Impact of Excess Adiposity on Cardiorespiratory Fitness in Children and Adolescents with Kawasaki Disease
Abstract
1. Introduction
2. Materials and Methods
2.1. Study Design and Participants
2.2. Anthropometry-Body Composition
2.3. Cardiopulmonary Exercise Testing and Equation of Peak Oxygen Consumption Z-Score
2.4. Echocardiography and Coronary Artery Z-Score
2.5. Statistical Analysis
3. Results
3.1. Study Population
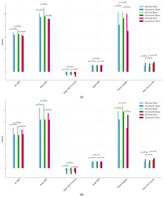
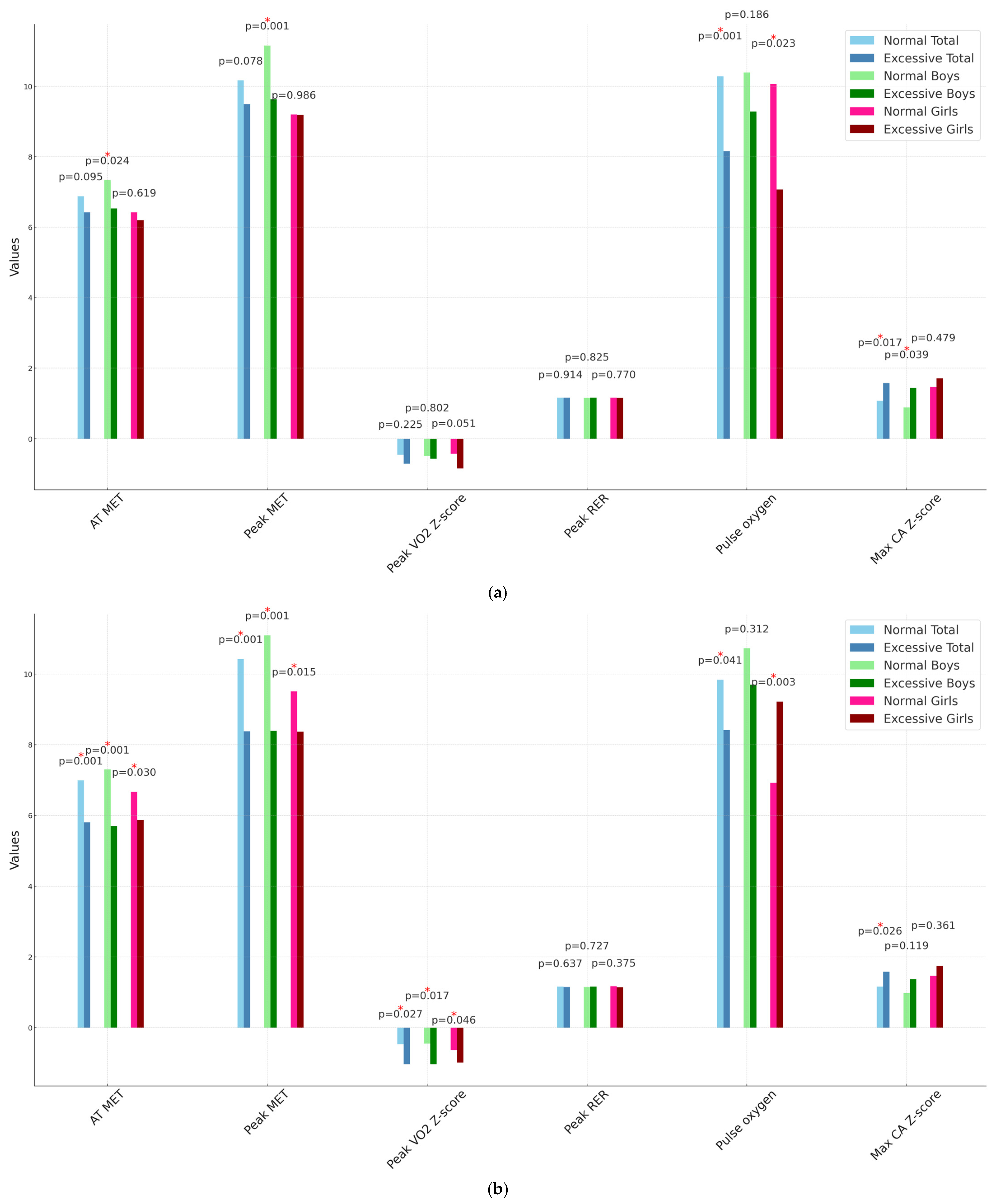
3.2. Comparisons of Cardiopulmonary Fitness Between Participants with Normal and Excessive Body Adipose by BMI and FMI Classification
3.3. Comparison of Cardiorespiratory Fitness Between Sexes with Normal and Excessive BMI or FMI
4. Discussion
5. Conclusions
Author Contributions
Funding
Institutional Review Board Statement
Informed Consent Statement
Data Availability Statement
Conflicts of Interest
References
- McCrindle, B.W.; Rowley, A.H.; Newburger, J.W.; Burns, J.C.; Bolger, A.F.; Gewitz, M.; Baker, A.L.; Jackson, M.A.; Takahashi, M.; Shah, P.B.; et al. Diagnosis, Treatment, and Long-Term Management of Kawasaki Disease: A Scientific Statement for Health Professionals From the American Heart Association. Circulation 2017, 135, e927–e999. [Google Scholar] [CrossRef]
- Kim, G.B. Reality of Kawasaki disease epidemiology. Korean J. Pediatr. 2019, 62, 292–296. [Google Scholar] [CrossRef] [PubMed]
- Holve, T.J.; Patel, A.; Chau, Q.; Marks, A.R.; Meadows, A.; Zaroff, J.G. Long-term cardiovascular outcomes in survivors of Kawasaki disease. Pediatrics 2014, 133, e305–e311. [Google Scholar] [CrossRef]
- Shi, H.; Weng, F.; Li, C.; Jin, Z.; Hu, J.; Chu, M.; Qiu, H. Overweight, obesity and coronary artery lesions among Kawasaki disease patients. Nutr. Metab. Cardiovasc. Dis. 2021, 31, 1604–1612. [Google Scholar] [CrossRef]
- Welsh, A.; Hammad, M.; Piña, I.L.; Kulinski, J. Obesity and cardiovascular health. Eur. J. Prev. Cardiol. 2024, 31, 1026–1035. [Google Scholar] [CrossRef]
- Battineni, G.; Sagaro, G.G.; Chintalapudi, N.; Amenta, F.; Tomassoni, D.; Tayebati, S.K. Impact of Obesity-Induced Inflammation on Cardiovascular Diseases (CVD). Int. J. Mol. Sci. 2021, 22, 4798. [Google Scholar] [CrossRef] [PubMed]
- Nandi, A.; Pal, P.; Basu, S. A comparison of serum IL6 and CRP levels with respect to coronary changes and treatment response in Kawasaki disease patients: A prospective study. Rheumatol. Int. 2019, 39, 1797–1801. [Google Scholar] [CrossRef]
- Haidar, A.; Horwich, T. Obesity, Cardiorespiratory Fitness, and Cardiovascular Disease. Curr. Cardiol. Rep. 2023, 25, 1565–1571. [Google Scholar] [CrossRef]
- Tuan, S.; Su, H.; Chen, Y.; Li, M.; Tsai, Y.; Yang, C.; Lin, K. Fat Mass Index and Body Mass Index Affect Peak Metabolic Equivalent Negatively during Exercise Test among Children and Adolescents in Taiwan. Int. J. Environ. Res. Public Health 2018, 15, 263. [Google Scholar] [CrossRef] [PubMed]
- Tuan, S.H.; Li, C.H.; Sun, S.F.; Li, M.H.; Liou, I.H.; Weng, T.P.; Chen, I.H.; Lin, K.L. Comparison of cardiorespiratory fitness between preschool children with normal and excess body adipose—An observational study. PLoS ONE 2019, 14, e0223907. [Google Scholar] [CrossRef]
- Tuan, S.H.; Li, M.H.; Hsu, M.J.; Tsai, Y.J.; Chen, Y.H.; Liao, T.Y.; Lin, K.L. Cardiopulmonary Function, Exercise Capacity, and Echocardiography Finding of Pediatric Patients With Kawasaki Disease: An Observational Study. Medicine 2016, 95, e2444. [Google Scholar] [CrossRef] [PubMed]
- Yang, T.H.; Lee, Y.Y.; Wang, L.Y.; Chang, T.C.; Chang, L.S.; Kuo, H.C. Patients with Kawasaki Disease Have Significantly Low Aerobic Metabolism Capacity and Peak Exercise Load Capacity during Adolescence. Int. J. Environ. Res. Public Health 2020, 17, 8352. [Google Scholar] [CrossRef]
- Kuan, T.H.; Chang, Y.L.; Lin, K.L.; Chen, G.B.; Liou, I.H.; Tuan, S.H. Differences between Sexes in Cardiopulmonary Fitness among Children and Adolescents with Kawasaki Disease. Healthcare 2022, 10, 353. [Google Scholar] [CrossRef]
- Freedman, D.S.; Wang, J.; Maynard, L.M.; Thornton, J.C.; Mei, Z.; Pierson, R.N.; Dietz, W.H.; Horlick, M. Relation of BMI to fat and fat-free mass among children and adolescents. Int. J. Obes. 2005, 29, 1–8. [Google Scholar] [CrossRef]
- Kasović, M.; Oreški, A.; Vespalec, T.; Gimunová, M.; Štefan, L. Associations between Fat Mass and Fat Free Mass with Physical Fitness in Adolescent Girls: A 3-Year Longitudinal Study. Biology 2022, 11, 783. [Google Scholar] [CrossRef] [PubMed]
- Woolcott, O.O.; Bergman, R.N. Relative Fat Mass as an estimator of whole-body fat percentage among children and adolescents: A cross-sectional study using NHANES. Sci. Rep. 2019, 9, 15279. [Google Scholar] [CrossRef]
- Messner, A.; Nairz, J.; Kiechl, S.; Winder, B.; Pechlaner, R.; Geiger, R.; Knoflach, M.; Kiechl-Kohlendorfer, U. Comparison of body mass index and fat mass index to classify body composition in adolescents-The EVA4YOU study. Eur. J. Pediatr. 2024, 183, 2203–2214. [Google Scholar] [CrossRef] [PubMed]
- Rowland, T.W. Developmental aspects of physiological function relating to aerobic exercise in children. Sports Med. 1990, 10, 255–266. [Google Scholar] [CrossRef] [PubMed]
- Yu, C.C.W.; McManus, A.M.; Au, C.T.; So, H.K.; Chan, A.; Sung, R.Y.T.; Li, A.M. Appropriate scaling approach for evaluating peak VO2 development in Southern Chinese 8 to 16 years old. PLoS ONE 2019, 14, e0213674. [Google Scholar] [CrossRef]
- Blanchard, J.; Blais, S.; Chetaille, P.; Bisson, M.; Counil, F.P.; Huard-Girard, T.; Berbari, J.; Boulay, P.; Dallaire, F. New Reference Values for Cardiopulmonary Exercise Testing in Children. Med. Sci. Sports Exerc. 2018, 50, 1125–1133. [Google Scholar] [CrossRef] [PubMed]
- Fukazawa, R.; Kobayashi, J.; Ayusawa, M.; Hamada, H.; Miura, M.; Mitani, Y.; Tsuda, E.; Nakajima, H.; Matsuura, H.; Ikeda, K.; et al. JCS/JSCS 2020 Guideline on Diagnosis and Management of Cardiovascular Sequelae in Kawasaki Disease. Circ. J. 2020, 84, 1348–1407. [Google Scholar] [CrossRef]
- Lin, M.T.; Chang, C.H.; Hsieh, W.C.; Chang, C.E.; Chang, Y.M.; Chen, Y.C.; Hsu, J.Y.; Huang, Y.L.; Ma, J.Y.; Sun, L.C.; et al. Coronary Diameters in Taiwanese Children Younger than 6 Years Old: Z-Score Regression Equations Derived from Body Surface Area. Acta Cardiol. Sin. 2014, 30, 266–273. [Google Scholar] [PubMed]
- Kobayashi, T.; Fuse, S.; Sakamoto, N.; Mikami, M.; Ogawa, S.; Hamaoka, K.; Arakaki, Y.; Nakamura, T.; Nagasawa, H.; Kato, T.; et al. A New Z Score Curve of the Coronary Arterial Internal Diameter Using the Lambda-Mu-Sigma Method in a Pediatric Population. J. Am. Soc. Echocardiogr. 2016, 29, 794–801.e729. [Google Scholar] [CrossRef] [PubMed]
- Koyama, Y.; Miura, M.; Kobayashi, T.; Hokosaki, T.; Suganuma, E.; Numano, F.; Furuno, K.; Shiono, J.; Ebata, R.; Fuse, S.; et al. A registry study of Kawasaki disease patients with coronary artery aneurysms (KIDCAR): A report on a multicenter prospective registry study three years after commencement. Eur. J. Pediatr. 2023, 182, 633–640. [Google Scholar] [CrossRef] [PubMed]
- Health Promotion Administration, Ministry of Health Welfare. Child and Adolescent Growth Body Mass Index (BMI) Reference Values. Available online: https://www.hpa.gov.tw/Pages/Detail.aspx?nodeid=542&pid=9547 (accessed on 6 January 2024).
- Weber, D.R.; Moore, R.H.; Leonard, M.B.; Zemel, B.S. Fat and lean BMI reference curves in children and adolescents and their utility in identifying excess adiposity compared with BMI and percentage body fat. Am. J. Clin. Nutr. 2013, 98, 49–56. [Google Scholar] [CrossRef] [PubMed]
- Liguori, G.; Medicine, A.C.o.S. ACSM’s Guidelines for Exercise Testing and Prescription; Lippincott Williams & Wilkins: Philadelphia, PA, USA, 2020. [Google Scholar]
- Whitman, M.; Jenkins, C. Rate pressure product, age predicted maximum heart rate or heart rate reserve. Which one better predicts cardiovascular events following exercise stress echocardiography? Am. J. Cardiovasc. Dis. 2021, 11, 450–457. [Google Scholar]
- Washington, R.L. Cardiorespiratory testing: Anaerobic threshold/respiratory threshold. Pediatr. Cardiol. 1999, 20, 12–15. [Google Scholar] [CrossRef] [PubMed]
- Allen, S.W.; Shaffer, E.M.; Harrigan, L.A.; Wolfe, R.R.; Glode, M.P.; Wiggins, J.W. Maximal voluntary work and cardiorespiratory fitness in patients who have had Kawasaki syndrome. J. Pediatr. 1992, 121, 221–225. [Google Scholar] [CrossRef] [PubMed]
- Wang, Y.L.; Yang, A.L.; Wang, J.L.; Yang, C.H.; Hoe, Z.Y.; Huang, C.M.; Lin, K.L. Cardiopulmonary Function and Exercise Capacity in Children with Kawasaki Disease. Rehabil. Pract. Sci. 2008, 36, 209–215. [Google Scholar] [CrossRef]
- Tuan, S.-H.; Su, H.-T.; Chen, C.-H.; Liou, I.H.; Weng, T.-P.; Chen, G.-B.; Lin, K.-L. Analysis of Exercise Capacity of Children with Kawasaki Disease by a Coronary Artery z Score Model (ZSP Version 4) Derived by the Lambda-Mu-Sigma Method. J. Pediatr. 2018, 201, 128–133. [Google Scholar] [CrossRef] [PubMed]
- Tuan, S.-H.; Chung, J.-H.; Chen, G.-B.; Sun, S.-F.; Liou, I.H.; Li, C.-H.; Tsai, Y.-J. When two Z-scores meet—Analysis of exercise capacity of children and adolescents with Kawasaki disease by a new Z-score model of coronary artery and a new Z-score evaluating peak oxygen consumption. Ital. J. Pediatr. 2023, 49, 129. [Google Scholar] [CrossRef] [PubMed]
- Gravel, H.; Curnier, D.; Dallaire, F.; Fournier, A.; Portman, M.; Dahdah, N. Cardiovascular Response to Exercise Testing in Children and Adolescents Late After Kawasaki Disease According to Coronary Condition Upon Onset. Pediatr. Cardiol. 2015, 36, 1458–1464. [Google Scholar] [CrossRef] [PubMed]
- Dykstra, B.J.; Griffith, G.J.; Renfrow, M.S.; Mahon, A.D.; Harber, M.P. Cardiorespiratory and Muscular Fitness in Children and Adolescents with Obesity. Curr. Cardiol. Rep. 2024, 26, 349–357. [Google Scholar] [CrossRef] [PubMed]
- Pepera, G.; Hadjiandrea, S.; Iliadis, I.; Sandercock, G.R.H.; Batalik, L. Associations between cardiorespiratory fitness, fatness, hemodynamic characteristics, and sedentary behaviour in primary school-aged children. BMC Sports Sci. Med. Rehabil. 2022, 14, 16. [Google Scholar] [CrossRef] [PubMed]
- Javed, A.; Jumean, M.; Murad, M.H.; Okorodudu, D.; Kumar, S.; Somers, V.K.; Sochor, O.; Lopez-Jimenez, F. Diagnostic performance of body mass index to identify obesity as defined by body adiposity in children and adolescents: A systematic review and meta-analysis. Pediatr. Obes. 2015, 10, 234–244. [Google Scholar] [CrossRef]
- Miura, M.; Kobayashi, T.; Kaneko, T.; Ayusawa, M.; Fukazawa, R.; Fukushima, N.; Fuse, S.; Hamaoka, K.; Hirono, K.; Kato, T.; et al. Association of Severity of Coronary Artery Aneurysms in Patients With Kawasaki Disease and Risk of Later Coronary Events. JAMA Pediatr. 2018, 172, e180030. [Google Scholar] [CrossRef]
- Kim, S.H. Diagnosis of coronary artery abnormalities in Kawasaki disease: Recent guidelines and z score systems. Clin. Exp. Pediatr. 2022, 65, 430–438. [Google Scholar] [CrossRef]
- Son, M.B.F.; Gauvreau, K.; Kim, S.; Tang, A.; Dedeoglu, F.; Fulton, D.R.; Lo, M.S.; Baker, A.L.; Sundel, R.P.; Newburger, J.W. Predicting Coronary Artery Aneurysms in Kawasaki Disease at a North American Center: An Assessment of Baseline z Scores. J. Am. Heart Assoc. 2017, 6, e005378. [Google Scholar] [CrossRef] [PubMed]
- Chen, K.Y.; Curtis, N.; Dahdah, N.; Kowalski, R.; Cheung, M.; Burgner, D.P. Kawasaki disease and cardiovascular risk: A comprehensive review of subclinical vascular changes in the longer term. Acta Paediatr. 2016, 105, 752–761. [Google Scholar] [CrossRef]
- Khoury, M.; Harahsheh, A.S.; Raghuveer, G.; Dahdah, N.; Lee, S.; Fabi, M.; Selamet Tierney, E.S.; Portman, M.A.; Choueiter, N.F.; Elias, M.; et al. Obesity and Outcomes of Kawasaki Disease and COVID-19-Related Multisystem Inflammatory Syndrome in Children. JAMA Netw Open 2023, 6, e2346829. [Google Scholar] [CrossRef]
- Lu, Y.; Hajifathalian, K.; Ezzati, M.; Woodward, M.; Rimm, E.B.; Danaei, G. Metabolic mediators of the effects of body-mass index, overweight, and obesity on coronary heart disease and stroke: A pooled analysis of 97 prospective cohorts with 1· 8 million participants. Lancet 2013, 383, 970–983. [Google Scholar]
- Sundell, J.; Raitakari, O.T.; Viikari, J.; Kantola, I.; Nuutila, P.; Knuuti, J. Both BMI and Waist Circumference Are Associated with Coronary Vasoreactivity in Overweight and Obese Men. Obes. Facts 2012, 5, 693–699. [Google Scholar] [CrossRef]
- Bekkering, S.; Saner, C.; Novakovic, B.; Mansell, T.; Longmore, D.K.; McCallum, Z.; Ponsonby, A.-L.; Juonala, M.; Netea, M.G.; Sabin, M.A.; et al. Increased innate immune responses in adolescents with obesity and its relation to subclinical cardiovascular measures: An exploratory study. iScience 2024, 27, 109762. [Google Scholar] [CrossRef] [PubMed]
- Kasiak, P.; Kowalski, T.; Klusiewicz, A.; Zdanowicz, R.; Ładyga, M.; Wiecha, S.; Mamcarz, A.; Śliż, D. Recalibrated FRIEND equation for peak oxygen pulse is accurate in endurance athletes: The NOODLE study. Sci. Rep. 2024, 14, 23133. [Google Scholar] [CrossRef]
- Rauner, A.; Mess, F.; Woll, A. The relationship between physical activity, physical fitness and overweight in adolescents: A systematic review of studies published in or after 2000. BMC Pediatr. 2013, 13, 19. [Google Scholar] [CrossRef] [PubMed]
- He, Q.Q.; Wong, T.W.; Du, L.; Jiang, Z.Q.; Yu, T.S.; Qiu, H.; Gao, Y.; Liu, W.J.; Wu, J.G. Physical activity, cardiorespiratory fitness, and obesity among Chinese children. Prev. Med. 2011, 52, 109–113. [Google Scholar] [CrossRef]
- Tuan, S.H.; Chen, G.B.; Chen, C.H.; Chen, Y.J.; Liou, I.H.; Su, Y.T.; Lin, K.L. Comparison of Peak Oxygen Consumption During Exercise Testing Between Sexes Among Children and Adolescents in Taiwan. Front. Pediatr. 2021, 9, 657551. [Google Scholar] [CrossRef] [PubMed]
- Le, S.; Törmäkangas, T.; Wang, X.; Lei, S.M.; Møller, N.C.; Brønd, J.C.; Wedderkopp, N.; Wiklund, P.; Cheng, S. Bidirectional associations between adiposity and physical activity: A longitudinal study from pre-puberty to early adulthood. Front. Endocrinol. 2023, 14, 1135852. [Google Scholar] [CrossRef]
- Loomba-Albrecht, L.A.; Styne, D.M. Effect of puberty on body composition. Curr. Opin. Endocrinol. Diabetes Obes. 2009, 16, 10–15. [Google Scholar] [CrossRef] [PubMed]
- Kasiak, P.; Kowalski, T.; Rębiś, K.; Klusiewicz, A.; Ładyga, M.; Sadowska, D.; Wilk, A.; Wiecha, S.; Barylski, M.; Poliwczak, A.R.; et al. Is the Ventilatory Efficiency in Endurance Athletes Different?—Findings from the NOODLE Study. J. Clin. Med. 2024, 13, 490. [Google Scholar] [CrossRef]
- Hoang, L.T.; Shimizu, C.; Ling, L.; Naim, A.N.; Khor, C.C.; Tremoulet, A.H.; Wright, V.; Levin, M.; Hibberd, M.L.; Burns, J.C. Global gene expression profiling identifies new therapeutic targets in acute Kawasaki disease. Genome Med. 2014, 6, 541. [Google Scholar] [CrossRef]
- Sadeghi, P.; Izadi, A.; Mojtahedi, S.Y.; Khedmat, L.; Jafari, M.; Afshin, A.; Yarahmadi, P.; Hosseinali Beigi, E. A 10-year cross-sectional retrospective study on Kawasaki disease in Iranian children: Incidence, clinical manifestations, complications, and treatment patterns. BMC Infect. Dis. 2021, 21, 368. [Google Scholar] [CrossRef] [PubMed]


| Total (n = 112) | Boy (n = 61) | Girl (n = 51) | p Value Between Sexes a | |
|---|---|---|---|---|
| Age (year) | 11.71 ± 2.54 | 11.7 ± 2.54 (11.06, 12.34) | 11.73 ± 2.56 (11.03, 12.43) | 0.966 |
| Height (cm) | 148.57 ± 16.26 | 150.38 ± 17.17 (146.07, 154.69) | 146.42 ± 14.98 (142.31, 150.53) | 0.201 |
| Weight (kg) | 45.72 ± 16.44 | 47.45 ± 17.34 (43.10, 51.80) | 43.65 ± 15.21 (39.48, 47.82) | 0.225 |
| BMI (kg/m2) | 20.09 ± 4.16 | 20.48 ± 4.24 (19.42, 21.54) | 19.63 ± 4.07 (18.51, 20.75) | 0.283 |
| Body fat(%) | 19.17 ± 8.20 | 15.75 ± 8.14 (13.71, 17.79) | 23.07 ± 6.36 (21.32, 24.82) | <0.001 * |
| FM (kg) | 9.65 ± 7.14 | 8.71 ± 7.52 (6.82, 10.60) | 10.74 ± 6.60 (8.93, 12.55) | 0.143 |
| FMI (kg/m2) | 4.14 ± 2.59 | 3.59 ± 2.67 (2.92, 4.26) | 4.77 ± 2.37 (4.12, 5.42) | 0.018 * |
| FFM (kg) | 36.79 ± 10.80 | 39.99 ± 10.83 (37.27, 42.71) | 33.14 ± 9.62 (30.50, 35.78) | 0.001 * |
| FFMI (kg/m2) | 16.10 ± 2.33 | 17.05 ± 2.18 (16.50, 17.60) | 15.01 ± 2.00 (14.46, 15.56) | <0.001 * |
| Excess Adiposity by FMI | 24.11% | 24.60% | 25.49% | |
| KD duration | 9.51 ± 5.24 | 9.26 ± 4.06 (8.24, 10.28) | 10.01 ± 5.60 (8.47, 11.55) | 0.414 |
| AT MET | Peak MET | Peak VO2 Z-Score | Peak RER | PRPP | Pulse Oxygen | Max CA Z-Score | |
|---|---|---|---|---|---|---|---|
| BMI Group | |||||||
| Total (N = 112) | 6.75 ± 1.29 | 9.98 ± 1.82 | −0.63 ± 0.98 | 1.16 ± 0.10 | 28,702.16 ± 6005.15 | 8.75 ± 3.04 | 1.43 ± 1.00 |
| Normal (N = 81) | 6.88 ± 1.31 (6.59, 7.17) | 10.17 ± 1.90 (9.76, 10.58) | −0.45 ± 1.16 (−0.70, −0.20) | 1.16 ± 0.10 (1.14, 1.18) | 30,268.03 ± 6157.08 (28,927.15, 31,608.91) | 10.28 ± 3.09 (9.61, 10.95) | 1.07 ± 0.87 (0.88, 1.20) |
| Excessive(N = 31) | 6.42 ± 1.21 (5.99, 6.85) | 9.49 ± 1.55 (8.94, 10.04) | −0.70 ± 0.91 (−1.02, −0.38) | 1.16 ± 0.09 (1.13, 1.19) | 28,102.88 ± 5874.17 (26,035.02, 30,170.74) | 8.16 ± 2.82 (7.17, 9.15) | 1.57 ± 1.02 (1.21, 1.93) |
| p-value | 0.095 | 0.078 | 0.225 | 0.914 | 0.088 | 0.001 * | 0.017 * |
| Boys (N = 61) | 7.06 ± 1.25 | 10.63 ± 1.76 | −0.53 ± 1.08 | 1.15 ± 0.08 | 29,627.82 ± 6018.30 | 9.67 ± 3.07 | 1.24 ± 0.99 |
| Normal (N = 40) | 7.34 ± 1.09 (7.00, 7.68) | 11.16 ± 1.54 (10.68, 11.64) | −0.48 ± 1.31 (−0.89, −0.07) | 1.15 ± 0.08 (1.13, 1.17) | 30,351.62 ± 6397.68 (28,368.96, 32,334.28) | 10.39 ± 2.99 (9.46, 11.32) | 0.88 ± 0.86 (0.61, 1.13) |
| Excessive (N = 21) | 6.53 ± 1.38 (5.94, 7.12) | 9.63 ± 1.74 (8.89, 10.37) | −0.56 ± 0.95 (−0.97, −0.15) | 1.16 ± 0.09 (1.12, 1.20) | 29,247.82 ± 5856.87 (26,742.80, 31,752.84) | 9.29 ± 3.07 (7.98, 10.60) | 1.43 ± 1.00 (1.15, 1.86) |
| p-value | 0.024 * | 0.001 * | 0.802 | 0.825 | 0.501 | 0.186 | 0.039 * |
| Girls (N = 51) | 6.38 ± 1.26 | 9.20 ± 1.60 | −0.75 ± 0.66 | 1.16 ± 0.11 | 27,595.01 ± 5856.42 | 7.65 ± 2.63 | 1.66 ± 0.98 |
| Normal (N = 41) | 6.42 ± 1.36 (6.00, 6.84) | 9.20 ± 1.71 (8.68, 9.72) | −0.42 ± 0.52 (−0.58, −0.26) | 1.16 ± 0.12 (1.12, 1.20) | 30,092.50 ± 5946.32 (28,272.33, 31,912.67) | 10.07 ± 3.43 (9.02, 11.12) | 1.46 ± 0.79 (1.22, 1.70) |
| Excessive (N = 10) | 6.20 ± 0.75 (5.74, 6.66) | 9.19 ± 1.06 (8.53, 9.85) | −0.84 ± 0.85 (−1.37, −0.31) | 1.15 ± 0.08 (1.10, 1.20) | 26,985.85 ± 5742.53 (23,426.59, 30,545.11) | 7.07 ± 2.05 (5.80, 8.34) | 1.71 ± 1.03 (1.07, 2.35) |
| p-value | 0.619 | 0.986 | 0.051 | 0.770 | 0.134 | 0.023 * | 0.479 |
| FMI Group | |||||||
| Total (N = 112) | 6.75 ± 1.29 | 9.98 ± 1.82 | −0.63 ± 0.98 | 1.16 ± 0.10 | 28,702.16 ± 6005.15 | 8.75 ± 3.04 | 1.43 ± 1.00 |
| Normal (N = 85) | 6.99 ± 1.24 (6.73, 7.25) | 10.43 ± 1.69 (10.07, 10.79) | −0.47 ± 0.75 (−0.64, −0.31) | 1.16 ± 0.09 (1.14, 1.18) | 28,887.81 ± 6501.77 (27,505.59, 30,270.03) | 9.84 ± 3.16 (9.17, 10.51) | 1.16 ± 0.77 (1.00, 1.32) |
| Excessive (N = 27) | 5.80 ± 0.99 (5.43, 6.17) | 8.38 ± 1.24 (7.91, 8.85) | −1.04 ± 1.08 (−1.45, −0.63) | 1.15 ± 0.11 (1.11, 1.19) | 28,492.94 ± 5673.26 (26,352.97, 30,632.91) | 8.42 ± 2.95 (7.31, 9.13) | 1.58 ± 1.04 (1.19, 1.97) |
| p-value | <0.001 * | <0.001 * | 0.027 * | 0.637 | 0.764 | 0.041 * | 0.026 * |
| Boys (N = 61) | 7.06 ± 1.25 | 10.63 ± 1.76 | −0.53 ± 1.08 | 1.15 ± 0.08 | 29,627.82 ± 6018.30 | 9.67 ± 3.07 | 1.24 ± 0.99 |
| Normal (N = 46) | 7.30 ± 1.11 (6.98, 7.62) | 11.10 ± 1.49 (10.67, 11.53) | −0.45 ± 0.58 (−0.62, −0.28) | 1.15 ± 0.09 (1.12, 1.18) | 31,532.55 ± 6760.50 (29,578.86, 33,486.24) | 10.73 ± 3.42 (9.74, 11.72) | 0.98 ± 0.75 (0.76, 1.20) |
| Excessive (N = 15) | 5.69 ± 0.98 (5.19, 6.19) | 8.40 ± 0.99 (7.90, 8.90) | −1.04 ± 1.30 (−1.70, −0.68) | 1.16 ± 0.09 (1.11, 1.21) | 28,910.07 ± 5452.82 (26,150.56, 31,669.58) | 9.70 ± 2.92 (8.22, 11.18) | 1.37 ± 1.04 (0.84, 1.90) |
| p-value | <0.001 * | <0.001 * | 0.017 * | 0.727 | 0.177 | 0.312 | 0.119 |
| Girls (N = 51) | 6.38 ± 1.26 | 9.20 ± 1.60 | −0.75 ± 0.66 | 1.16 ± 0.11 | 27,595.01 ± 5856.42 | 7.65 ± 2.63 | 1.66 ± 0.98 |
| Normal (N = 38) | 6.67 ± 1.12 (6.31, 7.03) | 9.51 ± 1.52 (9.03, 9.99) | −0.64 ± 0.49 (−0.72, −0.58) | 1.17 ± 0.10 (1.14, 1.20) | 27,928.59 ± 5994.58 (26,022.59, 29,834.59) | 6.92 ± 1.82 (6.34, 7.50) | 1.46 ± 0.92 (1.17, 1.75) |
| Excessive (N = 13) | 5.88 ± 1.03 (5.32, 6.24) | 8.37 ± 1.42 (7.60, 9.02) | −0.99 ± 0.74 (−1.39, −0.75) | 1.14 ± 0.12 (1.07, 1.21) | 27,069.56 ± 5843.59 (23,892.95, 30,246.17) | 9.22 ± 3.45 (7.64, 11.10) | 1.74 ± 1.02 (1.19, 2.29) |
| p-value | 0.030 * | 0.015 * | 0.046 * | 0.375 | 0.363 | 0.003 * | 0.361 |
| AT MET | Peak MET | Peak VO2 Z-Score | Peak RER | PRPP | Pulse Oxygen | Max CA Z-Score | |
|---|---|---|---|---|---|---|---|
| Total (normal + excessive body adipose) | |||||||
| Boys (N = 61) | 7.06 ± 1.25 (6.75, 7.37) | 10.63 ± 1.76 (10.19, 11.07) | −0.53 ± 1.08 (−0.80, −0.26) | 1.15 ± 0.08 (1.13, 1.17) | 29,627.82 ± 6018.30 (28,117.51, 31,138.13) | 9.67 ± 3.07 (8.90, 10.44) | 1.24 ± 0.99 (0.99, 1.49) |
| Girls (N = 51) | 6.38 ± 1.26 (6.03, 6.73) | 9.20 ± 1.60 (8.76, 9.64) | −0.75 ± 0.66 (−0.93, −0.57) | 1.16 ± 0.11 (1.13, 1.19) | 27,595.00 ± 5856.42 (25,987.68, 29,202.32) | 7.65 ± 2.63 (6.93, 8.37) | 1.66 ± 0.98 (1.39, 1.93) |
| p-value | 0.005 * | <0.001 * | 0.189 | 0.590 | 0.074 | <0.001 * | 0.027 * |
| Normal BMI | |||||||
| Boys (N = 40) | 7.34 ± 1.09 (7.00, 7.68) | 11.16 ± 1.54 (10.68, 11.64) | −0.48 ± 1.31 (−0.89, −0.07) | 1.15 ± 0.08 (1.13, 1.17) | 30,351.62 ± 6397.68 (28,368.96, 32,334.28) | 10.39 ± 2.99 (9.46, 11.32) | 0.88 ± 0.86 (0.61, 1.15) |
| Girls (N = 41) | 6.42 ± 1.36 (6.00, 6.84) | 9.20 ± 1.71 (8.68, 9.72) | −0.42 ± 0.52 (−0.58, −0.26) | 1.16 ± 0.12 (1.12, 1.20) | 30,092.50 ± 5946.32 (28,272.33, 31,912.67) | 10.07 ± 3.43 (9.02, 11.12) | 1.46 ± 0.79 (1.22, 1.70) |
| p-value | 0.001 * | <0.001 | 0.788 | 0.660 | 0.851 | 0.655 | 0.002 * |
| Normal FMI | |||||||
| Boys (N = 46) | 7.30 ± 1.11 (7.08, 7.62) | 11.10 ± 1.49 (10.67, 11.53) | −0.45 ± 0.58 (−0.62, −0.28) | 1.15 ± 0.09 (1.12, 1.18) | 31,532.55 ± 6760.50 (29,578.86, 33,486.24) | 10.73 ± 3.42 (9.74, 11.72) | 0.98 ± 0.75 (0.76, 1.20) |
| Girls (N = 38) | 6.67 ± 1.12 (6.31, 7.03) | 9.51 ± 1.52 (9.03, 9.99) | −0.64 ± 0.49 (−0.80, −0.48) | 1.17 ± 0.10 (1.14, 1.20) | 27,928.59 ± 5994.58 (26,022.59, 29,334.59) | 6.92 ± 1.82 (6.34, 7.50) | 1.46 ± 0.92 (1.17, 1.75) |
| p-value | 0.012 * | <0.001 * | 0.113 | 0.343 | 0.011 * | <0.001 * | 0.012 * |
| Excessive BMI | |||||||
| Boys (N = 21) | 6.53 ± 1.38 (5.94, 7.12) | 9.63 ± 1.74 (8.89, 10.37) | −0.56 ± 0.95 (−0.97, −0.15) | 1.16 ± 0.09 (1.12, 1.20) | 29,247.82 ± 5856.87 (26,742.80, 31,752.84) | 9.29 ± 3.07 (8.08, 10.60) | 1.43 ± 1.00 (1.00, 1.86) |
| Girls (N = 10) | 6.20 ± 0.75 (5.74, 6.66) | 9.19 ± 1.06 (8.53, 9.85) | −0.84 ± 0.85 (−1.37, −0.31) | 1.15 ± 0.08 (1.10, 1.20) | 26,985.85 ± 5742.53 (23,426.59, 30,545.11) | 7.07 ± 2.05 (5.80, 8.04) | 1.71 ± 1.03 (1.07, 2.35) |
| p-value | 0.397 | 0.393 | 0.419 | 0.758 | 0.322 | 0.025 * | 0.485 |
| Excessive FMI | |||||||
| Boys (N = 15) | 5.69 ± 0.98 (5.19, 6.16) | 8.4 ± 0.99 (7.90, 8.90) | −1.04 ± 1.30 (−1.70, −0.38) | 1.16 ± 0.09 (1.11, 1.21) | 28,910.07 ± 5452.82 (26,150.56, 31,669.58) | 9.70 ± 2.92 (8.22, 11.18) | 1.37 ± 1.04 (0.84, 1.90) |
| Girls (N = 13) | 6.67 ± 1.12 (6.18, 7.28) | 9.51 ± 1.52 (8.98, 10.34) | −0.64 ± 0.49 (−0.91, −0.37) | 1.17 ± 0.10 (1.12, 1.22) | 27,928.59 ± 5994.58 (24,669.90, 31,187.28) | 6.92 ± 1.82 (5.93, 7.91) | 1.46 ± 0.92 (0.96, 1.96) |
| p-value | 0.022 * | 0.036 * | 0.284 | 0.785 | 0.656 | 0.005 * | 0.810 |
Disclaimer/Publisher’s Note: The statements, opinions and data contained in all publications are solely those of the individual author(s) and contributor(s) and not of MDPI and/or the editor(s). MDPI and/or the editor(s) disclaim responsibility for any injury to people or property resulting from any ideas, methods, instructions or products referred to in the content. |
© 2025 by the authors. Licensee MDPI, Basel, Switzerland. This article is an open access article distributed under the terms and conditions of the Creative Commons Attribution (CC BY) license (https://creativecommons.org/licenses/by/4.0/).
Share and Cite
Chen, G.-B.; Tuan, S.-H.; Tsai, Y.-J.; Huang, I.-C.; Liou, I.-H.; Lin, K.-L. Impact of Excess Adiposity on Cardiorespiratory Fitness in Children and Adolescents with Kawasaki Disease. Life 2025, 15, 264. https://doi.org/10.3390/life15020264
Chen G-B, Tuan S-H, Tsai Y-J, Huang I-C, Liou I-H, Lin K-L. Impact of Excess Adiposity on Cardiorespiratory Fitness in Children and Adolescents with Kawasaki Disease. Life. 2025; 15(2):264. https://doi.org/10.3390/life15020264
Chicago/Turabian StyleChen, Guan-Bo, Sheng-Hui Tuan, Yi-Ju Tsai, I-Ching Huang, I-Hsiu Liou, and Ko-Long Lin. 2025. "Impact of Excess Adiposity on Cardiorespiratory Fitness in Children and Adolescents with Kawasaki Disease" Life 15, no. 2: 264. https://doi.org/10.3390/life15020264
APA StyleChen, G.-B., Tuan, S.-H., Tsai, Y.-J., Huang, I.-C., Liou, I.-H., & Lin, K.-L. (2025). Impact of Excess Adiposity on Cardiorespiratory Fitness in Children and Adolescents with Kawasaki Disease. Life, 15(2), 264. https://doi.org/10.3390/life15020264

