α-Pyrrolidinohexanophenone (α-PHP) and α-Pyrrolidinoisohexanophenone (α-PiHP): A Review
Abstract
1. Introduction
2. Current Situation
3. α-Pyrrolidinohexanophenone (α-PHP)
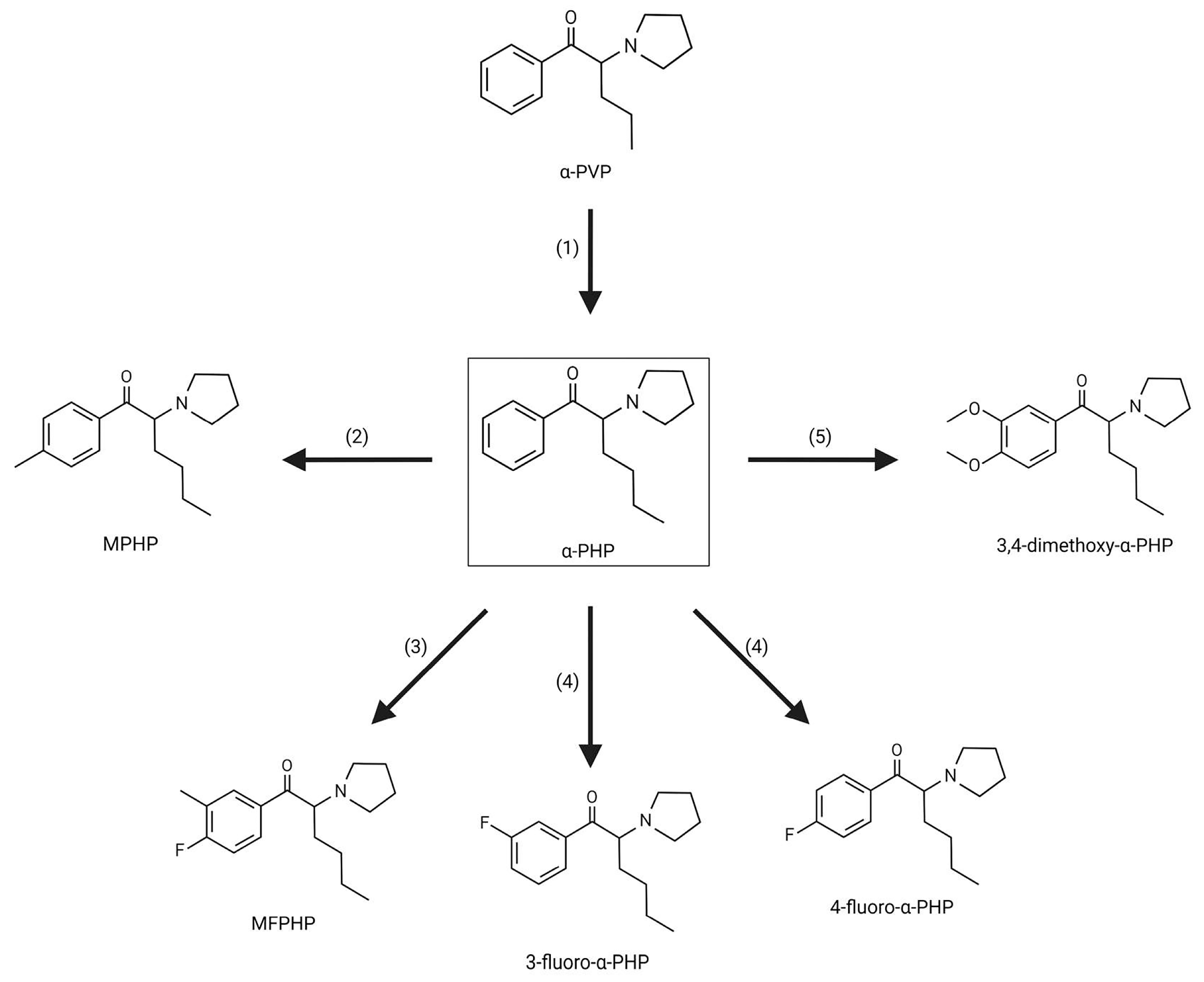
3.1. Identification
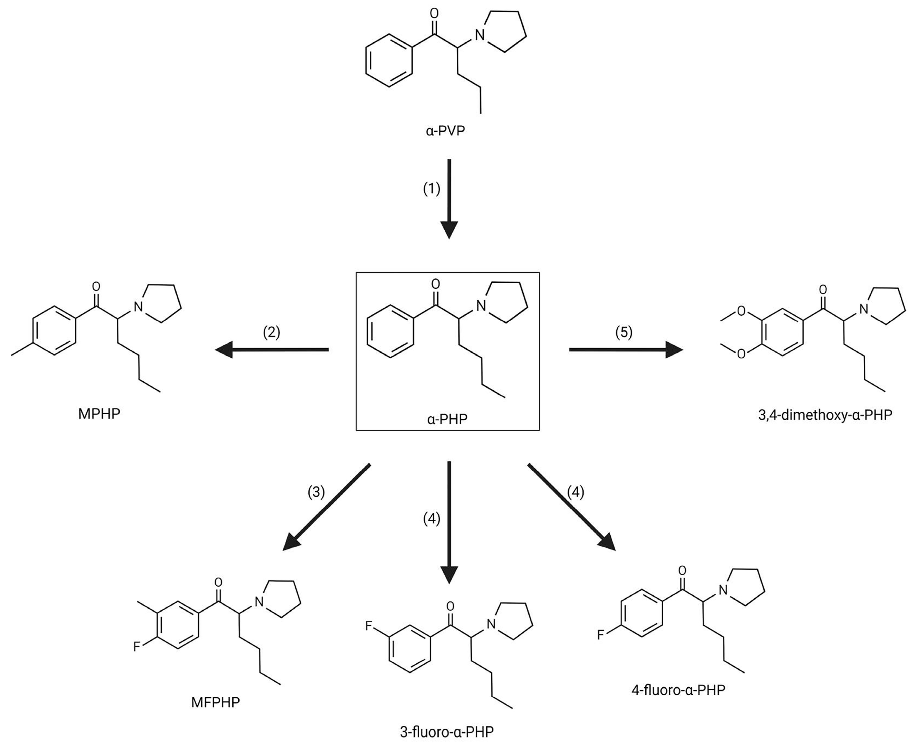
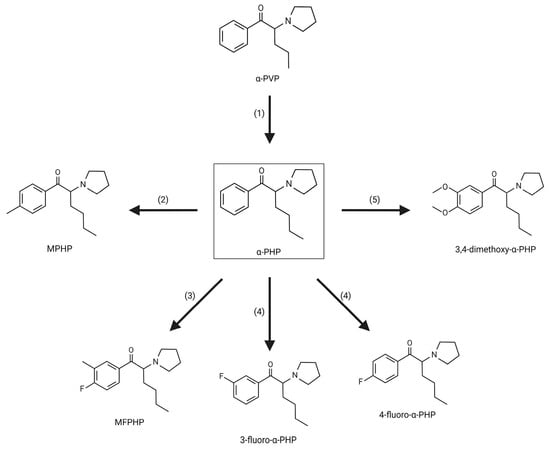
3.2. Chemistry
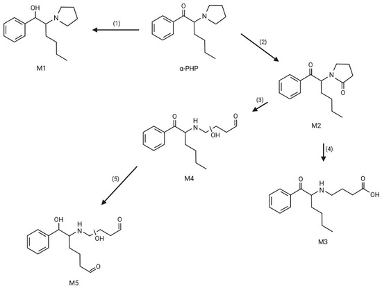
3.3. Toxicokinetics
4. α-Pyrrolidinoisohexanophenone (α-PiHP)
4.1. Identification
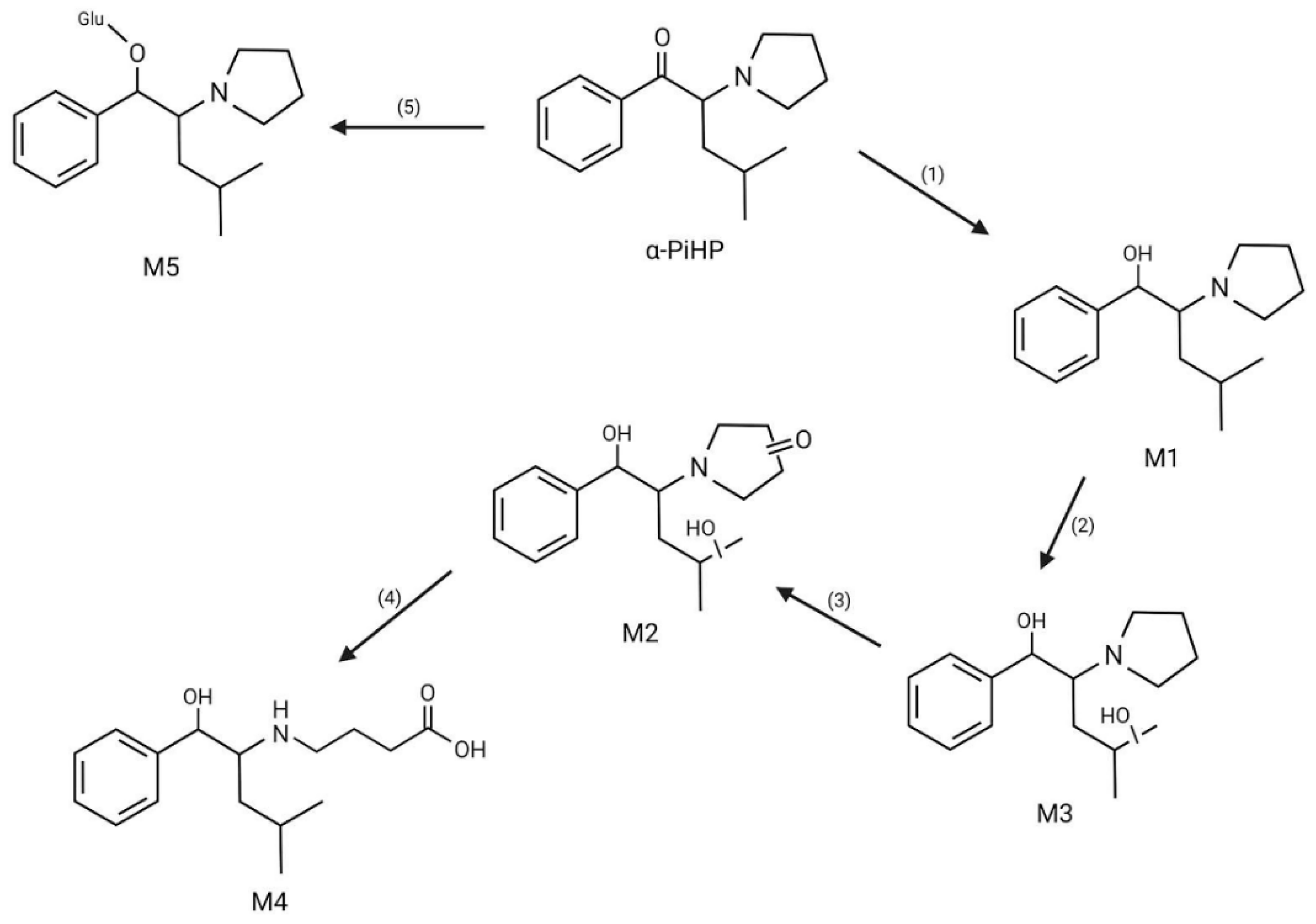
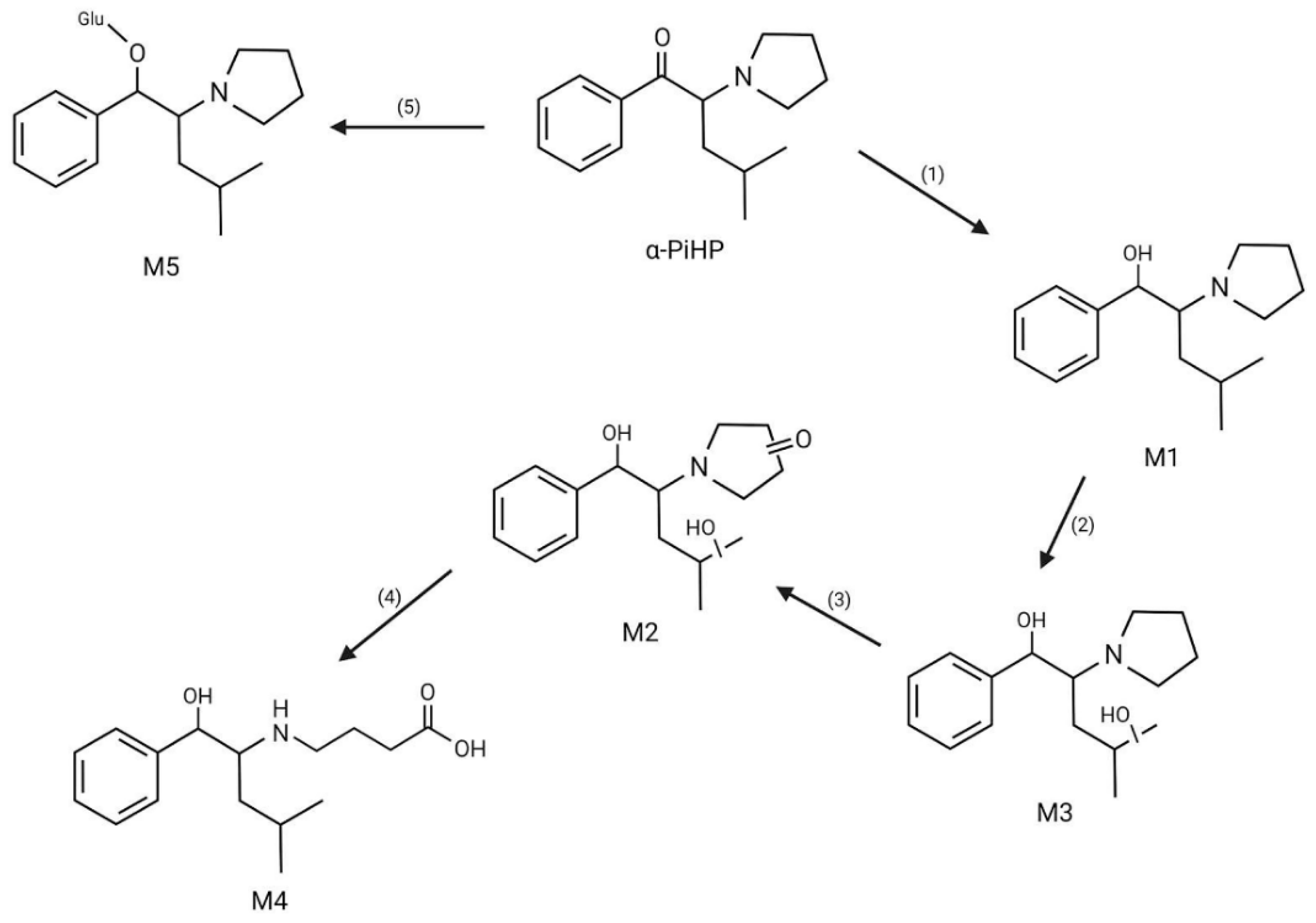
4.2. Chemistry
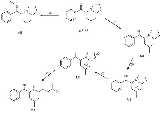
4.3. Toxicokinetics
5. Adverse Effects
6. Forensic Toxicological Analysis
7. Conclusions
Author Contributions
Funding
Institutional Review Board Statement
Informed Consent Statement
Data Availability Statement
Conflicts of Interest
References
- Official Journal of the European Union. Directive (EU) 2017/2103 of the European Parliament and of the Council of 15 November 2017 Amending Council Framework Decision 2004/757/JHA in Order to Include New Psychoactive Substances in the Definition of “Drug” and Repealing Council Decision 2005/387/JHA; European Parliament and Council of the European Union: Strasbourg, France, 2017. [Google Scholar]
- Simão, A.Y.; Antunes, M.; Cabral, E.; Oliveira, P.; Rosendo, L.M.; Brinca, A.T.; Alves, E.; Marques, H.; Rosado, T.; Passarinha, L.A.; et al. An Update on the Implications of New Psychoactive Substances in Public Health. Int. J. Environ. Res. Public Health 2022, 19, 4869. [Google Scholar] [CrossRef]
- Machado, F.; Franco, J.; Vieira, D.N.; Margalho, C. Development and Validation of a GC-MS-EI Method to Determine α-PHP in Blood: Application to Samples Collected during Medico-Legal Autopsies. J. Anal. Toxicol. 2023, 47, 271–279. [Google Scholar] [CrossRef]
- United Nations Office on Drugs and Crime. World Drug Report 2023; United Nations: Vienna, Austria, 2023. [Google Scholar]
- European Monitoring Centre for Drugs and Drug Addiction. European Drug Report 2023: Trends and Developments; EMCDDA: Lisbon, Portugal, 2023.
- German, C.L.; Fleckenstein, A.E.; Hanson, G.R. Bath Salts and Synthetic Cathinones: An Emerging Designer Drug Phenomenon. Life Sci. 2014, 97, 2–8. [Google Scholar] [CrossRef]
- Valente, M.J.; Guedes De Pinho, P.; De Lourdes Bastos, M.; Carvalho, F.; Carvalho, M. Khat and Synthetic Cathinones: A Review. Arch. Toxicol. 2014, 88, 15–45. [Google Scholar] [CrossRef]
- Prosser, J.M.; Nelson, L.S. The Toxicology of Bath Salts: A Review of Synthetic Cathinones. J. Med. Toxicol. 2012, 8, 33–42. [Google Scholar] [CrossRef]
- Pieprzyca, E.; Skowronek, R.; Czekaj, P. Toxicological Analysis of Intoxications with Synthetic Cathinones. J. Anal. Toxicol. 2022, 46, 705–711. [Google Scholar] [CrossRef]
- Margalho, C. Novas Substâncias Psicoativas. In Tratado de Medicina Legal; Corte Real, F., Santos, A., Cainé, L., Cunha, E., Eds.; Pactor: Lisbon, Portugal, 2022; pp. 765–795. ISBN 978-989-693-143-8. [Google Scholar]
- Al-Motarreb, A.; Al-Habori, M.; Broadley, K.J. Khat Chewing, Cardiovascular Diseases and Other Internal Medical Problems: The Current Situation and Directions for Future Research. J. Ethnopharmacol. 2010, 132, 540–548. [Google Scholar] [CrossRef]
- Zaami, S.; Giorgetti, R.; Pichini, S.; Pantano, F.; Marinelli, E.; Busardò, F.P. Synthetic Cathinones Related Fatalities: An Update. Eur. Rev. Med. Pharmacol. Sci. 2018, 22, 268–274. [Google Scholar]
- Zawilska, J.B.; Wojcieszak, J. α-Pyrrolidinophenones: A New Wave of Designer Cathinones. Forensic Toxicol. 2017, 35, 201–216. [Google Scholar] [CrossRef]
- Assembleia da República Portuguesa Lei n.o 25/2021, de 11 de Maio. Available online: https://www.pgdlisboa.pt/leis/lei_print_articulado.php?tabela=leis&artigo_id=&nid=3426&nversao=&tabela=leis (accessed on 9 January 2024).
- Kuropka, P.; Zawadzki, M.; Szpot, P. A Review of Synthetic Cathinones Emerging in Recent Years (2019–2022). Forensic Toxicol. 2023, 41, 25–46. [Google Scholar] [CrossRef]
- SIC Nova Droga, Extremamente Barata, Enlouquece Jovens Na Madeira: “Estamos a Desperdiçar Uma Geração!”. Available online: https://sic.pt/sic/nova-droga-extremamente-barata-enlouquece-jovens-na-madeira-estamos-a-desperdicar-uma-geracao/ (accessed on 9 January 2024).
- RTP Notícias Novas Substâncias Psicoativas Apreendidas Na Madeira Quadruplicam Em 2022 Face a 2021. Available online: https://www.rtp.pt/noticias/pais/novas-substancias-psicoativas-apreendidas-na-madeira-quadruplicam-em-2022-face-a-2021_n1494906 (accessed on 9 January 2024).
- UNODC Update on α-PiHP: Control Status, Emergence, Use, Detection, and Identification. Available online: https://www.unodc.org/LSS/Announcement/Details/732393de-cdd8-47c2-9af0-01d3ab4a305e (accessed on 30 January 2024).
- World Health Organization. Expert Committee on Drug Dependence Critical Review Report: Alpha-PHP (α-Pyrrolidinohexanophenone) or PV-7; WHO: Geneva, Switzerland, 2019. [Google Scholar]
- United States Patent Office US3314970A: Pykrolidino Ketones. Available online: https://patents.google.com/patent/US3314970A/en (accessed on 11 January 2024).
- Uchiyama, N.; Shimokawa, Y.; Kawamura, M.; Kikura-Hanajiri, R.; Hakamatsuka, T. Chemical Analysis of a Benzofuran Derivative, 2-(2-Ethylaminopropyl) Benzofuran (2-EAPB), Eight Synthetic Cannabinoids, Five Cathinone Derivatives, and Five Other Designer Drugs Newly Detected in Illegal Products. Forensic Toxicol. 2014, 32, 266–281. [Google Scholar] [CrossRef]
- Carlier, J.; Diao, X.; Giorgetti, R.; Busardò, F.P.; Huestis, M.A. Pyrrolidinyl Synthetic Cathinones α-Php and 4f-α-Pvp Metabolite Profiling Using Human Hepatocyte Incubations. Int. J. Mol. Sci. 2021, 22, 230. [Google Scholar] [CrossRef] [PubMed]
- Liu, C.; Jia, W.; Li, T.; Hua, Z.; Qian, Z. Identification and Analytical Characterization of Nine Synthetic Cathinone Derivatives N-Ethylhexedrone, 4-Cl-Pentedrone, 4-Cl-α-EAPP, Propylone, N-Ethylnorpentylone, 6-MeO-Bk-MDMA, α-PiHP, 4-Cl-α-PHP, and 4-F-α-PHP. Drug Test. Anal. 2017, 9, 1162–1171. [Google Scholar] [CrossRef] [PubMed]
- Adamowicz, P.; Jurczyk, A.; Gil, D.; Szustowski, S. A Case of Intoxication with a New Cathinone Derivative α-PiHP—A Presentation of Concentrations in Biological Specimens. Leg. Med. 2020, 42, 101626. [Google Scholar] [CrossRef] [PubMed]
- World Health Organization; Expert Committee on Drug Dependence. Critical Review Report: α-Pyrrolidinoisohexanophenone (α-PiHP); WHO: Geneva, Switzerland, 2022. [Google Scholar]
- Klavž, J.; Gorenjak, M.; Marinšek, M. Suicide Attempt with a Mix of Synthetic Cannabinoids and Synthetic Cathinones: Case Report of Non-Fatal Intoxication with AB-CHMINACA, AB-FUBINACA, Alpha-PHP, Alpha-PVP and 4-CMC. Forensic Sci. Int. 2016, 265, 121–124. [Google Scholar] [CrossRef] [PubMed]
- Beck, O.; Bäckberg, M.; Signell, P.; Helander, A. Intoxications in the STRIDA Project Involving a Panorama of Psychostimulant Pyrovalerone Derivatives, MDPV Copycats. Clin. Toxicol. 2018, 56, 256–263. [Google Scholar] [CrossRef] [PubMed]
- Vignali, C.; Moretti, M.; Groppi, A.; Osculati, A.M.M.; Tajana, L.; Morini, L. Distribution of the Synthetic Cathinone α-Pyrrolidinohexiophenone in Biological Specimens. J. Anal. Toxicol. 2019, 43, E1–E6. [Google Scholar] [CrossRef]
- Adamowicz, P.; Hydzik, P. Fetal Death Associated with the Use of 3,4-MDPHP and α-PHP. Clin. Toxicol. 2019, 57, 112–116. [Google Scholar] [CrossRef]
- Lagoutte-Renosi, J.; Richeval, C.; Phanithavong, M.; Wiart, J.F.; Castex, E.; Vanhoy, X.; Hakim, F.; Deheul, S.; Tournebize, J.; Allorge, D.; et al. Hair Analysis Can Support the Follow-Up Addiction Care after Acute New Psychoactive Substances Intoxication: Illustration by Two Cases. Drug Test. Anal. 2021, 13, 227–234. [Google Scholar] [CrossRef]
- Pieprzyca, E.; Skowronek, R.; Czekaj, P. Toxicological Analysis of Cases of Mixed Poisonings with Synthetic Cathinones and Other Drugs of Abuse. J. Anal. Toxicol. 2023, 46, 1008–1015. [Google Scholar] [CrossRef]
- Grapp, M.; Kaufmann, C.; Schwelm, H.M.; Neukamm, M.A. Toxicological Investigation of a Case Series Involving the Synthetic Cathinone α-Pyrrolidinohexiophenone (α-PHP) and Identification of Phase I and II Metabolites in Human Urine. J. Anal. Toxicol. 2023, 47, 162–174. [Google Scholar] [CrossRef]
- Zawadzki, M.; Wachełko, O.; Tusiewicz, K.; Szpot, P. Severe Poisoning after Smoking a Mixture of 4-Fluoroisobutyryl Fentanyl (4-FiBF) and Alpha-Pyrolidinoisohexaphenone (α-PiHP). J. Forensic Leg. Med. 2022, 85, 102287. [Google Scholar] [CrossRef]
- Wachholz, P.; Celiński, R.; Bujak-Giżycka, B.; Skowronek, R.; Pawlas, N. A Fatal Case of Poisoning with a Cathinone Derivative: α-PiHP and Its Postmortem Distribution in Body Fluids and Organ Tissues. J. Anal. Toxicol. 2023, 47, 547–551. [Google Scholar] [CrossRef] [PubMed]
- United States Drug Enforcement Administration Drug Scheduling. Available online: https://www.dea.gov/drug-information/drug-scheduling (accessed on 29 January 2024).
- International Narcotics Control Board List of Psychotropic Substances under International Control. Available online: https://www.incb.org/incb/en/psychotropics/green-list.html (accessed on 29 January 2024).
- International Narcotics Control Board New Substances. 2020. Available online: https://www.incb.org/documents/Psychotropics/PSY_New_Substances_2020_ENG.pdf (accessed on 29 January 2024).
- Drug Enforcement Administration Schedules of Controlled Substances: Placement of N-Ethylhexedrone, Alpha-Pyrrolidinohexanophenone, 4-Methyl-Alpha-Ethylaminopentiophenone, 4′-Methyl-Alpha-Pyrrolidinohexiophenone, Alpha-Pyrrolidinoheptaphenone, and 4′-Chloro-Alpha-Pyrrolidinovalerophenone in Schedule I. Available online: https://www.federalregister.gov/documents/2022/06/01/2022-11740/schedules-of-controlled-substances-placement-of-n-ethylhexedrone-alpha-pyrrolidinohexanophenone (accessed on 29 January 2024).
- Calado, V. Novas Substâncias Psicoativas: O Caso Da Salvia Divinorum, Serviço de Intervenção nos Comportamentos Aditivos e nas Dependências (SICAD). J. Drug Educ. 2013, 38, 3. [Google Scholar]
- Lavado, E.; Leonardo, J.; Carapinha, L.; Torrado, M.; Frango, P.; Calado, V. Novas Substâncias Psicoativas Em Portugal. Metodologia Trendspotter|Relatorio Final; SICAD: Lisbon, Portugal, 2018. [Google Scholar]
- Nogueira, P.J. Notificação de Casos Desencadeados Pelo Consumo de Novas Substâncias Psicoativas: Relatório 21/12/2012; DGS: Lisbon, Portugal, 2012.
- Henriques, S.; Silva, J.P.; Hsu, K.; Paula, J. Overview on New Psychoactive Substances in Portugal; Instituto Universitário de Lisboa: Lisbon, Portugal, 2018; Volume 217. [Google Scholar]
- Região Autónoma da Madeira—Assembleia Legislativa Decreto Legislativo Regional n.o 28/2012/M, de 25 de Outubro. Available online: https://diariodarepublica.pt/dr/detalhe/decreto-legislativo-regional/28-192424 (accessed on 8 February 2024).
- Ganhão, M. Drogas Ilegais Na Madeira São Legais No Continente. Available online: https://expresso.pt/actualidade/drogas-ilegais-na-madeira-sao-legais-no-continente=f764027 (accessed on 9 February 2024).
- Ministério da Saúde Decreto-Lei n.o 54/2013, de 17 de Abril. Available online: https://diariodarepublica.pt/dr/detalhe/decreto-lei/54-2013-260418 (accessed on 8 February 2024).
- Ministério da Saúde Portaria n.o 154/2013, de 17 de Abril. Available online: https://diariodarepublica.pt/dr/detalhe/portaria/154-2013-260421 (accessed on 9 February 2024).
- Ribeiro, C.; Dias, L.; Costa, J.L.; Guerreiro, C.; Lavado, E.; Calado, V. Consumo, Representações e Perceções Das Novas Substâncias Psicoativas Entre Estudantes Universitários, 2013/2014; SICAD: Lisbon, Portugal, 2014. [Google Scholar]
- Região Autónoma da Madeira—Assembleia Legislativa Decreto Legislativo Regional n.o 7/2017/M, de 8 de Março. Available online: https://diariodarepublica.pt/dr/detalhe/decreto-legislativo-regional/7-2017-106572630 (accessed on 9 February 2024).
- Região Autónoma da Madeira—Assembleia Legislativa Decreto Legislativo Regional n.o 13/2023/M, de 14 de Março. Available online: https://diariodarepublica.pt/dr/detalhe/decreto-legislativo-regional/13-2023-208581818 (accessed on 9 February 2024).
- Serviço de Intervenção nos Comportamentos Aditivos e nas Dependências: Direção de Serviços de Monitorização e Informação/Divisão de Estatística e Investigação-Relatório Anual 2022-A Situação Do País Em Matéria de Drogas e Toxicodependências. Available online: https://www.sicad.pt/BK/Publicacoes/Lists/SICAD_PUBLICACOES/Attachments/192/RelatorioAnual_2022_%20ASituacaoDoPaisEmMateriaDeDrogasEToxicodependencias.pdf (accessed on 3 February 2024).
- Lusa Droga Nos Açores: Substâncias Sintéticas Muito Baratas e Abundantes Viciam Jovens e Deixam Consumidores “No Fundo Do Poço”. Available online: https://expresso.pt/sociedade/2023-06-18-Droga-nos-Acores-substancias-sinteticas-muito-baratas-e-abundantes-viciam-jovens-e-deixam-consumidores-no-fundo-do-poco-f8499512 (accessed on 9 February 2024).
- Lusa Madeira é Segunda Região Do País Com Maior Consumo de Novas Substâncias Psicoativas. Available online: https://observador.pt/2023/04/21/madeira-e-segunda-regiao-do-pais-com-maior-consumo-de-novas-substancias-psicoativas/ (accessed on 9 February 2024).
- Ministério da Justiça Decreto-Lei n.o 15/93, de 22 de Janeiro. Available online: https://diariodarepublica.pt/dr/detalhe/decreto-lei/15-1993-585178 (accessed on 14 February 2024).
- Assembleia da República Lei n.o 25/2021, de 11 de Maio. Available online: https://diariodarepublica.pt/dr/detalhe/lei/25-2021-163092604 (accessed on 14 February 2024).
- Três Jovens Identificados Pela PSP Com Bloom e Alpha-PHP. Available online: https://madeira.rtp.pt/sociedade/tres-jovens-identificados-pela-psp-com-bloom-e-alpha-php-2/ (accessed on 14 February 2024).
- PSP Deteve Cidadã Por Posse de Estupefacientes. Available online: https://www.jm-madeira.pt/ocorrencias/psp_deteve_cidada_por_posse_de_estupefacientes-MGJMART202837 (accessed on 14 February 2024).
- “Todos Os Dias Perco o Controlo. É a Pior Droga Que Eu Já vi No Mundo”: Bloom, o Fertilizante Que Está a “Desfazer” a Madeira. Available online: https://cnnportugal.iol.pt/videos/todos-os-dias-perco-o-controlo-e-a-pior-droga-que-eu-ja-vi-no-mundo-bloom-o-fertilizante-que-esta-a-desfazer-a-madeira/65c3df550cf25f995398f117 (accessed on 14 February 2024).
- Tânia Laranjo Nova Droga Destrói a Vida de Centenas de Jovens Na Madeira. Available online: https://www.cm-tv.pt/atualidade/detalhe/20221202-0910-nova-droga-destroi-a-vida-de-centenas-de-jovens-na-madeira (accessed on 14 February 2024).
- Detetada Nova Droga Sintética Na Madeira. Available online: https://madeira.rtp.pt/sociedade/detetada-nova-droga-sintetica-na-madeira-audio/ (accessed on 14 February 2024).
- Kolaczynska, K.E.; Thomann, J.; Hoener, M.C.; Liechti, M.E. The Pharmacological Profile of Second Generation Pyrovalerone Cathinones and Related Cathinone Derivative. Int. J. Mol. Sci. 2021, 22, 8277. [Google Scholar] [CrossRef]
- Majchrzak, M.; Rojkiewicz, M.; Celiński, R.; Kuś, P.; Sajewicz, M. Identification and Characterization of New Designer Drug 4-Fluoro-PV9 and α-PHP in the Seized Materials. Forensic Toxicol. 2016, 34, 115–124. [Google Scholar] [CrossRef][Green Version]
- Drug Enforcement Administration-α-PHP. Available online: https://www.swgdrug.org/Monographs/alpha-PHP.pdf (accessed on 12 February 2024).
- National Center for Biotechnology Information PubChem Compound Summary for CID 102107923, Alpha-PHP. Available online: https://pubchem.ncbi.nlm.nih.gov/compound/102107923 (accessed on 16 February 2024).
- Aldubayyan, A.A.; Castrignanò, E.; Elliott, S.; Abbate, V. Development and Validation of a Chiral LC-MS/MS Method for the Separation and Quantification of Four Synthetic Cathinones in Human Whole Blood and Its Application in Stability Analysis. Talanta 2023, 253, 123986. [Google Scholar] [CrossRef] [PubMed]
- Uchiyama, N.; Matsuda, S.; Kawamura, M.; Shimokawa, Y.; Kikura-Hanajiri, R.; Aritake, K.; Urade, Y.; Goda, Y. Characterization of Four New Designer Drugs, 5-Chloro-NNEI, NNEI Indazole Analog, α-PHPP and α-POP, with 11 Newly Distributed Designer Drugs in Illegal Products. Forensic Sci. Int. 2014, 243, 1–13. [Google Scholar] [CrossRef]
- Westphal, F.; Junge, T.; Rösner, P.; Fritschi, G.; Klein, B.; Girreser, U. Mass Spectral and NMR Spectral Data of Two New Designer Drugs with an α-Aminophenone Structure: 4′-Methyl-α-Pyrrolidinohexanophenone and 4′-Methyl-α-Pyrrolidinobutyrophenone. Forensic Sci. Int. 2007, 169, 32–42. [Google Scholar] [CrossRef]
- Marinetti, L.J.; Antonides, H.M. Analysis of Synthetic Cathinones Commonly Found in Bath Salts in Human Performance and Postmortem Toxicology: Method Development, Drug Distribution and Interpretation of Results. J. Anal. Toxicol. 2013, 37, 135–146. [Google Scholar] [CrossRef]
- Gonçalves, J.L.; Alves, V.L.; Aguiar, J.; Teixeira, H.M.; Câmara, J.S. Synthetic Cathinones: An Evolving Class of New Psychoactive Substances. Crit. Rev. Toxicol. 2019, 49, 549–566. [Google Scholar] [CrossRef]
- Uchiyama, N.; Matsuda, S.; Kawamura, M.; Kikura-Hanajiri, R.; Goda, Y. Two New-Type Cannabimimetic Quinolinyl Carboxylates, QUPIC and QUCHIC, Two New Cannabimimetic Carboxamide Derivatives, ADB-FUBINACA and ADBICA, and Five Synthetic Cannabinoids Detected with a Thiophene Derivative α-PVT and an Opioid Receptor Agonist AH-7921 Identified in Illegal Products. Forensic Toxicol. 2013, 31, 223–240. [Google Scholar] [CrossRef]
- Rickli, A.; Hoener, M.C.; Liechti, M.E. Monoamine Transporter and Receptor Interaction Profiles of Novel Psychoactive Substances: Para-Halogenated Amphetamines and Pyrovalerone Cathinones. Eur. Neuropsychopharmacol. 2015, 25, 365–376. [Google Scholar] [CrossRef]
- Wojcieszak, J.; Andrzejczak, D.; Woldan-Tambor, A.; Zawilska, J.B. Cytotoxic Activity of Pyrovalerone Derivatives, an Emerging Group of Psychostimulant Designer Cathinones. Neurotox. Res. 2016, 30, 239–250. [Google Scholar] [CrossRef]
- Simmler, L.D.; Rickli, A.; Hoener, M.C.; Liechti, M.E. Monoamine Transporter and Receptor Interaction Profiles of a New Series of Designer Cathinones. Neuropharmacology 2014, 79, 152–160. [Google Scholar] [CrossRef]
- Eshleman, A.J.; Wolfrum, K.M.; Reed, J.F.; Kim, S.O.; Swanson, T.; Johnson, R.A.; Janowsky, A. Structure-Activity Relationships of Substituted Cathinones, with Transporter Binding, Uptake, and Release. J. Pharmacol. Exp. Ther. 2017, 360, 33–47. [Google Scholar] [CrossRef]
- Lenzi, M.; Cocchi, V.; Gasperini, S.; Arfè, R.; Marti, M.; Hrelia, P. Evaluation of Cytotoxic and Mutagenic Effects of the Synthetic Cathinones Mexedrone, α-PVP and α-PHP. Int. J. Mol. Sci. 2021, 22, 6320. [Google Scholar] [CrossRef]
- Davies, R.A.; Nguyen, V.T.; Eltit, J.M.; Glennon, R.A. Structure-Activity Relationships for a Recently Controlled Synthetic Cathinone Dopamine Transporter Reuptake Inhibitor: α-Pyrrolidinohexiophenone (α-PHP). ACS Chem. Neurosci. 2023, 14, 2527–2536. [Google Scholar] [CrossRef] [PubMed]
- Duart-Castells, L.; Nadal-Gratacós, N.; Muralter, M.; Puster, B.; Berzosa, X.; Estrada-Tejedor, R.; Niello, M.; Bhat, S.; Pubill, D.; Camarasa, J.; et al. Role of Amino Terminal Substitutions in the Pharmacological, Rewarding and Psychostimulant Profiles of Novel Synthetic Cathinones. Neuropharmacology 2021, 186, 108475. [Google Scholar] [CrossRef] [PubMed]
- Fujita, Y.; Mita, T.; Usui, K.; Kamijo, Y.; Kikuchi, S.; Onodera, M.; Fujino, Y.; Inoue, Y. Toxicokinetics of the Synthetic Cathinone α-Pyrrolidinohexanophenone. J. Anal. Toxicol. 2018, 42, e1–e5. [Google Scholar] [CrossRef] [PubMed]
- Matsuta, S.; Shima, N.; Kakehashi, H.; Kamata, H.; Nakano, S.; Sasaki, K.; Kamata, T.; Nishioka, H.; Miki, A.; Zaitsu, K.; et al. Metabolism of α-PHP and α-PHPP in Humans and the Effects of Alkyl Chain Lengths on the Metabolism of α-Pyrrolidinophenone-Type Designer Drugs. Forensic Toxicol. 2018, 36, 486–497. [Google Scholar] [CrossRef]
- Paul, M.; Bleicher, S.; Guber, S.; Ippisch, J.; Polettini, A.; Schultis, W. Identification of Phase I and II Metabolites of the New Designer Drug α-Pyrrolidinohexiophenone (α-PHP) in Human Urine by Liquid Chromatography Quadrupole Time-of-Flight Mass Spectrometry (LC-QTOF-MS). J. Mass. Spectrom. 2015, 50, 1305–1317. [Google Scholar] [CrossRef] [PubMed]
- Analytical Report. Alpha-PiHP. Sample ID: 1723-16. Available online: https://www.policija.si/apps/nfl_response_web/0_Analytical_Reports_final/alpha-PiHP-ID-1723-16_report.pdf (accessed on 18 February 2024).
- Scientific Drug Enforcement Administration-α-PiHP. Available online: https://www.swgdrug.org/Monographs/alpha-PiHP.pdf (accessed on 12 February 2024).
- Cayman Chemical α-Pyrrolidinoisohexanophenone (Hydrochloride). Available online: https://cdn.caymanchem.com/cdn/insert/21682.pdf (accessed on 18 February 2024).
- Zawadzki, M.; Wachełko, O.; Chłopaś-Konowałek, A.; Szpot, P. Quantification and Distribution of 4-Fluoroisobutyryl Fentanyl (4-FiBF) in Postmortem Biological Samples Using UHPLC–QqQ-MS/MS. Forensic Toxicol. 2021, 39, 451–463. [Google Scholar] [CrossRef]
- Rojkiewicz, M.; Kus, P.; Ksiazek, M.; Kusz, J. Crystallographic Characterization of Three Cathinone Hydrochlorides New on the NPS Market: 1-(4-Methylphenyl)-2-(Pyrrolidin-1-Yl)Hexan-1-One (4-MPHP), 4-Methyl-1-Phenyl-2-(Pyrrolidin-1-Yl)Pentan-1-One (α-PiHP) and 2-(Methylamino)-1-(4-Methylphenyl)Pentan-1-One (4-MPD). Acta Crystallogr. C Struct. Chem. 2022, 78, 56–62. [Google Scholar] [CrossRef]
- TripSit TripSit Factsheets Beta. Available online: https://tripsit.me/factsheets/a-pihp (accessed on 18 February 2024).
- Persson, M.; Vikingsson, S.; Kronstrand, R.; Green, H. Characterization of Neurotransmitter Inhibition for Seven Cathinones by a Proprietary Fluorescent Dye Method. Drug Test. Anal. 2023, 1–9. [Google Scholar] [CrossRef]
- Kemenes, K.; Hidvégi, E.; Szabó, L.; Szabó, S.; Kerner, Á.; Süvegh, G. Metabolism of the Synthetic Cathinone Alpha-Pyrrolidinoisohexanophenone in Humans Using UHPLC-MS-QToF. J. Anal. Toxicol. 2022, 47, 253–262. [Google Scholar] [CrossRef] [PubMed]
- Simmler, L.D.; Buser, T.A.; Donzelli, M.; Schramm, Y.; Dieu, L.H.; Huwyler, J.; Chaboz, S.; Hoener, M.C.; Liechti, M.E. Pharmacological Characterization of Designer Cathinones in Vitro. Br. J. Pharmacol. 2013, 168, 458–470. [Google Scholar] [CrossRef]
- Baumann, M.H.; Walters, H.M.; Niello, M.; Sitte, H.H. Neuropharmacology of Synthetic Cathinones. In Handbook of Experimental Pharmacology; Springer: New York, NY, USA, 2018; Volume 252, pp. 113–142. [Google Scholar]
- Schifano, F.; Albanese, A.; Fergus, S.; Stair, J.L.; Deluca, P.; Corazza, O.; Davey, Z.; Corkery, J.; Siemann, H.; Scherbaum, N.; et al. Mephedrone (4-Methylmethcathinone; ’Meow Meow’): Chemical, Pharmacological and Clinical Issues. Psychopharmacology 2011, 214, 593–602. [Google Scholar] [CrossRef]
- Schifano, F.; Orsolini, L.; Duccio Papanti, G.; Corkery, J.M. Novel Psychoactive Substances of Interest for Psychiatry. World Psychiatry 2015, 14, 15–26. [Google Scholar] [CrossRef]
- Roda, E.; De Luca, F.; Priori, E.C.; Ratto, D.; Pinelli, S.; Corradini, E.; Mozzoni, P.; Poli, D.; Mazzini, G.; Bottone, M.G.; et al. The Designer Drug APHP Affected Cell Proliferation and Triggered Deathly Mechanisms in Murine Neural Stem/Progenitor Cells. Biology 2023, 12, 1225. [Google Scholar] [CrossRef]
- Gatch, M.B.; Dolan, S.B.; Forster, M.J. Locomotor Activity and Discriminative Stimulus Effects of a Novel Series of Synthetic Cathinone Analogs in Mice and Rats. Psychopharmacology 2017, 234, 1237–1245. [Google Scholar] [CrossRef] [PubMed]
- Shetty, R.A.; Hoch, A.C.; Sumien, N.; Forster, M.J.; Gatch, M.B. Comparison of Locomotor Stimulant and Drug Discrimination Effects of Four Synthetic Cathinones to Commonly Abused Psychostimulants. J. Psychopharmacol. 2023, 37, 520–528. [Google Scholar] [CrossRef] [PubMed]
- Sedefov, R.; Gallegos, A.; Mounteney, J.; Kenny, P. Monitoring Novel Psychoactive Substances: A Global Perspective. In Novel Psychoactive Substances: Classification, Pharmacology and Toxicology; Dargan, P.I., Wood, D.M., Eds.; Elsevier: Amsterdam, The Netherlands, 2013; pp. 29–54. ISBN 978-0-12-415816-0. [Google Scholar]
- Woźniak, M.K.; Banaszkiewicz, L.; Wiergowski, M.; Tomczak, E.; Kata, M.; Szpiech, B.; Namieśnik, J.; Biziuk, M. Development and Validation of a GC–MS/MS Method for the Determination of 11 Amphetamines and 34 Synthetic Cathinones in Whole Blood. Forensic Toxicol. 2020, 38, 42–58. [Google Scholar] [CrossRef]
- Freni, F.; Bianco, S.; Vignali, C.; Groppi, A.; Moretti, M.; Osculati, A.M.M.; Morini, L. A Multi-Analyte LC–MS/MS Method for Screening and Quantification of 16 Synthetic Cathinones in Hair: Application to Postmortem Cases. Forensic Sci. Int. 2019, 298, 115–120. [Google Scholar] [CrossRef]






| Effect Intensity | Oral (mg) | Nasal Sublingual Rectal (mg) | Intravenous Inhaled (mg) |
|---|---|---|---|
| First | 3–5 | 2–4 | 1–2 |
| Light | 5–15 | 4–10 | 3–6 |
| Normal | 10–25 | 10–20 | 6–15 |
| Strong | 25–40 | 20–35 | 15–25 |
| Very strong | 40+ | 35+ | 25+ |
| Effect Duration | Oral | Nasal Sublingual | Intravenous Inhaled |
|---|---|---|---|
| Latency time | 15–45 min | 5–15 min | A few seconds/ minutes |
| Main effect | 4–6 h | 2–4 h | 30–90 min |
| Afterglow | 4–10 h | 4–10 h | 2–5 h |
| Effect Intensity | Oral (mg) | Nasal Insufflation (mg) | Nasal Inhalation (mg) |
|---|---|---|---|
| First | 3–5 | 1–3 | 1–2 |
| Light | 5–15 | 3–10 | 2–10 |
| Normal | 10–30 | 10–25 | 10–20 |
| Strong | 30–50 | 25–40 | 20–30 |
| Very strong | 50+ | 40+ | 30+ |
| Effect Duration | Oral | Nasal Insufflation | Nasal Inhalation |
|---|---|---|---|
| Latency time | 30–60 min | 1–2 min | 1 min |
| Main effect | 2–5 h | 2–4 h | 1–3 h |
| Afterglow | 6–12 h | 6–12 h | 6–12 h |
| Analytical Technique | Substance | Specimens | Concentration (ng/mL) | Specimen Preparation | Reference |
|---|---|---|---|---|---|
| LC-MS/MS | α-PiHP | Blood Urine Bile Bloody fluids Tissue homogenates | 69 2072 341 33–448 7–478 ng/g | LLE | [24] |
| LC-MS/MS | α-PiHP | Femoral blood Heart blood Dural venous sinus blood Vitreous humour Cerebrospinal fluid Bile Solid tissues | 2377 1133 966 1492 1350 540 9–2146 ng/g | LLE | [34] |
| GC-MS/MS | α-PiHP | Blood | 611 | LLE and derivatization | [96] |
| LC-MS/MS | α-PHP | Urine | 32–5940 | LLE | [78] |
| LC-MS/MS | α-PHP | Blood Urine | <1–12 136 | LLE | [29] |
| LC-MS/MS | α-PHP | Hair | 3600–4700 pg/mg | Washing with organic solvent and SPE | [97] |
| LC-MS/MS | α-PHP | Blood Urine Bile Solid tissues Hair | 15.3 5.6 1.2 3.5–83.8 ng/g 1078 pg/mg | SPE | [28] |
| GC-MS-EI | α-PHP | Peripheral blood Cardiac blood | 15–227 27-170 | SPE | [3] |
| GC-MS-EI | α-PHP | Gastric contents Urine | INA | LLE | [26] |
| LC-MS/MS | α-PHP | Serum | 175 | QuEChERS | [77] |
| LC-MS/MS | α-PHP | Urine Serum | 1–300 4–10 | LLE | [27] |
| LC-HRMS | α-PHP | Blood Urine Hair | 230 3430 19–100 pg/mg | SPE | [30] |
| LC-MS/MS | α-PHP | Blood Urine | 10–153 10–2520 | LLE | [31] |
| LC-MS/MS | α-PiHP | Blood Urine | 5.0 722.2 | INA | [33] |
| LC-MS/MS | α-PiHP | Blood Urine Vitreous humour Gastric contents Brain Liver | 6.1 31.7 2.5 246 7.8 ng/g 0.0 ng/g | LLE | [83] |
Disclaimer/Publisher’s Note: The statements, opinions and data contained in all publications are solely those of the individual author(s) and contributor(s) and not of MDPI and/or the editor(s). MDPI and/or the editor(s) disclaim responsibility for any injury to people or property resulting from any ideas, methods, instructions or products referred to in the content. |
© 2024 by the authors. Licensee MDPI, Basel, Switzerland. This article is an open access article distributed under the terms and conditions of the Creative Commons Attribution (CC BY) license (https://creativecommons.org/licenses/by/4.0/).
Share and Cite
Dinis, P.; Franco, J.; Margalho, C. α-Pyrrolidinohexanophenone (α-PHP) and α-Pyrrolidinoisohexanophenone (α-PiHP): A Review. Life 2024, 14, 429. https://doi.org/10.3390/life14040429
Dinis P, Franco J, Margalho C. α-Pyrrolidinohexanophenone (α-PHP) and α-Pyrrolidinoisohexanophenone (α-PiHP): A Review. Life. 2024; 14(4):429. https://doi.org/10.3390/life14040429
Chicago/Turabian StyleDinis, Pedro, João Franco, and Cláudia Margalho. 2024. "α-Pyrrolidinohexanophenone (α-PHP) and α-Pyrrolidinoisohexanophenone (α-PiHP): A Review" Life 14, no. 4: 429. https://doi.org/10.3390/life14040429
APA StyleDinis, P., Franco, J., & Margalho, C. (2024). α-Pyrrolidinohexanophenone (α-PHP) and α-Pyrrolidinoisohexanophenone (α-PiHP): A Review. Life, 14(4), 429. https://doi.org/10.3390/life14040429

