Production of Lithium and Heavy Elements in AGB Stars Experiencing PIEs
Abstract
1. Introduction
2. Computation of AGB Stellar Models
2.1. Initial Conditions and Nuclear Network
2.2. Overshoot Mixing
3. Results
3.1. Lithium Production in a 1 [Fe/H] AGB Model
3.2. PIE Lithium Production as a Function of Mass and Metallicity
- (1)
- 3He is massively synthesized in low mass stars during core H-burning and [38] showed a positive correlation between the main sequence duration, i.e., the initial stellar mass and the production of 3He. Following the first dredge up that brings 3He to the surface, the following evolutionary stages weakly affect its abundance, provided extra mixing mechanisms like thermohaline or rotation are not included (e.g., [39,40,41,42,43]). Given the higher 3He abundance in the lower mass stars at the time of the PIE (Figure 5), we would expect a higher production of Li in these lower mass models. As a numerical test, we increased and decreased the 3He mass fraction by a factor of 10 in the envelope of a 1 at [Fe/H] right before the PIE. The resulting surface A(Li) after the PIE is accordingly impacted by a factor of ∼10 (black arrows in Figure 4).
- (2)
- As the PIE proceeds, the layers of the pulse expand and the temperature decreases. The production of 7Be (through 3He()7Be) thus depends on how long a sufficiently high temperature is maintained in the convective pulse. This is determined by the pulse characteristics which vary with initial mass, metallicity and, in a given model, from pulse to pulse. During a PIE, our high-mass AGB models maintain a large temperature longer at the bottom of the pulse before the merging of the pulse with the envelope. This tends to favor the production of 7Li in higher mass stars.
- (3)
- Finally, with increasing initial mass, the extent of the pulse decreases while the mass of the envelope increases. For example, in our 1, 2 and 3 models at [Fe/H] , the ratio of the envelope to pulse mass is , 40 and 200, respectively. The lithium is thus more diluted in the more massive envelope of higher mass stars, which results in smaller Li surface enrichments.
3.3. Production of 13C
3.4. Heavy Element Production with the i-Process
4. Conclusions
Author Contributions
Funding
Data Availability Statement
Acknowledgments
Conflicts of Interest
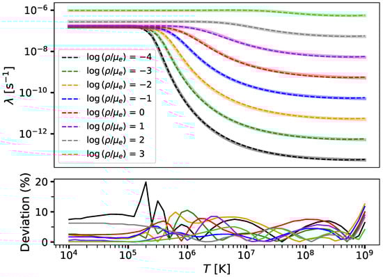
Appendix A. Analytical Fit to the 7Be + e‒ → 7Li + νe Decay Rate
| − | |||||
| − | − | − | |||
| − | − |
| 1 | [X/Y] with and the numbers of atoms of elements X and Y in the considered model (or observed star) and in the Sun. |
| 2 | A(Li) , where and refer to the numbers of atoms of lithium and hydrogen, respectively. |
| 3 | At a given time, the average stellar mass fraction of species i is given by with the stellar mass and the mass fraction of chemical species i at mass coordinate . |
| 4 | The yield of a nucleus i is computed according to the relation where is the total lifetime of the model star, and and are the surface mass fraction of the nucleus, and the mass-loss rate at time, t, respectively. The A(Li) value in the yields can then be computed as A(Li) . |
References
- Karakas, A.I.; Lattanzio, J.C. The Dawes Review 2: Nucleosynthesis and Stellar Yields of Low- and Intermediate-Mass Single Stars. Publ. Astron. Soc. Aust. 2014, 31, e030. [Google Scholar] [CrossRef]
- Fujimoto, M.Y.; Ikeda, Y.; Iben, I., Jr. The Origin of Extremely Metal-poor Carbon Stars and the Search for Population III. Astrophys. J. 2000, 529, L25–L28. [Google Scholar] [CrossRef]
- Iwamoto, N.; Kajino, T.; Mathews, G.J.; Fujimoto, M.Y.; Aoki, W. Flash-Driven Convective Mixing in Low-Mass, Metal-deficient Asymptotic Giant Branch Stars: A New Paradigm for Lithium Enrichment and a Possible s-Process. Astrophys. J. 2004, 602, 377–388. [Google Scholar] [CrossRef]
- Starrfield, S.; Truran, J.W.; Sparks, W.M. Novae, supernovae, and neutron sources. Astrophys. J. 1975, 198, L113–L117. [Google Scholar] [CrossRef]
- Cowan, J.J.; Rose, W.K. Production of C-14 and neutrons in red giants. Astrophys. J. 1977, 212, 149–158. [Google Scholar] [CrossRef]
- Cristallo, S.; Piersanti, L.; Straniero, O.; Gallino, R.; Domínguez, I.; Käppeler, F. Asymptotic-Giant-Branch Models at Very Low Metallicity. Publ. Astron. Soc. Aust. 2009, 26, 139–144. [Google Scholar] [CrossRef]
- Choplin, A.; Siess, L.; Goriely, S. The intermediate neutron capture process. I. Development of the i-process in low-metallicity low-mass AGB stars. Astron. Astrophys. 2021, 648, A119. [Google Scholar] [CrossRef]
- Denissenkov, P.A.; Herwig, F.; Battino, U.; Ritter, C.; Pignatari, M.; Jones, S.; Paxton, B. I-process Nucleosynthesis and Mass Retention Efficiency in He-shell Flash Evolution of Rapidly Accreting White Dwarfs. Astrophys. J. 2017, 834, L10. [Google Scholar] [CrossRef]
- Denissenkov, P.A.; Herwig, F.; Woodward, P.; Andrassy, R.; Pignatari, M.; Jones, S. The i-process yields of rapidly accreting white dwarfs from multicycle He-shell flash stellar evolution models with mixing parametrizations from 3D hydrodynamics simulations. Mon. Not. R. Astron. Soc. 2019, 488, 4258–4270. [Google Scholar] [CrossRef]
- Piersanti, L.; Yungelson, L.R.; Cristallo, S.; Tornambé, A. He-accreting WD: Nucleosynthesis in the extreme binary system (1.02 + 0.30) M⊙. Mon. Not. R. Astron. Soc. 2019, 484, 950–963. [Google Scholar] [CrossRef]
- Pignatari, M.; Zinner, E.; Hoppe, P.; Jordan, C.J.; Gibson, B.K.; Trappitsch, R.; Herwig, F.; Fryer, C.; Hirschi, R.; Timmes, F.X. Carbon-rich Presolar Grains from Massive Stars: Subsolar 12C/13C and 14N/15N Ratios and the Mystery of 15N. Astrophys. J. 2015, 808, L43. [Google Scholar] [CrossRef]
- Banerjee, P.; Qian, Y.Z.; Heger, A. New Neutron-capture Site in Massive Pop III and Pop II Stars as a Source for Heavy Elements in the Early Galaxy. Astrophys. J. 2018, 865, 120. [Google Scholar] [CrossRef]
- Clarkson, O.; Herwig, F.; Pignatari, M. Pop III i-process nucleosynthesis and the elemental abundances of SMSS J0313-6708 and the most iron-poor stars. Mon. Not. R. Astron. Soc. 2018, 474, L37–L41. [Google Scholar] [CrossRef]
- Clarkson, O.; Herwig, F. Convective H-He Interactions in Massive Population III Stellar Evolution Models. Mon. Not. R. Astron. Soc. 2020, 500, 2685–2703. [Google Scholar] [CrossRef]
- Fujimoto, M.Y.; Iben, I., Jr.; Hollowell, D. Helium Flashes and Hydrogen Mixing in Low-Mass Population III Stars. Astrophys. J. 1990, 349, 580. [Google Scholar] [CrossRef]
- Schlattl, H.; Cassisi, S.; Salaris, M.; Weiss, A. On the Helium Flash in Low-Mass Population III Red Giant Stars. Astrophys. J. 2001, 559, 1082–1093. [Google Scholar] [CrossRef]
- Campbell, S.W.; Lugaro, M.; Karakas, A.I. Evolution and nucleosynthesis of extremely metal-poor and metal-free low- and intermediate-mass stars. II. s-process nucleosynthesis during the core He flash. Astron. Astrophys. 2010, 522, L6. [Google Scholar] [CrossRef]
- Cruz, M.A.; Serenelli, A.; Weiss, A. S-process in extremely metal-poor, low-mass stars. Astron. Astrophys. 2013, 559, A4. [Google Scholar] [CrossRef]
- Herwig, F. The Evolutionary Timescale of Sakurai’s Object: A Test of Convection Theory? Astrophys. J. 2001, 554, L71–L74. [Google Scholar] [CrossRef]
- Herwig, F.; Pignatari, M.; Woodward, P.R.; Porter, D.H.; Rockefeller, G.; Fryer, C.L.; Bennett, M.; Hirschi, R. Convective-reactive Proton-12C Combustion in Sakurai’s Object (V4334 Sagittarii) and Implications for the Evolution and Yields from the First Generations of Stars. Astrophys. J. 2011, 727, 89. [Google Scholar] [CrossRef]
- Cameron, A.G.W.; Fowler, W.A. Lithium and the s-PROCESS in Red-Giant Stars. Astrophys. J. 1971, 164, 111. [Google Scholar] [CrossRef]
- Choplin, A.; Siess, L.; Goriely, S. The intermediate neutron capture process. III. The i-process in AGB stars of different masses and metallicities without overshoot. Astron. Astrophys. 2022, 667, A155. [Google Scholar] [CrossRef]
- Choplin, A.; Siess, L.; Goriely, S.; Martinet, S. The intermediate neutron capture process. V. The i-process in AGB stars with overshoot. Astron. Astrophys. 2024, 684, A206. [Google Scholar] [CrossRef]
- Asplund, M.; Grevesse, N.; Sauval, A.J.; Scott, P. The Chemical Composition of the Sun. Annu. Rev. Astron. Astrophys. 2009, 47, 481–522. [Google Scholar] [CrossRef]
- Siess, L.; Dufour, E.; Forestini, M. An internet server for pre-main sequence tracks of low- and intermediate-mass stars. Astron. Astrophys. 2000, 358, 593–599. [Google Scholar]
- Siess, L. Evolution of massive AGB stars. I. Carbon burning phase. Astron. Astrophys. 2006, 448, 717–729. [Google Scholar] [CrossRef]
- Goriely, S.; Siess, L. Sensitivity of the s-process nucleosynthesis in AGB stars to the overshoot model. Astron. Astrophys. 2018, 609, A29. [Google Scholar] [CrossRef]
- Caughlan, G.R.; Fowler, W.A. Thermonuclear Reaction Rates V. At. Data Nucl. Data Tables 1988, 40, 283. [Google Scholar] [CrossRef]
- Simonucci, S.; Taioli, S.; Palmerini, S.; Busso, M. Theoretical Estimates of Stellar e- Captures. I. The Half-life of 7Be in Evolved Stars. Astrophys. J. 2013, 764, 118. [Google Scholar] [CrossRef]
- Vescovi, D.; Piersanti, L.; Cristallo, S.; Busso, M.; Vissani, F.; Palmerini, S.; Simonucci, S.; Taioli, S. Effects of a revised 7Be e−-capture rate on solar neutrino fluxes. Astron. Astrophys. 2019, 623, A126. [Google Scholar] [CrossRef]
- Campbell, S.W.; Lattanzio, J.C. Evolution and nucleosynthesis of extremely metal-poor and metal-free low- and intermediate-mass stars. I. Stellar yield tables and the CEMPs. Astron. Astrophys. 2008, 490, 769–776. [Google Scholar] [CrossRef]
- Cristallo, S.; Karinkuzhi, D.; Goswami, A.; Piersanti, L.; Gobrecht, D. Constraints of the Physics of Low-mass AGB Stars from CH and CEMP Stars. Astrophys. J. 2016, 833, 181. [Google Scholar] [CrossRef]
- Lau, H.H.B.; Stancliffe, R.J.; Tout, C.A. The evolution of low-metallicity asymptotic giant branch stars and the formation of carbon-enhanced metal-poor stars. Mon. Not. R. Astron. Soc. 2009, 396, 1046–1057. [Google Scholar] [CrossRef][Green Version]
- Suda, T.; Fujimoto, M.Y. Evolution of low- and intermediate-mass stars with [Fe/H] <= −2.5. Mon. Not. R. Astron. Soc. 2010, 405, 177–193. [Google Scholar] [CrossRef]
- Gil-Pons, P.; Doherty, C.L.; Campbell, S.W.; Gutiérrez, J. Nucleosynthetic yields of intermediate-mass primordial to extremely metal-poor stars. Astron. Astrophys. 2022, 668, A100. [Google Scholar] [CrossRef]
- Remple, B.A.; Battich, T.; Weiss, A. The impact of overshoot on the i-process in AGB stars. Astron. Astrophys. 2024, 687, A260. [Google Scholar] [CrossRef]
- Choplin, A.; Siess, L.; Goriely, S. Proton ingestion in AGB stars as a possible explanation for J-type stars and AB2 grains. Astron. Astrophys. 2024, in press. Available online: https://www.arxiv.org/abs/2410.10300 (accessed on 3 October 2024).
- Rood, R.T.; Steigman, G.; Tinsley, B.M. Stellar production as a source of 3He in the interstellar medium. Astrophys. J. 1976, 207, L57–L60. [Google Scholar] [CrossRef]
- Charbonnel, C. A Consistent Explanation for 12C/ 13C, 7Li and 3He Anomalies in Red Giant Stars. Astrophys. J. 1995, 453, L41. [Google Scholar] [CrossRef]
- Charbonnel, C.; Zahn, J.P. Thermohaline mixing: A physical mechanism governing the photospheric composition of low-mass giants. Astron. Astrophys. 2007, 467, L15–L18. [Google Scholar] [CrossRef]
- Eggleton, P.P.; Dearborn, D.S.P.; Lattanzio, J.C. Compulsory Deep Mixing of 3He and CNO Isotopes in the Envelopes of Low-Mass Red Giants. Astrophys. J. 2008, 677, 581–592. [Google Scholar] [CrossRef]
- Lagarde, N.; Charbonnel, C.; Decressin, T.; Hagelberg, J. Thermohaline instability and rotation-induced mixing. II. Yields of 3He for low- and intermediate-mass stars. Astron. Astrophys. 2011, 536, A28. [Google Scholar] [CrossRef][Green Version]
- Lagarde, N.; Decressin, T.; Charbonnel, C.; Eggenberger, P.; Ekström, S.; Palacios, A. Thermohaline instability and rotation-induced mixing. III. Grid of stellar models and asymptotic asteroseismic quantities from the pre-main sequence up to the AGB for low- and intermediate-mass stars of various metallicities. Astron. Astrophys. 2012, 543, A108. [Google Scholar] [CrossRef]
- Charbonnel, C. Clues for non-standard mixing on the red giant branch from C-12/C-13 and C-12/N-14 ratios in evolved stars. Astron. Astrophys. 1994, 282, 811–820. [Google Scholar]
- Abia, C.; Isern, J. 12C/13C ratios and Li abundances in C stars: Evidence for deep mixing? Mon. Not. R. Astron. Soc. 1997, 289, L11–L15. [Google Scholar] [CrossRef][Green Version]
- Abia, C.; Isern, J. The Chemical Composition of Carbon Stars. II. The J-Type Stars. Astrophys. J. 2000, 536, 438–449. [Google Scholar] [CrossRef]
- Hedrosa, R.P.; Abia, C.; Busso, M.; Cristallo, S.; Domínguez, I.; Palmerini, S.; Plez, B.; Straniero, O. Nitrogen Isotopes in Asymptotic Giant Branch Carbon Stars and Presolar SiC Grains: A Challenge for Stellar Nucleosynthesis. Astrophys. J. 2013, 768, L11. [Google Scholar] [CrossRef]
- Abia, C.; Hedrosa, R.P.; Domínguez, I.; Straniero, O. The puzzle of the CNO isotope ratios in asymptotic giant branch carbon stars. Astron. Astrophys. 2017, 599, A39. [Google Scholar] [CrossRef]
- Ziurys, L.M.; Schmidt, D.R.; Woolf, N.J. Carbon Isotope Ratios in Planetary Nebulae: The Unexpected Enhancement of 13C. Astrophys. J. 2020, 900, L31. [Google Scholar] [CrossRef]
- Choplin, A.; Goriely, S.; Siess, L. Synthesis of thorium and uranium in asymptotic giant branch stars. Astron. Astrophys. 2022, 667, L13. [Google Scholar] [CrossRef]
- Martinet, S.; Choplin, A.; Goriely, S.; Siess, L. The intermediate neutron capture process. IV. Impact of nuclear model and parameter uncertainties. Astron. Astrophys. 2024, 684, A8. [Google Scholar] [CrossRef]
- Abia, C.; de Laverny, P.; Cristallo, S.; Kordopatis, G.; Straniero, O. Properties of carbon stars in the solar neighbourhood based on Gaia DR2 astrometry. Astron. Astrophys. 2020, 633, A135. [Google Scholar] [CrossRef]
- Schmidt, D.R.; Woolf, N.J.; Zega, T.J.; Ziurys, L.M. Extreme 13C,15N and 17O isotopic enrichment in the young planetary nebula K4-47. Nature 2018, 564, 378–381. [Google Scholar] [CrossRef]








Disclaimer/Publisher’s Note: The statements, opinions and data contained in all publications are solely those of the individual author(s) and contributor(s) and not of MDPI and/or the editor(s). MDPI and/or the editor(s) disclaim responsibility for any injury to people or property resulting from any ideas, methods, instructions or products referred to in the content. |
© 2024 by the authors. Licensee MDPI, Basel, Switzerland. This article is an open access article distributed under the terms and conditions of the Creative Commons Attribution (CC BY) license (https://creativecommons.org/licenses/by/4.0/).
Share and Cite
Choplin, A.; Siess, L.; Goriely, S.; Martinet, S. Production of Lithium and Heavy Elements in AGB Stars Experiencing PIEs. Galaxies 2024, 12, 66. https://doi.org/10.3390/galaxies12050066
Choplin A, Siess L, Goriely S, Martinet S. Production of Lithium and Heavy Elements in AGB Stars Experiencing PIEs. Galaxies. 2024; 12(5):66. https://doi.org/10.3390/galaxies12050066
Chicago/Turabian StyleChoplin, Arthur, Lionel Siess, Stephane Goriely, and Sebastien Martinet. 2024. "Production of Lithium and Heavy Elements in AGB Stars Experiencing PIEs" Galaxies 12, no. 5: 66. https://doi.org/10.3390/galaxies12050066
APA StyleChoplin, A., Siess, L., Goriely, S., & Martinet, S. (2024). Production of Lithium and Heavy Elements in AGB Stars Experiencing PIEs. Galaxies, 12(5), 66. https://doi.org/10.3390/galaxies12050066

