Evaluation of Frother Types for Improved Flotation Recovery and Selectivity
Abstract
1. Introduction
2. Experimental
2.1. Coal Sample
2.2. Chemicals
2.3. Physical Properties Measurement
2.4. Column Flotation Apparatus
2.5. Flotation Release Analysis
2.6. Column Flotation Tests
3. Results and Discussion
3.1. Physical Properties Evaluation
3.2. Bias Factor and Air Fraction Measurements
3.3. Column Flotation Performance Evaluation
4. Conclusions
Author Contributions
Funding
Conflicts of Interest
References
- Khoshdast, H.; Sam, A. Flotation frothers: Review of their classifications, properties and preparation. Open Miner. Process. J. 2011, 4, 25–44. [Google Scholar] [CrossRef]
- Tan, Y.H.; Zhang, W.; Finch, J.A. Frother structure-property relationship: Effect of polyethylene glycols on bubble rise velocity. Miner. Eng. 2018, 116, 56–61. [Google Scholar] [CrossRef]
- Leja, J.; Schulman, J.H. Flotation theory: Molecular interactions between frothers and collectors at solid–liquid–air interfaces. Trans. AIME 1954, 199, 221–228. [Google Scholar]
- Leja, J. Mechanisms of Collector Adsorption and Dynamic Attachment of Particles to Air Bubbles as Derived from Surface-Chemical Studies. Trans. IMM 1956, 66, 425–437. [Google Scholar]
- Gupta, A.K.; Banerjee, P.K.; Mishra, A.; Satish, P. Effect of alcohol and polyglycol ether frothers on foam stability, bubble size and coal flotation. Int. J. Miner. Process. 2007, 82, 126–137. [Google Scholar] [CrossRef]
- Drzymala, J.; Kowalczuk, P. Classification of flotation frothers. Minerals 2018, 8, 53. [Google Scholar] [CrossRef]
- Cho, Y.S.; Laskowski, J.S. Effect of flotation frothers on bubble size and foam stability. Int. J. Miner. Process. 2002, 64, 69–80. [Google Scholar] [CrossRef]
- Cho, Y.S.; Laskowski, J.S. Bubble Coalescence and its effect on dynamic foamability. Can. J. Chem. Eng. 2002, 80, 299–305. [Google Scholar] [CrossRef]
- Laskowski, J.S. Fundamental properties of flotation frothers. In Proceedings of the 22nd International Mineral Processing Congress, Cape Town, South Africa, 29 September 2003; Volume 2, pp. 788–797. [Google Scholar]
- Laskowski, J.S.; Cho, Y.S.; Ding, K. Effect of frothers on bubble size and foam stability in potash ore flotation systems. Can. J. Chem. Eng. 2003, 81, 63–69. [Google Scholar] [CrossRef]
- Laskowski, J.S.; Tlhone, T.; Williams, P.; Ding, K. Fundamental properties of the polyoxypropylene alkyl ether flotation frothers. Int. J. Miner. Process. 2003, 72, 289–299. [Google Scholar] [CrossRef]
- Grau, R.A.; Heiskanen, K. Bubble size distribution in laboratory scale flotation cells. Miner. Eng. 2005, 18, 1164–1172. [Google Scholar] [CrossRef]
- Melo, F.; Laskowski, J.S. Fundamental properties of flotation frothers and their effect on flotation. Miner. Eng. 2006, 19, 766–773. [Google Scholar] [CrossRef]
- Finch, J.A.; Nesset, J.E.; Acuña, C. Role of frother on bubble production and behaviour in flotation. Miner. Eng. 2008, 21, 949–957. [Google Scholar] [CrossRef]
- Szyszka, D. Critical Coalescence Concentration (CCC) for surfactants in aqueous solutions. Minerals 2018, 8, 431. [Google Scholar] [CrossRef]
- Savassi, O.N.; Alexander, D.J.; Franzidis, J.P.; Manlapig, E.V. An empirical model for entrainment in industrial flotation plants. Miner. Eng. 1998, 11, 243–256. [Google Scholar] [CrossRef]
- Yianatos, J.B.; Finch, J.A.; Laplante, A.R. Selectivity in column flotation froths. Int. J. Miner. Process. 1988, 23, 279–292. [Google Scholar] [CrossRef]
- Wang, L.; Peng, Y.; Runge, K. Entrainment in froth flotation: The degree of entrainment and its contributing factors. Powder Technol. 2016, 288, 202–211. [Google Scholar] [CrossRef]
- Engelbrecht, J.A.; Woodburn, E.T. The Effects of Froth Height, Aeration Rate, and Gas Precipitation on Flotation; Mintek: Randburg, South Africa, 1975. [Google Scholar]
- Lynch, A.J.; Johnson, N.W.; Manlapig, E.V.; Thorne, C.G. Mineral and Coal Flotation Circuits; Elsevier: Amsterdam, The Netherlands, 1981; Volume 65, p. 305. [Google Scholar]
- Maachar, A.; Dobby, G.S. Measurement of feed water recovery and entrainment solids recovery in flotation columns. Can. Metall. Q. 1992, 31, 167–172. [Google Scholar] [CrossRef]
- Rahal, K.; Manlapig, E.; Franzidis, J.P. Effect of frother type and concentration on the water recovery and entrainment recovery relationship. Miner. Metall. Proc. 2001, 18, 138–141. [Google Scholar] [CrossRef]
- Wang, L.; Peng, Y.; Runge, K. The mechanism responsible for the effect of frothers on the degree of entrainment in laboratory batch flotation. Miner. Eng. 2017, 100, 124–131. [Google Scholar] [CrossRef]
- Kursun, H. The influence of frother types and concentrations on fine particles’ entrainment using column flotation. Sep. Sci. Technol. 2017, 52, 722–731. [Google Scholar] [CrossRef]
- Subrahmanyam, T.V.; Forssberg, E. Froth stability, particle entrainment and drainage in flotation—A review. Int. J. Miner. Process. 1988, 23, 33–53. [Google Scholar] [CrossRef]
- Laskowski, J.S. Testing flotation frothers. Fizykochem. Probl. Miner./Physicochem. Probl. Mi. 2004, 38, 13–22. [Google Scholar]
- Ata, S.; Ahmed, N.; Jameson, G.J. Collection of hydrophobic particles in the froth phase. Int. J. Miner. Process. 2002, 64, 101–122. [Google Scholar] [CrossRef]
- Ata, S.; Ahmed, N.; Jameson, G.J. A study of bubble coalescence in flotation froths. Int. J. Miner. Process. 2003, 72, 255–266. [Google Scholar] [CrossRef]
- Ata, S.; Ahmed, N.; Jameson, G.J. The effect of hydrophobicity on the drainage of gangue minerals in flotation froths. Miner. Eng. 2004, 17, 897–901. [Google Scholar] [CrossRef]
- Bournival, G.; Souza, L.D.O.; Ata, S.; Wanless, E.J. Effect of alcohol frothing agents on the coalescence of bubbles coated with hydrophobized silica particles. Chem. Eng. Sci. 2015, 131, 1–11. [Google Scholar] [CrossRef]
- Honaker, R.Q.; Saracoglu, M.; Huang, Q. Application of hydrophobic and magnetic plastic particles for enhanced flotation recovery. Miner. Eng. 2016, 98, 223–231. [Google Scholar] [CrossRef]
- Honaker, R.; Saracoglu, M.; Huang, Q. Evaluation of a novel coal flotation improvement approach with the addition of hydrophobic magnetic particles. Int. J. Coal Prep. Util. 2017, 1–17. [Google Scholar] [CrossRef]
- Pugh, R.J. Experimental techniques for studying the structure of foams and froths. Adv. Colloid Interfac. 2005, 114, 239–251. [Google Scholar] [CrossRef]
- Davies, J.T. A quantitative kinetic theory of emulsion type. I. Physical chemistry of the emulsifying agent. In Proceedings of the International Congress of Surface Activity, London, UK, 8–12 April 1957; Volume 1, pp. 426–438. [Google Scholar]
- El-Shall, H.; Abdel-Khalek, N.A.; Svoronos, S. Collector–frother interaction in column flotation of Florida phosphate. Int. J. Miner. Process. 2000, 58, 187–199. [Google Scholar] [CrossRef]
- Bueno-Tokunaga, A.; Pérez-Garibay, R.; Martínez-Carrillo, D. Zeta potential of air bubbles conditioned with typical froth flotation reagents. Int. J. Miner. Process. 2015, 140, 50–57. [Google Scholar] [CrossRef]











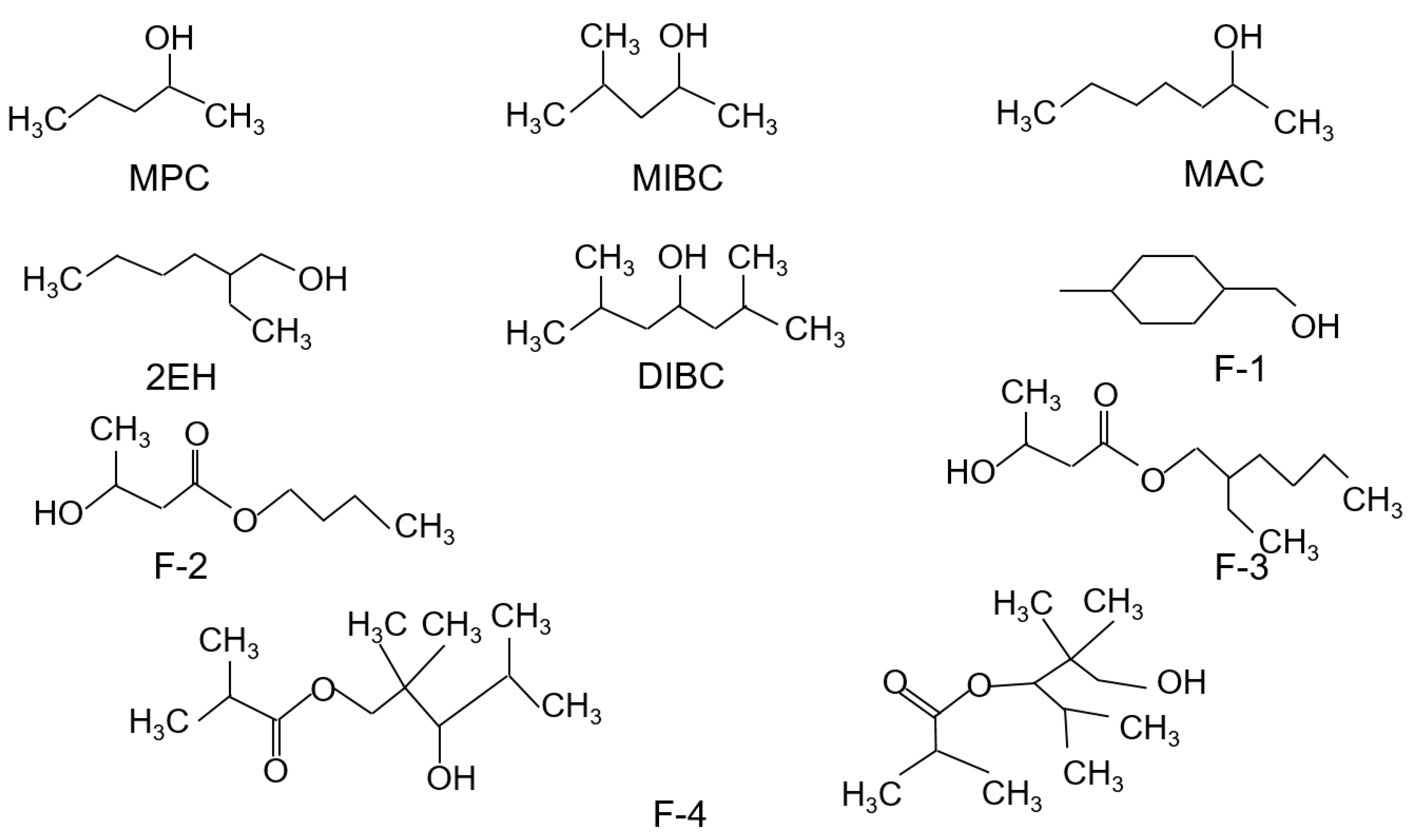
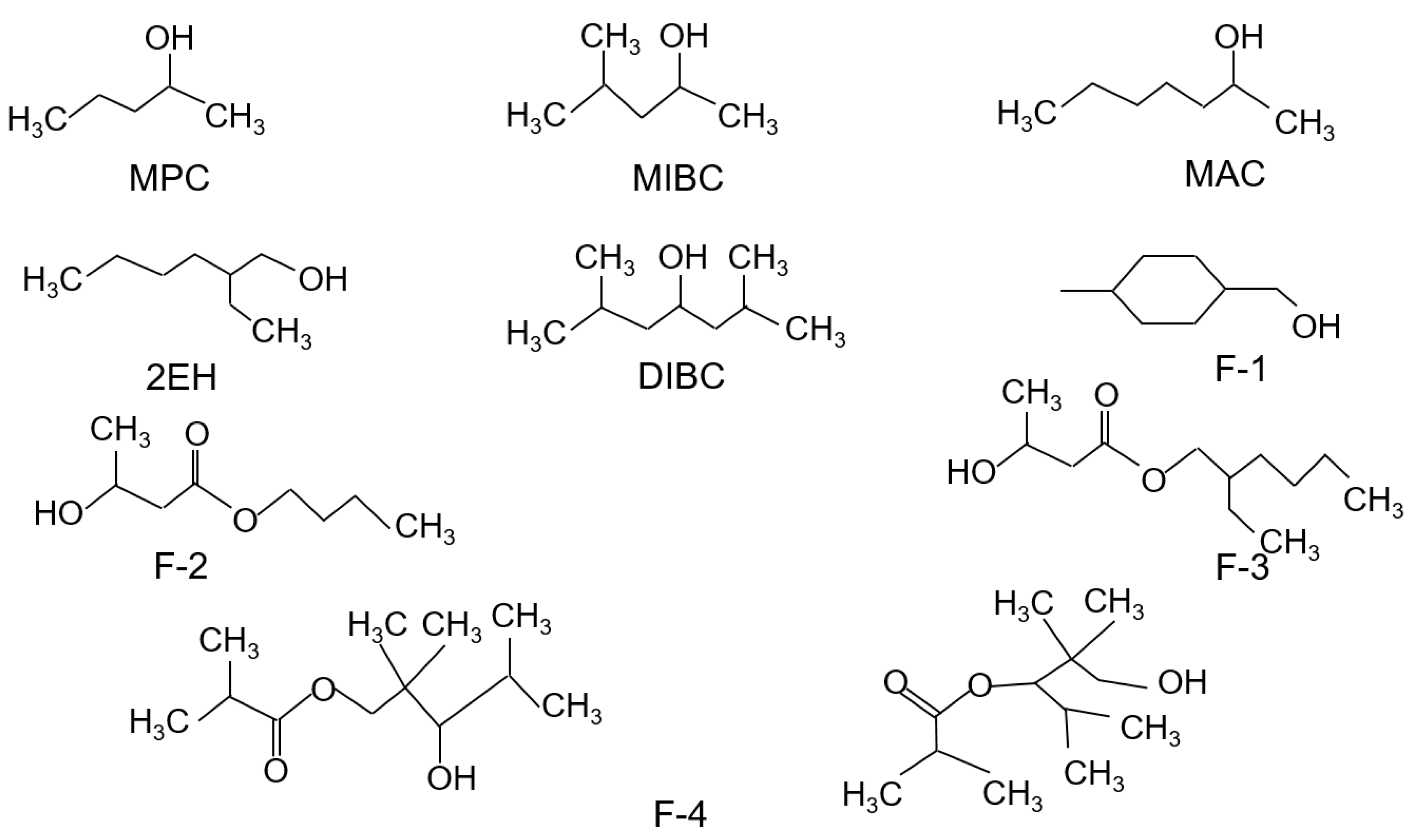
| Material | Code | Molecular Weight, g/mole | Water Solubility, mg/L | Density (25 °C), g/mL |
|---|---|---|---|---|
| 2-pentanol | MPC | 88.15 | 44,600 | 0.812 |
| 2-heptanol | MAC | 116.21 | 3270 | 0.817 |
| 80% 2,6-dimethyl-4-heptanol:20% 4,6-dimethyl-2-heptanol blend | DIBC | 144.26 | 66.4 | 0.809 |
| 4-methyl-2-pentanol | MIBC | 102.18 | 16,400 | 0.802 |
| 2-ethyl-1-hexanol | 2EH | 130.23 | 700 | 0.834 |
| 4-methyl cyclohexane methanol | F-1 | 128.21 | 2024 | 1.0176 |
| n-butyl-3-hydroxybutyrate | F-2 | 160.21 | 39,000 | 0.989 |
| 2-ethylhexyl-3-hydroxybutyrate | F-3 | 216.32 | 223.6 | 0.947 |
| 2,2,4-trimethyl-1,3-pentanediol monoisobutyrate | F-4 | 216.32 | 321.5 | 0.945 |
| Sample I.D. | Incremental | Cumulative | |||
|---|---|---|---|---|---|
| Weight (%) | Ash (%) | Weight (%) | Ash (%) | Combustible Recovery (%) | |
| P1 | 2.48 | 5.57 | 2.48 | 5.57 | 4.54 |
| P2 | 3.50 | 5.60 | 5.98 | 5.59 | 10.94 |
| P3 | 6.76 | 6.00 | 12.74 | 5.81 | 23.25 |
| P4 | 5.04 | 6.02 | 17.79 | 5.87 | 32.43 |
| P5 | 6.04 | 6.36 | 23.82 | 5.99 | 43.37 |
| P6 | 5.29 | 7.50 | 29.11 | 6.27 | 52.85 |
| P7 | 3.23 | 8.73 | 32.35 | 6.51 | 58.57 |
| P8 | 2.12 | 10.04 | 34.47 | 6.73 | 62.27 |
| P9 | 3.34 | 12.32 | 37.81 | 7.22 | 67.93 |
| P10 | 7.32 | 20.45 | 45.13 | 9.37 | 79.22 |
| P11 | 8.17 | 42.64 | 53.30 | 14.47 | 88.30 |
| P12 | 0.35 | 76.07 | 53.65 | 14.87 | 88.46 |
| P13 | 9.44 | 77.74 | 63.09 | 24.28 | 92.53 |
| Tailing | 36.91 | 89.55 | 100.00 | 48.37 | 100.00 |
| Total | 100.00 | 48.37 | |||
| Feed Flow Rate | 1000 mL/min |
|---|---|
| Wash Water Flowrate | 400 mL/min |
| Solids Content | 5 wt. % |
| Superficial Air Velocities | 1.67 cm/s |
| Froth Height | 356 mm |
| Collector Dosage | 0.125 kg/t |
| Solution pH | ~7 |
| Code | HLB | Surface Tension in DI Slope, mN/m/ppm | Froth Height Slope, mm/ppm |
|---|---|---|---|
| MPC | 6.53 | −0.0078 | 0.233 |
| MAC | 5.58 | −0.0434 | 1.353 |
| DIBC | 4.63 | −0.1000 | 1.371 |
| MIBC | 6.05 | −0.0186 | 0.776 |
| 2EH | 5.1 | −0.0791 | 1.435 |
| F-1 | 5.1 | −0.0583 | 0.895 |
| F-2 | 7.97 | −0.0294 | 1.609 |
| F-3 | 6.25 | −0.2157 | 2.026 |
| F-4 | 5.78 | −0.1400 | 1.235 |
© 2019 by the authors. Licensee MDPI, Basel, Switzerland. This article is an open access article distributed under the terms and conditions of the Creative Commons Attribution (CC BY) license (http://creativecommons.org/licenses/by/4.0/).
Share and Cite
Huang, Q.; Yang, X.; Honaker, R.Q. Evaluation of Frother Types for Improved Flotation Recovery and Selectivity. Minerals 2019, 9, 590. https://doi.org/10.3390/min9100590
Huang Q, Yang X, Honaker RQ. Evaluation of Frother Types for Improved Flotation Recovery and Selectivity. Minerals. 2019; 9(10):590. https://doi.org/10.3390/min9100590
Chicago/Turabian StyleHuang, Qingqing, Xinbo Yang, and Rick Q. Honaker. 2019. "Evaluation of Frother Types for Improved Flotation Recovery and Selectivity" Minerals 9, no. 10: 590. https://doi.org/10.3390/min9100590
APA StyleHuang, Q., Yang, X., & Honaker, R. Q. (2019). Evaluation of Frother Types for Improved Flotation Recovery and Selectivity. Minerals, 9(10), 590. https://doi.org/10.3390/min9100590

