Myocardial Strain Measurements Obtained with Fast-Strain-Encoded Cardiac Magnetic Resonance for the Risk Prediction and Early Detection of Chemotherapy-Related Cardiotoxicity Compared to Left Ventricular Ejection Fraction
Abstract
1. Introduction
2. Methods
2.1. Study Population
2.2. CMR Examination
2.3. Echocardiography Measurements
2.4. Definitions of Cardiotoxicity (CTX)
2.5. Statistical Analysis
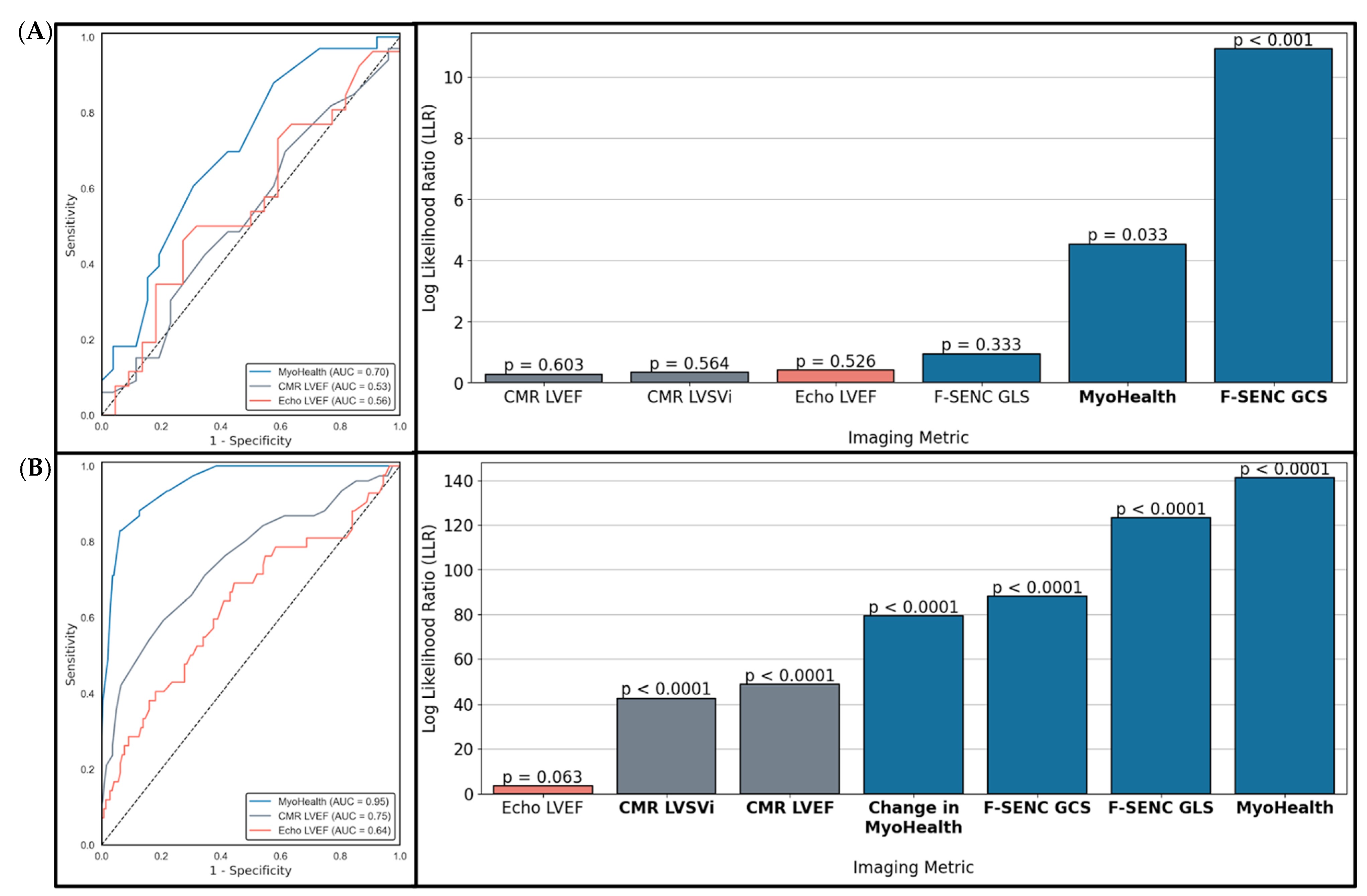
3. Results
4. Discussion
5. Study Limitations
6. Conclusions
Supplementary Materials
Author Contributions
Funding
Institutional Review Board Statement
Informed Consent Statement
Data Availability Statement
Conflicts of Interest
References
- Tak, T.; Jaekel, C.M.; Gharacholou, S.M.; Dworak, M.W.; Marshall, S.A. Measurement of ejection fraction by cardiac magnetic resonance imaging and echocardiography to monitor doxorubicin-induced cardiotoxicity. Int. J. Angiol. 2020, 29, 45–51. [Google Scholar] [CrossRef]
- Nazir, M.S.; Okafor, J.; Murphy, T.; Andres, M.S.; Ramalingham, S.; Rosen, S.D.; Chiribiri, A.; Plein, S.; Prasad, S.; Mohiaddin, R.; et al. Echocardiography versus cardiac MRI for measurement of left ventricular ejection fraction in individuals with cancer and suspected cardiotoxicity. Radiol. Cardiothorac. Imaging 2024, 6, e230048. [Google Scholar] [CrossRef]
- Scatteia, A.; Silverio, A.; Padalino, R.; De Stefano, F.; America, R.; Cappelletti, A.M.; Vecchia, L.A.D.; Guarini, P.; Donatelli, F.; Caiazza, F.; et al. Non-invasive assessment of left ventricle ejection fraction: Where do we stand? J. Pers. Med. 2021, 11, 1153. [Google Scholar] [CrossRef]
- Marwick, T.H.; Neubauer, S.; Petersen, S.E. Use of cardiac magnetic resonance and echocardiography in population-based studies: Why, where, and when? Circ. Cardiovasc. Imaging 2013, 6, 590–596. [Google Scholar] [CrossRef]
- Gardner, B.I.; Bingham, S.E.; Allen, M.R.; Blatter, D.D.; Anderson, J.L. Cardiac magnetic resonance versus transthoracic echocardiography for the assessment of cardiac volumes and regional function after myocardial infarction: An intrasubject comparison using simultaneous intrasubject recordings. Cardiovasc. Ultrasound 2009, 7, 38. [Google Scholar] [CrossRef] [PubMed]
- Houbois, C.P.; Nolan, M.; Somerset, E.; Shalmon, T.; Esmaeilzadeh, M.; Lamacie, M.M.; Amir, E.; Brezden-Masley, C.; Koch, C.A.; Thevakumaran, Y.; et al. Serial cardiovascular magnetic resonance strain measurements to identify cardiotoxicity in breast cancer: Comparison with echocardiography. JACC Cardiovasc. Imaging 2021, 14, 962–974. [Google Scholar] [CrossRef] [PubMed]
- Collier, P.; Phelan, D.; Klein, A. A test in context: Myocardial strain measured by speckle-tracking echocardiography. J. Am. Coll. Cardiol. 2017, 69, 1043–1056. [Google Scholar] [CrossRef]
- Cheng, S.; Larson, M.G.; McCabe, E.L.; Osypiuk, E.; Lehman, B.T.; Stanchev, P.; Aragam, J.; Benjamin, E.J.; Solomon, S.D.; Vasan, R.S. Age- and sex-based reference limits and clinical correlates of myocardial strain and synchrony: The Framingham Heart Study. Circ. Cardiovasc. Imaging 2013, 6, 692–699. [Google Scholar] [CrossRef]
- Moreira, H.T.; Nwabuo, C.C.; Armstrong, A.C.; Kishi, S.; Gjesdal, O.; Reis, J.P.; Schreiner, P.J.; Liu, K.; Lewis, C.E.; Sidney, S.; et al. Reference ranges and regional patterns of left ventricular strain and strain rate using two-dimensional speckle-tracking echocardiography in a healthy middle-aged black and white population: The CARDIA study. J. Am. Soc. Echocardiogr. 2017, 30, 647–658.e2. [Google Scholar] [CrossRef]
- Korosoglou, G.; Giusca, S.; Hofmann, N.P.; Patel, A.R.; Lapinskas, T.; Pieske, B.; Steen, H.; Katus, H.A.; Kelle, S. Strain-encoded magnetic resonance: A method for the assessment of myocardial deformation. ESC Heart Fail. 2019, 6, 584–602. [Google Scholar] [CrossRef]
- Giusca, S.; Korosoglou, G.; Montenbruck, M.; Gersak, B.; Schwarz, A.K.; Esch, S.; Kelle, S.; Wulfing, P.; Dent, S.; Lenihan, D.; et al. Multiparametric early detection and prediction of cardiotoxicity using myocardial strain, T1 and T2 mapping, and biochemical markers: A longitudinal cardiac resonance imaging study during 2 years of follow-up. Circ. Cardiovasc. Imaging 2021, 14, e012459. [Google Scholar] [CrossRef]
- Rivero-Santana, B.; Saldana-Garcia, J.; Caro-Codon, J.; Zamora, P.; Moliner, P.; Monzonis, A.M.; Zatarain, E.; Alvarez-Ortega, C.; Gomez-Prieto, P.; Pernas, S.; et al. Anthracycline-induced cardiovascular toxicity: Validation of the Heart Failure Association and International Cardio-Oncology Society risk score. Eur. Heart J. 2024, 46, 273–284. [Google Scholar] [CrossRef]
- Lyon, A.R.; Dent, S.; Stanway, S.; Earl, H.; Brezden-Masley, C.; Cohen-Solal, A.; Tocchetti, C.G.; Moslehi, J.J.; Groarke, J.D.; Bergler-Klein, J.; et al. Baseline cardiovascular risk assessment in cancer patients scheduled to receive cardiotoxic cancer therapies: A position statement and new risk assessment tools from the Cardio-Oncology Study Group of the HFA of the ESC in collaboration with the IC-OS. Eur. J. Heart Fail. 2020, 22, 1945–1960. [Google Scholar] [CrossRef]
- Charlson, M.E.; Pompei, P.; Ales, K.L.; MacKenzie, C.R. A new method of classifying prognostic comorbidity in longitudinal studies: Development and validation. J. Chronic Dis. 1987, 40, 373–383. [Google Scholar] [CrossRef] [PubMed]
- Radovanovic, D.; Seifert, B.; Urban, P.; Eberli, F.R.; Rickli, H.; Bertel, O.; Puhan, M.A.; Erne, P.; AMIS Plus Investigators. Validity of Charlson Comorbidity Index in patients hospitalised with acute coronary syndrome. Insights from the nationwide AMIS Plus registry 2002–2012. Heart 2014, 100, 288–294. [Google Scholar] [CrossRef] [PubMed]
- Korosoglou, G.; Giusca, S.; Montenbruck, M.; Patel, A.R.; Lapinskas, T.; Gotze, C.; Zieschang, V.; Al-Tabatabaee, S.; Pieske, B.; Florian, A.; et al. Fast strain-encoded cardiac magnetic resonance for diagnostic classification and risk stratification of heart failure patients. J. Am. Coll. Cardiol. Cardiovasc. Imaging 2021, 14, 1177–1188. [Google Scholar] [CrossRef] [PubMed]
- Neizel, M.; Lossnitzer, D.; Korosoglou, G.; Schaufele, T.; Peykarjou, H.; Steen, H.; Ocklenburg, C.; Giannitsis, E.; Katus, H.A.; Osman, N.F. Strain-Encoded MRI for Evaluation of Left Ventricular Function and Transmurality in Acute Myocardial Infarction. Circ. Cardiovasc. Imaging 2009, 2, 116–122. [Google Scholar] [CrossRef]
- Koos, R.; Altiok, E.; Doetsch, J.; Neizel, M.; Krombach, G.; Marx, N.; Hoffmann, R. Layer-Specific Strain-Encoded MRI for the Evaluation of Left Ventricular Function and Infarct Transmurality in Patients with Chronic Coronary Artery Disease. Int. J. Cardiol. 2013, 166, 85–89. [Google Scholar] [CrossRef]
- Plana, J.C.; Galderisi, M.; Barac, A.; Ewer, M.S.; Ky, B.; Scherrer-Crosbie, M.; Ganame, J.; Sebag, I.A.; Agler, D.A.; Badano, L.P.; et al. Expert consensus for multimodality imaging evaluation of adult patients during and after cancer therapy: A report from the American Society of Echocardiography and the European Association of Cardiovascular Imaging. Eur. Heart J.-Cardiovasc. Imaging 2014, 15, 1063–1093. [Google Scholar] [CrossRef]
- Zamorano, J.L.; Lancellotti, P.; Munoz, D.R.; Aboyans, V.; Asteggiano, R.; Galderisi, M.; Habib, G.; Lenihan, D.J.; Lip, G.Y.; Lyon, A.R.; et al. 2016 ESC position paper on cancer treatments and cardiovascular toxicity developed under the auspices of the ESC committee for practice guidelines. Eur. Heart J. 2016, 37, 2768–2801. [Google Scholar] [CrossRef]
- Herrmann, J.; Lenihan, D.; Armenian, S.; Barac, A.; Blaes, A.; Cardinale, D.; Carver, J.; Dent, S.; Ky, B.; Lyon, A.R.; et al. Defining cardiovascular toxicities of cancer therapies: An International Cardio-Oncology Society (IC-OS) consensus statement. Eur. Heart J. 2022, 43, 280–299. [Google Scholar] [CrossRef] [PubMed]
- Curigliano, G.; Lenihan, D.; Fradley, M.; Ganatra, S.; Barac, A.; Blaes, A.; Hermann, J.; Porter, C.; Lyon, A.R.; Lancellotti, P.; et al. Management of cardiac disease in cancer patients throughout oncological treatment: ESMO consensus recommendations. Ann. Oncol. 2020, 31, 171–190. [Google Scholar] [CrossRef] [PubMed]
- DeLong, E.R.; DeLong, D.M.; Clarke-Pearson, D.L. Comparing the areas under two or more correlated receiver operating characteristic curves: A nonparametric approach. Biometrics 1988, 44, 837–845. [Google Scholar] [CrossRef] [PubMed]
- Mavrogeni, S.I.; Bacopoulou, F.; Markousis-Mavrogenis, G.; Chrousos, G.; Charmandari, E. Cardiovascular imaging in obesity. Nutrients 2021, 13, 744. [Google Scholar] [CrossRef]
- Manisty, C.; Barac, A.; Lenihan, D. No diagnostic concerns with cardiovascular magnetic resonance imaging in patients with breast cancer and breast implants. JAMA Cardiol. 2022, 7, 655. [Google Scholar] [CrossRef]
- Oren, O.; Blankstein, R.; Bhatt, D.L. Addressing imaging pitfalls to reduce cardiovascular disease misdiagnosis in patients with breast cancer following reconstruction. JAMA Cardiol. 2022, 7, 123–125. [Google Scholar] [CrossRef]
- Movahed, M.-R. Interference of breast implants with echocardiographic image acquisition and interpretation. Cardiovasc. Ultrasound 2007, 5, 9. [Google Scholar] [CrossRef]
- Chadalavada, S.; Fung, K.; Rauseo, E.; Lee, A.M.; Khanji, M.Y.; Amir-Khalili, A.; Paiva, J.; Naderi, H.; Banik, S.; Chirvasa, M.; et al. Myocardial strain measured by cardiac magnetic resonance predicts cardiovascular morbidity and death. J. Am. Coll. Cardiol. 2024, 84, 648–659. [Google Scholar] [CrossRef]
- Pezel, T.; Bluemke, D.A.; Wu, C.O.; Lima, J.A.; Venkatesh, B.A. Regional strain score as prognostic marker of cardiovascular events from the multi-ethnic study of atherosclerosis (MESA). Front. Cardiovasc. Med. 2022, 9, 870942. [Google Scholar] [CrossRef]
- Negishi, T.; Thavendiranathan, P.; Penicka, M.; Lemieux, J.; Murbraech, K.; Miyazaki, S.; Shirazi, M.; Santoro, C.; Cho, G.-Y.; Popescu, B.A.; et al. Cardioprotection using strain-guided management of potentially cardiotoxic cancer therapy: 3-year results of the SUCCOUR trial. J. Am. Coll. Cardiol. Imging 2023, 16, 269–278. [Google Scholar] [CrossRef]
- Marwick, T.H.; Dewar, E.; Nolan, M.; Shirazi, M.; Dias, P.; Wright, L.; Fitzgerald, B.; Kearney, L.; Srivastava, P.; Atherton, J.; et al. Strain surveillance during chemotherapy to improve cardiovascular outcomes: The SUCCOUR-MRI trial. Eur. Heart J. 2024, 45, 4414–4424. [Google Scholar] [CrossRef]
- Gulati, G.; Heck, S.L.; Ree, A.H.; Hoffmann, P.; Schulz-Menger, J.; Fagerland, M.W.; Gravdehaug, B.; von Knobelsdorff-Brenkenhoff, F.; Bratland, A.; Storas, T.H.; et al. Prevention of cardiac dysfunction during adjuvant breast cancer therapy (PRADA): A 2 3 2 factorial, randomized, placebo-controlled, double-blind clinical trial of candesartan and metoprolol. Eur. Heart J. 2016, 37, 1671–1680. [Google Scholar] [CrossRef]
- Rosen, B.D.; Fernandes, V.R.; Nasir, K.; Helle-Valle, T.; Jerosch-Herold, M.; Bluemke, D.A.; Lima, J.A. Age, increased left ventricular mass, and lower regional myocardial perfusion are related to greater extent of myocardial dyssynchrony in asymptomatic individuals. The Multi-Ethnic Study of Atherosclerosis. Circulation 2009, 120, 859–866. [Google Scholar]
- Sharma, R.K.; Donekal, S.; Rosen, B.D.; Tattersall, M.C.; Volpe, G.; Ambale-Venkatesh, B.; Nasir, K.; Wu, C.O.; Polak, J.F.; Korcarz, C.E.; et al. Association of subclinical atherosclerosis using carotid intima- media thickness, carotid plaque, and coronary calcium score with left ventricular dyssynchrony: The Multi-Ethnic Study of Atherosclerosis. Atherosclerosis 2015, 239, 412–418. [Google Scholar]
- Sharma, R.K.; Volpe, G.; Rosen, B.D.; Ambale-Venkatesh, B.; Donekal, S.; Fernandes, V.; Wu, C.O.; Carr, J.; Bluemke, D.A.; Lima, J.A. Prognostic implications of left ventricular dyssynchrony for major adverse cardiovascular events in asymptomatic women and men: The Multi-Ethnic Study of Atherosclerosis. J. Am. Heart Assoc. 2014, 3, e000975. [Google Scholar]
- Zweerink, A.; van Everdingen, W.M.; Nijveldt, R.; Salden, O.A.; Meine, M.; Maass, A.H.; Vernooy, K.; de Lange, F.J.; Vos, M.A.; Croisille, P.; et al. Strain imaging to predict response to cardiac resynchronization therapy: A systematic comparison of strain parameters using multiple imaging techniques. ESC Heart Fail. 2018, 5, 1130–1140. [Google Scholar]






| All Patients (n = 59) | No CTX (n = 26) | Sub-CTX (n = 24) | CTX (n = 9) | p-Value | |
|---|---|---|---|---|---|
| Demographics and Clinical History | |||||
| Age, y | 54 ± 14 | 52 ± 13 | 51 ± 16 | 66 ± 9.6 | 0.02 |
| Female, n (%) | 50 (85) | 24 (92) | 20 (83) | 6 (67) | |
| BMI, kg/m2 | 26 ± 5 | 25 ± 5 | 27 ± 6 | 25 ± 4 | |
| HTN, n (%) | 21 (36) | 8 (31) | 9 (38) | 4 (44) | |
| Lipid, n (%) | 12 (20) | 4 (15) | 5 (21) | 3 (33) | |
| DM, n (%) | 4 (7) | 2 (8) | 1 (4) | 1 (11) | |
| TOB, n (%) | 19 (32) | 8 (31) | 7 (29) | 4 (44) | |
| HER2−, n (%) | 35 (59) | 16 (62) | 16 (67) | 3 (33) | |
| HER2+, n (%) | 10 (17) | 7 (27) | 2 (8) | 1 (11) | |
| NHL, n (%) | 11 (19) | 3 (12) | 5 (21) | 3 (33) | |
| HL, n (%) | 3 (5) | 0 (0) | 1 (4) | 2 (22) | |
| CCI | 1.8 ± 1.9 | 1.4 ± 1.6 | 1.6 ± 1.8 | 3.8 ± 1.7 | 0.002 |
| HFA-ICOS Score | 1.5 ± 0.8 | 1.4 ± 0.7 | 1.5 ± 0.7 | 2.0 ± 1.0 | |
| Baseline Vitals | |||||
| Heart rate, bpm | 72 ± 11 | 70 ± 12 | 75 ± 10 | 72 ± 11 | |
| SBP, mmHg | 124 ± 18 | 119 ± 14 | 127 ± 21 | 131 ± 19 | |
| DBP, mmHg | 75 ± 11 | 73 ± 10 | 77 ± 11 | 77 ± 13 | |
| Baseline F-SENC CMR | |||||
| LVEF, % | 61 ± 5 | 61 ± 5 | 62 ± 5 | 57 ± 5 | 0.05 |
| LVEDVi, mL/m2 | 75 ± 13 | 75 ± 12 | 74 ± 13 | 76 ± 11 | |
| LVESVi, mL/m2 | 29 ± 7 | 30 ± 8 | 28 ± 7 | 33 ± 7 | |
| LVSVi, mL/m2 | 45 ± 8 | 45 ± 7 | 46 ± 9 | 44 ± 6 | |
| Septal wall thickness, mm | 8 ± 2 | 8 ± 2 | 9 ± 2 | 10 ± 3 | 0.01 |
| LGE Present, n (%) | 19 (32) | 9 (35) | 7 (29) | 3 (33) | |
| MyoHealth (% ≤ −17) | 79 ± 11 | 84 ± 10 | 78 ± 11 | 70 ± 9 | 0.004 |
| F-SENC GLS, % | −20 ± 2 | −21 ± 2 | −20 ± 2 | −19 ± 2 | |
| F-SENC GCS, % | −20 ± 1 | −21 ± 1 | −20 ± 1 | −18 ± 1 | <0.001 |
| Baseline 2D Echo | |||||
| LVEF, % | 62 ± 7 | 62 ± 7 | 61 ± 8 | 61 ± 4 | |
| LVEDVi, mL/m2 | 45 ± 13 | 42 ± 10 | 47 ± 17 | 48 ± 8 | |
| LVESVi, mL/m2 | 18 ± 8 | 16 ± 5 | 19 ± 10 | 20 ± 6 | |
| LVSVi, mL/m2 | 27 ± 8 | 26 ± 6 | 28 ± 10 | 28 ± 6 | |
| All Scans (n = 322) | No CTX (n = 190) | Sub-CTX (n = 56) | CTX (n = 20) | REC (n = 56) | p-Value | |
|---|---|---|---|---|---|---|
| Follow-Up Visit Vitals | ||||||
| Heart rate, bpm | 73 ± 12 | 71 ± 11 | 81 ± 13 | 76 ± 8 | 73 ± 9 | <0.001 |
| SBP, mmHg | 120 ± 17 | 120 ± 18 | 120 ± 14 | 130 ± 20 | 120 ± 17 | 0.02 |
| DBP, mmHg | 74 ± 10 | 72 ± 10 | 79 ± 9 | 80 ± 9 | 72 ± 10 | <0.001 |
| F-SENC CMR | ||||||
| LVEF, % | 59 ± 6 | 61 ± 5 | 57 ± 6 | 48 ± 7 | 61 ± 6 | <0.001 |
| LVEDVi, mL/m2 | 76 ± 12 | 77 ± 12 | 73 ± 15 | 76 ± 10 | 73 ± 13 | 0.03 |
| LVESVi, mL/m2 | 31 ± 8 | 30 ± 7 | 31 ± 9 | 40 ± 10 | 29 ± 9 | <0.001 |
| LVSVi, mL/m2 | 45 ± 8 | 47 ± 7 | 41 ± 8 | 36 ± 5 | 44 ± 7 | <0.001 |
| Septal wall thickness, mm | 8 ± 2 | 7 ± 2 | 8 ± 2 | 10 ± 2 | 8 ± 2 | <0.001 |
| MyoHealth (% ≤ −17), % | 74 ± 14 | 80 ± 10 | 60 ± 9 | 48 ± 9 | 78 ± 8 | <0.001 |
| F-SENC GLS, % | −19 ± 2 | −20 ± 1 | −18 ± 1 | −17 ± 1 | −19 ± 2 | <0.001 |
| F-SENC GCS, % | −20 ± 2 | −20 ± 1 | −18 ± 1 | −17 ± 1 | −20 ± 1 | <0.001 |
| 2D Echo | ||||||
| LVEF, % | 61 ± 7 | 62 ± 6 | 58 ± 7 | 58 ± 8 | 58 ± 7 | 0.003 |
| LVEDVi, mL/m2 | 45 ± 11 | 46 ± 11 | 45 ± 12 | 43 ± 11 | 41 ± 9 | |
| LVESVi, mL/m2 | 17 ± 6 | 17 ± 6 | 18 ± 6 | 19 ± 8 | 15 ± 6 | |
| LVSVi, mL/m2 | 28 ± 8 | 28 ± 8 | 27 ± 8 | 26 ± 4 | 26 ± 6 |
Disclaimer/Publisher’s Note: The statements, opinions and data contained in all publications are solely those of the individual author(s) and contributor(s) and not of MDPI and/or the editor(s). MDPI and/or the editor(s) disclaim responsibility for any injury to people or property resulting from any ideas, methods, instructions or products referred to in the content. |
© 2025 by the authors. Licensee MDPI, Basel, Switzerland. This article is an open access article distributed under the terms and conditions of the Creative Commons Attribution (CC BY) license (https://creativecommons.org/licenses/by/4.0/).
Share and Cite
Lenihan, D.; Whayne, J.; Osman, F.; Rivero, R.; Montenbruck, M.; Schwarz, A.K.; Kelle, S.; Wülfing, P.; Dent, S.; Andre, F.; et al. Myocardial Strain Measurements Obtained with Fast-Strain-Encoded Cardiac Magnetic Resonance for the Risk Prediction and Early Detection of Chemotherapy-Related Cardiotoxicity Compared to Left Ventricular Ejection Fraction. Diagnostics 2025, 15, 1948. https://doi.org/10.3390/diagnostics15151948
Lenihan D, Whayne J, Osman F, Rivero R, Montenbruck M, Schwarz AK, Kelle S, Wülfing P, Dent S, Andre F, et al. Myocardial Strain Measurements Obtained with Fast-Strain-Encoded Cardiac Magnetic Resonance for the Risk Prediction and Early Detection of Chemotherapy-Related Cardiotoxicity Compared to Left Ventricular Ejection Fraction. Diagnostics. 2025; 15(15):1948. https://doi.org/10.3390/diagnostics15151948
Chicago/Turabian StyleLenihan, Daniel, James Whayne, Farouk Osman, Rafael Rivero, Moritz Montenbruck, Arne Kristian Schwarz, Sebastian Kelle, Pia Wülfing, Susan Dent, Florian Andre, and et al. 2025. "Myocardial Strain Measurements Obtained with Fast-Strain-Encoded Cardiac Magnetic Resonance for the Risk Prediction and Early Detection of Chemotherapy-Related Cardiotoxicity Compared to Left Ventricular Ejection Fraction" Diagnostics 15, no. 15: 1948. https://doi.org/10.3390/diagnostics15151948
APA StyleLenihan, D., Whayne, J., Osman, F., Rivero, R., Montenbruck, M., Schwarz, A. K., Kelle, S., Wülfing, P., Dent, S., Andre, F., Frey, N., Korosoglou, G., & Steen, H. (2025). Myocardial Strain Measurements Obtained with Fast-Strain-Encoded Cardiac Magnetic Resonance for the Risk Prediction and Early Detection of Chemotherapy-Related Cardiotoxicity Compared to Left Ventricular Ejection Fraction. Diagnostics, 15(15), 1948. https://doi.org/10.3390/diagnostics15151948

