Adsorption of Cs(I) and Sr(II) on Bentonites with Different Compositions at Different pH
Abstract
1. Introduction
2. Materials and Methods
2.1. Materials
2.2. Methods
2.2.1. Physicochemical Properties of Bentonites
2.2.2. Scheme of Sorption Experiments
2.2.3. Sequential Extraction
3. Results
3.1. Chemical Properties of Bentonites
3.2. pHPZC and pHPZSE
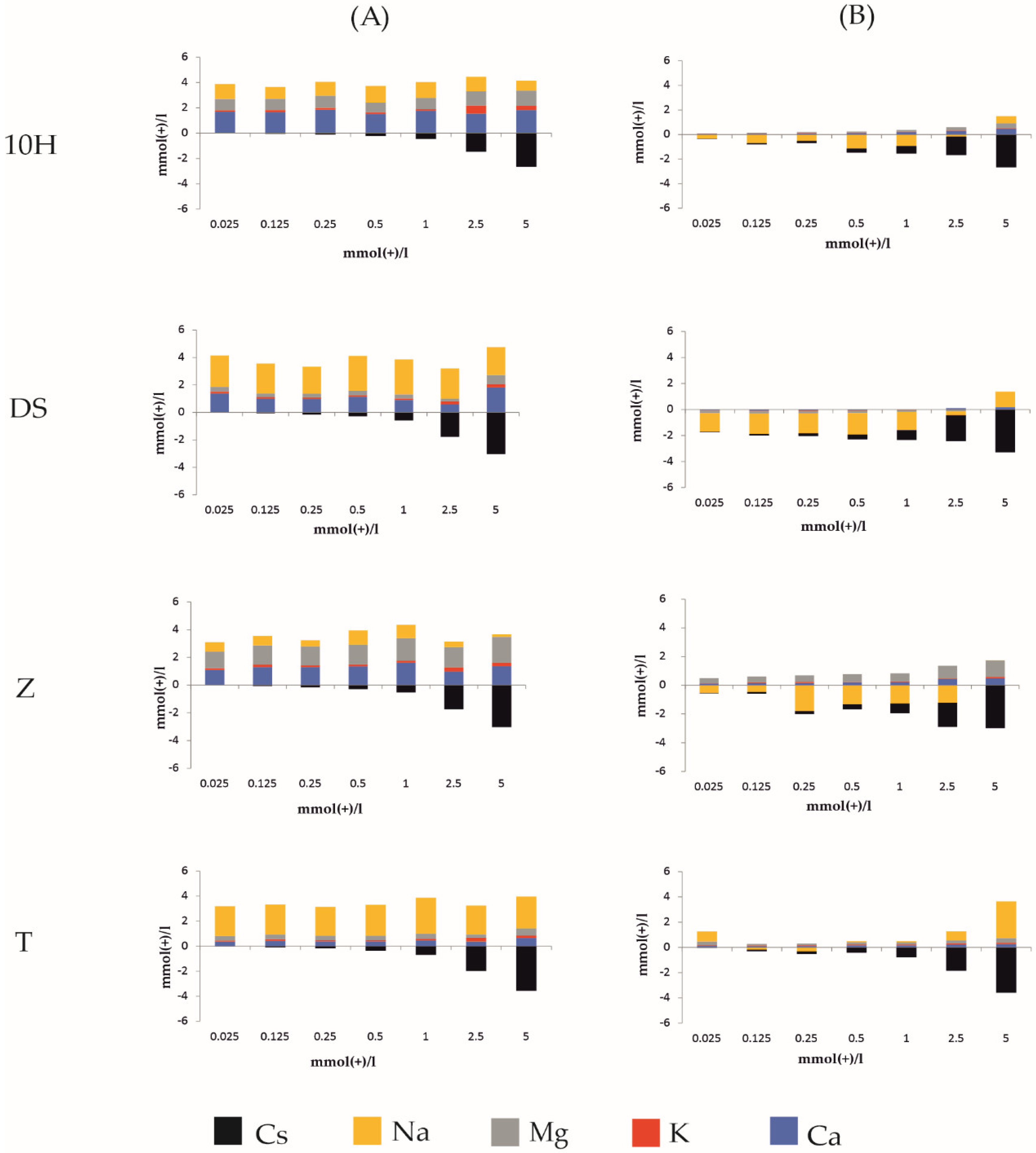
3.3. Sorption Experiments
4. Discussion
4.1. Adsorption Regularities of Cs(I) and Sr(II)
4.2. Heterogeneity of Sorption Centers
4.3. Adsorption Mechanisms of Cs(I) and Sr(II)
4.4. Sorption Capacity Factors of the Studied Clays
5. Conclusions
Supplementary Materials
Author Contributions
Funding
Conflicts of Interest
References
- Bogatov, S.A.; Kryuchkov, D.V.; Pavlov, D.I.; Sychenko, D.V. Analysis of Various Concepts for RW Class 1 Disposal in Crystalline Rocks. Radioact. Waste 2020, 12, 66–77. [Google Scholar] [CrossRef]
- Disposal, G. A Review of the Development of Bentonite Barriers in the KBS 3V Disposal Concept; NDA Technical Note No. 21665941; Nuclear Decommissioning Authority (NDA): Moor Row, UK, 2014; 84p.
- Dorofeev, A.N.; Bolshov, L.A.; Linge, I.I.; Utkin, S.S.; Saveleva, E.A. Strategic Master Plan for R&D Demonstrating the Safety of Construction, Operation and Closure of a Deep Geological Disposal Facility for Radioactive Waste. Radioact. Waste 2017, 1, 33–41. [Google Scholar]
- Krupskaya, V.V.; Biryukov, D.V.; Belousov, P.E.; Lekhov, V.A.; Romanchuk, A.Y.; Kalmykov, S.N. Use of Natural Clay Materials to Increase Nuclear and Radiation Safety of Nuclear Legacy Facilities. Radioact. Waste 2018, 2, 24–34. [Google Scholar]
- Krupskaya, V.V.; Zakusin, S.V.; Lekhov, V.A.; Dorzhieva, O.V.; Belousov, P.E.; Tyupina, E.A. Buffer Properties of Bentonite Barrier Systems for Radioactive Waste Isolation in Geological Repository in the Nizhnekanskiy Massif. Radioact. Waste 2020, 10, 35–55. [Google Scholar] [CrossRef]
- Laverov, N.P.; Yudintsev, S.v.; Kochkin, B.T.; Malkovsky, V.I. The Russian Strategy of Using Crystalline Rock as a Repository for Nuclear Waste. Elements 2016, 12, 253–256. [Google Scholar] [CrossRef]
- Pusch, R.; Knutsson, S.; Al-Taie, L.; Mohammed, M.H. Optimal Ways of Disposal of Highly Radioactive Waste. Nat. Sci. 2012, 4, 906–918. [Google Scholar] [CrossRef]
- Sellin, P.; Leupin, O.X. The Use of Clay as an Engineered Barrier in Radioactive-Waste Management—A Review. Clays Clay Miner. 2014, 61, 477–498. [Google Scholar] [CrossRef]
- Bradbury, M.H.; Baeyens, B. Physico-Chemical Characterisation Data and Sorption Measurements of Cs, Ni, Eu, Th, U, Cl, I and Se on MX-80 Bentonite; No. PSI—11-05; NTB 09-08; Paul Scherrer Institute (PSI): Villigen, Switzerland, 2011. [Google Scholar]
- Kaufhold, S.; Dohrmann, R. Distinguishing between More and Less Suitable Bentonites for Storage of High-Level Radioactive Waste. Clay Miner. 2016, 51, 289–302. [Google Scholar] [CrossRef]
- Karnland, O.; Olsson, S.; Nilsson, U. Mineralogy and Sealing Properties of Various Bentonites and Smectite-Rich Clay Materials. In SKB Technical Report TR-06-30; Swedish Nuclear Fuel and Waste Management Co.: Stockholm, Sweden, 2006. [Google Scholar]
- Weber, W.J.; McGinley, P.M.; Katz, L.E. Sorption Phenomena in Subsurface Systems: Concepts, Models and Effects on Contaminant Fate and Transport. Water Res. 1991, 25, 499–528. [Google Scholar] [CrossRef]
- Chikkamath, S.; Patel, M.A.; Kar, A.S.; Raut, V.v.; Tomar, B.S.; Manjanna, J. Sorption of Cs(I) on Fe-Montmorillonite Relevant to Geological Disposal of HLW. Radiochim. Acta 2019, 107, 387–396. [Google Scholar] [CrossRef]
- Geckeis, H.; Rabung, T.; Ngo Manh, T.; Kim, J.I.; Beck, H.P. Humic Colloid-Borne Natural Polyvalent Metal Ions: Dissociation Experiment. Environ. Sci. Technol. 2002, 36, 2946–2952. [Google Scholar] [CrossRef] [PubMed]
- Krupskaya, V.V.; Zakusin, S.V.; Tyupina, E.A.; Dorzhieva, O.V.; Chernov, M.S.; Bychkova, Y.V. Transformation of Structure and Adsorption Properties of Montmorillonite under Thermochemical Treatment. Geochem. Int. 2019, 57, 314–330. [Google Scholar] [CrossRef]
- Krupskaya, V.V.; Zakusin, S.V.; Zhukhlistov, A.P.; Dorzhieva, O.V.; Sud’in, V.V.; Kryuchkova, L.Y.; Zubkov, A.A. Newly Formed Smectite as an Indicator of Geoenvironment Transformation under the Impact of Aggressive Solutions Accompanying Liquid Radioactive Waste. Geoekologiya Inzhenernaya Geol. Gidrogeol. Geokriol. J. 2016, 5, 412–419. (In Russian) [Google Scholar]
- Rozov, K.B.; Rumynin, V.G.; Nikulenkov, A.M.; Leskova, P.G. Sorption of 137Cs, 90Sr, Se, 99Tc, 152(154)Eu, 239(240)Pu on Fractured Rocks of the Yeniseysky Site (Nizhne-Kansky Massif, Krasnoyarsk Region, Russia). J. Environ. Radioact. 2018, 192, 513–523. [Google Scholar] [CrossRef] [PubMed]
- Meleshyn, A.Y.; Zakusin, S.V.; Krupskaya, V.V. Swelling Pressure and Permeability of Compacted Bentonite from 10th Khutor Deposit (Russia). Minerals 2021, 11, 742. [Google Scholar] [CrossRef]
- Kasar, S.; Kumar, S.; Kar, A.; Bajpai, R.K.; Kaushik, C.P.; Tomar, B.S. Retention Behaviour of Cs(I), Sr(II), Tc(VII) and Np(V) on Smectite-Rich Clay. J. Radioanal. Nucl. Chem. 2014, 300, 71–75. [Google Scholar] [CrossRef]
- Borisover, M.; Davis, J.A. Adsorption of Inorganic and Organic Solutes by Clay Minerals. In Developments in Clay Science; Elsevier: Amsterdam, The Netherlands, 2015; Volume 6. [Google Scholar]
- Belousov, P.; Semenkova, A.; Egorova, T.; Romanchuk, A.; Zakusin, S.; Dorzhieva, O.; Tyupina, E.; Izosimova, Y.; Tolpeshta, I.; Chernov, M.; et al. Cesium Sorption and Desorption on Glauconite, Bentonite, Zeolite, and Diatomite. Minerals 2019, 9, 625. [Google Scholar] [CrossRef]
- Missana, T.; Benedicto, A.; García-Gutiérrez, M.; Alonso, U. Modeling Cesium Retention onto Na-, K- and Ca-Smectite: Effects of Ionic Strength, Exchange and Competing Cations on the Determination of Selectivity Coefficients. Geochim. Cosmochim. Acta 2014, 128, 266–277. [Google Scholar] [CrossRef]
- Durrant, C.B.; Begg, J.D.; Kersting, A.B.; Zavarin, M. Cesium Sorption Reversibility and Kinetics on Illite, Montmorillonite, and Kaolinite. Sci. Total Environ. 2018, 610–611, 511–520. [Google Scholar] [CrossRef]
- Iijima, K.; Tomura, T.; Shoji, Y. Reversibility and Modeling of Adsorption Behavior of Cesium Ions on Colloidal Montmorillonite Particles. Appl. Clay Sci. 2010, 49, 262–268. [Google Scholar] [CrossRef]
- Wissocq, A.; Beaucaire, C.; Latrille, C. Application of the Multi-Site Ion Exchanger Model to the Sorption of Sr and Cs on Natural Clayey Sandstone. Appl. Geochem. 2018, 93, 167–177. [Google Scholar] [CrossRef]
- Gutierrez, M.; Fuentes, H.R. A Mechanistic Modeling of Montmorillonite Contamination by Cesium Sorption. Appl. Clay Sci. 1996, 11, 11–24. [Google Scholar] [CrossRef]
- Siroux, B.; Beaucaire, C.; Tabarant, M.; Benedetti, M.F.; Reiller, P.E. Adsorption of Strontium and Caesium onto an Na-MX80 Bentonite: Experiments and Building of a Coherent Thermodynamic Modelling. Appl. Geochem. 2017, 87, 167–175. [Google Scholar] [CrossRef]
- Semenkova, A.S.; Polyakova, T.R.; Korob, D.K.; Seregina, I.F.; Mikheev, I.v.; Krupskaya, V.v.; Romanchuk, A.Y.; Kalmykov, S.N. Sorption of Cs(I) and Np(V) onto Clays from the Ostrozhanskoe Deposit (Belarus). Radiochemistry 2019, 61, 619–624. [Google Scholar] [CrossRef]
- Semenkova, A.S.; Ilina, O.A.; Krupskaya, V.V.; Zakusin, S.V.; Dorzhieva, O.V.; Pokidko, B.V.; Romanchuk, A.Y.; Kalmykov, S.N. The Sorption of Radionuclides on Clay Minerals—The Components of Engineering Safety Barriers. Mosc. Univ. Chem. Bull. 2021, 76, 316–324. [Google Scholar] [CrossRef]
- Semenkova, A.S.; Evsiunina, M.V.; Verma, P.K.; Mohapatra, P.K.; Petrov, V.G.; Seregina, I.F.; Bolshov, M.A.; Krupskaya, V.V.; Romanchuk, A.Y.; Kalmykov, S.N. Cs+ Sorption onto Kutch Clays: Influence of Competing Ions. Appl. Clay Sci. 2018, 166, 88–93. [Google Scholar] [CrossRef]
- Missana, T.; García-Gutiérrez, M.; Benedicto, A.; Ayora, C.; De-Pourcq, K. Modelling of Cs Sorption in Natural Mixed-Clays and the Effects of Ion Competition. Appl. Geochem. 2014, 49, 95–102. [Google Scholar] [CrossRef]
- Cherif, M.A.; Martin-Garin, A.; Gérard, F.; Bildstein, O. A Robust and Parsimonious Model for Caesium Sorption on Clay Minerals and Natural Clay Materials. Appl. Geochem. 2017, 87, 22–37. [Google Scholar] [CrossRef]
- Kasar, S.; Kumar, S.; Saha, A.; Tomar, B.S.; Bajpai, R.K. Mechanistic and Thermodynamic Aspects of Cs(I) and Sr(II) Interactions with Smectite-Rich Natural Clay. Environ. Earth Sci. 2017, 76, 274. [Google Scholar] [CrossRef]
- Baborová, L.; Vopálka, D.; Červinka, R. Sorption of Sr and Cs onto Czech Natural Bentonite: Experiments and Modelling. J. Radioanal. Nucl. Chem. 2018, 318, 2257–2262. [Google Scholar] [CrossRef]
- Missana, T.; García-Gutiérrez, M. Adsorption of Bivalent Ions (Ca(II), Sr(II) and Co(II)) onto FEBEX Bentonite. Phys. Chem. Earth 2007, 32, 559–567. [Google Scholar] [CrossRef]
- Belousov, P.E.; Krupskaya, V.V. Bentonite Clays of Russia and Neighboring Countries. Georesursy 2019, 21, 79–90. [Google Scholar] [CrossRef]
- Belousov, P.; Chupalenkov, N.; Christidis, G.E.; Zakusina, O.; Zakusin, S.; Morozov, I.; Chernov, M.; Zaitseva, T.; Tyupina, E.; Krupskaya, V. Carboniferous Bentonites from 10Th Khutor Deposit (Russia): Composition, Properties and Features of Genesis. Appl. Clay Sci. 2021, 215, 106308. [Google Scholar] [CrossRef]
- Belousov, P.E.; Pokidko, B.V.; Zakusin, S.V.; Krupskaya, V.V. Quantitative Methods for Quantification of Montmorillonite Content in Bentonite Clays. Georesursy 2020, 22, 38–47. [Google Scholar] [CrossRef]
- Meier, L.P. Determination of the Cation Exchange Capacity (CEC) of Clay Minerals Using the Complexes of Copper(II) Ion with Triethylenetetramine and Tetraethylenepentamine. Clays Clay Miner. 1999, 47, 386–388. [Google Scholar] [CrossRef]
- Dohrmann, R.; Kaufhold, S. Three New, Quick CEC Methods for Determining the Amounts of Exchangeable Calcium Cations in Calcareous Clays. Clays Clay Miner. 2009, 57, 338–352. [Google Scholar] [CrossRef]
- Dohrmann, R.; Genske, D.; Karnland, O.; Kaufhold, S.; Kiviranta, L.; Olsson, S.; Plötze, M.; Sandén, T.; Sellin, P.; Svensson, D.; et al. Interlaboratory CEC and Exchangeable Cation Study of Bentonite Buffer Materials: I. Cu(II)-Triethylenetetramine Method. Clays Clay Miner. 2012, 60, 162–175. [Google Scholar] [CrossRef]
- Vorob’eva, L.A. Chemical Analysis of Soils; Lomonosov Moscow State University (MSU): Moscow, Russia, 1998; Volume 272. [Google Scholar]
- Tessier, A.; Campbell, P.G.C.; Bisson, M. Sequential Extraction Procedure for the Speciation of Particulate Trace Metals. Anal. Chem. 1979, 51, 844–851. [Google Scholar] [CrossRef]
- Tombácz, E.; Szekeres, M. Colloidal Behavior of Aqueous Montmorillonite Suspensions: The Specific Role of PH in the Presence of Indifferent Electrolytes. Appl. Clay Sci. 2004, 27, 75–94. [Google Scholar] [CrossRef]
- Liu, X.; Lu, X.; Sprik, M.; Cheng, J.; Meijer, E.J.; Wang, R. Acidity of Edge Surface Sites of Montmorillonite and Kaolinite. Geochim. Cosmochim. Acta 2013, 117, 180–190. [Google Scholar] [CrossRef]
- Anderson, H.L.; Brady, P.V.; Cygan, R.T.; Gruenhagen, S.E.; Nagy, K.L.; Westrich, H.R. Sorption on Clays and Fe-Oxides. In Proceedings of the 19th US Department of Energy Low Level Radioactive Waste Management Conference (INEEL/CONF-98-01-01138), Salt Lake City, UT, USA, 10–12 November 1998. [Google Scholar]
- Nakano, M.; Kawamura, K.; I/chikawa, Y. Local Structural Information of Cs in Smectite Hydrates by Means of an EXAFS Study and Molecular Dynamics Simulations. Appl. Clay Sci. 2003, 23, 15–23. [Google Scholar] [CrossRef]
- Bostick, B.C.; Vairavamurthy, M.A.; Karthikeyan, K.G.; Chorover, J. Cesium Adsorption on Clay Minerals: An EXAFS Spectroscopic Investigation. Environ. Sci. Technol. 2002, 36, 2670–2676. [Google Scholar] [CrossRef] [PubMed]
- Putilina, V.S.; Galickaya, I.V.; Yuganova, T.I. Sorption Processes when Groundwater Contaminating by Heavy Metals and Radioactive Elements. Cadmium; Siberian Branch of the Russian Academy of Sciences: Novosibirsk, Russia, 2012; Volume 99, 110p, Available online: http://www.spsl.nsc.ru/putilina-v-s-sorbcionnye-processy-pri-zagryaznenii-podzemnyx-vod-tyazhelymi-metallami-i-radioaktivnymi-elementami-kadmij/(In Russian). (accessed on 1 June 2022).
- Eren, E.; Afsin, B. An Investigation of Cu(II) Adsorption by Raw and Acid-Activated Bentonite: A Combined Potentiometric, Thermodynamic, XRD, IR, DTA Study. J. Hazard. Mater. 2008, 151, 682–691. [Google Scholar] [CrossRef] [PubMed]
- Gu, X.; Evans, L.J.; Barabash, S.J. Modeling the Adsorption of Cd (II), Cu (II), Ni (II), Pb (II) and Zn (II) onto Montmorillonite. Geochim. Cosmochim. Acta 2010, 74, 5718–5728. [Google Scholar] [CrossRef]
- de Almeida Neto, A.F.; Vieira, M.G.A.; da Silva, M.G.C. Cu(II) Adsorption on Modified Bentonitic Clays: Different Isotherm Behaviors in Static and Dynamic Systems. Mater. Res. 2012, 15, 114–124. [Google Scholar] [CrossRef]
- Stumm, W. Chemistry of the Solid-Water Interface: Processes at the Mineral- Water and Particle-Water Interface in Natural Systems. Soil Sci. 1993, 156, 205. [Google Scholar] [CrossRef][Green Version]
- Pinskii, D.L. Ion-Exchange Processes in Soils; Scientific Center of the Russian Academy of Sciences: Pushchino, Russia, 1997; 166p. [Google Scholar]
- Kasar, S.; Mishra, S.; Omori, Y.; Sahoo, S.K.; Kavasi, N.; Arae, H.; Sorimachi, A.; Aono, T. Sorption and Desorption Studies of Cs and Sr in Contaminated Soil Samples around Fukushima Daiichi Nuclear Power Plant. J. Soils Sediments 2020, 20, 392–403. [Google Scholar] [CrossRef]
- Liu, X.; Lu, X.; Wang, R.; Zhou, H. Effects of Layer-Charge Distribution on the Thermodynamic and Microscopic Properties of Cs-Smectite. Geochim. Cosmochim. Acta 2008, 72, 1837–1847. [Google Scholar] [CrossRef]
- Dzene, L.; Verron, H.; Delville, A.; Michot, L.J.; Robert, J.L.; Tertre, E.; Hubert, F.; Ferrage, E. Influence of Tetrahedral Layer Charge on the Fixation of Cesium in Synthetic Smectite. J. Phys. Chem. C 2017, 121, 23422–23435. [Google Scholar] [CrossRef]
- Kalinichev, A.G.; Loganathan, N.; Wakou, B.F.N.; Chen, Z. Interaction of Ions with Hydrated Clay Surfaces: Computational Molecular Modeling for Nuclear Waste Disposal Applications. Procedia Earth Planet. Sci. 2017, 17, 566–569. [Google Scholar] [CrossRef]
- Chiang, P.N.; Wang, M.K.; Huang, P.M.; Wang, J.J.; Chiu, C.Y. Cesium and Strontium Sorption by Selected Tropical and Subtropical Soils around Nuclear Facilities. J. Environ. Radioact. 2010, 101, 472–481. [Google Scholar] [CrossRef] [PubMed]
- Filipská, H.; Štamberg, K. Sorption of Cs(I) and Sr(II) on a Mixture of Bentonite and Magnetite Using SCM + IExM: A Parametric Study. J. Radioanal. Nucl. Chem. 2006, 270, 531–542. [Google Scholar] [CrossRef]
- Trivedi, P.; Axe, L. A Comparison of Strontium Sorption to Hydrous Aluminum, Iron, and Manganese Oxides. J. Colloid Interface Sci. 1999, 218, 554–563. [Google Scholar] [CrossRef] [PubMed]
- Egorin, A.; Tokar, E.; Kalashnikova, A.; Sokolnitskaya, T.; Tkachenko, I.; Matskevich, A.; Filatov, E.; Zemskova, L. Synthesis and Sorption Properties towards Sr-90 of Composite Sorbents Based on Magnetite and Hematite. Materials 2020, 13, 1189. [Google Scholar] [CrossRef]






| Deposit | Sample | Sm | Il | Chl | Kaol | Qz | Cr | Fsp | Cal | Py |
|---|---|---|---|---|---|---|---|---|---|---|
| Taganskoe | T | 73 | 1 | - | - | 22.5 | - | 2.3 | 1.2 | |
| Dash-Salakhlinskoe | DS | 73.9 | - | - | - | 3.7 | 5 | 13.8 | 3.6 | - |
| Zyryanskoe | Z | 74.4 | 0.9 | - | 2.6 | 19.4 | - | 0.6 | 2.1 | - |
| 10th Khutor | 10H | 73.0 | - | 1.2 | - | 14.2 | - | 8.6 | 3 | - |
| Bentonite | pH | Cations in Aqueous Extract, mmol/L | CEC, mmol(+)/100 g | FeCDB % | pH PZC | pH PZSE | Layer Charge of Smectite | |||
|---|---|---|---|---|---|---|---|---|---|---|
| Ca2+ | Na+ | Mg2+ | K+ | |||||||
| 10H | 9.25 | 4.12 | 24.04 | 2.26 | 3.76 | 80.5 | 0.07 | 8.5 | - | −0.27 |
| T | 7.70 | 0.16 | 13.37 | 0.40 | 0.76 | 100.7 | 1.00 | 7.7 | - | −0.36 |
| Z | 8.94 | 2.80 | 14.29 | 1.52 | 1.38 | 78.3 | 0.18 | - | 6.5 | −0.37 |
| DS | 9.01 | 4.86 | 39.37 | 3.43 | 3.14 | 94.1 | 0.49 | - | 6.7 | −0.34 |
Publisher’s Note: MDPI stays neutral with regard to jurisdictional claims in published maps and institutional affiliations. |
© 2022 by the authors. Licensee MDPI, Basel, Switzerland. This article is an open access article distributed under the terms and conditions of the Creative Commons Attribution (CC BY) license (https://creativecommons.org/licenses/by/4.0/).
Share and Cite
Izosimova, Y.; Gurova, I.; Tolpeshta, I.; Karpukhin, M.; Zakusin, S.; Zakusina, O.; Samburskiy, A.; Krupskaya, V. Adsorption of Cs(I) and Sr(II) on Bentonites with Different Compositions at Different pH. Minerals 2022, 12, 862. https://doi.org/10.3390/min12070862
Izosimova Y, Gurova I, Tolpeshta I, Karpukhin M, Zakusin S, Zakusina O, Samburskiy A, Krupskaya V. Adsorption of Cs(I) and Sr(II) on Bentonites with Different Compositions at Different pH. Minerals. 2022; 12(7):862. https://doi.org/10.3390/min12070862
Chicago/Turabian StyleIzosimova, Yulia, Irina Gurova, Inna Tolpeshta, Michail Karpukhin, Sergey Zakusin, Olga Zakusina, Alexey Samburskiy, and Victoria Krupskaya. 2022. "Adsorption of Cs(I) and Sr(II) on Bentonites with Different Compositions at Different pH" Minerals 12, no. 7: 862. https://doi.org/10.3390/min12070862
APA StyleIzosimova, Y., Gurova, I., Tolpeshta, I., Karpukhin, M., Zakusin, S., Zakusina, O., Samburskiy, A., & Krupskaya, V. (2022). Adsorption of Cs(I) and Sr(II) on Bentonites with Different Compositions at Different pH. Minerals, 12(7), 862. https://doi.org/10.3390/min12070862

