The Cardio-Hepatic Relation in STEMI
Abstract
:1. Introduction
2. Materials and Methods
2.1. Clinical History
2.2. Echocardiography Parameters
2.3. Blood Tests
2.4. Statistics
3. Results
4. Discussion
4.1. Cardio-Hepatic Interaction
4.2. Acute Cardiogenic Liver Injury
4.3. The Impact of Liver Injury on the Heart
4.4. Limitations
- One main limitation is the retrospective design of this study.
- Data about patients’ structural diseases, especially of NAFLD/NASH are most likely underestimated by using ICD-9. We can assume by patients’ chronic diseases as HTN, DM-2, and dyslipidemia that many patients may have liver steatosis, which makes them more vulnerable to liver injury due to cardiac dysfunction.
- Liver enzymes were evaluated only at the admission period and there is no long-term follow up on cohort patients, thus we cannot evaluate patient liver condition nor prognosis.
- Estimation of CVP was based on rough means rather than invasive hemodynamic data, which may have effects on the accuracy of measurements and data analysis.
- Patients with worse cardiac function were more likely to have impaired hemodynamics and be mechanically ventilated. This by itself may have contributed to the worsening of liver function and might negate the effect of the propensity score matching. Our database does not include information on patients’ body mass index. Body mass index is a known and important confounder, as it may impact liver enzymes via increased prevalence of steatosis in high body mass index patients and also impacts outcomes in STEMI.
5. Conclusions
Supplementary Materials
Author Contributions
Funding
Institutional Review Board Statement
Informed Consent Statement
Conflicts of Interest
References
- Fouad, Y.M.; Yehia, R. Hepato-cardiac disorders. World J. Hepatol. 2014, 6, 41–54. [Google Scholar] [CrossRef] [PubMed]
- Alvarez, A.M.; Mukherjee, D. Liver Abnormalities in Cardiac Diseases and Heart Failure. Int. J. Angiol. 2011, 20, 135–142. [Google Scholar] [CrossRef] [Green Version]
- Lautt, W.W.; Greenway, C.V. Conceptual review of the hepatic vascular bed. Hepatology 1987, 7, 952–963. [Google Scholar] [CrossRef] [PubMed]
- Cagli, K.; Başar, F.N.; Tok, D.; Turak, O.; Başar, Ö.; Çağlı, K. How to interpret liver function tests in heart failure patients? Turk. J. Gastroenterol. 2020, 26, 197–203. [Google Scholar] [CrossRef] [PubMed] [Green Version]
- Hilscher, M.; Sanchez, W. Congestive hepatopathy. Clin. Liver Dis. 2016, 8, 68–71. [Google Scholar] [CrossRef] [PubMed] [Green Version]
- Asrani, S.; Asrani, N.S.; Freese, D.K.; Phillips, S.D.; Warnes, C.A.; Heimbach, J.; Kamath, P.S. Congenital heart disease and the liver. Hepatology 2012, 56, 1160–1169. [Google Scholar] [CrossRef]
- Gao, M.; Cheng, Y.; Zheng, Y.; Zhang, W.; Wang, L.; Qin, L. Association of serum transaminases with short-and long-term out-comes in patients with ST-elevation myocardial infarction undergoing primary percutaneous coronary intervention. BMC Cardiovasc. Disord. 2017, 17, 1–8. [Google Scholar] [CrossRef] [PubMed] [Green Version]
- Oh, P.C.; Eom, Y.S.; Moon, J.; Jang, H.-J.; Kim, T.-H.; Suh, J.; Kong, M.G.; Park, S.-D.; Kwon, S.W.; Choe, J.Y.; et al. Prognostic impact of the combination of serum transaminase and alkaline phosphatase determined in the emergency room in patients with ST-segment elevation myocardial infarction undergoing primary percutaneous coronary intervention. PLoS ONE 2020, 15, e0233286. [Google Scholar] [CrossRef] [PubMed]
- Moon, J.; Kang, W.; Oh, P.C.; Seo, S.Y.; Lee, K.; Han, S.H.; Ahn, T.; Shin, E. Serum transaminase determined in the emergency room predicts outcomes in patients with acute ST-segment elevation myocardial infarction who undergo primary percutaneous coronary intervention. Int. J. Cardiol. 2014, 177, 442–447. [Google Scholar] [CrossRef]
- Huseynov, A.; Baumann, S.; Becher, T.; Koepp, J.; Lang, S.; Jabbour, C.; Behnes, M.; Borggrefe, M.; Akin, I. Liver and cholestatic pa-rameters as prognostic biomarkers of in-hospital MACE in patients with STEMI. Eur. J. Clin. Investig. 2016, 46, 721–729. [Google Scholar] [CrossRef]
- Kim, J.G.; Chang, K.; Choo, E.H.; Lee, J.-M.; Seung, K.-B. Serum gamma-glutamyl transferase is a predictor of mortality in patients with acute myocardial infarction. Medicine 2018, 97, e11393. [Google Scholar] [CrossRef]
- O’gara, P.T.; Kushner, F.G.; Ascheim, D.D.; Casey, D.E.; Chung, M.K.; De Lemos, J.A.; Ettinger, S.M.; Fang, J.C.; Fesmire, F.M.; Franklin, B.A.; et al. 2013 ACCF/AHA Guideline for the Management of ST-Elevation Myocardial Infarction: Executive Summary: A Report of the American College of Cardiology Foundation/American Heart Association Task Force on Practice Guidelines. Am. Coll. Cardiol. 2013, 61, e78–e140. [Google Scholar] [CrossRef] [Green Version]
- Clemmensen, T.S.; Eiskjær, H.; Mølgaard, H.; Larsen, A.H.; Soerensen, J.; Andersen, N.F.; Tolbod, L.P.; Harms, H.J.; Poulsen, S.H. Abnor-mal coronary flow velocity reserve and decreased myocardial contractile reserve are main factors in relation to physical exer-cise capacity in cardiac amyloidosis. J. Am. Soc. Echocardiogr. 2018, 31, 71–78. [Google Scholar] [CrossRef]
- Lang, R.M.; Bierig, M.; Devereux, R.B.; Flachskampf, F.A.; Foster, E.; Pellikka, P.A.; Picard, M.; Roman, M.J.; Seward, J.; Shanewise, J.S.; et al. Recommendations for Chamber Quantification: A Report from the American Society of Echocardiography’s Guidelines and Standards Committee and the Chamber Quantification Writing Group, Developed in Conjunction with the European Association of Echocardiography, a Branch of the European Society of Cardiology. J. Am. Soc. Echocardiogr. 2005, 18, 1440–1463. [Google Scholar] [CrossRef] [PubMed]
- Nagueh, S.F.; Kopelen, H.A.; Zoghbi, W.A. Relation of Mean Right Atrial Pressure to Echocardiographic and Doppler Parameters of Right Atrial and Right Ventricular Function. Circle 1996, 93, 1160–1169. [Google Scholar] [CrossRef] [PubMed]
- Wiwatworapan, W.; Ratanajaratroj, N.; Sookananchai, B. Correlation between inferior vena cava diameter and central venous pressure in critically ill patients. J. Med. Assoc. Thail. 2012, 95, 320. [Google Scholar]
- Lautt, W.W. Hepatic circulation: Physiology and pathophysiology. In Colloquium Series on Integrated Systems Physiology: From Molecule to Function; Morgan & Claypool Publishers: California, CA, USA, 2009; Volume 1, pp. 1–174. [Google Scholar]
- Kiernan, F. XXIX. The anatomy and physiology of the liver. Philos. Trans. R. Soc. Lond. 1833, 123, 711–770. [Google Scholar] [CrossRef]
- Sherlock, S. The Liver in Heart Failure Relation of Anatomical, Functional, and Circulatory Changes. Heart 1951, 13, 273–293. [Google Scholar] [CrossRef] [PubMed] [Green Version]
- Weisberg, I.S.; Jacobson, I.M. Cardiovascular Diseases and the Liver. Clin. Liver Dis. 2011, 15, 1–20. [Google Scholar] [CrossRef]
- Naschitz, J.E.; Slobodin, G.; Lewis, R.J.; Zuckerman, E.; Yeshurun, D. Heart diseases affecting the liver and liver diseases affecting the heart. Am. Hear. J. 2000, 140, 111–120. [Google Scholar] [CrossRef] [Green Version]
- Samsky, M.D.; Patel, C.B.; DeWald, T.A.; Smith, A.D.; Felker, G.M.; Rogers, J.G.; Hernandez, A.F. Cardiohepatic interactions in heart failure: An overview and clinical implications. J. Am. Coll. Cardiol. 2013, 61, 2397–2405. [Google Scholar] [CrossRef] [Green Version]
- Nikolaou, M.; Parissis, J.; Yilmaz, M.B.; Seronde, M.-F.; Kivikko, M.; Laribi, S.; Paugam-Burtz, C.; Cai, D.; Pohjanjousi, P.; Laterre, P.-F.; et al. Liver function abnormalities, clinical profile, and outcome in acute decompensated heart failure. Eur. Heart J. 2013, 34, 742–749. [Google Scholar] [CrossRef]
- Poelzl, G.; Ess, M.; Von der Heidt, A.; Rudnicki, M.; Frick, M.; Ulmer, H. Concomitant renal and hepatic dysfunctions in chronic heart failure: Clinical implications and prognostic significance. Eur. J. Intern. Med. 2013, 24, 177–182. [Google Scholar] [CrossRef] [PubMed]
- Møller, S.; Henriksen, J.H. Cirrhotic cardiomyopathy: A pathophysiological review of circulatory dysfunction in liver disease. Heart 2002, 87, 9–15. [Google Scholar] [CrossRef] [Green Version]
- Møller, S.; Bendtsen, F. The pathophysiology of arterial vasodilatation and hyperdynamic circulation in cirrhosis. Liver Int. 2018, 38, 570–580. [Google Scholar] [CrossRef] [Green Version]
- Sampaio, F.; Pimenta, J.; Bettencourt, N.; Fontes-Carvalho, R.; Silva, A.P.; Valente, J.; Bettencourt, P.; Fraga, J.; Gama, V. Systolic and diastolic dysfunction in cirrhosis: A tissue-Doppler and speckle tracking echocardiography study. Liver Int. 2013, 33, 1158–1165. [Google Scholar] [CrossRef] [PubMed]
- Ruíz-Del-Árbol, L.; Achécar, L.; Serradilla, R.; Rodríguez-Gandía, M.Á.; Rivero, M.; Garrido, E.; Natcher, J.J. Diastolic dysfunction is a predictor of poor outcomes in patients with cirrhosis, portal hypertension, and a normal creatinine. Hepatology 2013, 58, 1732–1741. [Google Scholar] [CrossRef]
- Parekh, N.K.; Hynan, L.S.; De Lemos, J.; Lee, W.M.; Acute Liver Failure Study Group. Elevated troponin I levels in acute liver fail-ure: Is myocardial injury an integral part of acute liver failure? Hepatology 2007, 45, 1489–1495. [Google Scholar] [CrossRef]
- Wu, T.T.; Yuan, A.; Chen, C.Y.; Chen, W.J.; Luh, K.T.; Kuo, S.H.; Lin, F.Y.; Yang, P.C. Cardiac troponin I levels are a risk factor for mor-tality and multiple organ failure in noncardiac critically ill patients and have an additive effect to the APACHE II score in outcome prediction. Shock 2004, 22, 95–101. [Google Scholar] [CrossRef]
- Lofthus, D.M.; Stevens, S.R.; Armstrong, P.W.; Granger, C.B.; Mahaffey, K.W. Pattern of liver enzyme elevations in acute ST-elevation myocardial infarction. Coron. Artery Dis. 2012, 23, 22–30. [Google Scholar] [CrossRef] [PubMed]
- Lazzeri, C.; Valente, S.; Boddi, M.; Mecarocci, V.; Chiostri, M.; Gensini, G.F. Clinical and prognostic significance of increased liver en-zymes in ST-elevation myocardial infarction. Int. J. Cardiol. 2014, 177, 543–544. [Google Scholar] [CrossRef] [PubMed]

| All patients, n = 1339 | CVP ≤ 10 mm/Hg and EF ≥ 45% n = 853 | CVP ≤ 10 mm/Hg and EF < 45% n = 364 | CVP > 10 mm/Hg and EF ≥ 45% n = 61 | CVP > 10 mm/Hg and EF < 45% n = 61 | p Value | |
|---|---|---|---|---|---|---|
| Age (years), median, IQR | 61 (53–70) | 60 (51–67) | 62 (53–73) | 65 (56–72) | 72 (63–83) | 0.000 |
| Male, n (%) | 1082 (80.8) | 708 (83) | 281 (77.2) | 45 (73.8) | 48 (78.6) | 0.050 |
| Family history n (%) | 303 (22.6) | 210 (24.6) | 80 (22) | 11 (18) | 2 (3.2) | 0.001 |
| Smoker n (%) | 695 (51.9) | 449 (52.6) | 189 (52) | 34 (55.8) | 23 (37.8) | 0.140 |
| Diabetes mellitus, n (%) | 320 (23.9) | 191 (22.4) | 90 (24.8) | 22 (36) | 17 (27.8) | 0.082 |
| Hyperlipidemia n (%) | 617 (46) | 401 (47) | 158 (43.4) | 34 (55.8) | 24 (39.4) | 0.191 |
| Hypertention n (%) | 589 (43.9) | 350 (41) | 168 (46.2) | 35 (57.4) | 36 (59) | 0.003 |
| EGFR < 60 n (%) | 257 (19.19) | 133 (15.6) | 87 (24) | 10 (16.4) | 27 (44.2) | 0.000 |
| EGFR median IQR | 75 (60–89) | 76 (63–92) | 72 (57–87) | 71 (58–89) | 57 (44–74) | 0.000 |
| Acute kidney injury n (%) | 154 (11.5) | 49 (5.8) | 60 (16.4) | 16 (26.2) | 29 (47.6) | 0.000 |
| Mortality in 30days n (%) | 33 (2.46) | 4 (0.4) | 12 (3.2) | 3 (5) | 14 (23) | 0.000 |
| IABC- inotropes n (%) | 49 (3.66) | 9 (1) | 18 (5) | 8 (13.2) | 14 (23) | 0.000 |
| In hospital CABG n (%) | 30 (2.24) | 10 (1.2) | 12 (3.2) | 1 (1.6) | 7 (11.4) | 0.000 |
| Mechanical Ventilation n (%) | 64 (4.78) | 19 (2.2) | 24 (6.6) | 6 (9.8) | 15 (24.6) | 0.000 |
| Heart Failure n (%) | 152 (11.35) | 39 (4.6) | 75 (20.6) | 15 (24.6) | 23 (37.8) | 0.000 |
| Bradicardia n (%) | 62 (4.63) | 37 (4.4) | 9 (2.4) | 11 (18) | 5 (8.2) | 0.000 |
| VT/VF n (%) | 121 (9.04) | 54 (6.4) | 42 (11.6) | 6 (9.8) | 19 (31.2) | 0.000 |
| AF n (%) | 66 (4.93) | 34 (4) | 16 (4.4) | 9 (14.8) | 7 (11.4) | 0.000 |
| Stent thrombosis (%) | 65 (4.85) | 36 (4.2) | 23 (6.4) | 2 (3.2) | 4 (6.6) | 0.372 |
| Bleeding n (%) | 68 (5.08) | 33 (3.8) | 26 (7.2) | 3 (5) | 6 (9.8) | 0.034 |
| Past MI n (%) | 212 (15.83) | 117 (13.8) | 74 (20.4) | 8 (13.2) | 13 (21.4) | 0.018 |
| No CAD n (%) | 2 (0.15) | 2 (0.2) | 0 (0) | 0 (0) | 0 (0) | 0.004 |
| 1 CAD n (%) | 559 (41.75) | 365 (42.8) | 152 (41.8) | 21 (34.4) | 21 (34.4) | 0.004 |
| 2 CAD n (%) | 380 (28.38) | 267 (31.4) | 87 (24) | 15 (24.6) | 11 (18) | 0.004 |
| 3 CAD n (%) | 388 (28.98) | 217 (25.4) | 119 (32.6) | 25 (41) | 27 (44.2) | 0.004 |
| Contrast volume, median IQR | 123 (89–148) | 136 (114–169) | 150 (118–189) | 137 (108–178) | 153 (114–170) | 0.244 |
| Time to ER, median IQR | 120 (60–400) | 120 (60–300) | 120 (60–480) | 132 (60–690) | 120 (60–1200) | 0.067 |
| Door To Baloon, median IQR | 45 (30–60) | 45 (30–60) | 50 (30–60) | 45 (72–30) | 50 (30–68) | 0.005 |
| Time to reperfusion, median IQR | 180 (120–510) | 160 (105–360) | 180 (110–573) | 210 (130–771) | 180 (118–870) | 0.028 |
| All Patients, n = 1339 | CVP ≤ 10 mm/Hg and EF ≥ 45% n = 853 | CVP ≤ 10 mm/Hg and EF < 45% n = 364 | CVP > 10 mm/Hg and EF ≥ 45% n = 61 | CVP > 10 mm/Hg and EF < 45% n = 61 | p Value | |
|---|---|---|---|---|---|---|
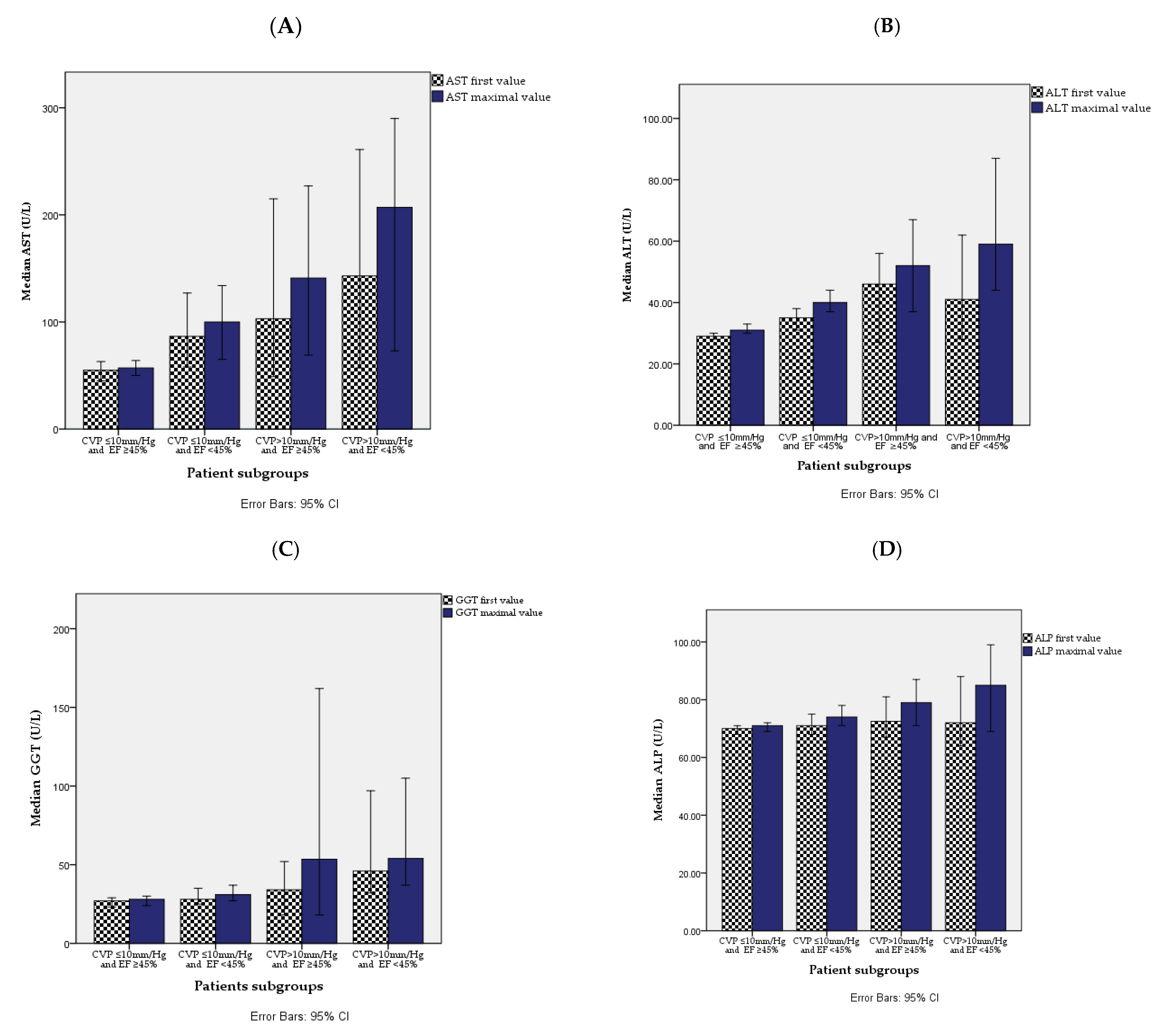
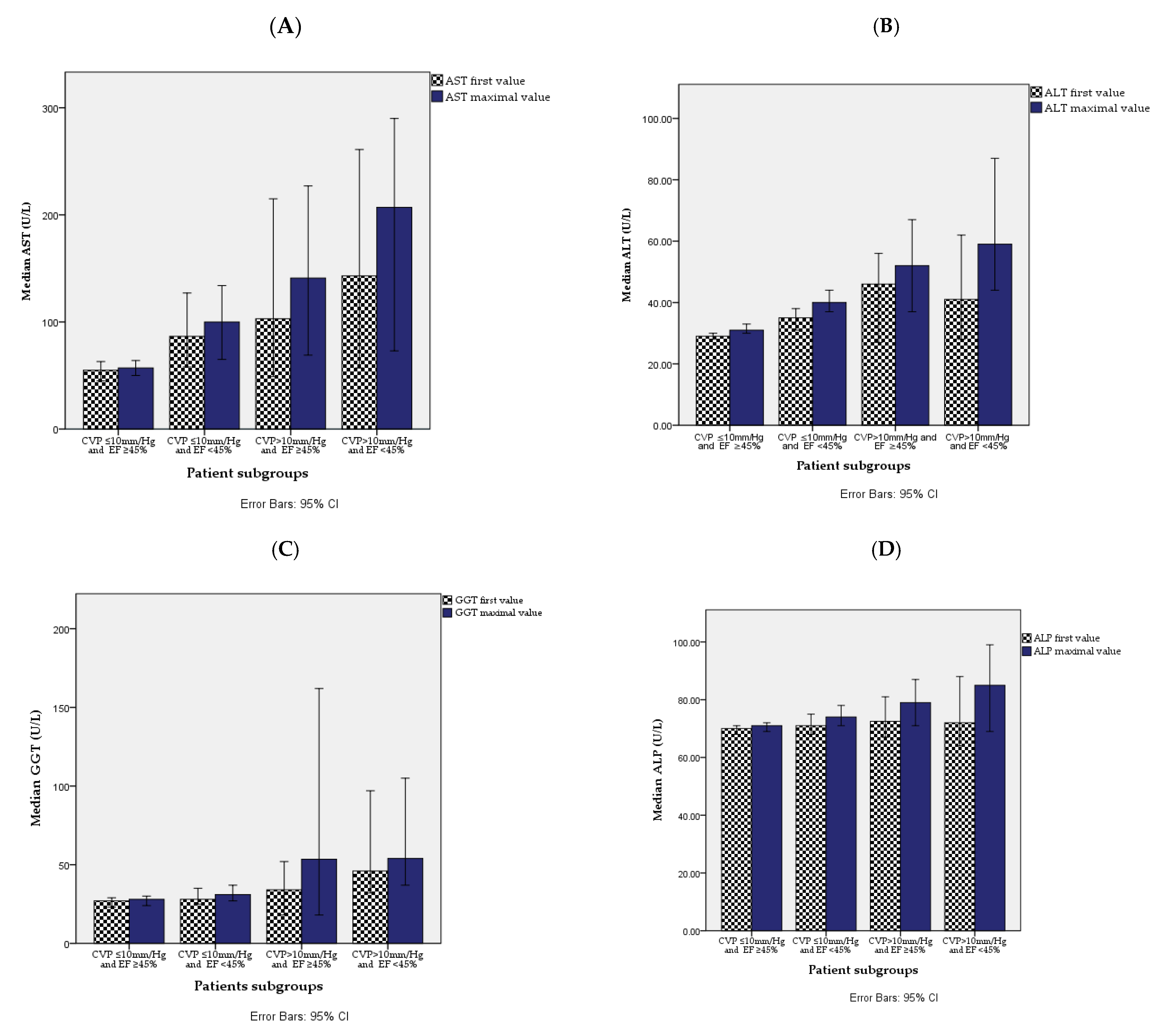
| ALT first, median (U/L) IQR | 29 (20–45) | 29 (21–44) | 35 (23–54) | 46 (21–73) | 41 (26–88) | 0.000 |
| ALT max median (U/L) IQR | 33 (22–53) | 31 (22–47) | 40 (27–64) | 52 (25–82) | 59 (31–107) | 0.000 |
| AST first median (U/L) IQR | 74 (35–157) | 55 (31–120) | 86 (40–199) | 103 (43–222) | 143 (46–290) | 0.000 |
| AST max median (U/L) IQR | 78 (38–175) | 57 (33–121) | 100 (44–229) | 141 (54–272) | 207 (56–493) | 0.000 |
| Total bilirubin—first median (U/L) IQR | 0.5 (0.4–0.7) | 0.5 (0.4–0.7) | 0.5 (0.4–0.7) | 0.5 (0.4–0.8) | 0.6 (0.4–0.9) | 0.000 |
| Total bilirubin—max median (U/L) IQR | 0.58 (0.4–0.8) | 0.5 (0.4–0.72) | 0.58 (0.4–0.8) | 0.6 (0.48–1) | 0.6 (0.4–0.9) | 0.000 |
| Bilirubin indirect—first median (U/L) IQR | 0.4 (0.2 – 0.5) | 0.4 (0.3–0.5) | 0.4 (0.3 – 0.5) | 0.4 (0.2–0.7) | 0.3 (0.2–0.6) | 0.638 |
| Bilirubin indirect—max median (U/L) IQR | 0.4 (0.3–0.5) | 0.4 (0.3–0.5) | 0.4 (0.3–0.6) | 0.4 (0.2–0.7) | 0.3 (0.2–0.6) | 0.559 |
| Bilirubin direct—first median (U/L) IQR | 0.2 (0.1–0.3) | 0.2 (0.1–0.3) | 0.2 (0.1–0.3) | 0.2 (0.1–0.3) | 0.25 (0.14–0.4) | 0.143 |
| Bilirubin direct—max median (U/L) IQR | 0.2 (0.1–0.3) | 0.2 (0.1–0.3) | 0.2 (0.1–0.3) | 0.3 (0.1–0.5) | 0.3 (0.1–0.5) | 0.026 |
| ALP first median (U/L) IQR | 68 (56–82) | 70 (58–82) | 71 (58–86) | 72 (58–87) | 72 (60–98) | 0.273 |
| ALP max median (U/L) IQR | 70 (57–84) | 71 (58–84) | 74 (61–90) | 79 (59–91) | 85 (62–115) | 0.000 |
| GGT first median (U/L) IQR | 28 (18–50) | 27 (17–42) | 28 (17–55) | 34 (17–63) | 46 (25–112) | 0.005 |
| GGT max median (U/L) IQR | 30 (19–52) | 28 (17–46) | 31 (18–58) | 53 (17–162) | 54 (30–123) | 0.001 |
| CRP, median (mg/L) IQR | 4 (1–12) | 4 (1–9) | 5 (2–13) | 7 (2–17) | 8 (3–25) | 0.000 |
| CRP-max, median (mg/L) IQR | 21 (9–61) | 10 (4–27) | 33 (10–116) | 56 (10–139) | 78 (26–168) | 0.000 |
| CPK (peak), median (U/L) IQR | 760 (281–1664) | 723 (312–1443) | 1302 (500–2762) | 839 (371–1672) | 1112 (399–2682) | 0.000 |
| Troponin first median (mg/dL) IQR | 13 (0.2–333) | 0.11 (0.02–1.58) | 0.4 (0.07–4.3) | 2 (0.06–13) | 1.2 (0.1–13) | 0.000 |
| Troponin max median (mg/dL) IQR | 145 (6–42833) | 21 (5–60) | 50 (15–163) | 41 (18–80) | 65 (15–165) | 0.000 |
| CVP > 10 mm/Hg and EF < 45% (n = 61) | All Others (n = 45) | p Value | |
|---|---|---|---|
| ALT first, mean (U/L), Std | 78.6 ± 18.5 | 49 ± 26 | 0.08 |
| ALT max, mean (U/L), Std | 211.6 ± 72.5 | 49 ± 27 | 0.01 |
| AST first, mean (U/L), Std | 200.5 ± 43.5 | 186.5 ± 106.5 | 0.57 |
| AST max, mean (U/L), Std | 314.5 ± 85.9 | 195.5 ± 97.5 | 0.62 |
| ALK-P first, mean (U/L), Std | 88.3 ± 7.4 | 64 ± 4 | 0.03 |
| ALK-P max, mean (U/L), Std | 122.5 ± 13.4 | 64 ± 4 | 0.01 |
| GGT first, mean (U/L), Std | 87.6 ± 16.8 | 13.5 ± 1.5 | 0.023 |
| GGT max, mean (U/L), Std | 139.2 ± 43.9 | 13.5 ± 1.5 | 0.023 |
Publisher’s Note: MDPI stays neutral with regard to jurisdictional claims in published maps and institutional affiliations. |
© 2021 by the authors. Licensee MDPI, Basel, Switzerland. This article is an open access article distributed under the terms and conditions of the Creative Commons Attribution (CC BY) license (https://creativecommons.org/licenses/by/4.0/).
Share and Cite
Bannon, L.; Merdler, I.; Bar, N.; Lupu, L.; Banai, S.; Jacob, G.; Shacham, Y. The Cardio-Hepatic Relation in STEMI. J. Pers. Med. 2021, 11, 1241. https://doi.org/10.3390/jpm11121241
Bannon L, Merdler I, Bar N, Lupu L, Banai S, Jacob G, Shacham Y. The Cardio-Hepatic Relation in STEMI. Journal of Personalized Medicine. 2021; 11(12):1241. https://doi.org/10.3390/jpm11121241
Chicago/Turabian StyleBannon, Lian, Ilan Merdler, Nir Bar, Lior Lupu, Shmuel Banai, Giris Jacob, and Yacov Shacham. 2021. "The Cardio-Hepatic Relation in STEMI" Journal of Personalized Medicine 11, no. 12: 1241. https://doi.org/10.3390/jpm11121241
APA StyleBannon, L., Merdler, I., Bar, N., Lupu, L., Banai, S., Jacob, G., & Shacham, Y. (2021). The Cardio-Hepatic Relation in STEMI. Journal of Personalized Medicine, 11(12), 1241. https://doi.org/10.3390/jpm11121241

