.O.C.; Solhøy, T. Predation by beetles (Carabidae, Staphylinidae) on eggs and juveniles of the Iberian slug Arion lusitanicus in the laboratory. Bull. Entomol. Res. 2010, 100, 559–567. [Google Scholar] [CrossRef]
- O’Hanlon, A.; Williams, C.D.; Gormally, M.J. Terrestrial slugs (Mollusca: Gastropoda) share common anti-predator defence mechanisms but their expression differs among species. J. Zool. 2008, 307, 203–214. [Google Scholar] [CrossRef] [Green Version]
- Bursztyka, P.; Lafont-Lecuelle, C.; Teruel, E.; Leclercq, J.; Brin, A.; Pageat, P. Behavioural response of xerophilous land snail and slug species to chemical cues from ground-beetle predators: The role of ecological relevance. J. Molluscan Stud. 2018, 84, 141–147. [Google Scholar] [CrossRef]
- Fontan, P. Influence of slug defence mechanisms on the prey preferences of the carabid predator Pterostichus melanarius (Coleptera: Carabidae). Eur. J. Entomol. 2004, 101, 359–364. [Google Scholar]
- Symondson, W.O.C. Biological control of slugs by carabids. Biol. Control. Slugs Carabidsr 1989, 41, 295–300. [Google Scholar]
- Pan, Y.N.; Yao, M.Y.; Fu, D.; Guo, F.; Qin, R.; Jiang, L.; Chen, W.L. Predation Effects of Eocanthecona furcellata Adults Against Spodoptera frugiperda Larvae. J. Mt. Agric. Biol. 2020, 39, 23–27. [Google Scholar]
- Zeng, G.; Zhi, J.R.; Zhang, C.R.; Zhang, T.; Ye, J.Q.; Zhou, L.; Hu, C.X.; Ye, M. Orius similis (Hemiptera: Anthocoridae): A Promising Candidate Predator of Spodoptera frugiperda (Lepidoptera: Noctuidae). J. Econ. Entomol. 2021, 114, 582–589. [Google Scholar] [CrossRef] [PubMed]
- Wang, Y.; Zhang, H.M.; Yin, Y.Q.; Li, X.Y.; Zhao, X.Q.; Tang, Y.T.; Wang, M.Q.; Shen, A.D.; Chen, F.S.; Zhang, L.S. Predation of adult of Arm achinensis to larvae of spodoptera frugiperda. Plant. Prot. 2019, 45, 42–46. [Google Scholar]
- Yu, H.Z. Research Progress of Insect Antennal Sensilla. J. Anhui Agric. Sci. 2007, 35, 4238. [Google Scholar]
- Mou, Z.G. Studies on Biology and Predacious Function of Calosoma maximoviczi Morowitzi. Shandong Agric. Univ. 2005. [Google Scholar]
- Zhou, J.H.; Li, P.L.; Naiwuzhati, Z.N.; Zheng, H.N.; Huang, J.; Wang, Z.H. Functional response and predation preference of ladybeetle Propylea japonica to Asian citrus psyllid Diaphorina citri. J. Plant Prot. 2020, 47, 1062–1070. [Google Scholar]
- Li, P.; Zhu, J.X.; Mo, X.N.; Lin, X.M.; Liu, T.Z.; Li, J.H.; Cai, D.C. The functional response of Menochilus sexmaculata on Megal. Usitatus. Chin. J. Biol. Control. 2021, 1–13. [Google Scholar] [CrossRef]
Publisher’s Note: MDPI stays neutral with regard to jurisdictional claims in published maps and institutional affiliations. |
© 2021 by the authors. Licensee MDPI, Basel, Switzerland. This article is an open access article distributed under the terms and conditions of the Creative Commons Attribution (CC BY) license (https://creativecommons.org/licenses/by/4.0/).


