Effects of Temperature on Visible and Infrared Spectra of Mercury Minerals Analogues
Abstract
1. Introduction
2. Materials and Methods
2.1. Selected Samples
- The first sample was a powder (grain size = 75–100 m) with low FeO content (0.5 wt.%), prepared and provided by the University of Parma [48];
- The second sample was a pellet (5 mm diameter, see Figure 1b and Section 2.3 for the protocol) made by pressing the powder;
- The third sample consisted of two slices (thickness = 1–2 mm) of the initial rock.
2.2. Experimental Setups
2.3. Protocols
3. Results
3.1. VNIR Spectra
3.2. NIR Spectra
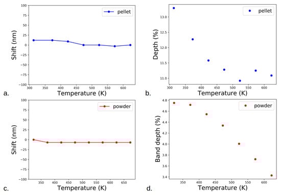
3.2.1. Heating
3.2.2. Cooling
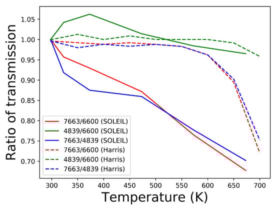
3.3. MIR Spectra
4. Discussion
4.1. Irreversible Changes in the VNIR
4.2. Changes in the NIR as Proxy for Polar Volatile Materials
- 1.
- 600–700 K (327–427 C): a loss of H, a decrease in the C atom sp3/sp2 ratio, and a closing of the band gap;
- 2.
- 700–800 K (427–527 C): the formation of aromatic clusters with sizes of the order of 1–2 nm, with dangling bonds on their edges;
- 3.
- >1200 K (>927 C): growth of the aromatic clusters, their alignment, and the eventual graphitization of the solid.
4.3. Changes in the MIR and Implications for BepiColombo
5. Conclusions
Author Contributions
Funding
Data Availability Statement
Acknowledgments
Conflicts of Interest
Abbreviations
| CF | Christiansen Feature |
| FTIR | Fourier-Transform Infrared |
| HAC | Hydrogenated Amorphous Carbon |
| MERTIS | Mercury Radiometer and Thermal Infrared Spectrometer |
| MESSENGER | Mercury Surface, Space Environment, Geochemistry and Ranging |
| MIR | Mid-Infrared |
| NIR | Near-Infrared |
| NVP | Northern Volcanic Plains |
| PSR | Permanently Shadowed Regions |
| RB | Reststrahlen Band |
| SIMBIO-SYS | Spectrometer and Imaging for MPO BepiColombo Integrated Observatory SYStem |
| SMIS | Spectroscopie et Microscopie dans l’Infrarouge utilisant le Synchrotron |
| SOLEIL | Source Optimisée de Lumière d’Énergie Intermédiaire du LURE |
| USGS | United States Geological Survey |
| VIHI | Visible Infrared Hyperspectral Imager |
| VNIR | Visible Near-Infrared |
| TF | Transparency Feature |
| TIR | Thermal Infrared |
| XRS | X-Ray Spectrometer |
Appendix A

Appendix B


Appendix C
References
- Bauch, K.E.; Hiesinger, H.; Greenhagen, T.G.; Helbert, J. Estimation of surface temperatures on Mercury in preparation of the MERTIS experiment onboard BepiColombo. Icarus 2021, 354, 114083. [Google Scholar] [CrossRef]
- Paige, D.A.; Siegler, M.A.; Harmon, J.K.; Neumann, G.A.; Mazarico, E.M.; Smith, D.E.; Zuber, M.T.; Harju, E.; Delitsky, M.L.; Solomon, S.C. Thermal Stability of Volatiles in the North Polar Region of Mercury. Science 2013, 339, 300–303. [Google Scholar] [CrossRef] [PubMed]
- Benkhoff, J.; Murakami, G.; Baumjohann, W.; Besse, S.; Bunce, E.; Casale, M.; Cremosese, G.; Glassmeier, K.-H.; Hayakawa, H.; Heyner, D.; et al. BepiColombo—Mission Overview and Science Goals. Space Sci. Rev. 2021, 217, 90. [Google Scholar] [CrossRef]
- Domingue, D.L.; Chapman, C.R.; Killen, R.M.; Zurbuchen, T.H.; Gilbert, J.A.; Sarantos, M.; Benna, M.; Slavin, J.A.; Schriver, D.; Trávníček, P.M.; et al. Mercury’s Weather-Beaten Surface: Understanding Mercury in the Context of Lunar and Asteroidal Space Weathering Studies. Space Sci. Rev. 2014, 181, 121–214. [Google Scholar] [CrossRef]
- Hazen, R.M.; Downs, R.T.; Prewitt, C.T. Principles of Comparative Crystal Chemistry. Rev. Mineral. Geochem. 2000, 41, 1–33. [Google Scholar] [CrossRef]
- Tribaudino, M.; Angel, R.J.; Cámara, F.; Nestola, F.; Pasqual, D.; Margiolaki, I. Thermal expansion of plagioclase feldspars. Contrib. Mineral. Petrol. 2010, 160, 899–908. [Google Scholar] [CrossRef]
- Tribaudino, M.; Bruno, M.; Nestola, F.; Pasqual, D.; Angel, R.J. Thermoelastic and thermodynamic properties of plagioclase feldspars from thermal expansion measurements. Am. Mineral. 2011, 96, 992–1002. [Google Scholar] [CrossRef]
- Hiroi, T.; Zolensky, M.E. UV-Vis-NIR absorption features of heated phyllosilicates as remote-sensing clues of thermal histories of primitive asteroids. In Proceedings of the Antarctic Meteorite Research, 23rd Symposium on Antarctic Meteorites, Tokyo, Japan, 10–12 June 1998; National Institute of Polar Research: Tachikawa, Japan, 1999; Volume 12. [Google Scholar]
- Ostrowski, D.R.; Gietzen, K.; Lacy, C.; Sears, D.W.G. An investigation of the presence and nature of phyllosilicates on the surfaces of C asteroids by an analysis of the continuum slopes in their near-infrared spectra. Meteorit. Planet. Sci. 2010, 45, 615–637. [Google Scholar] [CrossRef]
- Vilas, F. Mercury: Absence of crystalline Fe2+ in the regolith. Icarus 1985, 64, 133–138. [Google Scholar] [CrossRef]
- Warell, J.; Blewett, D.T. Properties of the Hermean regolith: V. New optical reflectance spectra, comparison with lunar anorthosites, and mineralogical modelling. Icarus 2004, 168, 257–276. [Google Scholar] [CrossRef]
- Izenberg, N.R.; Klima, R.L.; Murchie, S.L.; Blewett, D.T.; Holsclaw, G.M.; McClintock, W.E.; Malaret, E.; Mauceri, C.; Vilas, F.; Sprague, A.L.; et al. The low-iron, reduced surface of Mercury as seen in spectral reflectance by MESSENGER. Icarus 2014, 228, 364–374. [Google Scholar] [CrossRef]
- Murchie, S.L.; Klima, R.L.; Denevi, B.W.; Ernst, C.M.; Keller, M.R.; Domingue, D.L.; Blewett, D.T.; Chabot, N.L.; Hash, C.D.; Malaret, E.; et al. Orbital multispectral mapping of Mercury with the MESSENGER Mercury Dual Imaging System: Evidence for the origins of plains units and low-reflectance material. Icarus 2015, 254, 287–305. [Google Scholar] [CrossRef]
- Emery, J.P.; Sprague, A.L.; Witteborn, F.C.; Colwell, J.E.; Kozlowski, R.W.H.; Wooden, D.H. Mercury: Thermal Modeling and Mid-infrared (5–12 μm) Observations. Icarus 1998, 136, 104–123. [Google Scholar] [CrossRef]
- Sprague, A.L.; Deutsch, L.K.; Hora, J.; Fazio, G.G.; Ludwig, B.; Emery, J.; Hoffmann, W.F. Mid-Infrared (8.1–12.5 μm) Imaging of Mercury. Icarus 2000, 147, 421–432. [Google Scholar] [CrossRef]
- Sprague, A.L.; Emery, J.P.; Donaldson, K.L.; Russell, R.W.; Lynch, D.K.; Mazuk, A.L. Mercury: Mid-infrared (3–13.5 μm) observations show heterogeneous composition, presence of intermediate and basic soil types, and pyroxene. Meteorit. Planet. Sci. 2002, 37, 1255–1268. [Google Scholar] [CrossRef]
- Sprague, A.L.; Donaldson Hanna, K.L.; Kozlowski, R.W.H.; Helbert, J.; Maturilli, A.; Warell, J.B.; Hora, J.L. Spectral emissivity measurements of Mercury’s surface indicate Mg- and Ca-rich mineralogy, K-spar, Na-rich plagioclase, rutile, with possible perovskite, and garnet. Planet. Space Sci. 2009, 57, 364–383. [Google Scholar] [CrossRef]
- Vilas, F.; Domingue, D.L.; Helbert, J.; D’Amore, M.; Maturilli, A.; Klima, R.L.; Stockstill-Cahill, K.R.; Murchie, S.L.; Izenberg, N.R.; Blewett, D.T.; et al. Mineralogical indicators of Mercury’s hollows composition in MESSENGER color observations. Geophys. Res. Lett. 2016, 43, 1450–1456. [Google Scholar] [CrossRef]
- Lucchetti, A.; Pajola, M.; Galluzzi, V.; Giacomini, L.; Carli, C.; Cremonese, G.; Marzo, G.A.; Ferrari, S.; Massironi, M.; Palumbo, P. Mercury Hollows as Remnants of Original Bedrock Materials and Devolatilization Processes: A Spectral Clustering and Geomorphological Analysis. J. Geophys. Res. Planets 2018, 123, 2365–2379. [Google Scholar] [CrossRef]
- Nittler, L.R.; Starr, R.D.; Weider, S.Z.; McCoy, T.J.; Boynton, W.V.; Ebel, D.S.; Ernst, C.M.; Evans, L.G.; Goldsten, J.O.; Hamara, D.K.; et al. The Major-Element Composition of Mercury’s Surface from MESSENGER X-ray Spectrometry. Science 2011, 333, 1847–1850. [Google Scholar] [CrossRef]
- Weider, S.Z.; Nittler, L.R.; Starr, R.D.; Crapster-Pregont, E.J.; Peplowski, P.N.; Denevi, B.W.; Head, J.W.; Byrne, P.K.; Hauck, S.A.; Ebel, D.S.; et al. Evidence for geochemical terranes on Mercury: Global mapping of major elements with MESSENGER’s X-Ray Spectrometer. Earth Planet. Sci. Lett. 2015, 416, 109–120. [Google Scholar] [CrossRef]
- Charlier, B.; Namur, O. Mineralogical Variations at the Surface of Mercury. In Proceedings of the 48th Lunar and Planetary Science Conference, The Woodlands, TX, USA, 20–24 March 2017. [Google Scholar]
- Nittler, L.R.; Chabot, N.L.; Grove, T.L.; Peplowski, P.N. The Chemical Composition of Mercury. In Mercury: The View after MESSENGER; Solomon, S.C., Nittler, L.R., Anderson, B.J., Eds.; Cambridge University Press: Cambridge, UK, 2018; pp. 30–51. [Google Scholar] [CrossRef]
- Solomon, S.C.; Nittler, L.R.; Anderson, B.J. Mercury: The View after MESSENGER; Cambridge University Press: Cambridge, UK, 2018. [Google Scholar] [CrossRef]
- Head, J.W.; Chapman, C.R.; Strom, R.G.; Fassett, C.I.; Denevi, B.W.; Blewett, D.T.; Ernst, C.M.; Watters, T.R.; Solomon, S.C.; Murchie, S.L.; et al. Flood Volcanism in the Northern High Latitudes of Mercury Revealed by MESSENGER. Science 2011, 333, 1853–1856. [Google Scholar] [CrossRef] [PubMed]
- Denevi, B.W.; Ernst, C.M.; Meyer, H.M.; Robinson, M.S.; Murchie, S.L.; Whitten, J.L.; Head, J.W.; Watters, T.R.; Solomon, S.C.; Ostrach, L.R.; et al. The distribution and origin of smooth plains on Mercury. J. Geophys. Res. Planets 2013, 118, 891–907. [Google Scholar] [CrossRef]
- Peplowski, P.N.; Evans, L.G.; Stockstill-Cahill, K.R.; Lawrence, D.J.; Goldsten, J.O.; McCoy, T.J.; Nittler, L.R.; Solomon, S.C.; Sprague, A.L.; Starr, R.D.; et al. Enhanced sodium abundance in Mercury’s north polar region revealed by the MESSENGER Gamma-Ray Spectrometer. Icarus 2014, 228, 86–95. [Google Scholar] [CrossRef]
- Peplowski, P.N.; Lawrence, D.J.; Feldman, W.C.; Goldsten, J.O.; Bazell, D.; Evans, L.G.; Head, J.W.; Nittler, L.R.; Solomon, S.C.; Weider, S.Z. Geochemical terranes of Mercury’s northern hemisphere as revealed by MESSENGER neutron measurements. Icarus 2015, 253, 346–363. [Google Scholar] [CrossRef]
- Namur, O.; Charlier, B.; Holtz, F.; Cartier, C.; McCammon, C. Sulfur solubility in reduced mafic silicate melts: Implications for the speciation and distribution of sulfur on Mercury. Earth Planet. Sci. Lett. 2016, 448, 102–114. [Google Scholar] [CrossRef]
- Charlier, B.; Grove, T.L.; Zuber, M.T. Phase equilibria of ultramafic compositions on Mercury and the origin of the compositional dichotomy. Earth Planet. Sci. Lett. 2013, 363, 50–60. [Google Scholar] [CrossRef]
- Sehlke, A.; Whittington, A.G. Rheology of lava flows on Mercury: An analog experimental study. J. Geophys. Res. Planets 2015, 120, 1924–1955. [Google Scholar] [CrossRef]
- McCoy, T.J.; Dickinson, T.L.; Lofgren, G.E. Partial melting of the Indarch (EH4) Meteorite: A textural, chemical and phase relations view of melting and melt migration. Meteorit. Planet. Sci. 1999, 34, 735–746. [Google Scholar] [CrossRef]
- Berthet, S.; Malavergne, V.; Righter, K. Melting of the Indarch meteorite (EH4 chondrite) at 1 GPa and variable oxygen fugacity: Implications for early planetary differentiation processes. Geochim. Cosmochim. Acta 2009, 73, 6402–6420. [Google Scholar] [CrossRef]
- Cartier, C.; Hammouda, T.; Doucelance, R.; Boyet, M.; Devidal, J.-L.; Bertrand, M. Experimental study of trace element partitioning between enstatite and melt in enstatite chondrites at low oxygen fugacities and 5 GPa. Geochim. Cosmochim. Acta 2014, 130, 167–187. [Google Scholar] [CrossRef]
- Namur, O.; Collinet, M.; Charlier, B.; Grove, T.L.; Holtz, F.; McCammon, C. Melting processes and mantle sources of lavas on Mercury. Earth Planet. Sci. Lett. 2016, 439, 117–128. [Google Scholar] [CrossRef]
- Morizet, Y.; Ory, S.; Di Carlo, I.; Scaillet, B.; Echegut, P. The effect of sulphur on the glass transition temperature in anorthite–diopside eutectic glasses. Chem. Geol. 2015, 416, 11–18. [Google Scholar] [CrossRef]
- Roush, T.L.; Singer, R.B. Gaussian analysis of temperature effects on the reflectance spectra of mafic minerals in the 1-μm region. J. Geophys. Res. Solid Earth 1986, 91, 10301–10308. [Google Scholar] [CrossRef]
- Helbert, J.; Maturilli, A. The emissivity of a fine-grained labradorite sample at typical Mercury dayside temperatures. Earth Planet. Sci. Lett. 2009, 285, 347–354. [Google Scholar] [CrossRef]
- Helbert, J.; Nestola, F.; Ferrari, S.; Maturilli, A.; Massironi, M.; Redhammer, G.J.; Capria, M.T.; Carli, C.; Capaccioni, F.; Bruno, M. Olivine thermal emissivity under extreme temperature ranges: Implication for Mercury surface. Earth Planet. Sci. Lett. 2013, 371, 252–257. [Google Scholar] [CrossRef]
- Vander Kaaden, K.E.; McCubbin, F.M.; Nittler, L.R.; Peplowski, P.N.; Weider, S.Z.; Frank, E.A.; McCoy, T.J. Geochemistry, mineralogy, and petrology of boninitic and komatiitic rocks on the mercurian surface: Insights into the mercurian mantle. Icarus 2017, 285, 155–168. [Google Scholar] [CrossRef]
- Maturilli, A.; Helbert, J.; St. John, J.M.; Head, J.W.; Vaughan, W.M.; D’Amore, M.; Gottschalk, M.; Ferrari, S. Komatiites as Mercury surface analogues: Spectral measurements at PEL. Earth Planet. Sci. Lett. 2014, 398, 58–65. [Google Scholar] [CrossRef]
- Maturilli, A.; Helbert, J.; Varatharajan, I.; D’Amore, M. Emissivity Spectra of Mercury Analogues under Mercury Pressure and Temperature Conditions. In Proceedings of the European Planetary Science Congress 2017, Riga, Latvia, 17–22 September 2017. [Google Scholar]
- Varatharajan, I.; Maturilli, A.; Helbert, J.; Alemanno, G.; Hiesinger, H. Spectral behavior of sulfides in simulated daytime surface conditions of Mercury: Supporting past (MESSENGER) and future missions (BepiColombo). Earth Planet. Sci. Lett. 2019, 520, 127–140. [Google Scholar] [CrossRef]
- Helbert, J.; Maturilli, A.; D’Amore, M. Visible and near-infrared reflectance spectra of thermally processed synthetic sulfides as a potential analog for the hollow forming materials on Mercury. Earth Planet. Sci. Lett. 2013, 369, 233–238. [Google Scholar] [CrossRef]
- Ferrari, S.; Maturilli, A.; Carli, C.; D’Amore, M.; Helbert, J.; Nestola, F.; Hiesinger, H. Thermal infrared emissivity of felsic-rich to mafic-rich analogues of hot planetary regoliths. Earth Planet. Sci. Lett. 2020, 534, 116089. [Google Scholar] [CrossRef]
- Cremonese, G.; Capaccioni, F.; Capria, M.T.; Doressoundiram, A.; Palumbo, P.; Vincendon, M.; Massironi, M.; Debei, S.; Zusi, M.; Altieri, F.; et al. SIMBIO-SYS: Scientific Cameras and Spectrometer for the BepiColombo Mission. Space Sci. Rev. 2020, 216, 75. [Google Scholar] [CrossRef]
- Hiesinger, H.; Helbert, J.; Alemanno, G.; Bauch, K.E.; D’Amore, M.; Maturilli, A.; Morlok, A.; Reitze, M.P.; Stangarone, C.; Stojic, A.N.; et al. Studying the Composition and Mineralogy of the Hermean Surface with the Mercury Radiometer and Thermal Infrared Spectrometer (MERTIS) for the BepiColombo Mission: An Update. Space Sci. Rev. 2020, 216, 110. [Google Scholar] [CrossRef]
- Serventi, G.; Carli, C.; Sgavetti, M.; Ciarniello, M.; Capaccioni, F.; Pedrazzi, G. Spectral variability of plagioclase-mafic mixtures (1): Effects of chemistry and modal abundance in reflectance spectra of rocks and mineral mixtures. Icarus 2013, 226, 282–298. [Google Scholar] [CrossRef]
- Vetere, F.; Rossi, S.; Namur, O.; Morgavi, D.; Misiti, V.; Mancinelli, P.; Petrelli, M.; Pauselli, C.; Perugini, D. Experimental constraints on the rheology, eruption, and emplacement dynamics of analog lavas comparable to Mercury’s northern volcanic plains. J. Geophys. Res. Planets 2017, 122, 1522–1538. [Google Scholar] [CrossRef]
- Bruschini, E.; Carli, C.; Buellet, A.-C.; Vincendon, M.; Capaccioni, F.; Ferrari, M.; Vetere, F.; Secchiari, A.; Perugini, D.; Montanini, A. VNIR reflectance spectra of silicate-graphite mixtures: The effect of graphite content and particle size. Icarus 2022, 378, 114950. [Google Scholar] [CrossRef]
- Stammer, X.; Heißler, S. FT-IR Spectroscopy in Ultrahigh-Vacuum Conditions: A Surface Science Approach to Understanding Reactions on Catalytic Oxide Powders; Advanstar Communications Inc.: Santa Monica, CA, USA, 2013; Volume 28. [Google Scholar]
- Maupin, R.; Djouadi, Z.; Brunetto, R.; Lantz, C.; Aléon-Toppani, A.; Vernazza, P. Vis-NIR Reflectance Microspectroscopy of IDPs. Planet. Sci. J. 2020, 1, 62. [Google Scholar] [CrossRef]
- Brunetto, R.; Lantz, C.; Dionnet, Z.; Borondics, F.; Aléon-Toppani, A.; Baklouti, D.; Barucci, M.A.; Binzel, R.P.; Djouadi, Z.; Kitazato, K.; et al. Hyperspectral FTIR imaging of irradiated carbonaceous meteorites. Planet. Space Sci. 2018, 158, 38–45. [Google Scholar] [CrossRef]
- Adams, J.B.; McCord, T.B. Alteration of Lunar Optical Properties: Age and Composition Effects. Science 1971, 171, 567–571. [Google Scholar] [CrossRef]
- Bell, P.M.; Mao, H.K. Crystal-field effects of iron and titanium in selected grains of Apollo 12, 14, and 15 rocks, glasses, and fine fractions. In Proceedings of the Lunar Science Conference, Houston, TX, USA, 10–13 January 1972; Volume 3, pp. 545–553. [Google Scholar]
- Burns, R.G. Mineralogical Applications of Crystal Field Theory; Cambridge University Press: Cambridge, UK, 1993. [Google Scholar]
- Adams, J.B.; McCord, T.B. Remote sensing of lunar surface mineralogy: Implications from visible and near-infrared reflectivity of Apollo 11 samples. Geochim. Cosmochim. Acta Suppl. 1970, 1, 1937. [Google Scholar]
- Davis, K.M.; Tomozawa, M. An infrared spectroscopic study of water-related species in silica glasses. J. -Non-Cryst. Solids 1996, 201, 177–198. [Google Scholar] [CrossRef]
- Godard, M.; Feraud, G.; Chabot, M.; Carpentier, Y.; Pino, T.; Brunetto, R.; Duprat, J.; Engrand, C.; Brechignac, P.; d’Hendecourt, L.; et al. Ion irradiation of carbonaceous interstellar analogues—Effects of cosmic rays on the 3.4 μm interstellar absorption band. Astron. Astrophys. 2011, 529, A146. [Google Scholar] [CrossRef]
- Conel, J.E. Infrared Emissivities of Silicates: Experimental Results and a Cloudy Atmosphere Model of Spectral Emission from Condensed Particulate Mediums. J. Geophys. Res. 1969, 74, 1614–1634. [Google Scholar] [CrossRef]
- Koike, C.; Chihara, H.; Tsuchiyama, A.; Suto, H.; Sogawa, H.; Okuda, H. Compositional dependence of infrared absorption spectra of crystalline silicate. II. Natural and synthetic olivines. Astron. Astrophys. 2003, 399, 1101–1107. [Google Scholar] [CrossRef]
- Hamilton, V.E. Thermal infrared (vibrational) spectroscopy of Mg-Fe olivines: A review and applications to determining the composition of planetary surfaces. Chem. Erde—Geochem. 2010, 70, 7–33. [Google Scholar] [CrossRef]
- Pisello, A.; Ferrari, M.; De Angelis, S.; Vetere, F.P.; Porreca, M.; Stefani, S.; Perugini, D. Reflectance of silicate glasses in the mid-infrared region (MIR): Implications for planetary research. Icarus 2022, 388, 115222. [Google Scholar] [CrossRef]
- Wagner, J.K.; Hapke, B.; Wells, E. Atlas of reflectance spectra of terrestrial, lunar, and meteoritic powders and frosts from 92 to 1800 nm. Icarus 1987, 69, 14–28. [Google Scholar] [CrossRef]
- Potin, S.; Beck, P.; Schmitt, B.; Moynier, F. Some things special about NEAs: Geometric and environmental effects on the optical signatures of hydration. Icarus 2019, 333, 415–428. [Google Scholar] [CrossRef]
- Moroz, L.; Baratta, G.; Strazzulla, G.; Starukhina, L.; Dotto, E.; Barucci, M.A.; Arnold, G.; Distefano, E. Optical alteration of complex organics induced by ion irradiation:. 1. Laboratory experiments suggest unusual space weathering trend. Icarus 2004, 170, 214–228. [Google Scholar] [CrossRef]
- Schröder, S.E.; Grynko, Y.; Pommerol, A.; Keller, H.U.; Thomas, N.; Roush, T.L. Laboratory observations and simulations of phase reddening. Icarus 2014, 239, 201–216. [Google Scholar] [CrossRef]
- Sanchez, J.A.; Reddy, V.; Nathues, A.; Cloutis, E.A.; Mann, P.; Hiesinger, H. Phase reddening on near-Earth asteroids: Implications for mineralogical analysis, space weathering and taxonomic classification. Icarus 2012, 220, 36–50. [Google Scholar] [CrossRef]
- Fornasier, S.; Hasselmann, P.H.; Deshapriya, J.D.P.; Barucci, M.A.; Clark, B.E.; Praet, A.; Hamilton, V.E.; Simon, A.; Li, J.-Y.; Cloutis, E.A.; et al. Phase reddening on asteroid Bennu from visible and near-infrared spectroscopy. Astron. Astrophys. 2020, 644, A142. [Google Scholar] [CrossRef]
- Gehrels, T.; Coffeen, T.; Owings, D. Wavelength dependance of polarization. III. The lunar surface. Astron. J. 1964, 69, 826. [Google Scholar] [CrossRef]
- Fornasier, S.; Hasselmann, P.H.; Barucci, M.A.; Feller, C.; Besse, S.; Leyrat, C.; Lara, L.; Gutierrez, P.J.; Oklay, N.; Tubiana, C.; et al. Spectrophotometric properties of the nucleus of comet 67P/Churyumov-Gerasimenko from the OSIRIS instrument onboard the ROSETTA spacecraft. Astron. Astrophys. 2015, 583, A30. [Google Scholar] [CrossRef]
- Warell, J.; Bergfors, C. Mercury’s integral phase curve: Phase reddening and wavelength dependence of photometric quantities. Planet. Space Sci. 2008, 56, 1939–1948. [Google Scholar] [CrossRef]
- Nakajima, Y.; Morimoto, N.; Kitamura, M. The superstructure of plagioclase feldspars. Phys. Chem. Miner. 1977, 1, 213–225. [Google Scholar] [CrossRef]
- Potin, S.; Beck, P.; Bonal, L.; Usui, F.; Vernazza, P.; Schmitt, B. The Shape of the 3 μm Absorption Band Linked to the Alteration History? Laboratory Investigations on Carbonaceous Chondrites and Applications to AKARI, Hayabusa2 and OSIRIS-REx Spectra. In Proceedings of the Asteroid Science in the Age of Hayabusa2 and OSIRIS-REx, Tucson, Arizona, USA, 5–7 November 2019. [Google Scholar]
- Chabot, N.L.; Ernst, C.M.; Harmon, J.K.; Murchie, S.L.; Solomon, S.C.; Blewett, D.T.; Denevi, B.W. Craters hosting radar-bright deposits in Mercury’s north polar region: Areas of persistent shadow determined from MESSENGER images. J. Geophys. Res. Planets 2013, 118, 26–36. [Google Scholar] [CrossRef]
- Susorney, H.C.M.; Ernst, C.M.; Chabot, N.L.; Deutsch, A.N.; Barnouin, O.S. Morphometry and Temperature of Simple Craters in Mercury’s Northern Hemisphere: Implications for Stability of Water Ice. Planet. Sci. J. 2021, 2, 97. [Google Scholar] [CrossRef]
- Hayne, P.O.; Aharonson, O.; Schörghofer, N. Micro cold traps on the Moon. Nat. Astron. 2021, 5, 169–175. [Google Scholar] [CrossRef]
- Davidsson, B.J.R.; Hosseini, S. Implications of surface roughness in models of water desorption on the Moon. Mon. Not. R. Astron. Soc. 2021, 506, 3421–3429. [Google Scholar] [CrossRef]
- Frost, R.L.; Ruan, H.; Kloprogge, J.T.; Gates, W.P. Dehydration and dehydroxylation of nontronites and ferruginous smectite. Thermochim. Acta 2000, 346, 63–72. [Google Scholar] [CrossRef]
- Potin, S.; Manigand, S.; Beck, P.; Wolters, C.; Schmitt, B. A model of the 3-μm hydration band with Exponentially Modified Gaussian (EMG) profiles: Application to hydrated chondrites and asteroids. Icarus 2020, 343, 113686. [Google Scholar] [CrossRef]
- Wakabayashi, H.; Tomozawa, M. Diffusion of Water into Silica Glass at Low Temperature. J. Am. Ceram. Soc. 1989, 72, 1850–1855. [Google Scholar] [CrossRef]
- Kuligiewicz, A.; Derkowski, A.; Szczerba, M.; Gionis, V.; Chryssikos, G.D. Revisiting the Infrared Spectrum of the Water–Smectite Interface. Clays Clay Miner. 2015, 63, 15–29. [Google Scholar] [CrossRef]
- Potin, S.; Beck, P.; Bonal, L.; Usui, F.; Vernazza, P.; Schmitt, B. Investigation of the Hydration Features of Asteroids with Carbonaceous Chondrites: Experimental Analysis and Comparison with Astronomical Observations. In Proceedings of the 82nd Annual Meeting of The Meteoritical Society, Sapporo, Japan, 7–12 July 2019. [Google Scholar]
- Sheth, N.; Ngo, D.; Banerjee, J.; Zhou, Y.; Pantano, C.G.; Kim, S.H. Probing Hydrogen-Bonding Interactions of Water Molecules Adsorbed on Silica, Sodium Calcium Silicate, and Calcium Aluminosilicate Glasses. J. Phys. Chem. 2018, 122, 17792–17801. [Google Scholar] [CrossRef]
- Lantz, C.; Brunetto, R.; Barucci, M.A.; Fornasier, S.; Baklouti, D.; Bourçois, J.; Godard, M. Ion irradiation of carbonaceous chondrites: A new view of space weathering on primitive asteroids. Icarus 2017, 285, 43–57. [Google Scholar] [CrossRef]
- Duley, W.W. The formation of H2 by H-atom reaction with grain surfaces. Mon. Not. R. Astron. Soc. 1996, 279, 591–594. [Google Scholar] [CrossRef]
- Jones, A.P. Variations on a theme—The evolution of hydrocarbon solids. I. Compositional and spectral modelling—The eRCN and DG models. Astron. Astrophys. 2012, 540, A1. [Google Scholar] [CrossRef]
- Hamill, C.D.; Chabot, N.L.; Mazarico, E.; Siegler, M.A.; Barker, M.K.; Martinez Camacho, J.M. New Illumination and Temperature Constraints of Mercury’s Volatile Polar Deposits. Planet. Sci. J. 2020, 1, 57. [Google Scholar] [CrossRef]
- Salisbury, J.W. Mid-infrared spectroscopy: Laboratory data. In Remote Geochemical Analysis: Elemental and Mineralogical Composition; Pieters, C.M., Englert, P.A.J., Eds.; Cambridge University Press: New York, NY, USA, 1993; pp. 79–98. [Google Scholar]
- Tan, C.Z.; Arndt, J. Interaction of longitudinal and transverse optic modes in silica glass. J. Chem. Phys. 2000, 112, 5970. [Google Scholar] [CrossRef]
- Cloutis, E.A.; McCormack, K.A.; Bell, J.F.; Hendrix, A.R.; Bailey, D.T.; Craig, M.A.; Mertzman, S.A.; Robinson, M.S.; Riner, M.A. Ultraviolet spectral reflectance properties of common planetary minerals. Icarus 2008, 197, 321–347. [Google Scholar] [CrossRef]
- Morlok, A.; Klemme, S.; Weber, I.; Stojic, A.; Sohn, M.; Hiesinger, H. IR spectroscopy of synthetic glasses with Mercury surface composition: Analogs for remote sensing. Icarus 2017, 296, 123–138. [Google Scholar] [CrossRef]
- Stojic, A.N.; Morlok, A.; Tollan, P.; Kohout, T.; Hermann, J.; Weber, I.; Moreau, J.-G.; Hiesinger, H.; Sohn, M.; Bauch, K.E.; et al. A shock recovery experiment and its implications for Mercury’s surface: The effect of high pressure on porous olivine powder as a regolith analog. Icarus 2021, 357, 114162. [Google Scholar] [CrossRef]
- Brunetto, R.; Lantz, C.; Ledu, D.; Baklouti, D.; Barucci, M.A.; Beck, P.; Delauche, L.; Dionnet, Z.; Dumas, P.; Duprat, J.; et al. Ion irradiation of Allende meteorite probed by visible, IR, and Raman spectroscopies. Icarus 2014, 237, 278–292. [Google Scholar] [CrossRef]
- Lantz, C.; Brunetto, R.; Barucci, M.A.; Dartois, E.; Duprat, J.; Engrand, C.; Godard, M.; Ledu, D.; Quirico, E. Ion irradiation of the Murchison meteorite: Visible to mid-infrared spectroscopic results. Astron. Astrophys. 2015, 577, A41. [Google Scholar] [CrossRef]
- McMillan, P.F.; Remmele, R.L. Hydroxyl sites in SiO2 glass: A note on infrared and Raman spectra. Am. Mineral. 1986, 71, 772–778. [Google Scholar]
- Brucato, J.R.; Strazzulla, G.; Baratta, G.; Colangeli, L. Forsterite amorphisation by ion irradiation: Monitoring by infrared spectroscopy. Astron. Astrophys. 2004, 413, 395–401. [Google Scholar] [CrossRef]
- Harris, T.R. Optical Properties of Si, Ge, GaAs, GaSb, InAs, and InP at Elevated Temperatures. B.S. Thesis, Air Force Institute of Technology, Wright-Patterson Air Force Base, OH, USA, 2010. [Google Scholar]














| Sample | An Slice | An Pellet | An Powder | Glasses Pellet |
|---|---|---|---|---|
| Non-heated | −1.81 ± 1.02 | 2.31 ± 0.37 | 3.09 ± 0.8 | 0.60 ± 0.21 |
| Heated | −0.99 ± 0.36 | 4.29 ± 0.15 | 3.15 ± 0.16 | 1.61 ± 0.1 |
| Sample | An Slice | An Pellet | An Powder | Glasses Pellet |
|---|---|---|---|---|
| Non-heated | 0.854 ± 0.03 | 0.963 ± 0.005 | 0.953 ± 0.02 | 0.995 ± 0.005 |
| Heated | 0.880 ± 0.02 | 0.983 ± 0.004 | 0.980 ± 0.1 | 0.995 ± 0.005 |
| Sample | An Slice | An Pellet | An Powder | Glasses Pellet |
|---|---|---|---|---|
| Non-heated | 0.478 ± 0.120 | 0.934 ± 0.024 | 0.529 ± 0.084 | 0.829 ± 0.016 |
| Heated | 0.375 ± 0.130 | 0.790 ± 0.012 | 0.801 ± 0.108 | 0.990 ± 0.005 |
| An Slice | An Pellet | An Powder | Glasses Pellet | |
|---|---|---|---|---|
| Spectral slope (0.5–0.8 m) | + | + | = | + |
| Ratio NIR (1.0/0.8 m) | + | + | + | = (?) |
| Reflectance at 0.5 m | - | - | + | + |
| Wavelength Range | Spectral Parameter of Interest | Intercrater Plains (Plagioclase) | Northern Volcanic Plains (Volcanic Glasses) |
|---|---|---|---|
| VNIR (0.4–2.0 m) | 1.3 m band depth | - | N/A |
| VIS spectral slope (0.5–0.8 m) | + | + | |
| Reflectance at 1.0 m / reflectance at 0.8 m | + | N/A | |
| MIR (7–14 m) | Christiansen feature position (∼8 m) | + | + |
| Reststrahlen band 1 position (∼9 m) | + | + |
Disclaimer/Publisher’s Note: The statements, opinions and data contained in all publications are solely those of the individual author(s) and contributor(s) and not of MDPI and/or the editor(s). MDPI and/or the editor(s) disclaim responsibility for any injury to people or property resulting from any ideas, methods, instructions or products referred to in the content. |
© 2023 by the authors. Licensee MDPI, Basel, Switzerland. This article is an open access article distributed under the terms and conditions of the Creative Commons Attribution (CC BY) license (https://creativecommons.org/licenses/by/4.0/).
Share and Cite
Bott, N.; Brunetto, R.; Doressoundiram, A.; Carli, C.; Capaccioni, F.; Langevin, Y.; Perna, D.; Poulet, F.; Serventi, G.; Sgavetti, M.; et al. Effects of Temperature on Visible and Infrared Spectra of Mercury Minerals Analogues. Minerals 2023, 13, 250. https://doi.org/10.3390/min13020250
Bott N, Brunetto R, Doressoundiram A, Carli C, Capaccioni F, Langevin Y, Perna D, Poulet F, Serventi G, Sgavetti M, et al. Effects of Temperature on Visible and Infrared Spectra of Mercury Minerals Analogues. Minerals. 2023; 13(2):250. https://doi.org/10.3390/min13020250
Chicago/Turabian StyleBott, Nicolas, Rosario Brunetto, Alain Doressoundiram, Cristian Carli, Fabrizio Capaccioni, Yves Langevin, Davide Perna, François Poulet, Giovanna Serventi, Maria Sgavetti, and et al. 2023. "Effects of Temperature on Visible and Infrared Spectra of Mercury Minerals Analogues" Minerals 13, no. 2: 250. https://doi.org/10.3390/min13020250
APA StyleBott, N., Brunetto, R., Doressoundiram, A., Carli, C., Capaccioni, F., Langevin, Y., Perna, D., Poulet, F., Serventi, G., Sgavetti, M., Vetere, F., Perugini, D., Pauselli, C., Borondics, F., & Sandt, C. (2023). Effects of Temperature on Visible and Infrared Spectra of Mercury Minerals Analogues. Minerals, 13(2), 250. https://doi.org/10.3390/min13020250

