Data Integration of Critical Elements from Mine Waste in Mexico, Chile and Australia
Abstract
1. Introduction
2. Materials and Methods
2.1. Data Collection
2.2. Database Analysis
2.3. Classification of Critical Elements and Crustal Abundance
3. Results and Discussion
3.1. Mining, Tailings and Potential Recovery of Critical Elements in Mexico
3.2. Mining, Tailings and Potential Recovery of Critical Elements in Chile
3.3. Mining, Tailings and Potential Recovery of Critical Elements in Australia
3.4. General Analysis of the Collected Data
3.5. Database Analysis for Mexico
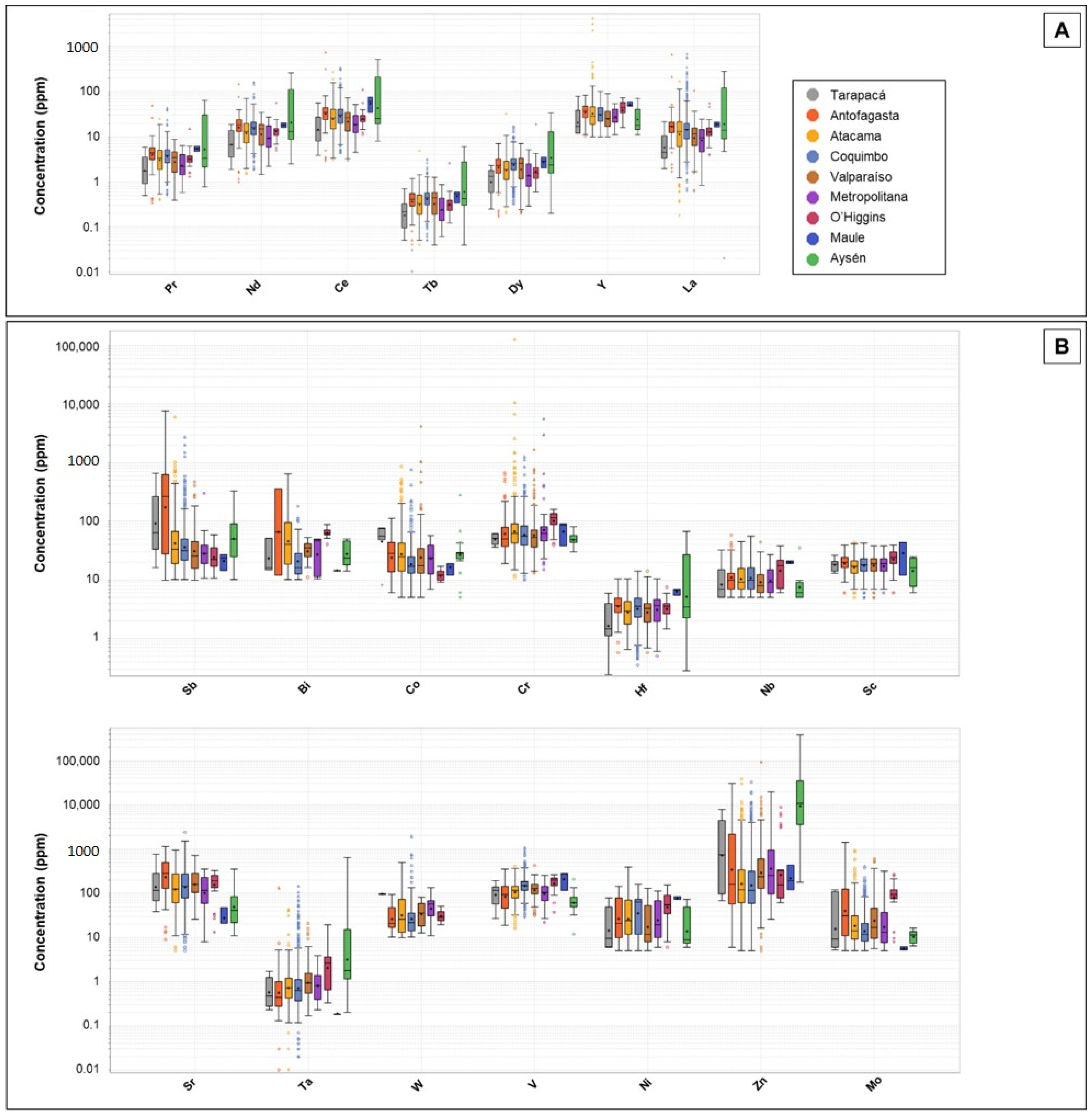
3.6. Database Analysis for Chile
3.7. Database Analysis for Australia
4. Conclusions
Supplementary Materials
Author Contributions
Funding
Data Availability Statement
Acknowledgments
Conflicts of Interest
References
- European Commission. Study on the Review of the List of Critical Raw Materials; European Commission, European Union: Brussels, Belgium, 2017. [Google Scholar]
- Akcil, A.; Sun, Z.; Panda, S. COVID-19 disruptions to tech-metals supply are a wake-up call. Nature 2020, 587, 365–367. [Google Scholar] [CrossRef] [PubMed]
- Sánchez-Andrea, I.; Stams, A.J.M.; Weijma, J.; Gonzalez Contreras, P.; Dijkman, H.; Rozendal, R.A.; Johnson, D.B. A case in support of implementing innovative bio-processes in the metal mining industry. FEMS Microbiol. Lett. 2016, 363, 1–4. [Google Scholar] [CrossRef] [PubMed][Green Version]
- Edraki, M.; Baumgartl, T.; Manlapig, E.; Bradshaw, D.; Franks, D.M.; Moran, C.J. Designing mine tailings for better environmental, social and economic outcomes: A review of alternative approaches. J. Clean. Prod. 2014, 84, 411–420. [Google Scholar] [CrossRef]
- Tayebi-Khorami, M.; Edraki, M.; Corder, G.; Golev, A. Re-Thinking Mining Waste through an Integrative Approach Led by Circular Economy Aspirations. Minerals 2019, 9, 286. [Google Scholar] [CrossRef]
- Mudd, G.M.; Werner, T.T. Solid Wastes in Base Metal Mining, Smelting and Refining: A Comprehensive Synthesis; RMIT University: Melbourne, Australia, 2019; p. 207. [Google Scholar]
- Werner, T.T.; Mudd, G.M.; Jowitt, S.M. The world’s by-product and critical metal resources part III: A global assessment of indium. Ore Geol. Rev. 2017, 86, 939–956. [Google Scholar] [CrossRef]
- Ruiz, A.G.; Sola, P.C.; Palmerola, N.M. Germanium: Current and Novel Recovery Processes. In Advanced Material and Device Applications with Germanium; Lee, S., Ed.; IntechOpen: London, UK, 2018. [Google Scholar]
- Foley, N.K.; Jaskula, B.W.; Kimball, B.E.; Schulte, R.F. Gallium, Chapter H of Critical mineral resources of the United States—Economic and environmental geology and prospects for future supply. In U.S. Geological Survey Professional Paper 1802; Schulz, K.J., DeYoung, J.J.H., Seal, R.R., Bradley, D.C., Survey, U.S.G., Eds.; Geological Survey: Denver, CO, USA, 2017; pp. H1–H35. [Google Scholar]
- Kinnunen, P.H.M.; Kaksonen, A.H. Towards circular economy in mining: Opportunities and bottlenecks for tailings valorization. J. Clean. Prod. 2019, 228, 153–160. [Google Scholar] [CrossRef]
- Mudd, G.M.; Werner, T.T.; Weng, Z.H.; Yellishetty, M.; Yuan, Y.; McAlpine, S.R.B.; Czarnota, K. Critical Minerals in Australia: A Review of Opportunities and Research Needs; Geoscience Australia: Canberra, Australia, 2019.
- INEGI. Inventario de Pasivos Mineros Abandonados. Available online: https://www.inegi.org.mx/contenidos/investigacion/conacyt/convoca2016_2/doc/demanda_6.pdf (accessed on 2 November 2021).
- SERNAGEOMIN. Datos Públicos Depósito de Relaves. Available online: https://www.sernageomin.cl/datos-publicos-deposito-de-relaves/ (accessed on 2 November 2021).
- SERNAGEOMIN. Laboratorio Quimico. Available online: https://www.sernageomin.cl/pdf/anuario_de_%20la%20Mineria_de_Chile_2020_290621.pdf (accessed on 2 November 2021).
- Werner, T.T.; Bach, P.M.; Yellishetty, M.; Amirpoorsaeed, F.; Walsh, S.; Miller, A.; Roach, M.; Schnapp, A.; Solly, P.; Tan, Y.; et al. A Geospatial Database for Effective Mine Rehabilitation in Australia. Minerals 2020, 10, 745. [Google Scholar] [CrossRef]
- Minero, F.D.F. Contexto de México en la Minería. Potencial Geológico. Available online: https://www.gob.mx/fifomi/articulos/contexto-de-mexico-en-la-mineria?idiom=es (accessed on 2 November 2021).
- European Commission. Study on the EU’s List of Critical Raw Materials; European Comission; Publications Office of the European Union: Luxemburg, 2020. [Google Scholar]
- Government, A. Australia’s Critical Minerals Strategy; Department of Industry, Innovation and Science: Canberra, Australia, 2019.
- Geoscience Australia, A.G. Australian Critical Minerals Prospectus; Australian Trade and Investment Commission (Austrade): Canberra, Australia, 2020; p. 172.
- Coll-Hurtado, A.; Salazar, M.T.S.; Morales, J. La minería en México; UNAM, Instituto de Geografía: Morelia, Mexico, 2002. [Google Scholar]
- Economía, M.G.S.D. Mineria. Available online: https://www.gob.mx/se/acciones-y-programas/mineria (accessed on 2 November 2021).
- Delfín-Alcalá, I. La microbiota presente en un desecho minero, como opción de restauración de jales. Revista AIDIS J. 2008, 1, 1–9. [Google Scholar] [CrossRef]
- Jiménez, C.; Rincón, E. Restauración de Minas Superficiales en México. Instituto de Ecología UNAM; Secretaría de Medio Ambiente y Recursos Naturales: Mexico City, Mexico, 2006.
- Minera, S.L. Sistema Integral de Administración Minera. Available online: http://www.siam.economia.gob.mx/es/siam/p_Legislacion_Minera (accessed on 2 November 2021).
- SEMARNAT. Inventario Homologado Preliminar de Presas de Jales. Available online: https://geomaticaportal.semarnat.gob.mx/arcgisp/apps/webappviewer/index.html?id=95841aa3b6534cdfbe3f53b3b5d6edfa (accessed on 10 December 2021).
- University of Sydney. Tailings Global Portal. Available online: https://tailing.grida.no (accessed on 30 November 2021).
- Semarnat, M.G. Programa Nacional de Sitios Contaminados. Available online: https://apps1.semarnat.gob.mx:8443/dgeia/indicadores18/conjuntob/indicador/05_peligrosos/5_3.html (accessed on 2 November 2021).
- Ceniceros-Gómez, A.E.; Macías-Macías, K.Y.; de la Cruz-Moreno, J.E.; Gutiérrez-Ruiz, M.E.; Martínez-Jardines, L.G. Characterization of mining tailings in México for the possible recovery of strategic elements. J. S. Am. Earth Sci. 2018, 88, 72–79. [Google Scholar] [CrossRef]
- Valenzuela, E.I.; García-Figueroa, A.C.; Amábilis-Sosa, L.E.; Molina-Freaner, F.E.; Pat-Espadas, A.M. Stabilization of potentially toxic elements contained in mine waste: A microbiological approach for the environmental management of mine tailings. J. Environ. Manag. 2020, 270, 110873. [Google Scholar] [CrossRef] [PubMed]
- Marmolejo-Rodríguez, A.J.; Sánchez-Martínez, M.A.; Magallanes-Ordóñez, V.R.; Sánchez-Martínez, A.; Becerra-Rueda, O.F. Patterns of Rare Earth Elements in Sediments as Tracers in a Fluvial System Influenced by a Gold Mine, El Triunfo, BCS, Mexico. Procedia Earth Planet. Sci. 2013, 7, 558–561. [Google Scholar] [CrossRef][Green Version]
- SERNAGEOMIN. Anuario de la Minería de Chile. Available online: https://www.sernageomin.cl/pdf/anuario_de_%20la%20Mineria_de_Chile_2020_290621.pdf (accessed on 2 November 2021).
- Marín, O.; Valderrama, J.O.; Kraslawski, A.; Cisternas, L.A. Potential of Tailing Deposits in Chile for the Sequestration of Carbon Dioxide Produced by Power Plants Using Ex-Situ Mineral Carbonation. Minerals 2021, 11, 320. [Google Scholar] [CrossRef]
- Babel, B.; Penz, M.; Schach, E.; Boehme, S.; Rudolph, M. Reprocessing of a Southern Chilean Zn Tailing by Flotation—A Case Study. Minerals 2018, 8, 295. [Google Scholar] [CrossRef]
- Araya, N.; Kraslawski, A.; Cisternas, L.A. Towards mine tailings valorization: Recovery of critical materials from Chilean mine tailings. J. Clean. Prod. 2020, 263, 121555. [Google Scholar] [CrossRef]
- Flores, W.; Contreras, H.; Garrido, P.; Concha, J.; Espinoza, P. Recovery of Valuable Elements from Mine Tailings. In Proceedings of the 16th International Mineral Processing Conference and 7th International Conference on Geometallurgy, Santiago, Chile, 23–27 November 2020. [Google Scholar]
- Velásquez, G.; Carrizo, D.; Salvi, S.; Vela, I.; Pablo, M.; Pérez, A. Tracking Cobalt, REE and Gold from a Porphyry-Type Deposit by LA-ICP-MS: A Geological Approach towards Metal-Selective Mining in Tailings. Minerals 2020, 10, 109. [Google Scholar] [CrossRef]
- S.A., M.V.C. La Riqueza Detrás de un Pasivo Minero. Available online: https://mineravallecentral.cl/la-riqueza-detras-de-un-pasivo-minero-2/ (accessed on 2 November 2021).
- Constable, T. Mining is the Largest Contributor to Australian Economy in 2019–20. Available online: https://www.minerals.org.au/news/mining-largest-contributor-australian-economy-2019-20 (accessed on 2 November 2021).
- Australian Trade and Investment Commission (Austrade), Science, Energy and Resources. Critical Minerals Projects in Australia 2020; Australian Government: Canberra, Australia, 2020; p. 62.
- Barry, D. New Century Mine Reopening Is a Success Story. Available online: https://www.northweststar.com.au/story/6200759/new-century-mine-reopening-is-a-success-story/ (accessed on 2 November 2021).
- Parbhakar-Fox, A.; Helen, D.; Vlad, L. Critical metal exploration in Queensland’s mine waste: Identifying potential secondary resources. In Proceedings of the Australian Earth Sciences Convention, Core to Cosmos, Hobart, Australia, 9–12 February 2021; pp. 16–17. [Google Scholar]
- Haynes, W.M. CRC Handbook of Chemistry and Physics; CRC Press: Boca Raton, FL, USA, 2016. [Google Scholar]
- Foladori, G.; Robles, R. Una revisión histórica de la automatización de la minería en México. Problemas del desarrollo. Rev. Latinoam. Econ. 2019, 50, 157–180. [Google Scholar] [CrossRef]
- Nassar, N.T.; Graedel, T.E.; Harper, E.M. By-product metals are technologically essential but have problematic supply. Sci. Adv. 2015, 1, e1400180. [Google Scholar] [CrossRef] [PubMed]
- Cabello, J. Gold Deposits in Chile. Andean Geol. 2021, 48, 1–23. [Google Scholar] [CrossRef]





| Critical Elements | EU List a | USA List b | Japan List c | Crustal Abundance d (ppm) | |
|---|---|---|---|---|---|
| Platinum-group metals | Iridium (Ir) | √ | √ | √ | 0.001 |
| Palladium (Pd) | √ | √ | √ | 0.015 | |
| Platinum (Pt) | √ | √ | √ | 0.005 | |
| Rhodium (Rh) | √ | √ | √ | 0.001 | |
| Ruthenium (Ru) | √ | √ | √ | 0.001 | |
| Rare earth elements | Praseodymium (Pr) | √ | √ | √ | 9.2 |
| Neodymium (Nd) | √ | √ | √ | 41.5 | |
| Cerium (Ce) | √ | √ | √ | 66.5 | |
| Terbium (Tb) | √ | √ | √ | 1.2 | |
| Dysprosium (Dy) | √ | √ | √ | 5.2 | |
| Yttrium e (Y) | √ | √ | √ | 33 | |
| Other critical elements | Antimony (Sb) | √ | √ | √ | 0.2 |
| Beryllium (Be) | √ | √ | √ | 2.8 | |
| Bismuth (Bi) | √ | √ | 0.0085 | ||
| Cobalt (Co) | √ | √ | √ | 25 | |
| Chromium (Cr) | √ | √ | 102 | ||
| Gallium (Ga) | √ | √ | √ | 19 | |
| Germanium (Ge) | √ | √ | √ | 1.5 | |
| Hafnium (Hf) | √ | √ | 3 | ||
| Indium (In) | √ | √ | √ | 0.25 | |
| Lithium (Li) | √ | √ | √ | 20 | |
| Magnesium (Mg) | √ | √ | √ | 23,300 | |
| Niobium (Nb) | √ | √ | √ | 20 | |
| Phosphorus (P) | √ | √ | 1050 | ||
| Scandium (Sc) | √ | √ | 22 | ||
| Silicon f (Si) | √ | 282,000 | |||
| Strontium (Sr) | √ | √ | 370 | ||
| Tantalum (Ta) | √ | √ | √ | 2 | |
| Titanium (Ti) | √ | √ | √ | 5600 | |
| Tungsten (W) | √ | √ | √ | 1.25 | |
| Vanadium (V) | √ | √ | √ | 120 | |
| Raw materials with high relative economic importance | Iron (Fe) ore | √ | 56,300 | ||
| Aluminium (Al) | √ | √ | 82,300 | ||
| Nickel (Ni) | √ | √ | √ | 84 | |
| Zinc (Zn) | √ | √ | √ | 70 | |
| Molybdenum (Mo) | √ | √ | 1.2 | ||
| Lanthanum (La) | √ | √ | √ | 39 | |
| Country | Mexico | Chile | Australia | ||||
|---|---|---|---|---|---|---|---|
| Deposits-Samples | 159 | 274 | 642 | 2032 | 7 | 490 | |
| Critical Elements | Average (ppm) | Potential Ratio | Average (ppm) | Potential Ratio | Average (ppm) | Potential Ratio | |
| Platinum-group metals | Iridium (Ir) | ND | ND | ND | ND | ND | ND |
| Palladium (Pd) | 1 | 66.7 | ND | ND | ND | ND | |
| Platinum (Pt) | ND | ND | ND | ND | ND | ND | |
| Rhodium (Rh) | ND | ND | ND | ND | ND | ND | |
| Ruthenium (Ru) | ND | ND | ND | ND | ND | ND | |
| Rare earth elements | Praseodymium (Pr) | 9.3 | 1 | 4.13 | 0.45 | 158.11 | 17.19 |
| Neodymium (Nd) | 14.2 | 0.3 | 16.62 | 0.40 | 370.36 | 8.92 | |
| Cerium (Ce) | 22.9 | 0.3 | 32.99 | 0.50 | 49.24 | 0.74 | |
| Terbium (Tb) | 3.4 | 2.8 | 0.45 | 0.38 | 1.37 | 1.14 | |
| Dysprosium (Dy) | 8.1 | 1.6 | 2.58 | 0.50 | 8.28 | 1.59 | |
| Yttrium (Y) | 12.2 | 0.4 | 41.14 | 1.25 | ND | ND | |
| Other critical elements | Antimony (Sb) | 3169.6 | 15,847.8 | 91.47 | 457.35 | 31.12 | 155.58 |
| Beryllium (Be) | 2.3 | 0.8 | ND | ND | 205.57 | 73.42 | |
| Bismuth (Bi) | 567.1 | 66,721.2 | 54.94 | 6463.14 | 78.05 | 9182.81 | |
| Cobalt (Co) | 101.8 | 4.1 | 35.93 | 1.44 | 103.07 | 4.12 | |
| Chromium (Cr) | 65.5 | 0.6 | 157.16 | 1.54 | 46.67 | 0.46 | |
| Gallium (Ga) | 5.4 | 0.3 | ND | ND | 488.02 | 25.69 | |
| Germanium (Ge) | 0.3 | 0.2 | ND | ND | 1.16 | 0.77 | |
| Hafnium (Hf) | 1.1 | 0.4 | 3.71 | 1.24 | 3.79 | 1.26 | |
| Indium (In) | 2 | 7.8 | ND | ND | 4.16 | 16.64 | |
| Lithium (Li) | 26 | 1.3 | ND | ND | 20.35 | 1.02 | |
| Magnesium (Mg) | ND | ND | ND | ND | 35,000.00 | 1.50 | |
| Niobium (Nb) | 2.6 | 0.1 | 12.53 | 0.63 | 25.19 | 1.26 | |
| Phosphorus (P) | 71.5 | 0.1 | ND | ND | 1,007.81 | 0.96 | |
| Scandium (Sc) | 5.6 | 0.3 | 18.67 | 0.85 | 10.43 | 0.47 | |
| Silicon (Si) | ND | ND | ND | ND | 235,000.00 | 0.83 | |
| Strontium (Sr) | 673 | 1.8 | 200.67 | 0.54 | 43.96 | 0.12 | |
| Tantalum (Ta) | 1 | 0.5 | 2.46 | 1.23 | 0.88 | 0.44 | |
| Titanium (Ti) | ND | ND | ND | ND | 0.23 | 0.00 | |
| Tungsten (W) | 38 | 30.4 | 47.72 | 38.18 | 85.33 | 68.26 | |
| Vanadium (V) | 60.605 | 0.5 | 142.51 | 1.19 | 76.18 | 0.63 | |
| Raw materials with high relative economic importance | Iron (Fe) ore | ND | ND | ND | ND | ND | ND |
| Aluminium (Al) | ND | ND | ND | ND | 43,000.00 | 0.52 | |
| Nickel (Ni) | 115.6 | 1.38 | 44.67 | 0.53 | 39.31 | 0.47 | |
| Zinc (Zn) | 6769 | 96.7 | 1449.53 | 20.71 | 995.80 | 14.23 | |
| Molybdenum (Mo) | 15.5 | 12.89 | 33.42 | 27.85 | 50.83 | 42.36 | |
| Lanthanum (La) | 21.2 | 0.54 | 19.37 | 0.50 | 24.08 | 0.62 | |
| Element (ppm) | PGE | Rare Earth Elements | |||||||||
| Pd | Pr | Nd | Ce | Tb | Dy | Y | |||||
| Baja California | Min. | --- | --- | --- | --- | --- | --- | --- | |||
| Max. | --- | --- | --- | --- | --- | --- | --- | ||||
| Mean | --- | --- | --- | --- | --- | --- | --- | ||||
| SD | --- | --- | --- | --- | --- | --- | --- | ||||
| Baja California Sur | Min. | --- | 0.0 | 0.1 | 0.3 | 0.0 | --- | --- | |||
| Max. | --- | 0.0 | 0.1 | 0.3 | 0.0 | --- | --- | ||||
| Mean | --- | 0.0 | 0.1 | 0.3 | 0.0 | --- | --- | ||||
| SD | --- | --- | --- | --- | --- | --- | --- | ||||
| Chihuahua | Min. | --- | --- | --- | --- | --- | --- | --- | |||
| Max. | --- | --- | --- | --- | --- | --- | --- | ||||
| Mean | --- | --- | --- | --- | --- | --- | --- | ||||
| SD | --- | --- | --- | --- | --- | --- | --- | ||||
| Ciudad de México | Min. | --- | --- | --- | --- | --- | --- | --- | |||
| Max. | --- | --- | --- | --- | --- | --- | --- | ||||
| Mean | --- | --- | --- | --- | --- | --- | --- | ||||
| SD | --- | --- | --- | --- | --- | --- | --- | ||||
| Coahuila | Min. | --- | --- | --- | --- | --- | --- | --- | |||
| Max. | --- | --- | --- | --- | --- | --- | --- | ||||
| Mean | --- | --- | --- | --- | --- | --- | --- | ||||
| SD | --- | --- | --- | --- | --- | --- | --- | ||||
| Colima | Min. | --- | --- | --- | --- | --- | --- | --- | |||
| Max. | --- | --- | --- | --- | --- | --- | --- | ||||
| Mean | --- | --- | --- | --- | --- | --- | --- | ||||
| SD | --- | --- | --- | --- | --- | --- | --- | ||||
| Durango | Min. | --- | --- | --- | --- | --- | --- | --- | |||
| Max. | --- | --- | --- | --- | --- | --- | --- | ||||
| Mean | --- | --- | --- | --- | --- | --- | --- | ||||
| SD | --- | --- | --- | --- | --- | --- | --- | ||||
| Estado de México | Min. | --- | --- | --- | --- | --- | --- | --- | |||
| Max. | --- | --- | --- | --- | --- | --- | --- | ||||
| Mean | --- | --- | --- | --- | --- | --- | --- | ||||
| SD | --- | --- | --- | --- | --- | --- | --- | ||||
| Guanajuato | Min. | --- | --- | --- | --- | --- | --- | --- | |||
| Max. | --- | --- | --- | --- | --- | --- | --- | ||||
| Mean | --- | --- | --- | --- | --- | --- | --- | ||||
| SD | --- | --- | --- | --- | --- | --- | --- | ||||
| Guerrero | Min. | --- | 2.4 | 9.8 | 0.7 | 0.3 | --- | --- | |||
| Max. | --- | 2.4 | 9.8 | 0.7 | 0.3 | --- | --- | ||||
| Mean | --- | 2.4 | 9.8 | 0.7 | 0.3 | --- | --- | ||||
| SD | --- | --- | --- | --- | --- | --- | --- | ||||
| Hidalgo | Min. | --- | 2.7 | 10.8 | 10.0 | 0.3 | --- | --- | |||
| Max. | --- | 2.7 | 10.8 | 21.4 | 0.3 | --- | --- | ||||
| Mean | --- | 2.7 | 10.8 | 15.7 | 0.3 | --- | --- | ||||
| SD | --- | --- | --- | 8.0 | --- | --- | --- | ||||
| Jalisco | Min. | --- | --- | --- | --- | --- | --- | --- | |||
| Max. | --- | --- | --- | --- | --- | --- | --- | ||||
| Mean | --- | --- | --- | --- | --- | --- | --- | ||||
| SD | --- | --- | --- | --- | --- | --- | --- | ||||
| Michoacán | Min. | 1.0 | 4.1 | 4.0 | 5.0 | 2.0 | 2.0 | 3.0 | |||
| Max. | 1.0 | 215.0 | 172.0 | 252.0 | 132.0 | 51.0 | 81.0 | ||||
| Mean | 1.0 | 50.4 | 39.7 | 55.9 | 18.5 | 14.1 | 22.4 | ||||
| SD | 0.0 | 48.7 | 37.4 | 51.5 | 20.9 | 10.6 | 17.0 | ||||
| Morelos | Min. | --- | --- | --- | --- | --- | --- | --- | |||
| Max. | --- | --- | --- | --- | --- | --- | --- | ||||
| Mean | --- | --- | --- | --- | --- | --- | --- | ||||
| SD | --- | --- | --- | --- | --- | --- | --- | ||||
| Nuevo León | Min. | --- | --- | --- | --- | --- | --- | --- | |||
| Max. | --- | --- | --- | --- | --- | --- | --- | ||||
| Mean | --- | --- | --- | --- | --- | --- | --- | ||||
| SD | --- | --- | --- | --- | --- | --- | --- | ||||
| Oaxaca | Min. | --- | --- | --- | --- | --- | --- | --- | |||
| Max. | --- | --- | --- | --- | --- | --- | --- | ||||
| Mean | --- | --- | --- | --- | --- | --- | --- | ||||
| SD | --- | --- | --- | --- | --- | --- | --- | ||||
| Querétaro | Min. | --- | --- | --- | --- | --- | --- | --- | |||
| Max. | --- | --- | --- | --- | --- | --- | --- | ||||
| Mean | --- | --- | --- | --- | --- | --- | --- | ||||
| SD | --- | --- | --- | --- | --- | --- | --- | ||||
| San Luis Potosí | Min. | --- | 2.3 | 8.3 | 19.3 | 0.3 | --- | --- | |||
| Max. | --- | 2.3 | 8.3 | 19.3 | 0.3 | --- | --- | ||||
| Mean | --- | 2.3 | 8.3 | 19.3 | 0.3 | --- | --- | ||||
| SD | --- | --- | --- | --- | --- | --- | --- | ||||
| Sinaloa | Min. | --- | --- | --- | --- | --- | --- | --- | |||
| Max. | --- | --- | --- | --- | --- | --- | --- | ||||
| Mean | --- | --- | --- | --- | --- | --- | --- | ||||
| SD | --- | --- | --- | --- | --- | --- | --- | ||||
| Sonora | Min. | --- | --- | --- | 5.6 | --- | --- | 0.8 | |||
| Max. | --- | --- | --- | 62.2 | --- | --- | 10.5 | ||||
| Mean | --- | --- | --- | 28.6 | --- | --- | 4.2 | ||||
| SD | --- | --- | --- | 18.7 | --- | --- | 3.3 | ||||
| Veracruz | Min. | --- | --- | --- | --- | --- | --- | --- | |||
| Max. | --- | --- | --- | --- | --- | --- | --- | ||||
| Mean | --- | --- | --- | --- | --- | --- | --- | ||||
| SD | --- | --- | --- | --- | --- | --- | --- | ||||
| Zacatecas | Min. | --- | 4.8 | 19.3 | 42.0 | 0.6 | --- | --- | |||
| Max. | --- | 4.8 | 19.3 | 42.0 | 0.6 | --- | --- | ||||
| Mean | --- | 4.8 | 19.3 | 42.0 | 0.6 | --- | --- | ||||
| SD | --- | --- | --- | --- | --- | --- | --- | ||||
| Element (ppm) | Others Elements with Critical and Economic Importance | ||||||||||
| Sb | Be | Bi | Co | Cr | Ga | Ge | Hf | In | Li | ||
| Baja California | Min. | --- | --- | --- | --- | --- | --- | --- | --- | --- | --- |
| Max. | --- | --- | --- | --- | --- | --- | --- | --- | --- | --- | |
| Mean | --- | --- | --- | --- | --- | --- | --- | --- | --- | --- | |
| SD | --- | --- | --- | --- | --- | --- | --- | --- | --- | --- | |
| Baja California Sur | Min. | 1,780.0 | --- | --- | 54.0 | 222.0 | --- | --- | --- | --- | --- |
| Max. | 20,200.0 | --- | --- | 54.0 | 222.0 | --- | --- | --- | --- | --- | |
| Mean | 9,550.0 | --- | --- | 54.0 | 222.0 | --- | --- | --- | --- | --- | |
| SD | 5,463.7 | --- | --- | --- | --- | --- | --- | --- | --- | --- | |
| Chihuahua | Min. | 270.0 | --- | --- | --- | 165.5 | --- | --- | --- | --- | --- |
| Max. | 270.0 | --- | --- | --- | 165.5 | --- | --- | --- | --- | --- | |
| Mean | 270.0 | --- | --- | --- | 165.5 | --- | --- | --- | --- | --- | |
| SD | --- | --- | --- | --- | --- | --- | --- | --- | --- | --- | |
| Ciudad de México | Min. | --- | --- | --- | --- | --- | --- | --- | --- | --- | --- |
| Max. | --- | --- | --- | --- | --- | --- | --- | --- | --- | --- | |
| Mean | --- | --- | --- | --- | --- | --- | --- | --- | --- | --- | |
| SD | --- | --- | --- | --- | --- | --- | --- | --- | --- | --- | |
| Coahuila | Min. | --- | --- | --- | --- | --- | --- | --- | --- | --- | --- |
| Max. | --- | --- | --- | --- | --- | --- | --- | --- | --- | --- | |
| Mean | --- | --- | --- | --- | --- | --- | --- | --- | --- | --- | |
| SD | --- | --- | --- | --- | --- | --- | --- | --- | --- | --- | |
| Colima | Min. | --- | --- | --- | --- | --- | --- | --- | --- | --- | --- |
| Max. | --- | --- | --- | --- | --- | --- | --- | --- | --- | --- | |
| Mean | --- | --- | --- | --- | --- | --- | --- | --- | --- | --- | |
| SD | --- | --- | --- | --- | --- | --- | --- | --- | --- | --- | |
| Durango | Min. | --- | --- | --- | --- | 6.0 | --- | --- | --- | --- | --- |
| Max. | --- | --- | --- | --- | 24.8 | --- | --- | --- | --- | --- | |
| Mean | --- | --- | --- | --- | 16.1 | --- | --- | --- | --- | --- | |
| SD | --- | --- | --- | --- | 8.3 | --- | --- | --- | --- | --- | |
| Estado de México | Min. | --- | --- | --- | --- | --- | --- | --- | --- | --- | --- |
| Max. | --- | --- | --- | --- | --- | --- | --- | --- | --- | --- | |
| Mean | --- | --- | --- | --- | --- | --- | --- | --- | --- | --- | |
| SD | --- | --- | --- | --- | --- | --- | --- | --- | --- | --- | |
| Guanajuato | Min. | 7.8 | 3.6 | --- | 7.6 | 6.1 | --- | --- | --- | --- | --- |
| Max. | 7.8 | 5.0 | --- | 937.0 | 174.0 | --- | --- | --- | --- | --- | |
| Mean | 7.8 | 4.2 | --- | 472.3 | 63.0 | --- | --- | --- | --- | --- | |
| SD | --- | 0.7 | --- | 657.2 | 52.8 | --- | --- | --- | --- | --- | |
| Guerrero | Min. | --- | --- | --- | --- | --- | --- | --- | --- | --- | --- |
| Max. | --- | --- | --- | --- | --- | --- | --- | --- | --- | --- | |
| Mean | --- | --- | --- | --- | --- | --- | --- | --- | --- | --- | |
| SD | --- | --- | --- | --- | --- | --- | --- | --- | --- | --- | |
| Hidalgo | Min. | 170.0 | --- | 2.0 | 3.0 | 19.0 | --- | --- | --- | --- | --- |
| Max. | 170.0 | --- | 60.0 | 1710.0 | 141.0 | --- | --- | --- | --- | --- | |
| Mean | 170.0 | --- | 31.0 | 224.1 | 49.4 | --- | --- | --- | --- | --- | |
| SD | --- | --- | 41.0 | 497.2 | 43.4 | --- | --- | --- | --- | --- | |
| Jalisco | Min. | --- | --- | --- | --- | --- | --- | --- | --- | --- | --- |
| Max. | --- | --- | --- | --- | --- | --- | --- | --- | --- | --- | |
| Mean | --- | --- | --- | --- | --- | --- | --- | --- | --- | --- | |
| SD | --- | --- | --- | --- | --- | --- | --- | --- | --- | --- | |
| Michoacán | Min. | 2.0 | 2.0 | --- | 5.0 | 4.0 | --- | --- | 1.0 | --- | --- |
| Max. | 133.0 | 7.0 | --- | 54.0 | 91.0 | --- | --- | 11.0 | --- | --- | |
| Mean | 55.9 | 2.9 | --- | 15.5 | 35.0 | --- | --- | 2.9 | --- | --- | |
| SD | 40.0 | 1.0 | --- | 9.8 | 23.6 | --- | --- | 2.5 | --- | --- | |
| Morelos | Min. | --- | --- | --- | 20.0 | --- | --- | --- | --- | --- | 41.3 |
| Max. | --- | --- | --- | 20.0 | --- | --- | --- | --- | --- | 41.3 | |
| Mean | --- | --- | --- | 20.0 | --- | --- | --- | --- | --- | 41.3 | |
| SD | --- | --- | --- | --- | --- | --- | --- | --- | --- | --- | |
| Nuevo León | Min. | 58.9 | --- | --- | --- | --- | --- | --- | --- | --- | --- |
| Max. | 58.9 | --- | --- | --- | --- | --- | --- | --- | --- | --- | |
| Mean | 58.9 | --- | --- | --- | --- | --- | --- | --- | --- | --- | |
| SD | --- | --- | --- | --- | --- | --- | --- | --- | --- | --- | |
| Oaxaca | Min. | --- | --- | --- | --- | --- | --- | --- | --- | --- | --- |
| Max. | --- | --- | --- | --- | --- | --- | --- | --- | --- | --- | |
| Mean | --- | --- | --- | --- | --- | --- | --- | --- | --- | --- | |
| SD | --- | --- | --- | --- | --- | --- | --- | --- | --- | --- | |
| Querétaro | Min. | --- | --- | --- | --- | --- | --- | --- | --- | --- | --- |
| Max. | --- | --- | --- | --- | --- | --- | --- | --- | --- | --- | |
| Mean | --- | --- | --- | --- | --- | --- | --- | --- | --- | --- | |
| SD | --- | --- | --- | --- | --- | --- | --- | --- | --- | --- | |
| San Luis Potosí | Min. | 13,743.0 | --- | --- | 4.3 | 11.8 | --- | --- | --- | --- | --- |
| Max. | 13,743.0 | --- | --- | 4.3 | 11.8 | --- | --- | --- | --- | --- | |
| Mean | 13,743.0 | --- | --- | 4.3 | 11.8 | --- | --- | --- | --- | --- | |
| SD | --- | --- | --- | --- | --- | --- | --- | --- | --- | --- | |
| Sinaloa | Min. | --- | --- | --- | --- | --- | --- | --- | --- | --- | --- |
| Max. | --- | --- | --- | --- | --- | --- | --- | --- | --- | --- | |
| Mean | --- | --- | --- | --- | --- | --- | --- | --- | --- | --- | |
| SD | --- | --- | --- | --- | --- | --- | --- | --- | --- | --- | |
| Sonora | Min. | 0.7 | 0.0 | 2.2 | 1.1 | 1.4 | 2.3 | 0.0 | 0.0 | 0.1 | 1.2 |
| Max. | 50,000.0 | 3.7 | 12,000.0 | 51.3 | 10.1 | 8.7 | 2.2 | 0.3 | 6.1 | 39.9 | |
| Mean | 4638.2 | 0.8 | 1103.3 | 16.3 | 5.2 | 4.1 | 0.3 | 0.1 | 1.8 | 11.5 | |
| SD | 15,046.1 | 1.1 | 3614.1 | 15.9 | 3.4 | 1.9 | 0.6 | 0.1 | 2.0 | 11.5 | |
| Veracruz | Min. | --- | --- | --- | --- | 4.2 | --- | --- | --- | --- | --- |
| Max. | --- | --- | --- | --- | 4.2 | --- | --- | --- | --- | --- | |
| Mean | --- | --- | --- | --- | 4.2 | --- | --- | --- | --- | --- | |
| SD | --- | --- | --- | --- | --- | --- | --- | --- | --- | --- | |
| Zacatecas | Min. | 4.1 | 0.5 | --- | 4.2 | 8.8 | --- | --- | --- | --- | 6.4 |
| Max. | 60.3 | 2.6 | --- | 11.0 | 189.0 | --- | --- | --- | --- | 44.1 | |
| Mean | 32.2 | 1.5 | --- | 7.6 | 82.7 | --- | --- | --- | --- | 25.3 | |
| SD | 39.7 | 1.4 | --- | 4.8 | 94.4 | --- | --- | --- | --- | 26.6 | |
| Element (ppm) | Others Elements with Critical and Economic Importance | ||||||||||
| Nb | Sc | Sr | Ta | W | V | Ni | Zn | Mo | La | ||
| Baja California | Min. | --- | --- | --- | --- | --- | --- | --- | --- | 6.0 | --- |
| Max. | --- | --- | --- | --- | --- | --- | --- | --- | 6.0 | --- | |
| Mean | --- | --- | --- | --- | --- | --- | --- | --- | 6.0 | --- | |
| SD | --- | --- | --- | --- | --- | --- | --- | --- | --- | --- | |
| Baja California Sur | Min. | --- | --- | 2253.0 | --- | --- | --- | 627.0 | 660.0 | --- | 0.2 |
| Max. | --- | --- | 2253.0 | --- | --- | --- | 627.0 | 52,200.0 | --- | 0.2 | |
| Mean | --- | --- | 2253.0 | --- | --- | --- | 627.0 | 27,024.4 | --- | 0.2 | |
| SD | --- | --- | --- | --- | --- | --- | --- | 13,785.0 | --- | --- | |
| Chihuahua | Min. | --- | --- | --- | --- | --- | --- | --- | 520.0 | 8.0 | --- |
| Max. | --- | --- | --- | --- | --- | --- | --- | 12,531.0 | 8.0 | --- | |
| Mean | --- | --- | --- | --- | --- | --- | --- | 5829.6 | 8.0 | --- | |
| SD | --- | --- | --- | --- | --- | --- | --- | 3908.8 | --- | --- | |
| Ciudad de México | Min. | --- | --- | --- | --- | --- | --- | --- | 1540.0 | --- | --- |
| Max. | --- | --- | --- | --- | --- | --- | --- | 1540.0 | --- | --- | |
| Mean | --- | --- | --- | --- | --- | --- | --- | 1540.0 | --- | --- | |
| SD | --- | --- | --- | --- | --- | --- | --- | --- | --- | --- | |
| Coahuila | Min. | --- | --- | --- | --- | --- | --- | --- | 3600.0 | --- | --- |
| Max. | --- | --- | --- | --- | --- | --- | --- | 3600.0 | --- | --- | |
| Mean | --- | --- | --- | --- | --- | --- | --- | 3600.0 | --- | --- | |
| SD | --- | --- | --- | --- | --- | --- | --- | --- | --- | --- | |
| Colima | Min. | --- | --- | --- | --- | --- | --- | --- | --- | --- | --- |
| Max. | --- | --- | --- | --- | --- | --- | --- | --- | --- | --- | |
| Mean | --- | --- | --- | --- | --- | --- | --- | --- | --- | --- | |
| SD | --- | --- | --- | --- | --- | --- | --- | --- | --- | --- | |
| Durango | Min. | --- | --- | --- | --- | --- | --- | --- | 300.0 | --- | --- |
| Max. | --- | --- | --- | --- | --- | --- | --- | 23,000.0 | --- | --- | |
| Mean | --- | --- | --- | --- | --- | --- | --- | 7365.0 | --- | --- | |
| SD | --- | --- | --- | --- | --- | --- | --- | 10,524.7 | --- | --- | |
| Estado de México | Min. | --- | --- | --- | --- | --- | --- | --- | 5700.0 | --- | --- |
| Max. | --- | --- | --- | --- | --- | --- | --- | 5700.0 | --- | --- | |
| Mean | --- | --- | --- | --- | --- | --- | --- | 5700.0 | --- | --- | |
| SD | --- | --- | --- | --- | --- | --- | --- | --- | --- | --- | |
| Guanajuato | Min. | --- | --- | --- | --- | --- | 48.0 | 38.7 | 47.0 | --- | --- |
| Max. | --- | --- | --- | --- | --- | 127.0 | 84.0 | 2811.0 | --- | --- | |
| Mean | --- | --- | --- | --- | --- | 70.8 | 62.5 | 846.6 | --- | --- | |
| SD | --- | --- | --- | --- | --- | 37.8 | 18.5 | 1145.8 | --- | --- | |
| Guerrero | Min. | --- | --- | --- | --- | --- | --- | --- | 1305.1 | --- | 8.8 |
| Max. | --- | --- | --- | --- | --- | --- | --- | 3735.0 | --- | 8.8 | |
| Mean | --- | --- | --- | --- | --- | --- | --- | 2995.0 | --- | 8.8 | |
| SD | --- | --- | --- | --- | --- | --- | --- | 1135.9 | --- | --- | |
| Hidalgo | Min. | --- | --- | --- | --- | --- | 24.0 | 6.0 | 1573.0 | 3.0 | 12.2 |
| Max. | --- | --- | --- | --- | --- | 100.0 | 4550.0 | 12,413.0 | 18.0 | 12.2 | |
| Mean | --- | --- | --- | --- | --- | 52.1 | 283.0 | 5887.3 | 10.0 | 12.2 | |
| SD | --- | --- | --- | --- | --- | 24.4 | 957.2 | 3,492.4 | 6.3 | --- | |
| Jalisco | Min. | --- | --- | --- | --- | --- | --- | --- | 3,370.0 | --- | --- |
| Max. | --- | --- | --- | --- | --- | --- | --- | 3370.0 | --- | --- | |
| Mean | --- | --- | --- | --- | --- | --- | --- | 3370.0 | --- | --- | |
| SD | --- | --- | --- | --- | --- | --- | --- | --- | --- | --- | |
| Michoacán | Min. | 1.0 | 3.0 | 19.0 | 1.0 | --- | 11.0 | 3.0 | 64.0 | 1.0 | 6.4 |
| Max. | 18.0 | 22.0 | 236.0 | 1.0 | --- | 233.0 | 77.0 | 2630.0 | 6.0 | 442.0 | |
| Mean | 5.0 | 8.7 | 121.8 | 1.0 | --- | 89.8 | 22.1 | 287.2 | 1.7 | 90.5 | |
| SD | 5.3 | 5.4 | 53.5 | 0.0 | --- | 43.6 | 11.8 | 372.0 | 1.1 | 93.2 | |
| Morelos | Min. | --- | --- | 280.0 | --- | 0.4 | --- | --- | 109.0 | 1.7 | --- |
| Max. | --- | --- | 280.0 | --- | 0.4 | --- | --- | 109.0 | 1.7 | --- | |
| Mean | --- | --- | 280.0 | --- | 0.4 | --- | --- | 109.0 | 1.7 | --- | |
| SD | --- | --- | --- | --- | --- | --- | --- | --- | --- | --- | |
| Nuevo León | Min. | --- | --- | --- | --- | --- | --- | 31.0 | 16,897.0 | --- | --- |
| Max. | --- | --- | --- | --- | --- | --- | 31.0 | 16,897.0 | --- | --- | |
| Mean | --- | --- | --- | --- | --- | --- | 31.0 | 16,897.0 | --- | --- | |
| SD | --- | --- | --- | --- | --- | --- | --- | --- | --- | --- | |
| Oaxaca | Min. | --- | --- | --- | --- | --- | --- | --- | 3800.0 | --- | --- |
| Max. | --- | --- | --- | --- | --- | --- | --- | 3800.0 | --- | --- | |
| Mean | --- | --- | --- | --- | --- | --- | --- | 3800.0 | --- | --- | |
| SD | --- | --- | --- | --- | --- | --- | --- | --- | --- | --- | |
| Querétaro | Min. | --- | --- | --- | --- | --- | --- | --- | 996.0 | 30.0 | --- |
| Max. | --- | --- | --- | --- | --- | --- | --- | 8786.0 | 30.0 | --- | |
| Mean | --- | --- | --- | --- | --- | --- | --- | 3951.4 | 30.0 | --- | |
| SD | --- | --- | --- | --- | --- | --- | --- | 3014.6 | --- | --- | |
| San Luis Potosí | Min. | --- | --- | --- | --- | --- | 41.8 | 16.4 | 65.1 | 12.4 | 11.0 |
| Max. | --- | --- | --- | --- | --- | 41.8 | 128.8 | 5240.0 | 12.4 | 11.0 | |
| Mean | --- | --- | --- | --- | --- | 41.8 | 72.6 | 3216.3 | 12.4 | 11.0 | |
| SD | --- | --- | --- | --- | --- | --- | 79.5 | 2220.1 | --- | --- | |
| Sinaloa | Min. | --- | --- | --- | --- | --- | --- | --- | 180.0 | 15.0 | --- |
| Max. | --- | --- | --- | --- | --- | --- | --- | 1230.0 | 15.0 | --- | |
| Mean | --- | --- | --- | --- | --- | --- | --- | 705.0 | 15.0 | --- | |
| SD | --- | --- | --- | --- | --- | --- | --- | 742.5 | --- | --- | |
| Sonora | Min. | 0.1 | 0.5 | 14.1 | --- | 3.5 | 10.9 | 0.8 | 15.7 | 2.3 | 3.1 |
| Max. | 1.0 | 2.9 | 80.6 | --- | 300.0 | 26.4 | 69.5 | 192,000.0 | 133.0 | 37.4 | |
| Mean | 0.3 | 1.5 | 37.3 | --- | 75.5 | 20.5 | 10.8 | 31,798.4 | 63.9 | 16.6 | |
| SD | 0.4 | 0.7 | 23.0 | --- | 77.6 | 6.2 | 19.7 | 49,013.3 | 40.9 | 11.2 | |
| Veracruz | Min. | --- | --- | --- | --- | --- | --- | 9.3 | 5.3 | --- | --- |
| Max. | --- | --- | --- | --- | --- | --- | 9.3 | 5.3 | --- | --- | |
| Mean | --- | --- | --- | --- | --- | --- | 9.3 | 5.3 | --- | --- | |
| SD | --- | --- | --- | --- | --- | --- | --- | --- | --- | --- | |
| Zacatecas | Min. | --- | --- | --- | --- | --- | 59.1 | 19.1 | 1170.0 | 3.1 | 19.4 |
| Max. | --- | --- | --- | --- | --- | 118.2 | 22.1 | 8200.0 | 8.9 | 19.4 | |
| Mean | --- | --- | --- | --- | --- | 88.6 | 20.2 | 3230.6 | 6.0 | 19.4 | |
| SD | --- | --- | --- | --- | --- | 41.8 | 1.6 | 2485.0 | 4.1 | --- | |
| Element (ppm) | Rare Earth Elements | ||||||||||||||||
| Pr | Nd | Ce | Tb | Dy | Y | ||||||||||||
| North | Tarapacá | Min. | 0.5 | 1.9 | 3.8 | 0.1 | 0.3 | 12.0 | |||||||||
| Max. | 5.8 | 18.7 | 55.4 | 0.7 | 2.3 | 78.0 | |||||||||||
| Mean | 2.4 | 8.7 | 20.2 | 0.2 | 1.2 | 27.6 | |||||||||||
| SD | 1.8 | 6.2 | 17.3 | 0.2 | 0.7 | 28.3 | |||||||||||
| Antofagasta | Min. | 0.3 | 1.0 | 2.9 | 0.0 | 0.2 | 10.0 | ||||||||||
| Max. | 50.0 | 148.1 | 744.2 | 1.2 | 7.0 | 83.0 | |||||||||||
| Mean | 5.2 | 20.2 | 46.6 | 0.4 | 2.5 | 39.2 | |||||||||||
| SD | 5.6 | 16.9 | 81.2 | 0.2 | 1.4 | 18.0 | |||||||||||
| Atacama | Min. | 0.4 | 1.5 | 3.1 | 0.0 | 0.2 | 10.0 | ||||||||||
| Max. | 24.7 | 70.4 | 273.0 | 4.9 | 32.4 | 4245.0 | |||||||||||
| Mean | 3.8 | 14.8 | 31.7 | 0.4 | 2.4 | 73.0 | |||||||||||
| SD | 2.7 | 9.7 | 25.7 | 0.4 | 2.2 | 329.9 | |||||||||||
| Coquimbo | Min. | 0.5 | 1.8 | 4.3 | 0.1 | 0.3 | 10.0 | ||||||||||
| Max. | 44.0 | 164.7 | 331.6 | 3.2 | 16.5 | 101.0 | |||||||||||
| Mean | 4.2 | 17.1 | 32.9 | 0.5 | 2.7 | 33.9 | |||||||||||
| SD | 2.8 | 11.0 | 23.3 | 0.3 | 1.4 | 15.5 | |||||||||||
| Central | Valparaiso | Min. | 0.4 | 1.5 | 3.0 | 0.0 | 0.2 | 10.0 | |||||||||
| Max. | 8.8 | 34.3 | 72.9 | 1.2 | 7.0 | 90.0 | |||||||||||
| Mean | 3.3 | 13.6 | 25.7 | 0.4 | 2.3 | 27.8 | |||||||||||
| SD | 1.7 | 6.9 | 13.1 | 0.2 | 1.3 | 13.8 | |||||||||||
| Metropolitana | Min. | 0.6 | 2.2 | 4.5 | 0.1 | 0.3 | 11.0 | ||||||||||
| Max. | 6.4 | 27.6 | 51.1 | 0.9 | 5.1 | 55.0 | |||||||||||
| Mean | 2.7 | 11.2 | 21.5 | 0.3 | 1.7 | 30.5 | |||||||||||
| SD | 1.6 | 6.6 | 11.5 | 0.2 | 1.1 | 13.0 | |||||||||||
| O’Higgins | Min. | 1.3 | 5.0 | 11.1 | 0.1 | 0.6 | 16.0 | ||||||||||
| Max. | 15.2 | 56.4 | 111.3 | 2.6 | 18.9 | 72.0 | |||||||||||
| Mean | 3.5 | 14.4 | 27.8 | 0.4 | 2.2 | 41.7 | |||||||||||
| SD | 2.3 | 8.4 | 17.1 | 0.4 | 3.1 | 15.5 | |||||||||||
| Maule | Min. | 4.8 | 16.0 | 34.9 | 0.3 | 2.0 | 48.0 | ||||||||||
| Max. | 6.1 | 20.5 | 75.7 | 0.6 | 3.6 | 59.0 | |||||||||||
| Mean | 5.4 | 18.1 | 57.0 | 0.5 | 2.8 | 52.0 | |||||||||||
| SD | 0.7 | 2.3 | 20.6 | 0.1 | 0.8 | 6.1 | |||||||||||
| South | Aysén | Min. | 0.8 | 2.5 | 8.1 | 0.0 | 0.2 | 11.0 | |||||||||
| Max. | 64.5 | 263.1 | 517.5 | 6.0 | 33.5 | 71.0 | |||||||||||
| Mean | 13.1 | 52.2 | 100.7 | 1.4 | 7.3 | 28.8 | |||||||||||
| SD | 18.3 | 73.8 | 139.7 | 1.9 | 9.4 | 19.6 | |||||||||||
| Element (ppm) | Others Elements with Critical and Economic Importance | ||||||||||||||||
| Sb | Bi | Co | Cr | Hf | Nb | Sc | Sr | Ta | W | V | Ni | Zn | Mo | La | |||
| North | Tarapacá | Min. | 15.9 | 14.9 | 8.0 | 36.0 | 0.2 | 5.0 | 13.0 | 39.0 | 0.2 | 96.2 | 27.0 | 6.0 | 69.0 | 5.2 | 2.0 |
| Max. | 671.2 | 51.8 | 76.0 | 61.0 | 5.9 | 32.0 | 26.0 | 761.0 | 1.7 | 96.2 | 193.0 | 78.0 | 7853.0 | 119.8 | 21.4 | ||
| Mean | 189.9 | 27.6 | 53.1 | 50.0 | 2.3 | 11.2 | 18.3 | 211.6 | 0.7 | 96.2 | 106.4 | 26.0 | 2419.2 | 37.6 | 7.7 | ||
| SD | 236.8 | 21.0 | 22.5 | 10.2 | 1.8 | 11.7 | 3.9 | 227.5 | 0.6 | NS | 51.9 | 34.8 | 2735.5 | 52.0 | 6.7 | ||
| Antofagasta | Min. | 10.0 | 12.0 | 6.0 | 19.0 | 0.6 | 5.0 | 6.0 | 9.0 | 0.0 | 10.1 | 19.0 | 5.0 | 6.0 | 5.1 | 1.7 | |
| Max. | 7777.8 | 359.2 | 113.0 | 677.0 | 10.5 | 58.0 | 39.0 | 1134.0 | 133.0 | 92.0 | 348.0 | 146.0 | 30,199.0 | 1403.2 | 665.3 | ||
| Mean | 631.4 | 185.6 | 30.6 | 92.1 | 3.9 | 13.4 | 19.9 | 340.2 | 2.5 | 32.0 | 107.8 | 43.5 | 3746.7 | 142.6 | 27.6 | ||
| SD | 1342.4 | 245.5 | 20.9 | 120.9 | 1.8 | 10.6 | 6.4 | 259.9 | 14.6 | 22.4 | 77.5 | 38.7 | 7288.0 | 271.5 | 70.9 | ||
| Atacama | Min. | 10.2 | 10.0 | 5.0 | 11.0 | 0.6 | 5.0 | 5.0 | 5.0 | 0.0 | 10.0 | 16.0 | 5.0 | 5.0 | 5.0 | 0.2 | |
| Max. | 6136.3 | 648.9 | 871.0 | 128,957.0 | 10.5 | 45.0 | 44.0 | 968.0 | 42.9 | 506.8 | 411.0 | 392.0 | 38,413.0 | 914.6 | 169.6 | ||
| Mean | 102.4 | 85.1 | 50.2 | 418.3 | 3.3 | 12.2 | 17.4 | 182.7 | 1.3 | 52.8 | 116.8 | 39.5 | 765.2 | 36.0 | 16.5 | ||
| SD | 370.0 | 118.1 | 92.3 | 6,098.1 | 1.8 | 8.0 | 6.2 | 153.9 | 3.9 | 73.9 | 52.0 | 38.1 | 2750.0 | 85.2 | 15.9 | ||
| Coquimbo | Min. | 10.2 | 10.1 | 5.0 | 10.0 | 0.4 | 5.0 | 5.0 | 5.0 | 0.0 | 10.1 | 28.0 | 5.0 | 5.0 | 5.0 | 0.6 | |
| Max. | 2778.7 | 179.9 | 765.0 | 1270.0 | 14.0 | 55.0 | 42.0 | 2386.0 | 144.7 | 1937.8 | 1084.0 | 158.0 | 32,834.0 | 412.7 | 689.2 | ||
| Mean | 57.6 | 28.3 | 23.3 | 72.4 | 3.7 | 12.8 | 18.9 | 206.7 | 2.3 | 49.1 | 161.5 | 50.1 | 534.8 | 19.7 | 21.0 | ||
| SD | 143.5 | 30.9 | 35.9 | 74.1 | 1.9 | 8.3 | 6.9 | 214.3 | 9.2 | 142.3 | 81.6 | 31.0 | 1736.1 | 27.8 | 40.4 | ||
| Central | Valparaiso | Min. | 10.0 | 11.0 | 5.0 | 13.0 | 0.6 | 5.0 | 5.0 | 26.0 | 0.2 | 12.6 | 32.0 | 5.0 | 5.0 | 5.5 | 0.6 |
| Max. | 470.2 | 52.0 | 4175.0 | 1685.0 | 14.1 | 44.0 | 38.0 | 717.0 | 21.0 | 81.2 | 423.0 | 127.0 | 93,346.0 | 610.0 | 104.2 | ||
| Mean | 48.8 | 32.9 | 93.3 | 84.2 | 3.3 | 10.9 | 18.7 | 192.2 | 1.5 | 40.5 | 127.9 | 27.4 | 1330.6 | 59.1 | 11.9 | ||
| SD | 68.6 | 11.8 | 416.2 | 147.1 | 1.8 | 7.7 | 6.3 | 115.7 | 2.3 | 24.2 | 50.9 | 26.9 | 6773.5 | 116.2 | 8.8 | ||
| Metropolitana | Min. | 10.8 | 10.3 | 7.0 | 15.0 | 0.5 | 5.0 | 6.0 | 8.0 | 0.2 | 11.0 | 22.0 | 6.0 | 26.0 | 5.1 | 0.9 | |
| Max. | 302.0 | 50.0 | 57.0 | 5691.0 | 10.5 | 27.0 | 38.0 | 355.0 | 3.9 | 134.7 | 254.0 | 111.0 | 19,757.0 | 319.9 | 24.6 | ||
| Mean | 35.6 | 33.2 | 27.5 | 219.5 | 3.6 | 11.2 | 18.5 | 137.2 | 1.1 | 55.0 | 109.9 | 37.2 | 2051.0 | 34.7 | 10.0 | ||
| SD | 44.5 | 19.9 | 15.8 | 799.5 | 2.0 | 6.2 | 7.3 | 93.0 | 0.8 | 33.6 | 51.9 | 31.0 | 4836.3 | 57.4 | 5.8 | ||
| O’Higgins | Min. | 10.7 | 40.1 | 9.0 | 39.0 | 1.5 | 6.0 | 6.0 | 13.0 | 0.3 | 19.2 | 36.0 | 6.0 | 62.0 | 7.7 | 3.9 | |
| Max. | 58.4 | 87.0 | 17.0 | 157.0 | 7.6 | 38.0 | 39.0 | 329.0 | 19.5 | 50.5 | 266.0 | 155.0 | 8795.0 | 270.3 | 55.3 | ||
| Mean | 26.8 | 64.0 | 11.9 | 107.8 | 3.4 | 16.6 | 23.8 | 186.1 | 3.5 | 31.5 | 179.4 | 61.3 | 1144.9 | 102.8 | 14.7 | ||
| SD | 13.3 | 12.8 | 2.1 | 34.6 | 1.2 | 8.7 | 7.6 | 84.2 | 4.2 | 10.1 | 56.3 | 35.5 | 2179.7 | 61.8 | 10.2 | ||
| Maule | Min. | 14.4 | 14.4 | 12.0 | 38.0 | 5.5 | 19.0 | 12.0 | 21.0 | 0.2 | --- | 115.0 | 73.0 | 120.0 | 5.2 | 16.4 | |
| Max. | 27.1 | 14.4 | 19.0 | 91.0 | 7.0 | 21.0 | 44.0 | 47.0 | 0.2 | --- | 286.0 | 84.0 | 442.0 | 6.1 | 21.0 | ||
| Mean | 21.6 | 14.4 | 16.7 | 71.3 | 6.4 | 20.0 | 33.0 | 29.7 | 0.2 | --- | 224.7 | 76.7 | 251.0 | 5.6 | 18.7 | ||
| SD | 6.5 | NS | 4.0 | 29.0 | 0.8 | 1.0 | 18.2 | 15.0 | NS | --- | 95.2 | 6.4 | 169.2 | 0.5 | 2.3 | ||
| South | Aysén | Min. | 10.1 | 14.1 | 5.0 | 30.0 | 0.3 | 5.0 | 6.0 | 11.0 | 0.2 | --- | 12.0 | 6.0 | 177.0 | 6.5 | 0.0 |
| Max. | 329.3 | 49.3 | 281.0 | 80.0 | 66.6 | 35.0 | 25.0 | 354.0 | 651.7 | --- | 207.0 | 73.0 | 379,713.0 | 16.1 | 281.5 | ||
| Mean | 68.8 | 30.5 | 37.4 | 49.6 | 13.6 | 9.2 | 15.9 | 77.3 | 31.9 | --- | 68.0 | 21.6 | 35,378.1 | 10.8 | 59.7 | ||
| SD | 64.8 | 14.8 | 52.3 | 12.1 | 19.2 | 8.7 | 7.3 | 83.9 | 119.4 | --- | 35.7 | 22.6 | 70,515.9 | 3.7 | 87.1 | ||
| Element (ppm) | Rare Earth Elements | ||||||||||
| Pr | Nd | Ce | Tb | Dy | Y | ||||||
| Capricorn Copper | Min. | 0.6 | 3.5 | 3.8 | 0.3 | 1.5 | 8.8 | ||||
| Max. | 10.2 | 39.9 | 132.5 | 2.5 | 14.4 | 82.1 | |||||
| Mean | 5.7 | 21.3 | 65.8 | 0.6 | 3.4 | 19.0 | |||||
| SD | 1.4 | 5.2 | 26.9 | 0.3 | 2.0 | 11.2 | |||||
| Herberton | Min. | 4.6 | 16.6 | 42.8 | 0.8 | 5.8 | 34.3 | ||||
| Max. | 18.6 | 71.3 | 153.0 | 2.9 | 18.0 | 112.5 | |||||
| Mean | 10.2 | 38.7 | 88.9 | 1.5 | 9.7 | 58.5 | |||||
| SD | 2.8 | 10.7 | 23.8 | 0.4 | 2.5 | 16.7 | |||||
| Horn Island | Min. | 3.3 | 11.9 | 31.6 | 0.3 | 1.8 | 10.9 | ||||
| Max. | 10.5 | 37.5 | 96.1 | 0.9 | 6.6 | 48.6 | |||||
| Mean | 7.5 | 25.7 | 69.6 | 0.6 | 3.6 | 21.6 | |||||
| SD | 2.0 | 6.9 | 18.6 | 0.2 | 1.1 | 7.8 | |||||
| Mary Kathleen | Min. | 32.9 | 91.7 | 510.7 | 1.2 | 6.3 | --- | ||||
| Max. | 1534.8 | 3567.4 | 28,142.3 | 6.5 | 16.7 | --- | |||||
| Mean | 774.3 | 1820.2 | 14,392.9 | 3.7 | 11.7 | --- | |||||
| SD | 427.4 | 992.2 | 8021.2 | 1.4 | 2.9 | --- | |||||
| Mount Garnet | Min. | 2.3 | 9.0 | 18.1 | 0.3 | 1.8 | 10.2 | ||||
| Max. | 12.6 | 45.8 | 109.0 | 1.1 | 5.8 | 29.3 | |||||
| Mean | 4.9 | 17.7 | 43.6 | 0.5 | 2.9 | 17.3 | |||||
| SD | 1.5 | 5.3 | 13.3 | 0.1 | 0.8 | 4.2 | |||||
| Rocklands | Min. | 2.0 | 8.4 | 15.9 | 0.4 | 2.6 | 16.1 | ||||
| Max. | 8.1 | 38.9 | 62.5 | 2.5 | 16.4 | 117.5 | |||||
| Mean | 4.2 | 18.5 | 33.9 | 1.0 | 6.4 | 46.5 | |||||
| SD | 1.8 | 8.3 | 13.6 | 0.5 | 3.3 | 24.7 | |||||
| Wolfram Camp | Min. | 4.2 | 14.8 | 27.1 | 0.9 | 6.5 | 19.4 | ||||
| Max. | 533.4 | 29.2 | 2176.3 | 1.3 | 160.3 | 1481.7 | |||||
| Mean | In | 21.7 | 814.7 | 1.0 | 83.0 | 484.3 | |||||
| SD | 228.9 | 6.5 | 923.4 | 0.1 | 79.7 | 666.5 | |||||
| Element (ppm) | Others Elements with Critical and Economic Importance | ||||||||||
| Sb | Be | Bi | Co | Cr | Ga | Ge | Hf | In | Li | ||
| Capricorn Copper | Min. | 3.4 | 0.2 | 0.3 | 10.6 | 11.0 | 2.7 | 0.1 | 0.3 | 0.0 | 2.4 |
| Max. | 1220.0 | 5.9 | 324.0 | 1060.0 | 215.0 | 18.5 | 4.0 | 4.9 | 1.4 | 55.9 | |
| Mean | 53.2 | 0.7 | 24.4 | 142.8 | 93.3 | 9.6 | 0.2 | 3.0 | 0.2 | 11.1 | |
| SD | 30.8 | 0.4 | 21.4 | 85.1 | 96.0 | 9.7 | 0.1 | 3.1 | 0.2 | 8.9 | |
| Herberton | Min. | 117.4 | 0.9 | 29.2 | 182.2 | 53.2 | 2.5 | 0.4 | 0.6 | 0.3 | 7.9 |
| Max. | 67.7 | 31.9 | 245.0 | 37.8 | 129.0 | 31.0 | 0.3 | 12.9 | 53.7 | 201.0 | |
| Mean | 25.0 | 3.2 | 91.2 | 6.0 | 31.6 | 21.5 | 0.2 | 4.4 | 18.3 | 60.8 | |
| SD | 17.0 | 4.1 | 62.5 | 6.9 | 17.3 | 3.6 | 0.0 | 1.3 | 12.7 | 40.0 | |
| Horn Island | Min. | 1.0 | 1.3 | 0.3 | 0.4 | 3.0 | 9.5 | 0.1 | 1.5 | 0.0 | 18.6 |
| Max. | 3.6 | 3.8 | 3.5 | 5.0 | 16.0 | 22.8 | 0.2 | 5.9 | 0.1 | 44.7 | |
| Mean | 2.6 | 2.6 | 0.7 | 3.6 | 11.3 | 16.3 | 0.1 | 2.7 | 0.1 | 27.1 | |
| SD | 0.5 | 0.7 | 0.6 | 1.1 | 3.2 | 3.3 | 0.0 | 0.8 | 0.0 | 5.8 | |
| Mary Kathleen | Min. | --- | --- | --- | 3.9 | 3.4 | --- | --- | --- | --- | --- |
| Max. | --- | --- | --- | 62.9 | 260.0 | --- | --- | --- | --- | --- | |
| Mean | --- | --- | --- | 11.6 | 18.5 | --- | --- | --- | --- | --- | |
| SD | --- | --- | --- | 10.9 | 42.9 | --- | --- | --- | --- | --- | |
| Mount Garnet | Min. | 3.7 | 0.6 | 7.8 | 9.2 | 12.0 | 7.8 | 0.1 | 1.1 | 0.9 | 3.0 |
| Max. | 414.0 | 2.4 | 355.0 | 436.0 | 43.0 | 23.8 | 0.4 | 3.9 | 13.8 | 42.7 | |
| Mean | 34.7 | 1.2 | 59.3 | 61.0 | 26.4 | 14.4 | 0.2 | 2.0 | 4.4 | 10.4 | |
| SD | 66.1 | 0.3 | 70.1 | 69.9 | 6.3 | 3.6 | 0.1 | 0.7 | 2.5 | 8.4 | |
| Rocklands | Min. | 0.3 | 0.8 | 0.2 | 199.5 | 36.0 | 10.3 | 0.1 | 1.0 | 0.1 | 3.7 |
| Max. | 0.9 | 1.9 | 1.9 | 1195.0 | 95.0 | 18.5 | 0.2 | 3.7 | 0.5 | 24.8 | |
| Mean | 0.4 | 1.2 | 0.5 | 561.1 | 57.3 | 14.6 | 0.1 | 2.3 | 0.2 | 11.0 | |
| SD | 0.1 | 0.3 | 0.3 | 156.9 | 12.7 | 2.3 | 0.0 | 0.7 | 0.1 | 5.8 | |
| Wolfram Camp | Min. | 0.3 | 1.5 | 16.7 | 0.8 | 2.6 | 12.7 | 0.1 | 3.0 | 0.4 | 59.3 |
| Max. | 61.0 | 2.3 | 1640.5 | 16.7 | 329.8 | 25.2 | 0.2 | 4.6 | 0.6 | 77.2 | |
| Mean | 19.2 | 2.0 | 187.7 | 3.5 | 31.5 | 19.2 | 0.2 | 3.7 | 0.5 | 71.0 | |
| SD | 15.8 | 0.3 | 360.1 | 3.1 | 59.3 | 4.6 | 0.0 | 0.6 | 0.1 | 7.2 | |
| Element (ppm) | Others Elements with Critical and Economic Importance | ||||||||||
| Sr | Ta | Ti | W | V | Ni | Zn | Mo | La | |||
| Capricorn Copper | Min. | 0.1 | 0.0 | 0.0 | 0.2 | 7.8 | 0.0 | 1.0 | 0.1 | 0.0 | |
| Max. | 307.0 | 3.0 | 0.2 | 7.6 | 160.0 | 394.0 | 697.0 | 47.0 | 48.2 | ||
| Mean | 30.9 | 1.0 | 0.1 | 2.2 | 43.8 | 39.8 | 36.7 | 4.4 | 17.5 | ||
| SD | 48.7 | 0.9 | 0.1 | 1.6 | 17.2 | 44.6 | 89.5 | 4.6 | 11.9 | ||
| Herberton | Min. | 8.7 | 0.7 | 0.1 | 5.2 | 7.0 | 2.3 | 34.0 | 0.8 | 18.7 | |
| Max. | 56.4 | 2.3 | 0.5 | 351.0 | 71.0 | 24.8 | 901.0 | 18.2 | 81.0 | ||
| Mean | 24.7 | 1.4 | 0.1 | 82.1 | 24.1 | 8.1 | 210.5 | 3.2 | 43.1 | ||
| SD | 10.1 | 0.4 | 0.1 | 64.6 | 13.9 | 5.7 | 138.0 | 2.2 | 12.6 | ||
| Horn Island | Min. | 3.5 | 0.8 | 0.0 | 3.2 | 2.0 | 1.0 | 34.0 | 3.3 | 16.2 | |
| Max. | 40.3 | 3.1 | 0.2 | 13.5 | 38.0 | 5.2 | 959.0 | 9.4 | 48.0 | ||
| Mean | 27.5 | 1.3 | 0.2 | 9.0 | 26.4 | 3.4 | 607.8 | 5.7 | 36.1 | ||
| SD | 8.5 | 0.4 | 0.0 | 2.3 | 8.5 | 0.9 | 248.2 | 1.5 | 9.0 | ||
| Mary Kathleen | Min. | 4.2 | --- | 0.2 | --- | 61.6 | 7.9 | 4.0 | --- | --- | |
| Max. | 253.7 | --- | 1.2 | --- | 280.1 | 188.6 | 104.5 | --- | --- | ||
| Mean | 74.5 | --- | 0.4 | --- | 151.8 | 78.4 | 30.8 | --- | --- | ||
| SD | 61.8 | --- | 0.3 | --- | 41.6 | 33.7 | 25.8 | --- | --- | ||
| Mount Garnet | Min. | 14.2 | 0.2 | 0.1 | 1.7 | 13.0 | 7.6 | 1010.0 | 1.1 | 9.5 | |
| Max. | 199.0 | 0.8 | 0.2 | 106.5 | 52.0 | 26.3 | 13,050.0 | 22.0 | 52.0 | ||
| Mean | 70.3 | 0.4 | 0.1 | 15.3 | 37.9 | 16.4 | 6077.2 | 7.9 | 22.9 | ||
| SD | 41.0 | 0.1 | 0.0 | 17.0 | 7.8 | 3.4 | 3143.2 | 4.9 | 6.1 | ||
| Rocklands | Min. | 37.5 | 0.2 | 0.2 | 0.9 | 113.0 | 52.5 | 12.0 | 0.8 | 7.9 | |
| Max. | 78.6 | 0.8 | 0.8 | 11.1 | 246.0 | 113.5 | 65.0 | 14.6 | 29.6 | ||
| Mean | 52.4 | 0.5 | 0.5 | 4.5 | 181.6 | 82.2 | 34.0 | 2.5 | 15.7 | ||
| SD | 6.3 | 0.2 | 0.2 | 2.8 | 39.1 | 16.5 | 19.5 | 2.6 | 6.1 | ||
| Wolfram Camp | Min. | 2.6 | 1.1 | 0.0 | 28.1 | 2.0 | 1.6 | 26.2 | 17.6 | 17.9 | |
| Max. | 296.8 | 2.6 | 0.1 | 2728.5 | 9.8 | 70.9 | 597.3 | 2429.3 | 34.9 | ||
| Mean | 17.4 | 1.8 | 0.0 | 540.8 | 6.0 | 15.7 | 106.3 | 371.3 | 25.0 | ||
| SD | 57.0 | 0.6 | 0.0 | 505.7 | 2.6 | 19.6 | 102.2 | 551.2 | 7.1 | ||
Publisher’s Note: MDPI stays neutral with regard to jurisdictional claims in published maps and institutional affiliations. |
© 2022 by the authors. Licensee MDPI, Basel, Switzerland. This article is an open access article distributed under the terms and conditions of the Creative Commons Attribution (CC BY) license (https://creativecommons.org/licenses/by/4.0/).
Share and Cite
Villa Gomez, D.; Sáez Salgado, E.; Mejías, O.; Pat-Espadas, A.M.; Pinedo Torres, L.A.; Jackson, L.; Parbhakar-Fox, A. Data Integration of Critical Elements from Mine Waste in Mexico, Chile and Australia. Minerals 2022, 12, 122. https://doi.org/10.3390/min12020122
Villa Gomez D, Sáez Salgado E, Mejías O, Pat-Espadas AM, Pinedo Torres LA, Jackson L, Parbhakar-Fox A. Data Integration of Critical Elements from Mine Waste in Mexico, Chile and Australia. Minerals. 2022; 12(2):122. https://doi.org/10.3390/min12020122
Chicago/Turabian StyleVilla Gomez, Denys, Enrique Sáez Salgado, Olivia Mejías, Aurora Margarita Pat-Espadas, Laura Alejandra Pinedo Torres, Laura Jackson, and Anita Parbhakar-Fox. 2022. "Data Integration of Critical Elements from Mine Waste in Mexico, Chile and Australia" Minerals 12, no. 2: 122. https://doi.org/10.3390/min12020122
APA StyleVilla Gomez, D., Sáez Salgado, E., Mejías, O., Pat-Espadas, A. M., Pinedo Torres, L. A., Jackson, L., & Parbhakar-Fox, A. (2022). Data Integration of Critical Elements from Mine Waste in Mexico, Chile and Australia. Minerals, 12(2), 122. https://doi.org/10.3390/min12020122

