The Effects of Locality and Host Plant on the Body Size of Aeolothrips intermedius (Thysanoptera: Aeolothripidae) in the Southwest of Poland
Abstract
1. Introduction
2. Materials and Methods
2.1. Sites and Insect Sampling
2.2. Morphometric Measurements
2.3. Data Analysis
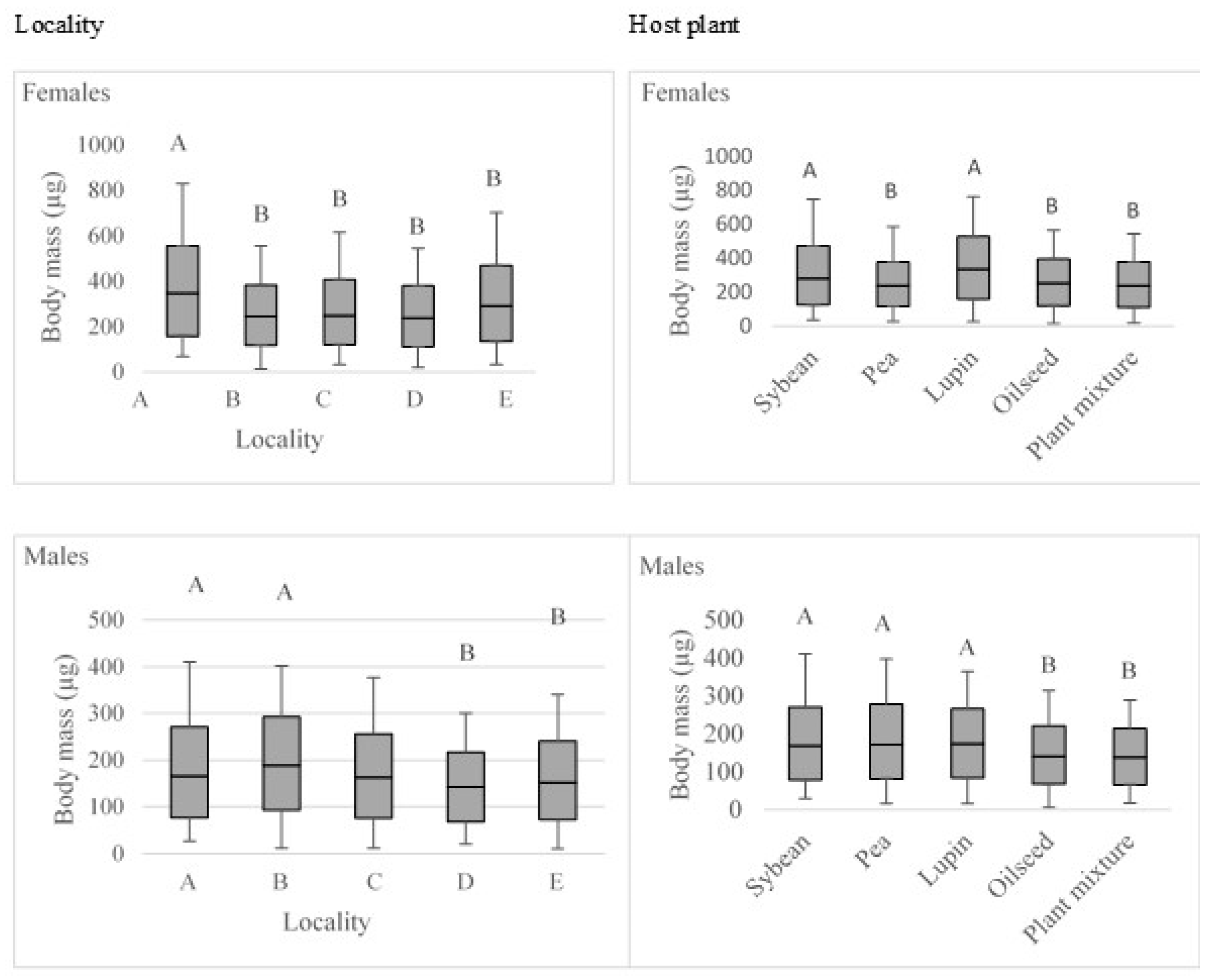
3. Results
4. Discussion
5. Conclusions
Supplementary Materials
Author Contributions
Funding
Acknowledgments
Conflicts of Interest
References
- Hurej, M.; Kucharczyk, H.; Twardowski, P.J.; Kozak, M. Thrips (Thysanoptera) associated with narrow-leafed lupin intercropped with spring triticale. Romanian Agric. Res. 2014, 31, 337–345. [Google Scholar]
- Hurej, M.; Kucharczyk, H.; Twardowski, P.J.; Kotecki, A. Thrips (Thysanoptera) associated with two genetically modified types of linseed. J. Plant Dis. Prot. 2017, 124, 81–91. [Google Scholar] [CrossRef][Green Version]
- Saengyot, S. Predatory thrips species composition, their prey and host plant association in Northern Thailand. Agric. Nat. Resour. 2016, 50, 380–387. [Google Scholar] [CrossRef]
- Trdan, S.; Andjus, L.; Raspudi, E.; Kač, M. Distribution of Aeolothrips intermedius Bagnall and its potential prey Thysanoptera species on different cultivated host plants. J. Pest Sci. 2005, 78, 217–226. [Google Scholar] [CrossRef]
- Kucharczyk, H.; Setniewska, M.; Legutowska, H. Differentiation of thrips (Thysanoptera) fauna on herbal plants in Warsaw region. Prog. Plant Prot./Post. Ochr. Roślin 2006, 46, 429–432. [Google Scholar]
- Marullo, R. Host-plant range and relationships in the Italian thrips fauna. Acta Phytophatol. Entomol. Hung. 2004, 39, 243–245. [Google Scholar] [CrossRef]
- Conti, B. Notes on the presence of Aeolothrips intermedius in northwestern Tuscany and on its development under laboratory conditions. Bull. Insectol. 2009, 62, 107–112. [Google Scholar]
- Collins, D.W. Thysanoptera of Great Britain: A revised and updated checklist. Zootaxa 2010, 2412, 21–41. [Google Scholar] [CrossRef]
- Alavi, J.; Minaei, K. Studies on the genus Aeolothrips (Thysanoptera: Aeolothripidae) in Iran, with a key to species. Zootaxa 2018, 4446, 343–360. [Google Scholar] [CrossRef]
- Houge, J.N.; Hawkins, C.P. Morphological variation in adult aquatic insects: Association with developmental temperature and seasonal growth patterns. J. N. Am. Benthol. Soc. 1991, 10, 309–321. [Google Scholar] [CrossRef]
- Benitez, H.; Pizarro-Araya, J.; Sanzana, M.B.; Alfaro, F. Morphological variation on isolated populations of Praocis spinolai. J. Insect Sci. 2014, 14, 1–12. [Google Scholar] [CrossRef]
- Harrelson, P.C.; Valentino, J.B. Phenotypic Plasticity: Molecular Mechanisms, Evolutionary Significance and Impact on Speciation; Nova Science Publishers, Inc.: Hauppauge, NY, USA, 2013; pp. 1–107. [Google Scholar]
- Ziv, N.; Shuster, B.M.; Siegal, M.L.; Gresham, D. Resolving the complex genetic basis of phenotypic variation and variability of cellular growth. Genetics 2017, 206, 1645–1657. [Google Scholar] [CrossRef] [PubMed]
- Wang, Y.Z.; Li, B.Y.; Hoffman, A.A.; Cao, L.J.; Gong, J.Y.; Song, W.; Zhu, J.Y.; Wei, S.J. Patterns of genetic variation among geographic and host-plant associated populations of the peach fruit moth Carposina sasakii (Lepidoptera: Carposinidae). BMC Evol. Biol. 2017, 17, 265. [Google Scholar] [CrossRef] [PubMed]
- Barman, A.K.; Sansone, C.G.; Parajulee, M.N.; Medina, R.F. Population genetic structure of Pseudatomoscelis seriatus (Hemiptera: Miridae) in the cotton-growing regions of the United States. J. Econ. Entomol. 2013, 106, 2225–2233. [Google Scholar] [CrossRef] [PubMed]
- Shi, W.; Yang, T.; Ye, H.; Cao, J. Impact of Host Plants on genetic variation in the Bactrocera tau (Diptera: Tephritidae) based on molecular markers. J. Entomol. Sci. 2017, 52, 411–426. [Google Scholar] [CrossRef]
- Lebbal, S.; Mezghani-Khemakhem, M.; Bouallegue, M.; Ben Amara, W.; Khalfallah, Y.; Makni, M.; Bouktila, D. Host-associated Genetic Differentiation of the Green Citrus Aphid, Aphis spiraecola (Hemiptera: Aphididae) in Algeria. J. Entomol. Res. Soc. 2019, 21, 115–127. [Google Scholar]
- Lin, X.; Xu, Y.; Jiang, J.; Lavine, M.; Lavine, L.C. Host quality induces phenotypic plasticity in a wing polyphenic insect. Proc. Natl. Acad. Sci. USA 2018, 115, 7563–7568. [Google Scholar] [CrossRef]
- Clark, R.M.; Zera, A.J.; Behmer, S.T. Nutritional physiology of life-history trade-offs: How food protein-carbohydrate content influences life-history traits in the wing-polymorphic cricket Gryllus firmus. J. Exp. Biol. 2015, 218, 298–308. [Google Scholar] [CrossRef]
- Boggs, C.L. Understanding insect life histories and senescence through a resource allocation lens. Funct. Ecol. 2009, 23, 27–37. [Google Scholar] [CrossRef]
- Johari, A.; Herlinda, S.; Pujiastuti, J.; Irsam, C.; Sartiami, D. Morphological and genetic variation of Thrips parvispinus (Thysanoptera: Thripidae) in chili plantation (Capsicum annuum L.) in the lowland and highland of Jambi Province, Indonesia. Am. J. BioSci. 2014, 2, 17–21. [Google Scholar]
- de Kogel, W.J.; Bosco, D.; Van Der Honek, M.; Mollema, C. Effect of host plant on body size of Frankliniella occidentalis (Thysanoptera: Thripidae) and its correlation with reproductive capacity. Eur. J. Entomol. 1999, 96, 365–368. [Google Scholar]
- Scheiner, S.M. Genetics and evolution of phenotypic plasticity. Annu. Rev. Ecol. Syst. 1993, 24, 35–68. [Google Scholar] [CrossRef]
- Svanbäck, R.; Eklöv, P. Genetic variation and phenotypic plasticity: Causes of morphological and dietary variation in Eurasian perch. Evol. Ecol. Res. 2006, 8, 37–49. [Google Scholar]
- Beukeboom, L.W. Size matters in insects—An introduction. Special Issue—Effects of Nutrition, Development, and Genetics on Fitness. Entomol. Exp. Appl. 2018, 166, 2–3. [Google Scholar] [CrossRef]
- Choe, J.C.; Crespi, B.J. The Evolution of Mating Systems in Insects and Arachnids; Cambridge University Press: Cambridge, UK, 1997; pp. 1–387. [Google Scholar]
- Stearns, S.C. The Evolution of Life Histories; Oxford University Press: Oxford, UK, 1992; pp. 1–264. [Google Scholar]
- Moczek, A.P. Phetotypic plasticity and diversity of insects. Philos. Trans. R. Soc. B Biol. Sci. 2010, 365, 593–603. [Google Scholar] [CrossRef] [PubMed]
- Hassall, C.; Keat, S.; Thompson, D.J.; Watts, P.C. Bergmann’s rule is maintained during a rapid range expansion in a damselfly. Glob. Chang. Biol. 2014, 20, 475–482. [Google Scholar] [CrossRef] [PubMed]
- Oguz, G.; Kasap, O.E.; Alten, B. Wing morphology variations in a natural population of Phlebotomus tobbi Adler and Theodor 1930. J. Vector Ecol. 2017, 42, 223–232. [Google Scholar] [CrossRef] [PubMed]
- Sukhodolskaya, R.A.; Saveliev, A.A. Effects of Ecological Factors on Size. Related Traits in the Ground Beetle Carabus granulatus L. (Coleoptera, Carabidae). Russ. J. Ecol. 2014, 45, 414–420. [Google Scholar] [CrossRef]
- Alves, V.M.; Moura, M.O.; de Carvalho, C. Wing shape is influenced by mental variability in Polietina orbitalis (Stein) (Diptera: Muscidae). Rev. Bras. Entomol. 2016, 60, 150–156. [Google Scholar] [CrossRef]
- Bai, Y.; Dong, J.J.; Guan, D.L.; Xie, J.Y.; Xua, S.Q. Geographic variation in wing size and shape of the grasshopper Trilophidia annulata (Orthoptera: Oedipodidae): Morphological trait variations follow an ecogeographical rule. Sci. Rep. 2016, 6, 32680. [Google Scholar] [CrossRef]
- Whitman, D.; Ananthakrishnan, T.N. Phenotypic Plasticity of Insects: Mechanisms and Consequences; CRC Press: Boca Raton, FL, USA, 2009; pp. 1–904. [Google Scholar]
- Fischer, K.; Liniek, S.; Bauer, M.; Baumann, B.; Richter, S.; Dierks, A. Phenotypic plasticity in temperature stress resistance is triggered by photoperiod in a fly. Evol. Ecol. 2012, 26, 1067–1083. [Google Scholar] [CrossRef]
- Murai, T.; Toda, S. Variation of Thrips tabaci in colour and size. In Thrips and tospoviruses: Proceedings of the 7th International Symposium of Thysanoptera; Australian National Insect Collection: Canberra, Australia, 2002; pp. 377–378. [Google Scholar]
- Belgano, A.; Reiss, J. The role of body size in multispecies systems. In Advances in Ecological Research; Academic Press: Cambridge, MA, USA, 2011; pp. 1–352. [Google Scholar]
- Giles, K.L.; Madden, R.D.; Payton, M.E.; Dilwith, J.W. Chrysoperla rufilabris (Neuroptera: Chrysopidae) supplied with pea aphids (Homoptera: Aphididae) reared on alfalfa and faba bean. Environ. Entomol. 2000, 29, 304–311. [Google Scholar] [CrossRef]
- Price, P.W.; Denno, R.F.; Eubanks, M.D.; Finke, D.L.; Kaplan, I. Insect Ecology, Behavior, Populations and Communities; Cambridge University Press: Cambridge, UK, 2011; pp. 1–828. [Google Scholar]
- Mustafa, T.; Horton, D.R.; Swisher, K.D.; Zack, R.S.; Munyaneza, J.E. Effects of Host Plant on Development and Body Size of Three Haplotypes of Bactericera cockerelli (Hemiptera: Triozidae). Environ. Entomol. 2015, 44, 593–600. [Google Scholar] [CrossRef] [PubMed]
- Giles, K.L.; Madden, R.D.; Stockland, R.; Payton, M.E.; Dillwith, J.W. Host plants affect predator fitness via the nutritional value of herbivore prey: Investigation of a plant-aphid-ladybeetle system. BioControl 2002, 47, 1–21. [Google Scholar] [CrossRef]





| Locality | Coordinates | Crop | Varieties | Sampling Date | Mean Temperature and Monthly Precipitation Sum for July 2017 |
|---|---|---|---|---|---|
| A | 1. 51°.166903 N, 17°.097462 E 2. 51°.178658 N, 17°.114833 E | Soybean | Merlin Aligator | 03.07.17 | Temp: 17.7 °C; 153 mm |
| B | 1. 50°.073262 N, 18°.028060 E | Soybean | Petrina | 11.07.17 | Temp: 16.4 °C; 95 mm |
| C | 1. 50°.801401 N, 17°.551957 E 2. 50°.800838 N, 17°.554210 E | Soybean, Pea | Aldana James | 04.07.17 | Temp: 18.2 °C; 141 mm |
| D | 1. 51°.231556 N, 17°.876641 E 2. 51°.228459 N, 17°.881705 E | Narrow-leafed lupin, Oilseed rape | Jowisz Kolumb | 07.07.17 | Temp: 17.9 °C; 116 mm |
| E | 51°.144733 N, 17°.640499 E | Plant mixture | 19 species of flowering plants | 06.07.17 | Temp: 18.6 °C; 130 mm |
| Females | Males | |||||||
|---|---|---|---|---|---|---|---|---|
| PCA 1 | PCA 2 | PCA 1 | PCA 2 | |||||
| Proportion of the Variance Explained | ||||||||
| 68.2% | 10.6% | 52.47% | 19.6% | |||||
| Eigenvalues | ||||||||
| Body length | 0.37 | 0.67 | 0.22 | 0.71 | ||||
| Head length | 0.43 | −0.45 | 0.46 | −0.37 | ||||
| Head width | 0.41 | −0.53 | 0.47 | −0.20 | ||||
| Antennae length | 0.37 | 0.22 | 0.45 | −0.15 | ||||
| Wing length | 0.42 | 0.12 | 0.30 | 0.54 | ||||
| Pronotum length | 0.43 | 0.07 | 0.48 | 0.04 | ||||
| Significance of the axes | ||||||||
| F | p | F | p | F | p | F | p | |
| Locality | 34.47 | <0.001 | 1.47 | 0.2324 | 15.94 | <0.001 | 26.57 | <0.001 |
| Locality × Body length | 4.18 | 0.0271 | 4.40 | 0.0232 | 3.93 | 0.0375 | 1.82 | 0.2162 |
| Locality × Head length | 1.14 | 0.3210 | 1.56 | 0.0666 | 2.17 | 0.0092 | 2.46 | 0.0030 |
| Locality × Head width | 4.07 | <0.001 | 1.93 | 0.0097 | 0.54 | 0.9532 | 2.23 | 0.0050 |
| Locality × Antennae length | 4.10 | <0.001 | 1.12 | 03438 | 0.67 | 0.8603 | 1.67 | 0.0691 |
| Locality × Wing length | 0.69 | 0.7597 | 0.60 | 0.8311 | 1.70 | 0.0993 | 2.00 | 0.0469 |
| Locality × Pronotum length | 1.93 | 0.0137 | 1.86 | 0.0188 | 1.24 | 0.2469 | 4.18 | <0.001 |
| Host plant | 23.24 | <0.001 | 31.24 | <0.001 | 2.33 | 0.1001 | 3.93 | 0.0215 |
| Host plant × Body length | 13.65 | 0.0012 | 7.44 | 0.0084 | 1.57 | 0.2838 | 0.15 | 0.9818 |
| Host plant × Head length | 2.36 | 0.0150 | 4.33 | <0.001 | 1.76 | 0.0767 | 2.46 | 0.0110 |
| Host plant × Head width | 59.81 | <0.001 | 3.11 | 0.0002 | 0.58 | 0.9034 | 0.56 | 0.9148 |
| Host plant × Antennae length | 4.10 | <0.001 | 1.95 | 0.0430 | 0.48 | 0.9379 | 0.80 | 0.6748 |
| Host plant × Wing length | 1.30 | 0.2592 | 1.98 | 0.0529 | 0.42 | 0.9357 | 0.83 | 0.6160 |
| Host plant × Pronotum length | 0.57 | 0.8845 | 2.33 | 0.0084 | 1.44 | 0.1601 | 0.49 | 0.9309 |
| Body Mass (µg) | ||||||
|---|---|---|---|---|---|---|
| Dependent Variable | Locality | Host Plant | Host Plant × Locality | |||
| F | p | F | p | F | p | |
| Females | 27.27 | <0.0001 | 17.49 | <0.0001 | 0.14 | 0.7096 |
| Males | 8.37 | <0.0001 | 26.17 | <0.0001 | 0.09 | 0.7700 |
© 2019 by the authors. Licensee MDPI, Basel, Switzerland. This article is an open access article distributed under the terms and conditions of the Creative Commons Attribution (CC BY) license (http://creativecommons.org/licenses/by/4.0/).
Share and Cite
Gruss, I.; Twardowski, J.P.; Cierpisz, M. The Effects of Locality and Host Plant on the Body Size of Aeolothrips intermedius (Thysanoptera: Aeolothripidae) in the Southwest of Poland. Insects 2019, 10, 266. https://doi.org/10.3390/insects10090266
Gruss I, Twardowski JP, Cierpisz M. The Effects of Locality and Host Plant on the Body Size of Aeolothrips intermedius (Thysanoptera: Aeolothripidae) in the Southwest of Poland. Insects. 2019; 10(9):266. https://doi.org/10.3390/insects10090266
Chicago/Turabian StyleGruss, Iwona, Jacek Piotr Twardowski, and Marcin Cierpisz. 2019. "The Effects of Locality and Host Plant on the Body Size of Aeolothrips intermedius (Thysanoptera: Aeolothripidae) in the Southwest of Poland" Insects 10, no. 9: 266. https://doi.org/10.3390/insects10090266
APA StyleGruss, I., Twardowski, J. P., & Cierpisz, M. (2019). The Effects of Locality and Host Plant on the Body Size of Aeolothrips intermedius (Thysanoptera: Aeolothripidae) in the Southwest of Poland. Insects, 10(9), 266. https://doi.org/10.3390/insects10090266

