Next Issue
Volume 15, December
Previous Issue
Volume 15, October
 
 

Minerals, Volume 15, Issue 11 (November 2025) – 132 articles

Cover Story (view full-size image): Accurate phase identification is essential for characterizing mineral systems, yet it remains a challenge in SEM-based automated mineralogy (AM) when dealing with compositionally variable rock-forming or accessory minerals. This study presents an integrated approach for refining and validating custom, deposit-specific phase libraries in AM using a Tescan TIMA. By combining iterative, informed library design with complementary microanalytical data (EPMA, LA-ICPMS), the approach improves phase classification accuracy and confidence. This approach is demonstrated through three case studies from complex mineral systems in Queensland, Australia: amphiboles in an IOCG deposit; cobalt-bearing phases in a sediment-hosted Cu–Au–Co deposit; and Li-micas in an LCT pegmatite system. View this paper
  • Issues are regarded as officially published after their release is announced to the table of contents alert mailing list.
  • You may sign up for e-mail alerts to receive table of contents of newly released issues.
  • PDF is the official format for papers published in both, html and pdf forms. To view the papers in pdf format, click on the "PDF Full-text" link, and use the free Adobe Reader to open them.
Order results
Result details
Section
Select all
Export citation of selected articles as:
20 pages, 4248 KB  
Article
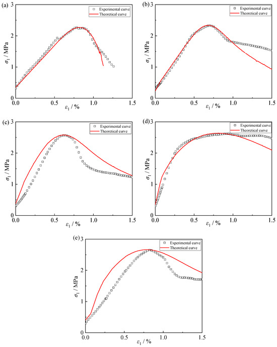
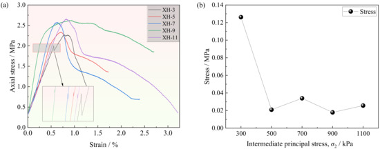
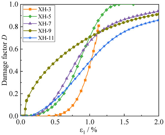
Experimental Study on the True Triaxial Unloading Mechanical Properties of Cement Tailings Backfill Under Different Intermediate Principal Stresses
by Qiang Li, Jiajian Li, Yunpeng Kou and Weidong Song
Minerals 2025, 15(11), 1227; https://doi.org/10.3390/min15111227 - 20 Nov 2025
Viewed by 307
Abstract
Engineering unloading activities during deep mineral resource extraction subject the backfill materials to complex true triaxial stress conditions, where their mechanical behavior and damage mechanisms are critical to stope stability. In this article, a true triaxial testing system was employed to conduct unloading [...] Read more.
Engineering unloading activities during deep mineral resource extraction subject the backfill materials to complex true triaxial stress conditions, where their mechanical behavior and damage mechanisms are critical to stope stability. In this article, a true triaxial testing system was employed to conduct unloading tests under different initial intermediate principal stress (σ2) conditions, aiming to elucidate the influence mechanism of σ2 on strength, deformation, failure modes, and acoustic emission (AE) characteristics of the backfill, and to establish a corresponding damage constitutive model. The results demonstrate that the σ2 governs the mechanical response and failure mode of the filling material. Within the tested range, σ2 nonlinearly enhances both the peak stress, indicating improved load-bearing. As σ2 increases, acoustic emission activity changes from intermittent to continuous high-intensity ringing counts. The transition from brittle to ductile fracture. Model predictions showed high agreement with experimental data, validating its applicability. This study provides a critical theoretical foundation and modeling framework for assessing the stability of backfill structures under deep well mining conditions and guiding engineering design. Full article
(This article belongs to the Special Issue Advances in Mine Backfilling Technology and Materials, 2nd Edition)
Show Figures

Figure 1

27 pages, 4975 KB  
Article
Indentation Size Effects and the Mechanical Properties of Barite Rocks
by Hassan Abubakar Adamu, David Oluwasegun Afolayan, Olumide Samuel Oluwaseun Ogunmodimu, Tabiri Kwayie Asumadu, Seun Isaiah Olajuyi, Nelson Y. Dzade and Winston O. Soboyejo
Minerals 2025, 15(11), 1226; https://doi.org/10.3390/min15111226 - 20 Nov 2025
Viewed by 381
Abstract
This paper uses a combination of nanoindentation experiments and mechanism-based models to determine the dislocation densities and plasticity length scales associated with the nanoindentation of barite rock materials. These include estimates of the plasticity length scale, geometrically necessary dislocation densities (GNDs) and statistically [...] Read more.
This paper uses a combination of nanoindentation experiments and mechanism-based models to determine the dislocation densities and plasticity length scales associated with the nanoindentation of barite rock materials. These include estimates of the plasticity length scale, geometrically necessary dislocation densities (GNDs) and statistically stored dislocation densities (SSDs) that are shown to have major implications for the plastic deformation of geomaterials such as barite rocks. The statistical variations associated with the nanoindentation of barite rocks are also measured along with local variations in surface composition that are also elucidated via energy dispersive X-ray spectroscopy (EDS) during Scanning Electron Microscopy (SEM). The indentation size effects are shown to be greater than the statistical variations due to local differences in surface composition. The effects of local variations in surface composition are also discussed before relating the measured hardness values to the underlying dislocation densities (GNDs and SSDs) and plasticity length scale parameters using strain gradient plasticity theories. The presence of hard minerals such as quartz and other silicate minerals, as confirmed by the elemental composition of the rock samples, contributed significantly to the average hardness, elastic modulus, plasticity and relatively high dislocation densities. The implications of the results are discussed for the energy-efficient drilling and blasting of rocks, constitutive modeling of barite rock deformation and the crushing of rocks during mineral processing. Full article
Show Figures

Figure 1

14 pages, 1881 KB  
Article
Adsorption of Calcium Ions on Calcite Surface and Its Influence on Flotation Separation of Scheelite
by Zhiguo Zhang, Xiaolong Zhang, Xiaowei Deng, Changliang Shi and Baolin Xing
Minerals 2025, 15(11), 1225; https://doi.org/10.3390/min15111225 - 20 Nov 2025
Viewed by 296
Abstract
Calcium ions, primarily introduced through flotation reagents and mineral dissolution, progressively accumulate a considerable amount due to the process of water recycling, significantly impacting the flotation behavior of minerals. In this paper, the adsorption of calcium ions on a calcite surface was initially [...] Read more.
Calcium ions, primarily introduced through flotation reagents and mineral dissolution, progressively accumulate a considerable amount due to the process of water recycling, significantly impacting the flotation behavior of minerals. In this paper, the adsorption of calcium ions on a calcite surface was initially studied by surface characteristic analysis, and then further evaluated for its influence on the separation of scheelite from calcite using single mineral flotation and atomic force microscopy (AFM) measurements. The results indicate that calcium ions significantly reduce the hydrophobicity of calcite surface induced by sodium oleate (NaOL) adsorption, while enhancing the adsorption of sodium silicate (SS). In addition, SS forms a strong chemical adsorption on calcite, rendering the surface negatively charged. However, the surface charge diminishes under the combined influence of calcium and silicate ions. AFM measurements further reveal that the adhesion forces between scheelite and calcite are weakened by silicate adsorption. Nevertheless, these forces are markedly restored in the presence of calcium ions, thereby considerably reducing the selectivity of SS and hindering effective particle separation. These findings align with the results of mixed binary flotation, confirming that calcium ions indeed interfere with the separation of scheelite from calcite. Full article
(This article belongs to the Special Issue Interfacial Chemistry of Critical Mineral Flotation)
Show Figures

Figure 1

17 pages, 7191 KB  
Article
Paleomagnetic Constraints on the Spatial Relationship Between the Kerguelen Mantle Plume and the Circum-Eastern Gondwana Large Igneous Province
by Xianwei Jiao, Yong Zhao, Tongming Fang, Jiacheng Liang, Yabo Zhang, Weiwei Bian, Jikai Ding, Hanqing Zhao, Haiyan Li, Huaichun Wu and Tianshui Yang
Minerals 2025, 15(11), 1224; https://doi.org/10.3390/min15111224 - 20 Nov 2025
Viewed by 250
Abstract
The spatial relationships of the widely distributed latest Jurassic–Early Cretaceous igneous rocks in the Tethyan Himalaya, northeastern India, and southeastern Australia are crucial for understanding the breakup of eastern Gondwana. However, available paleomagnetic datasets from the central Tethyan Himalaya are limited. To better [...] Read more.
The spatial relationships of the widely distributed latest Jurassic–Early Cretaceous igneous rocks in the Tethyan Himalaya, northeastern India, and southeastern Australia are crucial for understanding the breakup of eastern Gondwana. However, available paleomagnetic datasets from the central Tethyan Himalaya are limited. To better constrain the distribution of these igneous rocks, new paleomagnetic data were obtained from the Weimei Formation volcanic rocks in the central Tethyan Himalaya. The tilt-corrected site-mean directions for 11 sites is Ds = 315.4°, Is = −58.4°, ks = 17.2, α95 = 11.3°, corresponding to a paleopole at 9.6° N, 297.3° E with dp/dm = 16.7°/12.4° and a paleolatitude of ~39.1 ± 12.4° S for the study area (29.7° N, 83.7° E). A positive regional fold test and the occurrence of dual polarity suggest that the characteristic remanent magnetization is of pre-fold origin. These new results, together with those from the eastern Tethyan Himalaya, northern India, and southwestern Australia, show that the ~147–130 Ma circum-eastern Gondwana large igneous province spans a latitudinal range of ~40.7–58.1° S, centered at ~49.4° S, which is consistent with the present Kerguelen hotspot (~49.0° S). Integrating other evidence, we consider that the Kerguelen mantle plume played a key role in the breakup of eastern Gondwana. Full article
Show Figures

Graphical abstract

22 pages, 1403 KB  
Article
Mineral Sources and Vertical Distribution of Nutrients in Extremely Acidic Pit Lakes: Impact on Microbial Ecology
by Javier Sánchez-España, Carmen Falagán, Andrey M. Ilin and Iñaki Yusta
Minerals 2025, 15(11), 1223; https://doi.org/10.3390/min15111223 - 20 Nov 2025
Viewed by 292
Abstract
Nutrient cycling has barely been studied in acidic environments and may have an important influence on the evolution of the microbial communities. In this research, we studied nutrient sources and fluxes in acidic metal-mine pit lakes to evaluate their relationship with the lakes’ [...] Read more.
Nutrient cycling has barely been studied in acidic environments and may have an important influence on the evolution of the microbial communities. In this research, we studied nutrient sources and fluxes in acidic metal-mine pit lakes to evaluate their relationship with the lakes’ microbial ecology. Nutrient concentrations (including phosphorus, nitrogen, and dissolved inorganic carbon) increase with depth in all the studied pit lakes. Phosphorus comes mainly from the leaching of the host rock and is rapidly scavenged from the aqueous phase in the oxygenic and Fe(III)-rich mixolimnion due to adsorption on ferric precipitates (schwertmannite, jarosite), which leads to an important P-limitation in the photic zone. Below the chemocline, however, the sum of phosphorus inputs (e.g., settling of algal biomass, desorption from the ferric compounds, microbial reduction of Fe(III)-sediments) sharply increases the concentration of this element in the anoxic monimolimnion. Nitrogen is very scarce in the host rocks, and only a limited input occurs via atmospheric deposition followed by N-uptake by algae, N-fixation by acidophilic microorganisms, sedimentation, and organic matter degradation in the sediments. The latter process releases ammonium to the anoxic monimolimnion and allows some nitrogen cycling in the chemocline. Soluble SiO2 in the mixolimnion is abundant and does not represent a limiting nutrient for diatom growth. Differences in phytoplankton biomass and extent of bacterial sulfate reduction between relatively unproductive lakes (San Telmo) and the more fertile lakes (Cueva de la Mora) are likely caused by a P-limitation in the former due to the abundance of ferric iron colloids in the water column. Our results suggest that phosphorus amendment in the photic zone could be an efficient method to indirectly increase acidity-consuming and metal-sequestering bacterial metabolisms in these lakes. Full article
(This article belongs to the Section Environmental Mineralogy and Biogeochemistry)
Show Figures

Figure 1

21 pages, 4920 KB  
Article
DFT-D Investigation of Dithiocarbamate, Thionocarbamate, Mercaptobenzothiazole, and S-Triazine Collector Adsorptions on Pentlandite (Fe5Ni4S8) Mineral Surface
by Nontobeko N. Zavala, Phuti E. Ngoepe and Peace P. Mkhonto
Minerals 2025, 15(11), 1222; https://doi.org/10.3390/min15111222 - 20 Nov 2025
Viewed by 289
Abstract
With the increasing demand for nickel, relentless efforts have been made to find alternative and highly selective collectors for recovering pentlandite. This study employed density functional theory (DFT) with dispersion correction to examine the interactions of iron-rich pentlandite (Fe5Ni4S [...] Read more.
With the increasing demand for nickel, relentless efforts have been made to find alternative and highly selective collectors for recovering pentlandite. This study employed density functional theory (DFT) with dispersion correction to examine the interactions of iron-rich pentlandite (Fe5Ni4S8) mineral surface with various collectors: S-allyl-N-diethyl-dithiocarbamate (ADEDTC), O-isopropyl-N-diethyl-thionocarbamate (IPDETC), sodium mercaptobenzothiazole (SMBT), and sodium-2,6-dithio-4-butylamino-1,3,5-triazine (SDTBAT). The plane surface of (311) proved to be the most stable surface with a surface energy of 1.48 J.m−2, aligning well with the experimental X-ray diffraction (XRD) results and morphology. Adsorption simulations were performed on both Ni and Fe atoms of the plane surface of (311). ADEDTC exhibited the most exothermic adsorption energy of −460.58 kJ.mol−1, compared to SMBT (−249.59 kJ.mol−1), IPDETC (−161.01 kJ.mol−1), and SDTBAT (−352.48 kJ.mol−1). The adsorption strengths followed the order ADEDTC > SMBT > SDTBAT > IPDETC. Importantly, these collectors showed a preferential adsorption on the Ni atoms over Fe atoms, indicating selectivity towards Ni sites on the pentlandite mineral surface. These findings suggested that ADEDTC was the most effective collector for flotation applications involving pentlandite. As such, ADEDTC could potentially replace commonly used collectors or be used as a co-collector in the recovery of pentlandite minerals. Full article
Show Figures

Graphical abstract

17 pages, 2434 KB  
Article
Solvent Extraction of Critical Minerals from the Leachate of High-Nickel Black Mass Using Nickel-Preloaded Extractants
by Junmo Ahn, Ki-Hun Kim, Yeon-Chul Cho, Yeongran Hong, Byeongkyu Kim, Go-Gi Lee and Jaewoo Ahn
Minerals 2025, 15(11), 1221; https://doi.org/10.3390/min15111221 - 20 Nov 2025
Viewed by 394
Abstract
This study investigated the solvent extraction of a high-nickel-content metal solution using nickel-preloaded extractants. A synthetic high-nickel lithium-ion battery (LIB) black mass leachate was prepared to extract Cu, Al, and Mn using Ni-preloaded D2EHPA (Ni-D2EHPA). Then, Co was extracted from the raffinate using [...] Read more.
This study investigated the solvent extraction of a high-nickel-content metal solution using nickel-preloaded extractants. A synthetic high-nickel lithium-ion battery (LIB) black mass leachate was prepared to extract Cu, Al, and Mn using Ni-preloaded D2EHPA (Ni-D2EHPA). Then, Co was extracted from the raffinate using Ni-preloaded PC88A (Ni-PC88A). The results showed that Ni-preloaded D2EHPA extracted more than 99% of the Al, Cu, and Mn. Co was also co-extracted at a rate of 53%, but 99% of the Co was scrubbed with 0.2 M H2SO4. Co was extracted from the raffinate using Ni-PC88A at a rate of 99% with 1.0 O/A. Finally, 99% of the Co in the organic phase was stripped using 2.0 M sulfuric acid. After Co extraction using Ni-PC88A, 80 g/L Ni and 1.38 g/L Li remained in the raffinate. Crude nickel sulfate was produced from the raffinate after precipitation of Li as lithium carbonate. Full article
(This article belongs to the Section Mineral Processing and Extractive Metallurgy)
Show Figures

Graphical abstract

23 pages, 13616 KB  
Article
Source and Precipitation Process of Gold in the Linglong Gold Deposit, Jiaodong Peninsula: Constraints from Trace Elements of Pyrite and S-Pb Isotopes
by Fei Ren, Zheng-Jiang Ding, Zhong-Yi Bao, Jun-Wei Wang, Shun-Xi Ma, Tao Niu, Kai-Qiang Geng, Bin Wang, Chao Li, Gui-Jie Li and Shan-Shan Li
Minerals 2025, 15(11), 1220; https://doi.org/10.3390/min15111220 - 19 Nov 2025
Viewed by 286
Abstract
Jiaodong Gold Province is a globally rare giant gold cluster, with ongoing debates regarding its metallogenic material sources and mineralization mechanisms. This study focuses on the Linglong quartz-vein-type gold deposit within the Zhaoping Fault Zone, conducting in situ trace element and S-Pb isotope [...] Read more.
Jiaodong Gold Province is a globally rare giant gold cluster, with ongoing debates regarding its metallogenic material sources and mineralization mechanisms. This study focuses on the Linglong quartz-vein-type gold deposit within the Zhaoping Fault Zone, conducting in situ trace element and S-Pb isotope analyses of pyrite from different mineralization stages. The trace element characteristics were investigated to explore the sources of metallogenic materials, the evolution of ore-forming fluids, and the mechanisms of gold precipitation. The main findings are as follows: (1) In the Linglong gold deposit, gold primarily enters the pyrite lattice as a solid solution (Au+) through Au-As coupling. From the Py1 to Py3 stages, Co and Ni contents significantly decrease, while Cu, As, Au, and polymetallic element contents continuously increase. Additionally, Cu mainly replaces Fe2+ in the form of Cu2+, whereas Pb predominantly exists as micro inclusions of galena. (2) The S isotope (Py1: δ34S = +7.60‰–+8.25‰, Py2: δ34S = +6.15‰–+8.15‰, Py3: δ34S = +6.90‰–+9.10‰) and Pb isotope (206Pb/204Pb = 16.95–17.715, 207Pb/204Pb = 15.472–15.557, 208Pb/204Pb = 37.858–38.394) systems collectively constrain the ore-forming materials such that they are dominated by metasomatized enriched lithospheric mantle, with simultaneous mixing of crustal materials. (3) The ore-forming fluid underwent a continuous evolution process characterized by persistently decreasing temperatures and a transition from mantle-dominated to crust–mantle mixed sources. The Py1 stage was predominantly composed of mantle-derived magmatic fluids uncontaminated by crustal materials, representing a high-temperature, closed environment. In the Py2 stage, the fluid system transitioned to an open system with the incorporation of crustal materials. Through coupled substitution of “As3+ + Au+ → Fe2+” and dissolution–reprecipitation processes, gold was initially activated and enriched. During the Py3 stage, pyrite underwent dissolution–reprecipitation under tectonic stress and fluid activity, promoting extraordinary element enrichment and serving as the primary mechanism for gold precipitation. Concurrently, bismuth–tellurium melt interactions further facilitated the precipitation of gold minerals. Full article
(This article belongs to the Special Issue Gold–Polymetallic Deposits in Convergent Margins)
Show Figures

Figure 1

14 pages, 9407 KB  
Article
Synergistic Recovery of Copper, Antimony, and Silver Refractory Sulfide Minerals Using an ADD/Z-200 Mixed Collector System
by Baobao Yan, Yongmao Liu, Xianbing Jia, Otgonjargal Enkhtur, Azzaya Tumendelger and Zhiwei Bian
Minerals 2025, 15(11), 1219; https://doi.org/10.3390/min15111219 - 19 Nov 2025
Viewed by 399
Abstract
Copper polymetallic sulfide ore from the Asgat copper polymetallic deposit in Mongolia has been found to contain a high grade of antimony and silver in addition to copper. In this research, flotation experiments using sodium butyl xanthate (SBX), ammonium dibutyl dithiophosphate (ADD), isopropyl [...] Read more.
Copper polymetallic sulfide ore from the Asgat copper polymetallic deposit in Mongolia has been found to contain a high grade of antimony and silver in addition to copper. In this research, flotation experiments using sodium butyl xanthate (SBX), ammonium dibutyl dithiophosphate (ADD), isopropyl ethyl thionocarbamate (Z-200), and their mixtures were conducted on a sample from the deposit under natural pH conditions. The results of the flotation tests indicate that optimal conditions were achieved with a feeding of 92% −0.074 mm (92% finer than 0.074 mm), sodium silicate dosage of 800 g/t, sodium humate dosage of 300 g/t, sodium sulfite dosage of 300 g/t, and collectors of 60 g/t of ADD and 60 g/t of Z-200. The closed-circuit flotation tests showed that the recovery of copper, antimony, and silver from the ADD/Z-200 combination was 8.13%, 5.41%, and 9.26% higher than that form the single Z-200 while reducing the reagent cost by 12.75%. Full article
Show Figures

Figure 1

19 pages, 2988 KB  
Article
Natural Hydrogen Generation from Phanerozoic Sedimentary Siderite
by Isabelle Moretti, Alain Prinzhofer, Jérémie Ammouial and Nicolas Bouton
Minerals 2025, 15(11), 1218; https://doi.org/10.3390/min15111218 - 18 Nov 2025
Viewed by 398
Abstract
Siderite (FeCO3) is an iron carbonate present in Archean and Neoproterozoic Banded Iron Formations (BIFs) as well as in much more recent sedimentary basins. Due to its high iron content, it could be part of H2 systems, and we have [...] Read more.
Siderite (FeCO3) is an iron carbonate present in Archean and Neoproterozoic Banded Iron Formations (BIFs) as well as in much more recent sedimentary basins. Due to its high iron content, it could be part of H2 systems, and we have quantified its potential as a H2-generating rock and its kinetics from samples from the Llanos Basin in Colombia and from the Solimões Basin in Brazil. The H2 potential of natural siderite-rich Cenozoic formations was measured with a Hydrogen-Eval pyrolyzer, where the H2 yield depends linearly on the siderite content of the rock. It reaches 3.5 mol/kg for a sample containing 50% of siderite. The siderite is known to be unstable and to decompose at relatively low temperatures, between 100 and 200 °C. These results suggest that sedimentary siderite could be an additional potential H2-generating rock, through oxido-reduction, with an active H2 generation window between 3 and 6 km. In sedimentary basin at these depths, reservoirs and traps are likely to be present, and the porosity could be ideal for accumulation. Strong external water supply through hydrodynamics will promote H2 generation, but the dehydration of rocks such as clays will also enable it through local water supply. Full article
(This article belongs to the Section Mineral Deposits)
Show Figures

Figure 1

20 pages, 7282 KB  
Article
Sedimentary Provenance Analysis of Tight Sandstone Gas Reservoirs in the Middle Jurassic Shaximiao Formation, Western Sichuan Depression
by Xiao Luo, Dongxia Chen, Shaoke Feng and Qiaochu Wang
Minerals 2025, 15(11), 1217; https://doi.org/10.3390/min15111217 - 18 Nov 2025
Viewed by 250
Abstract
The sedimentary provenance system of tight sandstone gas reservoirs in the Middle Jurassic Shaximiao Formation, in the Sichuan Basin’s western depression, has multifaceted complexity with multi-provenanced transport distances, which affect the development of reservoir pore structure. Therefore, how to pinpoint the provenance characteristics [...] Read more.
The sedimentary provenance system of tight sandstone gas reservoirs in the Middle Jurassic Shaximiao Formation, in the Sichuan Basin’s western depression, has multifaceted complexity with multi-provenanced transport distances, which affect the development of reservoir pore structure. Therefore, how to pinpoint the provenance characteristics of tight sandstone reservoirs remains a challenging task that needs to be resolved in the Shaximiao Formation across different regions (X, J, Z, and Q zones) in the Western Sichuan Depression. To address this, preliminary identification of provenance sources was achieved by a radar chart and a QFL (quartz, feldspar, and lithic fragment) triangular diagram. Comprehensive analysis was subsequently conducted utilizing heavy mineral assemblages, characteristic indices of heavy minerals, geochemical elements statistics, geochemical elements standardization curves, and the Chemical Index of Alteration (CIA). The results demonstrate that both the X and Q regions receive lithic fragments predominantly from the Longmenshan Thrust Belt (LMTB), and the J region exhibits dual provenance contributions from the western LMTB and the northeastern Micang–Dabashan Tectonic Belt (MDTB). However, in the Z region, well-developed fault systems in the western sector create a blocking effect on sediments derived from the front of the LMTB. The provenance area is from the northeastern MDTB, with a straight-line distance of about 300 km. The distribution and transportation distance of the long-axis provenance of the MDTB and the short-axis provenance of the LMTB may be the main reasons for the differences in lithic fragments, heavy minerals, and geochemical elements of the Shaximiao Formation reservoirs in different regions. Full article
(This article belongs to the Section Mineral Exploration Methods and Applications)
Show Figures

Figure 1

15 pages, 4965 KB  
Article
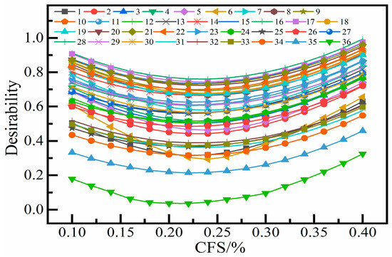
Optimizing Flocculation and Settling Parameters of Superfine Tailings Slurry Based on the Response Surface Method and Desirability Function
by Zhenjiang Wen, Shihu Shi, Biyao Geng, Jianxun Fu, Si Huo and Huan Zhang
Minerals 2025, 15(11), 1216; https://doi.org/10.3390/min15111216 - 18 Nov 2025
Viewed by 318
Abstract
Highly efficient flocculation and settling of tailings slurry is crucial for achieving high-concentration and low-cost backfill. Aiming to address the problem of the poor solid–liquid separation effect of superfine tailings slurry, this article improves its flocculation and settling effect by optimizing parameters. The [...] Read more.
Highly efficient flocculation and settling of tailings slurry is crucial for achieving high-concentration and low-cost backfill. Aiming to address the problem of the poor solid–liquid separation effect of superfine tailings slurry, this article improves its flocculation and settling effect by optimizing parameters. The flocculation and settling test was designed and carried out by the response surface method (RSM), with tailings slurry concentration (TSC), unit consumption of flocculant (UCF), and concentration of flocculant solution (CFS) as the influencing factors. The flocculation and settling effect was characterized by the underflow concentration (UC), settling velocity (SV), and mean chord length of floc (MCLF). A response surface regression model was established based on the test results to analyze the impact patterns of various factors and their interactions. Multi-objective optimization via the desirability function (DF) yielded optimal parameters: a TSC of 19%, a UCF of 16 g/t, and a CFS of 0.4%. Furthermore, experimental verification revealed that the relative error between the results and predicted values was within 3%. This indicates that optimizing flocculation and settling parameters has guiding significance for improving the thickening efficiency of superfine tailings, which will help optimize the tailings thickening process and reduce filling costs in mines. Full article
(This article belongs to the Special Issue Advances in Mine Backfilling Technology and Materials, 2nd Edition)
Show Figures

Figure 1

22 pages, 2899 KB  
Article
Integrated Bioprocess and Response Surface Methodology-Based Design for Hydraulic Conductivity Reduction Using Sporosarcina pasteurii
by Şule Eryürük, Kağan Eryürük and Arata Katayama
Minerals 2025, 15(11), 1215; https://doi.org/10.3390/min15111215 - 18 Nov 2025
Viewed by 301
Abstract
This study examines key bioprocess parameters influencing the reduction in hydraulic conductivity in porous media via Microbially-Induced Calcite Precipitation (MICP), highlighting its relevance to environmental engineering applications such as bio-barriers and landfill liners. Sporosarcina pasteurii was utilized as the ureolytic bacterium to induce [...] Read more.
This study examines key bioprocess parameters influencing the reduction in hydraulic conductivity in porous media via Microbially-Induced Calcite Precipitation (MICP), highlighting its relevance to environmental engineering applications such as bio-barriers and landfill liners. Sporosarcina pasteurii was utilized as the ureolytic bacterium to induce calcium carbonate precipitation under controlled laboratory conditions. Experimental variables included bacterial cell density (OD600), diameter of glass beads, concentrations of precipitation solution, bentonite, and yeast extract. A total of 42 experimental runs were conducted based on a custom design in Design-Expert software. Hydraulic conductivity was selected as the response variable to evaluate treatment performance. Response surface methodology (RSM) was applied to develop a second-order polynomial model, with statistical analyses indicating a strong model fit (R2 = 0.948, adjusted R2 = 0.929, predicted R2 = 0.868). ANOVA confirmed the significance of the main effects and interactions, particularly those involving glass bead diameter and OD600. Among the tested factors, the precipitation solution exhibited the strongest individual effect, while bentonite and yeast extract demonstrated supportive roles. Optimization revealed that a balanced combination of microbial density and chemical inputs minimized hydraulic conductivity to 0.0399 cm/s (≈95% reduction), with an overall desirability score of 1.000. Laboratory-scale experiments demonstrated field-scale applicability, underscoring the potential of biotechnological soil treatment and empirical modeling for developing sustainable low-permeability barriers. Full article
(This article belongs to the Section Biomineralization and Biominerals)
Show Figures

Figure 1

17 pages, 1870 KB  
Article
Simultaneous Adsorption of Copper, Zinc, and Sulfate in a Mixture of Activated Carbon and Barite
by Mario Santander, Hugo Aravena, Danny Guzmán, Luis Valderrama and Evelyn Cárdenas
Minerals 2025, 15(11), 1214; https://doi.org/10.3390/min15111214 - 18 Nov 2025
Viewed by 351
Abstract
Liquid effluents generated during mineral processing are usually contaminated with heavy metals and oxyanions, requiring an effective technique for their simultaneous removal. This study evaluated adsorption as a method to remove ions from an artificial acid effluent containing Cu2+, Zn2+ [...] Read more.
Liquid effluents generated during mineral processing are usually contaminated with heavy metals and oxyanions, requiring an effective technique for their simultaneous removal. This study evaluated adsorption as a method to remove ions from an artificial acid effluent containing Cu2+, Zn2+, and SO42, using a mixture of activated carbon and barite as adsorbents. Adsorbent particles were prepared by grinding in a ring pulverizer for 120 s, using equal proportions of activated carbon and barite concentrate. The pH, contact time, and adsorbent particle mass were investigated. The results indicated that the adsorption efficiency depends on pH and adsorbent particle concentration: with increasing pH, the adsorption of Cu2+ and Zn2+ improves, while that of SO42 decreases. As the particle mass increases, the adsorption efficiency also increases. The maximum efficiency of simultaneous adsorption of ions of 55 ± 2.6% was achieved at pH 3 with an adsorbent particle concentration of 40 g·L−1. The experimental data best fit the pseudo-1st-order kinetic model, suggesting that the limiting stage is external or internal diffusion and that the predominant adsorption mechanism is physisorption. Furthermore, the results were best fitted to the Freundlich isotherm, indicating heterogeneous and multilayer adsorption. In conclusion, the mixture of activated carbon and barite is presented as a potential adsorbent for acid effluent treatment with heavy metals and oxyanions. Full article
(This article belongs to the Section Environmental Mineralogy and Biogeochemistry)
Show Figures

Figure 1

16 pages, 2238 KB  
Article
Research on the Flotation of High-Sulfur and Low-Copper Ore Based on Mineralogical Characteristics
by Huxiao Xia, Xian Xie, Changtao Wang, Dongyang He, Xiong Tong, Chuandong Zhao and Fuxian Ping
Minerals 2025, 15(11), 1213; https://doi.org/10.3390/min15111213 - 18 Nov 2025
Viewed by 369
Abstract
The selective separation of copper sulfide ore from iron sulfide minerals has always been a technical problem that urgently needs to be solved. This study conducted a process mineralogy research on a copper–tin polymetallic ore in Yunnan. The research results showed that the [...] Read more.
The selective separation of copper sulfide ore from iron sulfide minerals has always been a technical problem that urgently needs to be solved. This study conducted a process mineralogy research on a copper–tin polymetallic ore in Yunnan. The research results showed that the ore sample contained 0.33% copper, and the oxidation rate of copper was 16.48%. The distribution rate of copper in its independent minerals was only 58.30%. The copper content in oxidized copper and hematite/limonite was relatively high, making it difficult to achieve a high flotation recovery rate. The priority flotation process was applied to the flotation process of this copper mine. The final copper flotation scheme determined was that the grinding fineness of −0.074 mm was 55%, “two roughing, one scavenging, and three cleaning”. This was followed by the re-grinding of the coarse concentrate, with the collector being ML-8:Z-200 = 2:1, the dosage being 60 g/t, and calcium hypochlorite as the copper–sulfur separation inhibitor. Finally, a copper concentrate product with a copper grade of 16.83% and a recovery rate of 54.31% was obtained. At this time, the silver grade was 388.55 g/t, achieving efficient recovery of the copper ore. The comprehensive utilization of multi-metallic copper sulfide in the processing plant has high practical significance. Full article
(This article belongs to the Section Mineral Processing and Extractive Metallurgy)
Show Figures

Figure 1

14 pages, 4201 KB  
Article
Timing and Effect of the Hidden Thrust Fault on the Tight Reservoir in the Southeastern Sichuan Basin
by Hui Long, Tongwen Jiang, Jiamu Wang, Hao Tang, Chen Qiu, Tian Liu, Min Deng and Weizhen Tian
Minerals 2025, 15(11), 1209; https://doi.org/10.3390/min15111209 - 18 Nov 2025
Viewed by 297
Abstract
Determining the timing of hidden faults that terminate beneath the subsurface remains a significant challenge. For this contribution, seismic fault interpretation, fracture diagenesis analysis, and U-Pb dating of fracture cements are integrated to constrain the activity of hidden thrust faults in the southeastern [...] Read more.
Determining the timing of hidden faults that terminate beneath the subsurface remains a significant challenge. For this contribution, seismic fault interpretation, fracture diagenesis analysis, and U-Pb dating of fracture cements are integrated to constrain the activity of hidden thrust faults in the southeastern Sichuan Basin. The results show that the EW- and NW-trending hidden thrust faults developed in the Permian, while the NE-trending faults have inherited later fault activity till the Cenozoic. The hidden thrust fault propagates upward from the top of the Upper Permian to the Lower Triassic strata. Fault inversion within the Permian is firstly identified by the thickness variation between the two fault walls. Core-based fracture diagenesis analysis indicates that multiple fractures and associated dissolution porosity developed within the tight matrix reservoir. In situ U-Pb dating of fracture cements yields ages of 247.4 ± 2 Ma and 234.8 ± 9.1 Ma, indicating that the hidden fault activity predates the Early Triassic. The absence of strata, evidence of structural uplift, and fault inversion collectively suggest that the first faulting in the eastern Sichuan Basin occurred at the end of the Middle Permian. The findings highlight that fracture–cave reservoir along the hidden thrust fault zone has been controlled by the coupling of the fracturing and karstification at the end of the Middle Permian, and is the key target for high gas production. Full article
(This article belongs to the Section Mineral Exploration Methods and Applications)
Show Figures

Figure 1

14 pages, 3625 KB  
Article
Research on the Combined Inhibition of Sodium Sulfide and Sodium Thioglycollate for the Flotation Separation of Chalcopyrite and Molybdenite
by Qianyu Sun, Jiajun Chen, Junchao He, Jiayang Wu, Dongdong Wang, Mingliang Xie, Miaomiao Li and Kuizhou Dou
Minerals 2025, 15(11), 1212; https://doi.org/10.3390/min15111212 - 17 Nov 2025
Viewed by 337
Abstract
Molybdenite and chalcopyrite closely coexist and have good natural floatability. During the Cu-Mo separation process, it is necessary to enhance the inhibition of chalcopyrite to reduce its influence on molybdenite. In this paper, a combined inhibitor, sodium thioglycollate (HSCH2COONa) and sodium [...] Read more.
Molybdenite and chalcopyrite closely coexist and have good natural floatability. During the Cu-Mo separation process, it is necessary to enhance the inhibition of chalcopyrite to reduce its influence on molybdenite. In this paper, a combined inhibitor, sodium thioglycollate (HSCH2COONa) and sodium sulfide (Na2S), with a molar ratio of 2:1, was obtained through pure mineral flotation experiments. It could reduce the impact on molybdenite while maintaining a good inhibitory effect on chalcopyrite. In the artificial mixed minerals test, the use of the combined inhibitor (80 mg/L) can achieve good indicators with Mo grade and recovery rate of 54.34% and 88.12%, respectively, and Cu grade of 2.15%. The contact angle test shows that the combined inhibitor can significantly reduce the wettability of the chalcopyrite surface while having a relatively small effect on molybdenite. The infrared spectroscopy and SEM-EDS energy spectrum indicated that the combined inhibitor C = O and S-H groups underwent chemical reactions on the surface of chalcopyrite and squeezed out kerosene on the surface of chalcopyrite. Molecular dynamics simulations indicate that the HS, S2−, and HSCH2COO components in the combined inhibitor are more likely to act on the surface of chalcopyrite, exerting an enhanced inhibitory effect on chalcopyrite. Full article
(This article belongs to the Section Mineral Processing and Extractive Metallurgy)
Show Figures

Figure 1

20 pages, 5630 KB  
Article
Correlation Analysis Between Pore Structure and Mechanical Strength of Mine Filling Materials Based on Low-Field NMR and Fractal Theory
by Wei Wang, Yajun Wang, Weixing Lin, Long Dou, Dongrui Liu, Yuding Wang, Shitong Zhou and Yao Liu
Minerals 2025, 15(11), 1211; https://doi.org/10.3390/min15111211 - 17 Nov 2025
Viewed by 207
Abstract
Filling mining offers significant technical advantages in controlling rock mass movement and preventing disasters. Investigating the correlation between the macro- and micro-scale characteristics of filling materials will help optimize this process. The paper analyzes the variation patterns and mechanisms of the pore structure [...] Read more.
Filling mining offers significant technical advantages in controlling rock mass movement and preventing disasters. Investigating the correlation between the macro- and micro-scale characteristics of filling materials will help optimize this process. The paper analyzes the variation patterns and mechanisms of the pore structure and mechanical strength characteristics of the filling body based on low-field nuclear magnetic resonance (NMR) technology and fractal theory, exploring the relationship between microstructure and macroscopic features. Results indicate that as the cement-to-sand ratio or mass concentration decreases, the total pore structure count in the filling material increases, predominantly consisting of micropores that account for over 76%. The complexity of total pores, micropores, mesopores, and macropores progressively decreases. Mechanical strength exhibits a positive correlation with both the cement-to-sand ratio and mass concentration. A reduced cement-to-sand ratio diminishes hydration products, lowering the cohesive strength of tailings particles. As mass concentration increases, the internal structure of the filling body becomes denser, enhancing its mechanical properties. An increase in pore number progressively improves pore connectivity, reducing fluid flow resistance. The porosity of the pore structure exhibits a strong correlation with fractal dimension, mechanical strength, and permeability coefficient, with a coefficient of determination ranging from 0.631 to 0.996. The strength prediction model constructed using mesopore porosity and material intrinsic characteristics also demonstrated excellent accuracy. Full article
(This article belongs to the Special Issue Advances in Mine Backfilling Technology and Materials, 2nd Edition)
Show Figures

Figure 1

15 pages, 2767 KB  
Article
Microwave-Induced Fracturing for Enhanced Permeability in Hard Rocks: A Novel Approach for In Situ Recovery in Mining
by Sahar Kafashi, Lionel Esteban, Andrej Bona and Aleksandar N. Nikoloski
Minerals 2025, 15(11), 1210; https://doi.org/10.3390/min15111210 - 17 Nov 2025
Viewed by 363
Abstract
Microwave fracturing and assisted mechanical breakage offer efficient and cost-effective rock excavation potential. However, these methods have not been well studied or understood for the deployment of in situ recovery (ISR) in mining, which could benefit from microwave-induced cracking to accelerate in situ [...] Read more.
Microwave fracturing and assisted mechanical breakage offer efficient and cost-effective rock excavation potential. However, these methods have not been well studied or understood for the deployment of in situ recovery (ISR) in mining, which could benefit from microwave-induced cracking to accelerate in situ leaching. This paper reports on investigations into the effects of microwaves on rock transport properties, specifically for in situ recovery applications. The research focused on microwave fragmentation of a synthetic ore with composition and particle size similar to many wet ore-bearing deposits, as well as hard lithium-bearing rock (spodumene) as a natural analogue, to assess changes in porosity and permeability after microwave treatment. The experiments involved exposing samples with varying water content to heating with different microwave energy levels, followed by examining the impact on the induced crack characteristics. All the samples were characterized by a suite of measurements before and after microwave treatment, including scanning electron microscopy (SEM), Nuclear Magnetic Resonance (NMR), nitrogen gas permeameter-porosimeter, and P-wave velocity measurements. The results showed a strong dependence of rock properties after microwave treatment on water content. At high water content (100%), NMR results showed a substantial increase in porosity, by nearly 17% and a dramatic 47-fold rise in permeability, from 0.65 mD to 311 mD. However, the treatment also caused partial melting of the sample, rendering it unsuitable for further testing, including permeability and P-wave velocity. At moderate water content (20%), permeability substantially increased (233–3404%), which was consistent with the observation of multiple cracks in SEM images. These changes led to low P-wave velocity values. This research provides crucial insights into microwave fracturing as a method for in situ recovery in mining. Full article
Show Figures

Figure 1

30 pages, 6600 KB  
Article
Mineralogical and Geochemical Characteristics of the Fe-Ti Mineralized Mafic-Ultramafic Intrusions at Wajilitag, Tarim Basin, China: With Special Emphasis on the Role of Apatite
by Weicheng Wang, Zhigang Kong, Maohong Chen, Jinmao Yin, Maihemuti Maimaiti and Donghui Liu
Minerals 2025, 15(11), 1208; https://doi.org/10.3390/min15111208 - 16 Nov 2025
Viewed by 443
Abstract
The Early Permian Tarim Large Igneous Province is a prominent magmatic-metallogenic province in China, hosting significant Fe-Ti mineralized mafic-ultramafic intrusions. Among them, the Wajilitag Fe-Ti oxide deposit stands out, which is hosted by olivine pyroxenite, clinopyroxenite, and gabbro. In the present study, we [...] Read more.
The Early Permian Tarim Large Igneous Province is a prominent magmatic-metallogenic province in China, hosting significant Fe-Ti mineralized mafic-ultramafic intrusions. Among them, the Wajilitag Fe-Ti oxide deposit stands out, which is hosted by olivine pyroxenite, clinopyroxenite, and gabbro. In the present study, we have examined the mineralogical and geochemical characteristics of apatite to elucidate a deeper understanding of the magmatic evolutionary processes and source characteristics of the mafic-ultramafic intrusions in the Wajilitag area. Petrographic analysis revealed three distinct types of apatite: (1) an inclusion phase within pyroxene and plagioclase, (2) an intergranular phase associated with Fe-Ti oxides, and (3) a late-stage phase found in association with biotite and/or amphibole. Geochemical analysis showed that the inclusion and intergranular apatites exhibited high fluoride (F) and low chlorine (Cl) concentrations, while the late-stage apatite displayed the reverse. A negative correlation between F and Cl was observed, suggesting different formation conditions for each apatite type. The high F/Cl ratios (>3) and enrichment of light rare earth elements (LREEs/HREEs = 12.8–29.5) in the apatite, in conjunction with Sr/Th-La/Sm diagrams, indicated that the parent magma originated from an enriched mantle source, influenced by ancient subduction-related fluids. Furthermore, low sulfur content (0.01%–0.16%) in apatite, along with estimated melt sulfur concentrations (19–54 ppm), points to a low sulfur fugacity environment. These findings collectively suggest that the Wajilitag deposit formed from magma derived from partial melting of an enriched mantle, followed by extensive magmatic differentiation, crystallization of Fe-Ti oxides, and low sulfur fugacity conditions. Full article
(This article belongs to the Special Issue Mineralization and Metallogeny of Iron Deposits)
Show Figures

Figure 1

22 pages, 5877 KB  
Article
Spectroscopic Properties of Polysulfide Anions, Radical Anions, and Molecules: Ab Initio Calculations and Application to Minerals of the Sodalite and Cancrinite Groups
by Aleksandr I. Bogdanov, Nikita V. Chukanov, Roman Yu. Shendrik and Igor V. Pekov
Minerals 2025, 15(11), 1207; https://doi.org/10.3390/min15111207 - 16 Nov 2025
Viewed by 339
Abstract
Until 2021, experimental data on polysulfide groups in feldspathoids were limited to the properties of the S3•− chromophore center and the S2•− luminescence center in sodalite-group minerals. Interpretation of some spectroscopic data on other S-bearing groups in feldspathoids remained [...] Read more.
Until 2021, experimental data on polysulfide groups in feldspathoids were limited to the properties of the S3•− chromophore center and the S2•− luminescence center in sodalite-group minerals. Interpretation of some spectroscopic data on other S-bearing groups in feldspathoids remained ambiguous because of significant differences between calculated data for isolated polysulfide species and experimental data for polysulfide groups in liquid sulfur, solutions, and matrix-isolated species published in different literature sources. For this reason, configurations of stable and metastable structures and parameters of the absorption spectra in the ultraviolet, visible, and near-infrared (UV-Vis-NIR) region and in the ESR and Raman spectra of various structure modifications of polysulfide Sn2− anions, Sn•− radical anions, and Sn neutral molecules (n = 2–6) as well as HS in the sodalite cage of sapozhnikovite have been calculated in frames of the density functional theory using the VASP and ORCA software packages. Taking into account the obtained results of theoretical calculations, spectroscopic properties of extra-framework polysulfide groups in natural tectosilicates belonging to the cancrinite and sodalite groups are discussed. The obtained results made it possible to confirm and partially clarify the interpretation of the experimental spectroscopic data for S-containing feldspathoids obtained by the authors of this work over the past five years. Full article
Show Figures

Figure 1

22 pages, 5276 KB  
Article
Crystal-Chemical Evolution of Muscovite and Nb–Ta–Y–REE-Bearing Minerals in the Wadi Al-Baroud Granite–Pegmatite System
by Mabrouk Sami, Ioan V. Sanislav, Avish A. Kumar, Mostafa R. Abukhadra, Vandi Dlama Kamaunji and Suhail S. Alhejji
Minerals 2025, 15(11), 1206; https://doi.org/10.3390/min15111206 - 16 Nov 2025
Viewed by 377
Abstract
The Wadi Al-Baroud granite–pegmatite system in the Eastern Desert of Egypt displays a progressive rare-metal enrichment evident in the crystal chemistry of muscovite mica and associated Nb–Ta–Y–REE oxide minerals. EMP analyses demonstrate that pegmatite-hosted muscovite is systematically enriched in Si, Fe, Mg, and [...] Read more.
The Wadi Al-Baroud granite–pegmatite system in the Eastern Desert of Egypt displays a progressive rare-metal enrichment evident in the crystal chemistry of muscovite mica and associated Nb–Ta–Y–REE oxide minerals. EMP analyses demonstrate that pegmatite-hosted muscovite is systematically enriched in Si, Fe, Mg, and fluorine compared to its granitic counterpart, reflecting crystallization from volatile-rich, highly evolved melts. Columbite group minerals exhibit pronounced fractionation trends, with pegmatitic columbite showing Ta and Mn enrichment and a low Nb/Ta ratio, indicative of late-stage F- and H2O-rich melt evolution and advanced magmatic differentiation. Y–Nb–Ti oxides, especially fergusonite-Y and euxenite-Y, record exceptional enrichment in high-field-strength elements (HFSEs) and heavy rare earth elements (HREEs), further driven by structural focusing and fluid-mediated alteration. These crystal-chemical trends record an extreme fractional crystallization and magmatic–hydrothermal transition, wherein F-rich fluids modified early magmatic minerals and promoted the incorporation of Y, REEs, Th, and U into late-stage oxides. The data indicate a two-stage evolutionary model, in which rare-metal mineralization first occurred through primary magmatic crystallization within the granite, followed by fluid-driven re-equilibration in the pegmatites. This integrated mineral-chemical approach provides a clearer understanding of rare-metal enrichment processes in granite–pegmatite systems and offers refined criteria for identifying exploration targets for Nb, Ta, Y, and HREEs. Full article
Show Figures

Figure 1

34 pages, 5691 KB  
Article
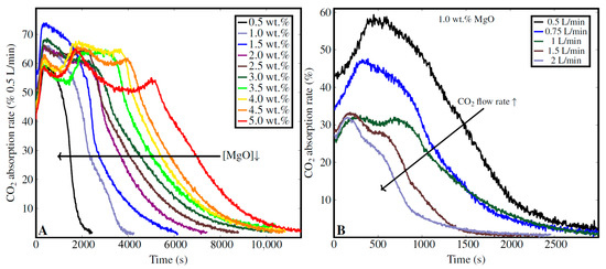
Impact of Operational Parameters on the CO2 Absorption Rate and Uptake in MgO Aqueous Carbonation—A Comparison with Ca(OH)2
by Quentin Wehrung, Davide Bernasconi, Enrico Destefanis, Caterina Caviglia, Alice Colli, Fabien Michel, Alessandro Pavese and Linda Pastero
Minerals 2025, 15(11), 1205; https://doi.org/10.3390/min15111205 - 15 Nov 2025
Viewed by 403
Abstract
The CO2 absorption rate and total uptake by MgO aqueous suspensions were investigated in batch experiments by systematically varying MgO concentrations (0.5–5 wt.%), CO2 flow rates (0.5–2 L/min), temperatures (278–363 K), NaCl salinities (0–7 wt.%), Na2SO4 and K [...] Read more.
The CO2 absorption rate and total uptake by MgO aqueous suspensions were investigated in batch experiments by systematically varying MgO concentrations (0.5–5 wt.%), CO2 flow rates (0.5–2 L/min), temperatures (278–363 K), NaCl salinities (0–7 wt.%), Na2SO4 and K2SO4 concentrations (0–10.5 wt.%), and gas–liquid mixing systems (pipe outlet and porous stone sparger). Results show that temperature strongly controls the carbonation process: increasing temperature above 303 K consistently reduced both the CO2 absorption rate ηt and the total CO2 uptake VCO2 due to the destabilization of metastable Mg(HCO3)2 solutions and accelerated precipitation of less soluble hydrated magnesium carbonates. Under optimal low-temperature conditions (278–283 K, 1–1.5 wt.% MgO, sparger mixing, pure system), the average capture efficiency reached ≈ 35%, with maximum peaks over 70% and total CO2 uptakes of ≈ 12–17 L. Adding NaCl at typical seawater levels (3.5–7 wt.%) slightly increased CO2 uptake at temperatures above 323 K. Sulfate ions (Na2SO4 and K2SO4) were found to enhance the absorption rate at low concentrations (<2 wt.%) but reduce it at higher levels, with no significant impact on the total CO2 uptake observed in this study. Using a CO2 sparger significantly improved gas–liquid contact, achieving average CO2 capture efficiencies ηmaxt above 70% at low temperatures, compared to <20% with simple pipe bubbling. A direct comparison with Ca(OH)2 aqueous carbonation confirmed that, despite its lower solubility and slower kinetics, MgO can outperform Ca-based systems under specific conditions. These results provide practical experimental benchmarks and process guidance for designing Mg-based aqueous carbonation systems, including applications that use brines, industrial wastewater or seawater. Full article
(This article belongs to the Special Issue CO2 Mineralization and Utilization)
Show Figures

Figure 1

15 pages, 1918 KB  
Article
A Preliminary Study on the Solvent Extraction of Molybdenum and Rhenium from an Industrial Pregnant Leach Solution Using Alamine336 as the Extractant and the Ionic Liquid 1-Octyl-3-Methylimidazolium Bis(trifluoromethylsufonyl)imide as the Diluent
by Muhammad Hayat, Cristian Allendes, Alejandro Araya, Rene Cabezas, Julio Urzúa-Ahumada and Esteban Quijada-Maldonado
Minerals 2025, 15(11), 1204; https://doi.org/10.3390/min15111204 - 15 Nov 2025
Viewed by 545
Abstract
A study on the selective solvent extraction (SX) of molybdenum (Mo) and rhenium (Re) from two industrial pregnant leach solutions (PLSs) was carried out using Alamine 336 as the extractant and the ionic liquid (IL) 1-octyl-3-methyl Imidazolium bis (trifluoromethylsulfonyl) imide [Omim][Tf2N] [...] Read more.
A study on the selective solvent extraction (SX) of molybdenum (Mo) and rhenium (Re) from two industrial pregnant leach solutions (PLSs) was carried out using Alamine 336 as the extractant and the ionic liquid (IL) 1-octyl-3-methyl Imidazolium bis (trifluoromethylsulfonyl) imide [Omim][Tf2N] as the diluent. One industrial PLS was rich in Mo (VI) (PLS-Mo) and the second one rich in Re (VII) (PLS-Re). Experiments were carried out in open vials in which the concentration of Alamine336 in the diluent, the aqueous-to-organic ratio (A/O), and the stripping with ammonium carbonate (NH42CO3) were carried out systematically. Results indicate that decreasing the aqueous-to-organic (A/O) ratio led to an enhancement in the extraction performances of both Mo (VI) and Re (VII), reaching recoveries of 95%–98% at an A/O ratio of 1:1. However, differences between PLSs became evident at higher ratios, as Re extraction declined more sharply than Mo. Third-phase formation was observed only in the Mo-containing PLS. The PLS–Re system did not exhibit the formation of a third phase due to a lower concentration of metal (1 g/L Mo). The use of ammonium carbonate for stripping led to enhanced recoveries, achieving 84.4% for Re and 46.8% for Mo. A total of 50 extraction-stripping cycles were carried out in this work. These demonstrated nearly total initial extraction, but performance decreased over the cycles because of insufficient stripping and solvent loading. Overall, [Omim][Tf2N] proved to be an effective and environmentally friendly alternative to conventional diluents for Mo and Re separation and recovery from industrial leach solutions. Full article
Show Figures

Figure 1

23 pages, 14043 KB  
Article
Unraveling Reservoir Quality: How Mineralogy Shapes Pore Attributes in Sandstone Lithofacies
by Antoine W. Guirguis, Abdelmoktader A. El Sayed, Ashraf R. Baghdady, Abdelaziz L. Khlaifat, Ahmed A. Sharaf-Eldin and Ahmed Gad
Minerals 2025, 15(11), 1203; https://doi.org/10.3390/min15111203 - 15 Nov 2025
Viewed by 411
Abstract
The Cenomanian Bahariya Formation exposed at Gebel El Dist in the Western Desert of Egypt provides valuable surface analogues for evaluating the reservoir quality of subsurface Bahariya sandstones. The formation was analyzed using 27 oriented samples and 91 core plugs from quartz arenite [...] Read more.
The Cenomanian Bahariya Formation exposed at Gebel El Dist in the Western Desert of Egypt provides valuable surface analogues for evaluating the reservoir quality of subsurface Bahariya sandstones. The formation was analyzed using 27 oriented samples and 91 core plugs from quartz arenite (QA) and quartz wacke (QW) facies. Analyses included XRD, petrography, SEM, helium porosity–permeability, and capillary tests, as well as measurements of pore-throat radii (R) at 35% and 36% mercury saturation. X-ray diffraction analyses reveal a heterogeneous mineral composition dominated by quartz, feldspars, dolomite, pyrite, siderite, goethite, hematite, clay minerals, glauconite, and gypsum. QA displays higher porosity and permeability than QW, along with larger pore radii, and lower specific surface area per unit pore volume (Spv) and per unit grain volume (Sgv). Multivariate regression equations, specific to each facies, were developed to convert standardized XRD mineral percentages directly into pore-system and flow attributes (ϕ, k, r, Spv, Sgv, R35, R36), quantifying capillary-based recovery contrasts between facies. Across both facies, regressions linking mineralogy to ϕ, k, r, Spv, Sgv, R35, and R36 are strong (R2 = 0.78–1.00). The established predictive equations provide a low-cost method to estimate reservoir quality from mineralogy alone, enabling rapid screening of Cenomanian Bahariya analogues and similar clastic reservoirs where core data are limited. Full article
Show Figures

Figure 1

51 pages, 28106 KB  
Article
Classification and Depositional Modeling of the Jurassic Organic Microfacies in Northern Iraq Based on Petrographic and Geochemical Characterization: An Approach to Hydrocarbon Source Rock Evaluation
by Rahma Sael Al-Auqadi, Wrya J. Mamaseni, Adnan Q. Mahdi, Revan K. Akram, Walid A. Makled, Ali Ismail Al-Juboury, Thomas Gentzis, Asmaa Kamel, Nagham Omar, Mohamed Mahmoud El Garhy and Nasir Alarifi
Minerals 2025, 15(11), 1202; https://doi.org/10.3390/min15111202 - 14 Nov 2025
Viewed by 366
Abstract
This study provides the first comprehensive characterization and classification of organic microfacies within the globally significant Jurassic hydrocarbon source rocks of Iraqi Kurdistan. This study aims to resolve the knowledge gap in the Jurassic source rocks of northern Iraq by establishing the first [...] Read more.
This study provides the first comprehensive characterization and classification of organic microfacies within the globally significant Jurassic hydrocarbon source rocks of Iraqi Kurdistan. This study aims to resolve the knowledge gap in the Jurassic source rocks of northern Iraq by establishing the first organic microfacies classification scheme, utilizing an integrated petrographic and geochemical approach to reconstruct the regional paleoenvironmental evolution and confirm the source rock’s petroleum potential. The Middle–Late Jurassic Sargelu, Naokelekan, and Barsarin formations were investigated using samples from the Mangesh-1 and Sheikhan-8 wells. Using cluster analysis, we identified five distinct organic microfacies (A–E). Microfacies A (highly laminated bituminite), B (laminated/groundmass bituminite), C (laminated rock/lamalginite), and D (massive organic-matter-rich) show the highest hydrocarbon generation potential. The findings reveal a clear paleoenvironmental evolution: the Sargelu Formation was deposited in anoxic open marine conditions (microfacies C, D); the Naokelekan Formation represents a progressively restricted silled basin with intense anoxia leading to condensed sections dominated by microfacies A, which shows the highest source rock potential; and the Barsarin Formation reflects increasing restriction and hypersalinity, showing diverse microfacies (B, C, D, E) that captured variations in marine productivity and terrigenous influx. Principal component analysis (PCA) quantitatively modeled these paleoenvironmental gradients, aligning the distinct organic microfacies and their transitions with conceptual basin models. Geochemical analysis confirms that the organic matter is rich, predominantly Type II kerogen, and thermally mature, falling within the oil window. The presence of solid bitumen, both in situ and as evidence of migration (microfacies E), confirms effective hydrocarbon generation and movement. This integrated approach confirms the significant hydrocarbon potential of these Jurassic successions and highlights the critical role of specific organic microfacies in the region’s petroleum system, providing crucial guidance for future hydrocarbon exploration in northern Iraq. Full article
(This article belongs to the Section Mineral Exploration Methods and Applications)
Show Figures

Figure 1

22 pages, 3192 KB  
Article
Functional PS-DVB-CTAB-PAX Nanocollectors to Promote Selective Fine-Particle Chalcopyrite Flotation
by Enoque Diniz Mate, Yesica L. Botero, Pedro Robles, Luis A. Cisternas and Ricardo I. Jeldres
Minerals 2025, 15(11), 1201; https://doi.org/10.3390/min15111201 - 14 Nov 2025
Viewed by 303
Abstract
The low recovery of fine chalcopyrite particles and the limited Cu/Fe selectivity with conventional thiol collectors prompted the evaluation of a Polystyrene–Divinylbenzene–Cetyltrimethylammonium Bromide–Potassium Amyl Xanthate (PS-DVB-CTAB-PAX) polymeric nanocollector. The copolymer was synthesized by emulsion polymerization and characterized using Total Organic Carbon (TOC) analysis, [...] Read more.
The low recovery of fine chalcopyrite particles and the limited Cu/Fe selectivity with conventional thiol collectors prompted the evaluation of a Polystyrene–Divinylbenzene–Cetyltrimethylammonium Bromide–Potassium Amyl Xanthate (PS-DVB-CTAB-PAX) polymeric nanocollector. The copolymer was synthesized by emulsion polymerization and characterized using Total Organic Carbon (TOC) analysis, Scanning Electron Microscopy (SEM), Transmission Electron Microscopy (TEM), Particle Size Analysis, and contact angle measurement. Its performance was tested in a Hallimond cell (150 mL) using a synthetic industrial water solution (0.010 mol/L NaCl + 0.005 mol/L CaCl2) at a natural pH range of 6.0 to 8.0. PAX concentrations ranged from 0 to 16.19 mg L−1, and nanocollector doses equivalent to 0 to 45 mg g−1 of solid were tested. The nanocollector increased chalcopyrite recovery to 98 ± 1% for the −53 + 38 µm size fraction and maintained values greater than 95% in the coarse fractions, outperforming PAX across the entire dosage range. The PAX + nanocollector combination achieved the same recovery by reducing the total xanthate dosage by one-third, demonstrating a synergistic effect. TOC assays showed preferential adsorption of 96.6% on chalcopyrite versus 86.4% on pyrite, a difference that explains the observed Cu/Fe selectivity (pyrite floatability < 70%). The contact angle of chalcopyrite increased from 56.4° (water) to 86.5° in the presence of the nanocollector, demonstrating the generation of localized superhydrophobicity that reduces interfacial free energy and favors bubble–particle adhesion, whereas pyrite showed lower values of 51.1°, 58.3°, and 75.1°, confirming its more hydrophilic nature. These findings indicate that PS-DVB-CTAB-PAX enables optimized copper sulfide recovery, reduced thiol collector consumption, and improved metallurgical selectivity, making it a promising alternative for flotation circuits with high ionic strength water and for scaling up to pilot tests. Full article
(This article belongs to the Section Mineral Processing and Extractive Metallurgy)
Show Figures

Figure 1

14 pages, 2837 KB  
Article
Research on the Purification Technology of Quartz from a Mining Area in Jiangxi by Acid Leaching
by Chali Wang, Guangshi Li, Xing Lin, Tianle Gao, Zhongya Pang, Chenteng Sun, Weifan Gao, Ronghua Zhang, Helin Xiao, Qian Xu, Xingli Zou and Xionggang Lu
Minerals 2025, 15(11), 1200; https://doi.org/10.3390/min15111200 - 14 Nov 2025
Viewed by 351
Abstract
Quartz purification is a key driver of the silicon-based industrial sector. This study used typical vein quartz from Jiangxi Province, China as a raw material to systematically investigated the occurrence states of impurities and conducted an in-depth chemical purification study. The effects of [...] Read more.
Quartz purification is a key driver of the silicon-based industrial sector. This study used typical vein quartz from Jiangxi Province, China as a raw material to systematically investigated the occurrence states of impurities and conducted an in-depth chemical purification study. The effects of various parameters on impurity removal via acid leaching were investigated. The results revealed distinct removal patterns: independent minerals were effectively removed with low-concentration acid; inclusion impurities were efficiently eliminated by optimizing temperature and acid concentration; and lattice impurities proved resistant to removal. The optimal acid-leaching conditions were identified as follows: 80 °C leaching temperature, mixed acid system of HF-HCl-H2SO4 (volume ratio 1:1:1), 7 wt% acid concentration, 6 h leaching time, and a 1:1 solid–liquid ratio. The removal efficiencies of Al, K, and Fe reached 77.0%, 87.5%, and 80.0%, respectively, and the product (the quartz particles after acid leaching) purity was elevated to 99.92%. Furthermore, this study clarified the influence of acid-leaching parameters on purifying high-aluminum low-iron quartz sand, providing a valuable theoretical basis and technical reference for the deep processing of similar quartz ores. Full article
(This article belongs to the Special Issue Mineralogical Characteristics and Purification Process of Quartz)
Show Figures

Figure 1

17 pages, 10562 KB  
Article
Mineralogical and Spectroscopic Investigation of Turquoise from Dunhuang, Gansu
by Duo Xu, Zhengyu Zhou, Qi Chen, Jiaqing Lin, Ming Yan and Yarong Sun
Minerals 2025, 15(11), 1199; https://doi.org/10.3390/min15111199 - 14 Nov 2025
Viewed by 432
Abstract
A recently discovered turquoise deposit in the Fangshankou area of Dunhuang, Gansu Province, has been relatively understudied compared to turquoise from other sources due to its short mining history. Currently, no relevant research literature on this deposit has been identified. Therefore, a systematic [...] Read more.
A recently discovered turquoise deposit in the Fangshankou area of Dunhuang, Gansu Province, has been relatively understudied compared to turquoise from other sources due to its short mining history. Currently, no relevant research literature on this deposit has been identified. Therefore, a systematic mineralogical and spectroscopic study of Dunhuang turquoise samples was conducted using conventional gemological testing methods, combined with techniques such as X-ray powder diffraction (XRD), electron probe microanalysis (EPMA), Fourier transform infrared spectroscopy (FTIR), laser Raman spectroscopy, ultraviolet-visible spectroscopy (UV-Vis), and X-ray fluorescence (XRF) mapping. The test results indicate that the turquoise samples from this area have a density ranging from 2.40 to 2.77 g/cm3 and a refractive index between 1.59 and 1.65. The samples generally exhibit a cryptocrystalline structure, with some displaying spherulitic radial and radial fibrous structures. The texture is relatively dense and hard, with particle diameters less than 10 μm. Chemically, the turquoise samples from this region are characterized by high Fe and Si content and relatively low Cu content. Samples contain, in addition to the turquoise mineral, other minerals such as quartz, goethite and alunite, etc. The oxide content ranges are as follows: w(P2O5) between 23.83% and 33.66%, w(Al2O3) between 26.47% and 33.36%, w(CuO) between 5.26% and 7.91%, w(FeO) between 2.46% and 4.11%, and w(SiO2) between 0.97% and 10.75%. In the infrared absorption spectra of Dunhuang turquoise, the bands at 3510 cm−1 and 3464 cm−1 are attributed to ν(OH) stretching vibrations, while the bands near 3308 cm−1 and 3098 cm−1 are assigned to ν(M-H2O) stretching vibrations. The infrared absorption bands near 1110 cm−1 and 1058 cm−1 are due to v[PO4]3− stretching vibrations, and the bands near 651 cm−1, 575 cm−1, and 485 cm−1 are attributed to δ[PO4]3− bending vibrations. A clear correlation exists between the Raman spectral features and the infrared spectra of this turquoise. The hue and chroma of the turquoise from this area are primarily influenced by the mass fractions of Fe3+, Cu2+, and Fe2+, as well as their bonding modes with water molecules. The ultraviolet-visible spectra are attributed to O2−–Fe3+ charge transfer, the 6A14Eg + 4A1 transition of Fe3+ ions (D5 configuration) in hydrated iron ions [Fe(H2O)6]3+, and the spin-allowed 2Eg2T2g transition of Cu2+ ions in hydrated copper ions [Cu(H2O)4]2+. Associated minerals include goethite, alunite, jarosite, and quartz. Fine-grained quartz often exists as secondary micron-sized independent mineral phases, which have a certain impact on the quality of the turquoise. Full article
Show Figures

Figure 1

12 pages, 3289 KB  
Article
Parametric Study on APTES Silanization of Coal Fly Ash for Enhanced Rubber Composite Performance
by Dennis S. Moyo, George Kleinhans, Xueting Wei, Frédéric J. Doucet and Elizabet M. van der Merwe
Minerals 2025, 15(11), 1198; https://doi.org/10.3390/min15111198 - 14 Nov 2025
Viewed by 459
Abstract
The surface modification of coal fly ash (CFA) with silane coupling agents improves its compatibility with polymer matrices and supports its use as a sustainable filler in composite materials. This study examined the effects of the solvent system, reaction temperature, and pH on [...] Read more.
The surface modification of coal fly ash (CFA) with silane coupling agents improves its compatibility with polymer matrices and supports its use as a sustainable filler in composite materials. This study examined the effects of the solvent system, reaction temperature, and pH on the grafting of 3-aminopropyltriethoxysilane (APTES) onto CFA surfaces. Functionalization was assessed by Fourier-transform infrared spectroscopy (FTIR), focusing on the CH2 symmetric and asymmetric stretching bands of pure APTES at 2919 and 2957 cm−1, noting that a slight shift in these bands can be expected following the change in the local chemical environment upon grafting. Solvent mixtures containing water (ethanol/water, acetone/water, and sulfuric acid/water) produced stronger coupling than the toluene solvent, which indicated the importance of water for APTES hydrolysis and silanol formation. Coupling efficiency increased with temperature and reached a maximum at 80 °C, where the balance between hydrolysis and condensation favored the formation of stable Si–O–Si bonds. The highest degree of functionalization was observed at pH 9, which corresponds to the point of zero charge of alumina in CFA, where neutral surface hydroxyl groups were available to react with silanols. These results define the optimal conditions for APTES grafting onto CFA and demonstrate its potential as a silane-modified filler in polymer composites. Atomic force microscopy (AFM) provided direct visual evidence of significant surface texture modifications induced by APTES treatment in the ethanol/water solvent system. Full article
(This article belongs to the Section Mineral Processing and Extractive Metallurgy)
Show Figures

Graphical abstract

Previous Issue
Next Issue
Back to TopTop