Use of Pb2+ as a Selective Activator in Selective Flotation Separation of Specularite, Aegirine, and Chlorite: A DFT Study
Abstract
1. Introduction
2. Methods
2.1. Materials
2.2. Micro-Flotation Experiments
2.3. Zeta Potential Experiments
2.4. DFT Details
3. Results and Discussion
3.1. Micro-Flotation Results
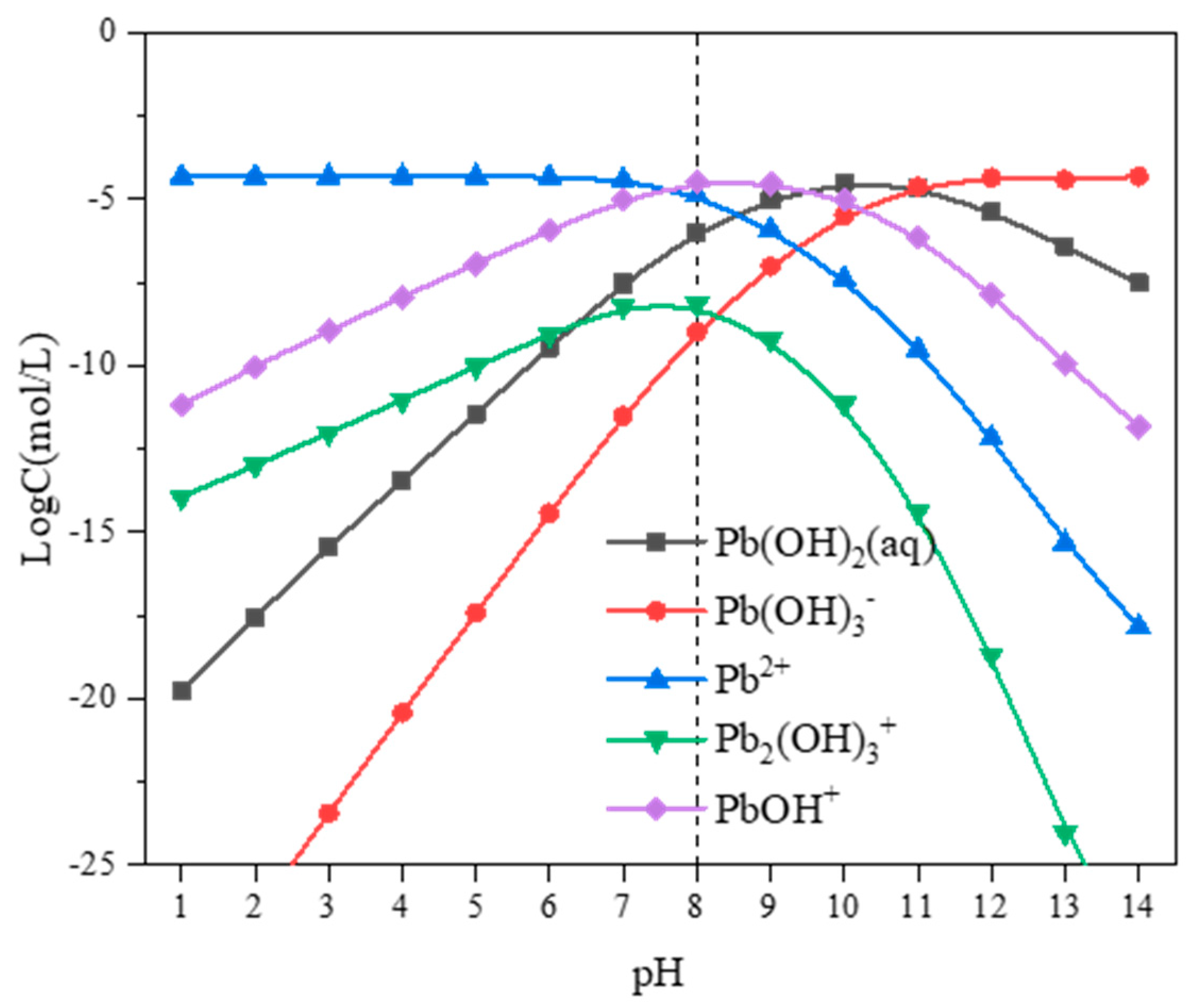
3.2. Solution Chemistry Calculations
3.3. Zeta Potential Analysis
3.4. DFT Results
4. Conclusions
Author Contributions
Funding
Data Availability Statement
Conflicts of Interest
References
- Filippov, L.O.; Severov, V.V.; Filippova, I.V. An overview of the beneficiation of iron ores via reverse cationic flotation. Int. J. Miner. Process. 2014, 127, 62–69. [Google Scholar] [CrossRef]
- Pascoe, R.D.; Doherty, E. Shear flocculation and flotation of hematite using sodium oleate. Int. J. Miner. Process. 1997, 51, 269–282. [Google Scholar] [CrossRef]
- Zhang, X.; Huangfu, M.; Deng, J.; Wang, Y.; Wu, B.; Hu, M.; Zhao, H.; Wu, S. Surface characteristics and flotation behaviours of specularite as influenced by lead ion modification. Sep. Purif. Technol. 2021, 276, 119384. [Google Scholar] [CrossRef]
- Hao, H.; Li, L.; Yuan, Z.; Liu, J. Molecular arrangement of starch, Ca2+ and oleate ions in the siderite-hematite-quartz flotation system. J. Mol. Liq. 2018, 254, 349–356. [Google Scholar] [CrossRef]
- Dey, S.; Sahu, L.; Chaurasia, B.; Nayak, B. Prospects of utilization of waste dumped low-grade limestone for iron making: A case study. Int. J. Min. Sci. Technol. 2020, 30, 367–372. [Google Scholar] [CrossRef]
- Li, M.; Yang, C.; Wu, Z.; Gao, X.; Tong, X.; Yu, X.; Long, H. Selective depression action of taurine in flotation separation of specularite and chlorite. Int. J. Min. Sci. Technol. 2022, 32, 637–644. [Google Scholar] [CrossRef]
- Li, M.; Yang, R.; Gao, X.; Hu, Y. The effect of selective adsorption of dissolved aegirite species on the separation of specularite and aegirite. Adv. Powder Technol. 2020, 31, 4197–4206. [Google Scholar] [CrossRef]
- Dan, W.; Liu, S.; Liu, H.; Zhao, L.; Yang, Z. Study on Selective Separation of Hematite, Quartz and Chlorite by Flocculation. Multipurp. Util. Miner. Resour. 2015, 5, 46. [Google Scholar]
- Filippov, L.O.; Severov, V.V.; Filippova, I.V. Mechanism of starch adsorption on Fe–Mg–Al-bearing amphiboles. Int. J. Miner. Process. 2013, 123, 120–128. [Google Scholar] [CrossRef]
- Alvarez-Silva, M.; Uribe-Salas, A.; Mirnezami, M.; Finch, J.A. The point of zero charge of phyllosilicate minerals using the Mular–Roberts titration technique. Miner. Eng. 2010, 23, 383–389. [Google Scholar] [CrossRef]
- Hao, H.; Li, L.; Yuan, Z.; Liu, J. Comparative effects of sodium silicate and citric acid on the dispersion and flotation of carbonate-bearing iron ore. J. Mol. Liq. 2018, 271, 16–23. [Google Scholar] [CrossRef]
- Li, M.; Liu, J.; Gao, X.; Hu, Y.; Yuan, Q. Surface Properties and Floatability Comparison of Aegirite and Specularite by Density Functional Theory Study and Experiment. Minerals 2019, 9, 782. [Google Scholar] [CrossRef]
- Filippov, L.O.; Filippova, I.V.; Severov, V.V. The use of collectors mixture in the reverse cationic flotation of magnetite ore: The role of Fe-bearing silicates. Miner. Eng. 2010, 23, 91–98. [Google Scholar] [CrossRef]
- Sun, R.; Liu, D.; Tian, X.; Zuo, Q.; Wang, D.; Wen, S. The role of copper ion and soluble starch used as a combined depressant in the flotation separation of fluorite from calcite: New insights on the application of modified starch in mineral processing. Miner. Eng. 2022, 181, 107550. [Google Scholar] [CrossRef]
- Sun, R.; Liu, D.; Liu, Y.; Wang, D.; Wen, S. Pb-water glass as a depressant in the flotation separation of fluorite from calcite. Colloids Surf. A Physicochem. Eng. Asp. 2021, 629, 127447. [Google Scholar] [CrossRef]
- Zhang, X.; Deng, J.; Huangfu, M.; Wang, Y.; Wu, B.; Li, S.; Pang, Z.; Mei, H. Novel insights into the influence of ferric ion as a surface modifier to enhance the floatability of specularite. Powder Technol. 2022, 398, 117141. [Google Scholar] [CrossRef]
- Jin, D.; Sun, R.; Wang, G.; Deng, J.; Zhang, X. Flotation separation of fluorite and calcite using anhydrous glucose and aluminum sulfate as a combined depressant. Appl. Surf. Sci. 2023, 624, 157089. [Google Scholar] [CrossRef]
- Li, L.; Zhang, C.; Yuan, Z.; Xu, X.; Song, Z. AFM and DFT study of depression of hematite in oleate-starch-hematite flotation system. Appl. Surf. Sci. 2019, 480, 749–758. [Google Scholar] [CrossRef]
- Chai, R.; Liu, Y.; Liu, Q.; Xin, J. Interaction mechanism of calcite and four representative organic molecules: Experiments and DFT study. Colloids Surf. A Physicochem. Eng. Asp. 2021, 612, 125822. [Google Scholar] [CrossRef]
- Zhao, G.; Zhong, H.; Qiu, X.; Wang, S.; Gao, Y.; Dai, Z.; Huang, J.; Liu, G. The DFT study of cyclohexyl hydroxamic acid as a collector in scheelite flotation. Miner. Eng. 2013, 49, 54–60. [Google Scholar] [CrossRef]
- Li, Y.; Liu, Y.; Chen, J.; Zhao, C. Structure-activity of chelating collectors for flotation: A DFT study. Miner. Eng. 2020, 146, 106133. [Google Scholar] [CrossRef]
- Zhao, W.; Liu, D.; Feng, Q.; Wen, S.; Chang, W. DFT insights into the electronic properties and adsorption mechanism of HS on smithsonite (101) surface. Miner. Eng. 2019, 141, 105846. [Google Scholar] [CrossRef]
- Clark, S.J.; Segallii, M.; Pickardii, C.J.; Hasnipiii, P.J.; Probertiv, M. First principles methods using CASTEP. Z. Krist. Cryst. Mater. 2005, 220, 567–570. [Google Scholar] [CrossRef]
- Ataman, E.; Andersson, M.P.; Ceccato, M.; Bovet, N.; Stipp, S. Functional group adsorption on calcite: I. Oxygen containing and nonpolar organic molecules. J. Phys. Chem. C 2016, 120, 16586–16596. [Google Scholar] [CrossRef]
- Ataman, E.; Andersson, M.P.; Ceccato, M.; Bovet, N.; Stipp, S.L.S. Functional Group Adsorption on Calcite: II. Nitrogen and Sulfur Containing Organic Molecules. J. Phys. Chem. C 2016, 120, 16597–16607. [Google Scholar] [CrossRef]















| Adsorption Energy (eV) | Bond Type | Bond Length (Å) | Population |
|---|---|---|---|
| −3.58 | Fe1-O1 | 1.922 | 0.29 |
| Pb1-O2 | 2.647 | 0.05 | |
| Pb1-O3 | 2.661 | 0.04 |
| Adsorption Energy (eV) | Bond Type | Bond Length (Å) | Population |
|---|---|---|---|
| −1.84 | Pb1-O2 | 2.402 | 0.02 |
| Fe1-O1 | 1.965 | 0.20 | |
| O3-H1 | 2.504 | −0.02 |
| Adsorption Energy (eV) | Bond Type | Bond Length (Å) | Population |
|---|---|---|---|
| −2.29 | Pb1-O1 | 2.269 | 0.08 |
| Atom | Mulliken Population | Total | Charge/e | |||
|---|---|---|---|---|---|---|
| s | p | d | ||||
| Pb1 | Before | 1.96 | 1.57 | 10.01 | 13.53 | 0.47 |
| After | 1.90 | 1.29 | 10 | 13.19 | 0.81 | |
| Fe1 | Before | 0.36 | 0.27 | 6.53 | 7.16 | 0.84 |
| After | 0.27 | 0.24 | 6.46 | 6.98 | 1.02 | |
| O1 | Before | 1.89 | 5.06 | 0 | 6.95 | −0.95 |
| After | 1.89 | 5.08 | 0 | 6.97 | −0.97 | |
| O2 | Before | 1.87 | 4.71 | 0 | 6.58 | −0.58 |
| After | 1.87 | 4.73 | 0 | 6.60 | −0.60 | |
| O3 | Before | 1.87 | 4.72 | 0 | 6.59 | −0.59 |
| After | 1.87 | 4.73 | 0 | 6.60 | −0.60 | |
| Atom | Mulliken Population | Total | Charge/e | |||
|---|---|---|---|---|---|---|
| s | p | d | ||||
| Pb1 | Before | 1.96 | 1.57 | 10.01 | 13.53 | 0.47 |
| After | 1.92 | 0.98 | 10.01 | 12.91 | 1.09 | |
| Fe1 | Before | 0.28 | 0.35 | 6.55 | 7.18 | 0.82 |
| After | 0.29 | 0.29 | 6.46 | 7.04 | 0.96 | |
| O1 | Before | 1.89 | 5.06 | 0 | 6.95 | −0.95 |
| After | 1.89 | 5.09 | 0 | 6.98 | −0.98 | |
| O2 | Before | 1.87 | 5.04 | 0 | 6.91 | −0.91 |
| After | 1.87 | 5.06 | 0 | 6.93 | −0.93 | |
| Atom | Mulliken Population | Total | Charge/e | |||
|---|---|---|---|---|---|---|
| s | p | d | ||||
| Pb1 | Before | 1.96 | 1.57 | 10.01 | 13.53 | 0.47 |
| After | 1.90 | 1.00 | 10.02 | 12.92 | 1.08 | |
| O1 | Before | 1.90 | 4.61 | 0 | 6.52 | −0.52 |
| After | 1.89 | 4.78 | 0 | 6.67 | −0.67 | |
Disclaimer/Publisher’s Note: The statements, opinions and data contained in all publications are solely those of the individual author(s) and contributor(s) and not of MDPI and/or the editor(s). MDPI and/or the editor(s) disclaim responsibility for any injury to people or property resulting from any ideas, methods, instructions or products referred to in the content. |
© 2023 by the authors. Licensee MDPI, Basel, Switzerland. This article is an open access article distributed under the terms and conditions of the Creative Commons Attribution (CC BY) license (https://creativecommons.org/licenses/by/4.0/).
Share and Cite
Huangfu, M.; Sun, R.; Xu, L.; Deng, J.; Zhang, X.; Liu, J.; Qin, G. Use of Pb2+ as a Selective Activator in Selective Flotation Separation of Specularite, Aegirine, and Chlorite: A DFT Study. Minerals 2023, 13, 1062. https://doi.org/10.3390/min13081062
Huangfu M, Sun R, Xu L, Deng J, Zhang X, Liu J, Qin G. Use of Pb2+ as a Selective Activator in Selective Flotation Separation of Specularite, Aegirine, and Chlorite: A DFT Study. Minerals. 2023; 13(8):1062. https://doi.org/10.3390/min13081062
Chicago/Turabian StyleHuangfu, Mingzhu, Ruofan Sun, Luyi Xu, Jiushuai Deng, Xi Zhang, Jixing Liu, and Guanglin Qin. 2023. "Use of Pb2+ as a Selective Activator in Selective Flotation Separation of Specularite, Aegirine, and Chlorite: A DFT Study" Minerals 13, no. 8: 1062. https://doi.org/10.3390/min13081062
APA StyleHuangfu, M., Sun, R., Xu, L., Deng, J., Zhang, X., Liu, J., & Qin, G. (2023). Use of Pb2+ as a Selective Activator in Selective Flotation Separation of Specularite, Aegirine, and Chlorite: A DFT Study. Minerals, 13(8), 1062. https://doi.org/10.3390/min13081062

