Geochronological and Paleomagnetic Constraints on the Lower Cretaceous Dalazi Formation from the Yanji Basin, NE China, and its Tectonic Implication
Abstract
1. Introduction
2. Geologic Setting and Sampling
3. Sampling and Analytical Methods
3.1. Sampling
3.2. Rock Magnetic Measurements
3.3. Demagnetization of the Natural Remanent Magnetization (NRM)
3.4. SIMS U–Pb Zircon Geochronology Analytical Method
4. Results
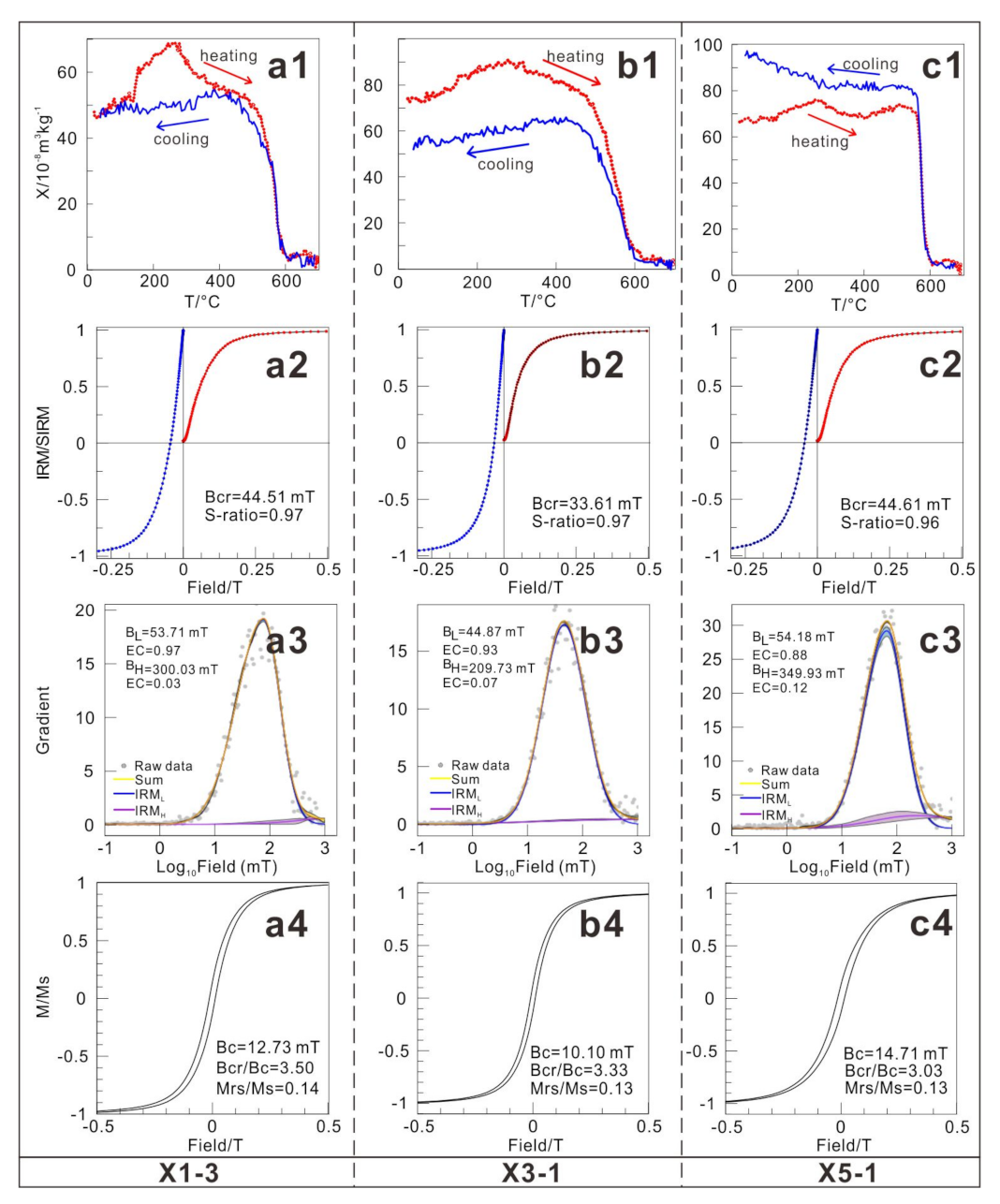
4.1. Rock Magnetism
4.2. Paleomagnetic Results
4.3. SIMS U–Pb Zircon Geochronology
5. Discussion
5.1. New Geochronologic Constraints on the Dalazi Formation in the Yanji Basin
5.2. Stratigraphic Correlation to Other Continental Rift Basins in Northeastern China and its Tectonic Implication

6. Conclusions
Supplementary Materials
Author Contributions
Funding
Data Availability Statement
Acknowledgments
Conflicts of Interest
References
- Zhou, Z.H.; Barrett, P.M.; Hilton, J. An exceptionally preserved Lower Cretaceous ecosystem. Nature 2003, 421, 807–814. [Google Scholar] [CrossRef] [PubMed]
- Yang, S.H.; He, H.Y.; Jin, F.; Zhang, F.C.; Wu, Y.B.; Yu, Z.Q.; Li, Q.L.; Wang, M.; O’Connor, J.K.; Deng, C.L.; et al. The appearance and duration of the Jehol Biota: Constraint from SIMS U-Pb zircon dating for the Huajiying Formation in northern China. Proc. Natl. Acad. Sci. USA 2020, 117, 14299–14305. [Google Scholar] [CrossRef] [PubMed]
- He, H.Y.; Deng, C.L.; Wang, P.J.; Pan, Y.X.; Zhu, R.X. Toward age determination of the termination of the Cretaceous Normal Superchron. Geochem. Geophys. Geosyst. 2012, 13, 02002. [Google Scholar] [CrossRef]
- Deng, C.L.; He, H.Y.; Pan, Y.X.; Zhu, R.X. Chronology of the terrestrial Upper Cretaceous in the Songliao Basin, northeast Asia. Palaeogeogr. Palaeoclim. Palaeoecol. 2013, 385, 44–54. [Google Scholar] [CrossRef]
- Wang, C.S.; Scott, R.W.; Wan, X.Q.; Graham, S.A.; Huang, Y.J.; Wang, P.J.; Wu, H.C.; Dean, W.E.; Zhang, L.M. Late Cretaceous climate changes recorded in Eastern Asian lacustrine deposits and North American Epieric sea strata. Earth-Sci. Rev. 2013, 126, 275–299. [Google Scholar] [CrossRef]
- Xi, D.P.; Wan, X.Q.; Li, G.B.; Li, G. Cretaceous integrative stratigraphy and timescale of China. Sci. China Earth Sci. 2019, 62, 256–286. [Google Scholar] [CrossRef]
- Yu, Z.Q.; He, H.Y.; Deng, C.L.; Xi, D.P.; Qin, Z.H.; Wan, X.Q.; Wang, C.S.; Zhu, R.X. New geochronological constraints for the Upper Cretaceous Nenjiang Formation in the Songliao Basin, NE China. Cretac. Res. 2019, 102, 160–169. [Google Scholar] [CrossRef]
- Yu, Z.Q.; He, H.Y.; Deng, C.L.; Lu, K.; Shen, Z.S.; Li, Q.L. New SIMS U-Pb geochronology for the Shahezi Formation from CCSD-SK-IIe borehole in the Songliao Basin, NE China. Sci. Bull. 2020, 65, 1049–1051. [Google Scholar] [CrossRef]
- Zhu, R.X.; Xu, Y.G.; Zhu, G.; Zhang, H.F.; Xia, Q.K.; Zheng, T.Y. Destruction of the North China Craton. Sci. China Earth Sci. 2012, 55, 1565–1587. [Google Scholar] [CrossRef]
- Gao, Y.; Ibarra, D.E.; Wang, C.S.; Caves, J.K.; Chamberlain, C.P.; Graham, S.A.; Wu, H.C. Mid-latitude terrestrial climate of East Asia linked to global climate in the Late Cretaceous. Geology 2015, 43, 287–290. [Google Scholar] [CrossRef]
- Zhang, L.M.; Wang, C.S.; Wignall, P.B.; Kluge, T.; Wan, X.Q.; Wang, Q.; Gao, Y. Deccan volcanism caused coupled pCO2 and terrestrial temperature rises, and pre-impact extinctions in northern China. Geology 2018, 46, 271–274. [Google Scholar] [CrossRef]
- Wan, X.Q.; Zhao, J.; Scott, R.W.; Wang, P.J.; Feng, Z.H.; Huang, Q.H.; Xi, D.P. Late Cretaceous stratigraphy, Songliao Basin, NE China: SK1 cores. Palaeogeogr. Palaeoclim. Palaeoecol. 2013, 385, 31–43. [Google Scholar] [CrossRef]
- Li, S.Q.; He, S.; Chen, F.K. Provenance changes across the mid-Cretaceous unconformity in basins of northeastern China: Evidence for an integrated paleolake system and tectonic transformation. Geol. Soc. Am. Bull. 2020, 133, 185–198. [Google Scholar] [CrossRef]
- Li, Y.J.; He, H.Y.; Deng, C.L.; Pan, Y.X.; Ji, Q.; Wang, C.S.; Zheng, D.W.; Zhu, R.X. 40Ar/39Ar dating results from the Shijiatun Formation, Jiaolai Basin: New age constraints on the Cretaceous terrestrial volcanic-sedimentary sequence of China. Cretac. Res. 2018, 86, 251–260. [Google Scholar] [CrossRef]
- Han, F.; Sun, J.P.; Qin, H.F.; Wang, H.P.; Ji, Q.; He, H.Y.; Deng, C.L.; Pan, Y.X. Magnetostratigraphy of the Upper Cretaceous and Lower Paleocene terrestrial sequence, Jiaolai Basin, eastern China. Palaeogeogr. Palaeoclim. Palaeoecol. 2020, 538, 109451. [Google Scholar] [CrossRef]
- Wilf, P.; Johnson, K.R.; Huber, B.T. Correlated terrestrial and marine evidence for global climate changes before mass extinction at the Cretaceous-Paleogene boundary. Proc. Natl. Acad. Sci. USA 2003, 100, 599–604. [Google Scholar] [CrossRef] [PubMed]
- Scotese, C.R.; Song, H.; Mills, B.J.; van der Meer, D.G. Phanerozoic paleotemperatures: The earth’s changing climate during the last 540 million years. Earth-Sci. Rev. 2021, 215, 103503. [Google Scholar] [CrossRef]
- Haq, B.U.; Hardenbol, J.; Vail, P.R. Chronology of Fluctuating Sea Levels since the Triassic. Science 1987, 235, 1156–1167. [Google Scholar] [CrossRef] [PubMed]
- Haq, B.U. Cretaceous eustasy revisited. Glob. Planet. Chang. 2014, 113, 44–58. [Google Scholar] [CrossRef]
- Chang, M.M.; Chou, C.C.; Liu, C.C. The age and depositional environment of Cretaceous fish–bearing strata of Northeast China. Vertebr. Palasiat. 1977, 15, 194–197, (In Chinese with English Abstract). [Google Scholar]
- Zhou, Z.Y.; Chen, P.J.; Li, B.X.; Li, W.B.; Wen, S.X.; Zhang, L.J.; Ye, M.N.; Liu, Z.S.; Li, Z.P.; Yang, X.L. Younger Mesozoic non-marine deposits of the Yanbian area, eastern Jilin. Bull. Nanjing Inst. Geol. Palaeontol. Acad. Sin. 1980, 1, 1–21. [Google Scholar]
- Li, G.Q. Discovery of the Chinese Bowfin in Eastern Jilin. Acta Vertebr. Sin. 1984, 22, 67–94, (In Chinese with English Abstract). [Google Scholar]
- Li, G.Q. A new genus of Hiodontidae from Luozigou basin, Easte Jilin. Vertebr. Palasiat. 1987, 25, 91–107, (In Chinese with English Abstract). [Google Scholar]
- Tao, J.R.; Zhang, C.B. Early Cretaceous angiosperms of the Yanji basin, Jilin province. Acta Bot. Sin. 1990, 32, 220–229. [Google Scholar]
- Choi, B.D.; Wang, Y.Q.; Hu, L.; Huh, M. Ostracod faunas from the Dalazi and Tongfosi formations (Yanji Basin, northeast China): Biostratigraphic, palaeogeographic and palaeoecological implications. Cretac. Res. 2020, 105, 104018. [Google Scholar] [CrossRef]
- Zhong, Y.T.; Wang, Y.Q.; Jia, B.Y.; Wang, M.; Hu, L.; Pan, Y.H. A potential terrestrial Albian–Cenomanian boundary in the Yanji Basin, Northeast China. Palaeogeogr. Palaeoclim. Palaeoecol. 2021, 562, 110088. [Google Scholar] [CrossRef]
- Yang, X.J.; Deng, S.H. Discovery of Pseudofrenelopsis gansuensis from the Lower Cretaceous of Wangqing, Jilin Province, and its significance in correlation of Cretaceous red beds in China. Acta Geol. Sin. Engl. Ed. 2007, 81, 905–910. [Google Scholar]
- Xu, Q.; Yang, X.J. Preliminary Study of Flora from the Upper Lower Cretaceous Dalazi Formation in Luozigou Basin, Wangqing, Jilin Province, Northeast China. Open J. Geol. 2019, 9, 581–584. [Google Scholar] [CrossRef]
- Deng, S.H.; Lu, Y.Z.; Fan, R.; Li, X.; Liu, L. Cretaceous floras and biostratigraphy of China. J. Stratigr. 2012, 36, 241–265, (In Chinese with English Abstract). [Google Scholar]
- Zhang, J.G.; Qiao, D.W.; Jin, Y.J.; Liu, Y.J.; Deng, C.W.; Cong, P.H.; Zhang, D.H. Multi-unconformity stage and its oil-gas geological significance in the Yanji Basin. J. Jilin Univ. Earth Sci. Ed. 2013, 43, 1772–1778, (In Chinese with English Abstract). [Google Scholar]
- Zhu, J.C.; Meng, Q.R.; Feng, Y.L.; Yuan, H.Q.; Wu, F.C.; Wu, H.B.; Wu, G.L.; Zhu, R.X. Decoding stratigraphic evolution of the Hailar Basin: Implications for the late Mesozoic tectonics of NE China. Geol. J. 2020, 55, 1750–1762. [Google Scholar] [CrossRef]
- Sun, Y.W.; Liu, H.; Wan, C.B.; Quan, C. In situ spores of Asplenium and their implications for the evolution of the Aspleniaceae: A case study from the Lower Cretaceous Changcai Formation in eastern Jilin Province, China. Cretac. Res. 2010, 31, 424–432. [Google Scholar] [CrossRef]
- Sun, Y.W.; Li, X.; Zhao, G.W.; Liu, H.; Zhang, Y.L. Aptian and Albian atmospheric CO2 changes during oceanic anoxic events: Evidence from fossil Ginkgo cuticles in Jilin Province, Northeast China. Cretac. Res. 2016, 62, 130–141. [Google Scholar] [CrossRef]
- Li, X.; Gao, Y.; Zhang, D.J.; Ding, H.S.; Yang, Z.Y.; Sun, Y.W. U-Pb age of the Dalazi Formation in the Zhixin Basin, Yanbian, Jilin. In Proceedings of the 28th Annual Academic Conference of the PSC, Shenyang, China, 11–14 August 2015; pp. 165–166. [Google Scholar]
- Zhang, L.Z.; Jin, C.Z.; Yin, Q.Z.; Huyskens, M.; Jin, D.C.; Zhang, J.L.; Jin, F.; Xu, X. A new dinosaur fossil locality of Mid-Cretaceous age in northeastern China. In Proceedings of the Society of Vertebrate Palaeontology 78th Annual Meeting, Albuquerque, NM, USA, 17–20 October 2018; p. 236. [Google Scholar]
- Zhang, G.F. Discussion on the geological age of the Dalazi Formation in Jilin province, China. J. Stratigr. 2005, 29, 381–388. [Google Scholar]
- Li, X.M.; Gong, G.L. Constraints from fission track thermochronology for geological age of Dalazi Formation in Jilin Province, China. At. Energy Sci. Technol. 2008, 42, 565–567. [Google Scholar]
- Wu, F.Y.; Sun, D.Y.; Ge, W.C.; Zhang, Y.B.; Grant, M.L.; Wilde, S.A.; Jahn, B.M. Geochronology of the Phanerozoic granitoids in northeastern China. J. Asian Earth Sci. 2011, 41, 1–30. [Google Scholar] [CrossRef]
- Li, G.; Ohta, T.; Batten, D.J.; Sakai, T.; Kozai, T. Morphology and phylogenetic origin of the spinicaudatan Neodiestheria from the Lower Cretaceous Dalazi Formation, Yanji Basin, north-eastern China. Cretac. Res. 2016, 62, 183–193. [Google Scholar] [CrossRef]
- Teng, X.; Li, G. Clam shrimp genus Ordosestheria from the Lower Cretaceous Dalazi Formation in Jilin Province, north-eastern China. Cretac. Res. 2017, 78, 196–205. [Google Scholar] [CrossRef]
- Sun, G.; Zheng, S.L. New proposal on division and correlation of Mesozoic from northeastern China. J. Stratigr. 2000, 24, 60–64, (In Chinese with English Abstract). [Google Scholar]
- Gale, A.S.; Mutterlose, J.; Batenburg, S.; Gradstein, F.M.; Agterberg, F.P.; Ogg, J.G.; Petrizzo, M.R. The Cretaceous Period. In Geologic Time Scale 2020; Elsevier: Amsterdam, The Netherlands, 2020; Volume 2, pp. 1023–1086. [Google Scholar]
- Jin, D.C.; Zhang, J.L.; Xu, X.; Jin, C.Z.; Jin, F.; Cai, Y.Y. A preliminary report on the Yanji dinosaur fauna in Jilin. Acta Palaeontol. Sin. 2018, 57, 495–503, (In Chinese with English Abstract). [Google Scholar]
- Day, R.; Fuller, M.; Schmidt, V.A. Hysteresis properties of titanomagnetites: Grain-size and compositional dependence. Phys. Earth Planet. Inter. 1977, 13, 260–267. [Google Scholar] [CrossRef]
- Robertson, D.J.; France, D.E. Discrimination of remanence-carrying minerals in mixtures, using isothermal remanent magnetisation acquisition curves. Phys. Earth Planet. Inter. 1994, 82, 223–234. [Google Scholar] [CrossRef]
- Kruiver, P.P.; Dekkers, M.J.; Heslop, D. Quantification of magnetic coercivity components by the analysis of acquisition curves of isothermal remanent magnetisation. Earth Planet. Sci. Lett. 2001, 189, 269–276. [Google Scholar] [CrossRef]
- Heslop, D.; Dekkers, M.J.; Kruiver, P.P.; Van Oorschot, I. Analysis of isothermal remanent magnetization acquisition curves using the expectation-maximization algorithm. Geophys. J. Int. 2002, 148, 58–64. [Google Scholar] [CrossRef]
- Qin, H.F.; Zhao, X.M.; Liu, S.C.; Paterson, G.A.; Jiang, Z.X.; Cai, S.H.; Li, J.H.; Liu, Q.S.; Zhu, R.X. An ultra-low magnetic field thermal demagnetizer for high-precision paleomagnetism. Earth Planets Space 2020, 72, 1–12. [Google Scholar] [CrossRef]
- Kirschvink, J.L. The least-squares line and plane and the analysis of palaeomagnetic data. Geophys. J. Int. 1980, 62, 699–718. [Google Scholar] [CrossRef]
- Jones, C.H. User-driven integrated software lives: “Paleomag” paleomagnetics analysis on the Macintosh. Comput. Geosci. 2002, 28, 1145–1151. [Google Scholar] [CrossRef]
- Sláma, J.; Košler, J.; Condon, D.J.; Crowley, J.L.; Gerdes, A.; Hanchar, J.M.; Horstwood, M.S.; Morris, G.A.; Nasdala, L.; Norberg, N. Plešovice zircon—A new natural reference material for U–Pb and Hf isotopic microanalysis. Chem. Geol. 2008, 249, 1–35. [Google Scholar] [CrossRef]
- Li, X.H.; Liu, Y.; Li, Q.L.; Guo, C.H.; Chamberlain, K.R. Precise determination of Phanerozoic zircon Pb/Pb age by multicollector SIMS without external standardization. Geochem. Geophys. Geosystems 2009, 10, Q04010. [Google Scholar]
- Li, X.H.; Tang, G.Q.; Gong, B.; Yang, Y.H.; Hou, K.J.; Hu, Z.C.; Li, Q.L.; Liu, Y.; Li, W.X. Qinghu zircon: A working reference for microbeam analysis of U-Pb age and Hf and O isotopes. Chin. Sci. Bull. 2013, 58, 4647–4654. [Google Scholar] [CrossRef]
- Li, Q.L.; Li, X.H.; Liu, Y.; Tang, G.Q.; Yang, J.H.; Zhu, W.G. Precise U–Pb and Pb–Pb dating of Phanerozoic baddeleyite by SIMS with oxygen flooding technique. J. Anal. At. Spectrom. 2010, 25, 1107–1113. [Google Scholar] [CrossRef]
- Stacey, J.S.; Kramers, J.D. Approximation of terrestrial lead isotope evolution by a two-stage model. Earth Planet. Sci. Lett. 1975, 26, 207–221. [Google Scholar] [CrossRef]
- Ludwig, K.R. Isoplot 3.75: A Geochronological Toolkit for Microsoft Excel. Berkeley CA Berkeley Geochronol. Cent. Spec. Publ. 2012, 5, 1–75. [Google Scholar]
- Deng, C.L.; Zhu, R.X.; Jackson, M.J.; Verosub, K.L.; Singer, M.J. Variability of the temperature-dependent susceptibility of the Holocene eolian deposits in the Chinese loess plateau: A pedogenesis indicator. Phys. Chem. Earth Part A Solid Earth Geod. 2001, 26, 873–878. [Google Scholar] [CrossRef]
- Oches, E.A.; Banerjee, S.K. Rock-magnetic proxies of climate change from loess -paleosol sediments of the Czech Republic. Stud. Geophys. Geod. 1996, 40, 287–300. [Google Scholar] [CrossRef]
- Roberts, A.P.; Pike, C.R.; Verosub, K.L. First-order reversal curve diagrams: A new tool for characterizing the magnetic properties of natural samples. J. Geophys. Res. Solid Earth 2000, 105, 28461–28475. [Google Scholar] [CrossRef]
- Muxworthy, A.R.; Dunlop, D.J. First-order reversal curve (FORC) diagrams for pseudo-single-domain magnetites at high temperature. Earth Planet. Sci. Lett. 2002, 203, 369–382. [Google Scholar] [CrossRef]
- Zijderveld, J.D.A. Ac Demagnetization of Rocks: Analysis of Results; Elsevier: New York, NY, USA, 1967; Volume 3, pp. 254–286. [Google Scholar]
- Zhang, H.C. Early Cretaceous insects from the Dalazi Formation of the Zhixin Basin, Jilin Province, China. Palaeoworld 1997, 7, 75–103. [Google Scholar]
- Li, X.H.; Liu, X.M.; Liu, Y.S.; Su, L.; Sun, W.D.; Huang, H.Q.; Yi, K. Accuracy of LA-ICPMS zircon U-Pb age determination: An inter-laboratory comparison. Sci. China Earth Sci. 2015, 58, 1722–1730. [Google Scholar] [CrossRef]
- Ren, J.Y.; Tamaki, K.; Li, S.T.; Zhang, J.X. Late Mesozoic and Cenozoic rifting and its dynamic setting in Eastern China and adjacent areas. Tectonophysics 2002, 344, 175–205. [Google Scholar] [CrossRef]
- Zhu, R.X.; Xu, Y.G. The subduction of the west Pacific plate and the destruction of the North China Craton. Sci. China Earth Sci. 2019, 62, 1340–1350. [Google Scholar] [CrossRef]
- Wang, T.T.; Ramezani, J.; Wang, C.S.; Wu, H.C.; He, H.Y.; Bowring, S.A. High-precision U–Pb geochronologic constraints on the Late Cretaceous terrestrial cyclostratigraphy and geomagnetic polarity from the Songliao Basin, Northeast China. Earth Planet. Sci. Lett. 2016, 446, 37–44. [Google Scholar] [CrossRef]
- Liu, S.; Gao, Y.F.; Yin, Y.K.; Liu, H.B.; Li, H.H.; Wang, P.J. Fine description and geological age delineation of sedimentary sequences of second member of Denlouku Formation based on ICDP scientific drilling borehole in Songliao Basin (SK2). World Geol. 2019, 38, 1032–1043, (In Chinese with English Abstract). [Google Scholar]
- Zhang, F.Q.; Chen, H.L.; Yu, X.; Dong, C.W.; Yang, S.F.; Pang, Y.M.; Batt, G.E. Early Cretaceous volcanism in the northern Songliao Basin, NE China, and its geodynamic implication. Gondwana Res. 2011, 19, 163–176. [Google Scholar] [CrossRef]
- Zhang, F.Q.; Dilek, Y.; Chen, H.L.; Yang, S.F.; Meng, Q.A. Structural architecture and stratigraphic record of Late Mesozoic sedimentary basins in NE China: Tectonic archives of the Late Cretaceous continental margin evolution in East Asia. Earth-Sci. Rev. 2017, 171, 598–620. [Google Scholar] [CrossRef]
- Huang, Q.H.; Wu, H.C.; Wan, X.Q.; He, H.Y.; Deng, C.L. New progress of integrated chronostratigraphy of the Cretaceous in Songliao Basin. J. Stratigr. 2011, 35, 250–257, (In Chinese with English Abstract). [Google Scholar]
- Zhang, S.; Fang, S.; Shao, H.J.; Wang, S.L.; Zhao, Y.; Ping, S.F. A New Zircon U–Pb Age of 107.15 Ma for the Dongshan Formation, Boli Basin, Northeast China. Acta Geol. Sin. 2020, 94, 568–571. [Google Scholar] [CrossRef]
- Chen, D.X.; Zhang, F.Q.; Tian, Y.T.; Zhou, Z.H.; Dilek, Y. Timing of the late Jehol Biota: New geochronometric constraints from the Jixi Basin, NE China. Palaeogeogr. Palaeoclim. Palaeoecol. 2018, 492, 41–49. [Google Scholar] [CrossRef]
- Zhao, L.; Gao, F.H.; Zhang, Y.L.; Xu, H.M.; Zhang, L.Y. Zircon U-Pb chronology and its geological implications of Mesozoic volcanic rocks from the Hailaer basin. Acta Petrol. Sin. 2013, 29, 864–874. [Google Scholar]
- Wang, Y.Q.; Sha, J.G.; Pan, Y.H.; Zhang, X.L.; Rao, X. Non-marine Cretaceous ostracod assemblages in China: A preliminary review. J. Stratigr. 2012, 36, 289–299. [Google Scholar]
- Zhang, L.J. Late Jurassic and early Cretaceous ostracod assemblages of Northeast China. Sci. China Ser. B Chem. Biol. Agric. Med. Earth Sci. 1988, 31, 1374–1386. [Google Scholar]
- Wu, H.Y.; Huang, Q.H.; Dang, Y.M.; Kong, H.; Wang, L.Q. Achievements in the study on Cretaceous biostratigraphy of the Hailaer Basin, Inner Mongolia. Acta Palaeontol. Sin. 2006, 45, 283–291, (In Chinese with English Abstract). [Google Scholar]
- Zhang, F.Q.; Chen, H.L.; Batt, G.E.; Dilek, Y.; Min-Na, A.; Sun, M.D.; Yang, S.F.; Meng, Q.A.; Zhao, X.Q. Detrital zircon U–Pb geochronology and stratigraphy of the Cretaceous Sanjiang Basin in NE China: Provenance record of an abrupt tectonic switch in the mode and nature of the NE Asian continental margin evolution. Tectonophysics 2015, 665, 58–78. [Google Scholar] [CrossRef]







| Layers | Lithological Descriptions | Thickness/m |
|---|---|---|
| 1. | Yellow thick-bedded medium-fine grained sandstones. | 0.8 |
| 2. | Gray green thin-bedded medium-fine grained sandstones. | 1.5 |
| 3. | Grayish green medium-thick bedded medium grained sandstone. | 0.3 |
| 4. | Light gray green thin-bedded argillaceous siltstones. | 1.4 |
| 5. | Light gray green thick-bedded medium fine sandstones at the bottom, changes to light gray green thin-bedded fine sandstone upward. | 0.4 |
| 6. | Dark grayish green and grayish black thin-bedded silty shales (oil shales). | 0.2 |
| 7. | Yellow thick-bedded siltstones, intercalated with gray black thin-bedded silty mudstones. | 0.9 |
| 8. | Yellow thick-bedded gravelly coarse sandstones. | 0.2 |
| 9. | Purplish red medium-thin bedded silty mudstones. | 0.3 |
| 10. | Yellow thick-bedded medium-coarse grained sandstones. | 1.8 |
| 11. | Variegated (grayish green, dark purple) thin-bedded silty mudstones, intercalated with calcareous nodules. | 1.2 |
| 12. | Yellow thick-bedded medium-coarse gravelly sandstones. | 0.8 |
| 13. | Grayish green medium-thin bedded siltstones. | 2.3 |
| 14. | Dark and brown thin-bedded siltstone (tuffaceous siltstone?), yields plant rhizome fossils. | 0.9 |
| 15. | Light red thin-bedded tuffs, containing impurities (silty). Poor consolidation and scattered. | 1.1 |
| 16. | Light gray green thick-bedded tuffs, show good consolidation. | 1.9 |
| 17. | Gray green thick-bedded siltstones, interbedded with gray green thin-bedded argillaceous siltstones. | 1.6 |
| 18. | of Yellow thin-bedded siltstones, interbedded with sandstones. | 3.1 |
| Conventional Concordia Columns (Pbc corr.) | |||||||||||||
|---|---|---|---|---|---|---|---|---|---|---|---|---|---|
| Sample/ | U | Th | Th/U | f206% | 207Pb/235U | ±σ | 206Pb/238U | ±σ | ρ | 207Pb/235U | ±σ | 206Pb/238U | ±σ |
| Spot | (ppm) | (ppm) | (meas) | (%) | (%) | ||||||||
| XAT15M2@01 | 658 | 299 | 0.455 | 0.44 | 0.111 | 2.56 | 0.0162 | 1.92 | 0.75 | 107.1 | 2.6 | 103.9 | 2.0 |
| XAT15M2@02 | 494 | 202 | 0.409 | 0.21 | 0.110 | 2.55 | 0.0164 | 1.61 | 0.63 | 105.8 | 2.6 | 105.1 | 1.7 |
| XAT15M2@04 | 751 | 266 | 0.354 | 0.76 | 0.108 | 4.07 | 0.0165 | 3.30 | 0.81 | 103.8 | 4.0 | 105.4 | 3.4 |
| XAT15M2@05 | 1078 | 680 | 0.631 | 0.46 | 0.109 | 3.14 | 0.0164 | 1.67 | 0.53 | 104.9 | 3.1 | 105.0 | 1.7 |
| XAT15M2@06 | 479 | 100 | 0.208 | 0.25 | 0.110 | 2.40 | 0.0169 | 1.88 | 0.78 | 106.0 | 2.4 | 107.7 | 2.0 |
| XAT15M2@07 | 469 | 96 | 0.204 | 0.46 | 0.110 | 4.23 | 0.0165 | 3.85 | 0.91 | 106.3 | 4.3 | 105.3 | 4.0 |
| XAT15M2@08 | 835 | 360 | 0.432 | 0.45 | 0.111 | 3.59 | 0.0163 | 2.46 | 0.68 | 107.3 | 3.7 | 104.0 | 2.5 |
| XAT15M2@10 | 412 | 240 | 0.584 | 0.68 | 0.108 | 3.57 | 0.0164 | 1.75 | 0.49 | 103.8 | 3.5 | 105.1 | 1.8 |
| XAT15M2@11 | 480 | 154 | 0.320 | 0.56 | 0.108 | 3.08 | 0.0168 | 1.75 | 0.57 | 103.8 | 3.0 | 107.4 | 1.9 |
| XAT15M2@12 | 609 | 222 | 0.364 | 0.09 | 0.109 | 2.50 | 0.0158 | 2.07 | 0.83 | 105.1 | 2.5 | 101.3 | 2.1 |
| XAT15M2@13 | 890 | 311 | 0.350 | 0.15 | 0.111 | 2.10 | 0.0165 | 1.68 | 0.80 | 106.7 | 2.1 | 105.4 | 1.8 |
| XAT15M2@14 | 139 | 73 | 0.525 | 0.42 | 0.107 | 2.30 | 0.0166 | 1.66 | 0.72 | 103.5 | 2.3 | 106.2 | 1.8 |
| XAT15M2@15 | 621 | 356 | 0.574 | 0.37 | 0.104 | 2.88 | 0.0163 | 2.41 | 0.84 | 100.7 | 2.8 | 104.3 | 2.5 |
| XAT15M2@16 | 1679 | 794 | 0.473 | 0.16 | 0.110 | 3.71 | 0.0163 | 3.46 | 0.93 | 106.4 | 3.8 | 104.4 | 3.6 |
| XAT15M2@17 | 525 | 480 | 0.915 | 0.18 | 0.112 | 2.04 | 0.0168 | 1.89 | 0.93 | 107.8 | 2.1 | 107.7 | 2.0 |
| XAT15M2@18 | 400 | 152 | 0.381 | 0.21 | 0.109 | 3.20 | 0.0163 | 2.47 | 0.77 | 105.2 | 3.2 | 104.4 | 2.6 |
| XAT15M2@19 | 473 | 211 | 0.446 | 0.12 | 0.112 | 1.96 | 0.0169 | 1.57 | 0.80 | 107.9 | 2.0 | 108.2 | 1.7 |
| XAT15M2@20 | 892 | 244 | 0.274 | 0.38 | 0.108 | 2.34 | 0.0164 | 1.57 | 0.67 | 103.9 | 2.3 | 105.1 | 1.6 |
| XAT15M2@21 | 702 | 52 | 0.074 | 0.45 | 0.112 | 3.42 | 0.0167 | 2.53 | 0.74 | 107.5 | 3.5 | 106.8 | 2.7 |
| XAT15M2@22 | 345 | 107 | 0.310 | 0.55 | 0.112 | 3.95 | 0.0172 | 3.41 | 0.86 | 108.0 | 4.1 | 110.0 | 3.7 |
| XAT15M2@23 | 1517 | 801 | 0.528 | 1.00 | 0.107 | 3.05 | 0.0166 | 1.62 | 0.53 | 103.0 | 3.0 | 105.9 | 1.7 |
| XAT15M2@24 | 467 | 172 | 0.369 | 0.17 | 0.112 | 2.37 | 0.0165 | 2.10 | 0.89 | 108.0 | 2.4 | 105.8 | 2.2 |
| XAT15M2@25 | 544 | 172 | 0.316 | 0.19 | 0.112 | 2.08 | 0.0170 | 1.86 | 0.89 | 107.4 | 2.1 | 108.9 | 2.0 |
| XAT15M2@26 | 466 | 294 | 0.630 | 0.23 | 0.108 | 2.52 | 0.0161 | 1.95 | 0.77 | 104.4 | 2.5 | 103.0 | 2.0 |
| XAT15M2@28 | 503 | 246 | 0.489 | 0.81 | 0.110 | 2.65 | 0.0170 | 2.11 | 0.80 | 106.0 | 2.7 | 108.9 | 2.3 |
| XAT15M2@30 | 723 | 371 | 0.513 | 0.23 | 0.110 | 2.18 | 0.0168 | 1.63 | 0.75 | 106.0 | 2.2 | 107.1 | 1.7 |
| XAT15M2@31 | 694 | 225 | 0.324 | 0.18 | 0.112 | 2.45 | 0.0165 | 1.71 | 0.70 | 107.5 | 2.5 | 105.3 | 1.8 |
| XAT15M2@32 | 1071 | 585 | 0.547 | 7.51 | 0.105 | 8.26 | 0.0162 | 1.85 | 0.22 | 101.7 | 8.0 | 103.7 | 1.9 |
| XAT15M2@03 | 367 | 204 | 0.557 | 1.34 | 0.100 | 4.60 | 0.0159 | 1.73 | 0.38 | 96.5 | 4.2 | 101.6 | 1.7 |
| XAT15M2@09 | 361 | 144 | 0.400 | 0.31 | 0.126 | 4.51 | 0.0184 | 4.10 | 0.91 | 120.9 | 5.2 | 117.8 | 4.8 |
| XAT15M2@29 | 1098 | 469 | 0.428 | 0.12 | 0.199 | 5.13 | 0.0274 | 4.50 | 0.88 | 184.3 | 8.7 | 174.5 | 7.8 |
Publisher’s Note: MDPI stays neutral with regard to jurisdictional claims in published maps and institutional affiliations. |
© 2021 by the authors. Licensee MDPI, Basel, Switzerland. This article is an open access article distributed under the terms and conditions of the Creative Commons Attribution (CC BY) license (https://creativecommons.org/licenses/by/4.0/).
Share and Cite
Shen, Z.; Yu, Z.; Ye, H.; Qin, Z.; Xi, D. Geochronological and Paleomagnetic Constraints on the Lower Cretaceous Dalazi Formation from the Yanji Basin, NE China, and its Tectonic Implication. Minerals 2021, 11, 527. https://doi.org/10.3390/min11050527
Shen Z, Yu Z, Ye H, Qin Z, Xi D. Geochronological and Paleomagnetic Constraints on the Lower Cretaceous Dalazi Formation from the Yanji Basin, NE China, and its Tectonic Implication. Minerals. 2021; 11(5):527. https://doi.org/10.3390/min11050527
Chicago/Turabian StyleShen, Zhongshan, Zhiqiang Yu, Hanqing Ye, Zuohuan Qin, and Dangpeng Xi. 2021. "Geochronological and Paleomagnetic Constraints on the Lower Cretaceous Dalazi Formation from the Yanji Basin, NE China, and its Tectonic Implication" Minerals 11, no. 5: 527. https://doi.org/10.3390/min11050527
APA StyleShen, Z., Yu, Z., Ye, H., Qin, Z., & Xi, D. (2021). Geochronological and Paleomagnetic Constraints on the Lower Cretaceous Dalazi Formation from the Yanji Basin, NE China, and its Tectonic Implication. Minerals, 11(5), 527. https://doi.org/10.3390/min11050527

