Abstract
We investigated optical bistability and its temperature dependence in a composite system composed of an all-superconducting photonic crystal and graphene. The photonic crystal, constructed from two types of superconducting sheets, and which is temperature-sensitive and can greatly localize the electric field, alternately supports a defect mode in a cryogenic environment. Graphene is located at the strongest site in the electric field, so the third-order nonlinearity of graphene is enhanced tremendously, and, subsequently, low thresholds of optical bistability are achieved in the near-infrared region. The thresholds of optical bistability and the interval between the upper and lower thresholds decrease with the increase in environmental temperature, while the bistable thresholds increase with the addition of the incident wavelength. Furthermore, the critical threshold triggering optical bistability can be modulated by environment temperature and the periodic number of photonic crystals as well. The simulations may be found to be applicable for all temperature-sensitive optical switches or sensors in cryogenic environments.
1. Introduction
Optical bistability is a nonlinear effect arising from the refractive index of material dependent on the local electric field, of which one incident intensity of light corresponds to two transmitted values of light intensity, similar to hysteresis [1]. With the development of all-optical communication technology, the investigation into optical bistability has become a popular subject, with applications ranging from theories to experiments [2,3,4,5,6,7,8]. Many advanced materials and new structures for achieving optical bistability have been proposed in recent years, such as graphene [9,10,11], photonic crystals [12,13,14], hyperbolic metamaterials [15], optical waveguides [16], non-Hermitian systems [17], etc.
We know that there are obvious optical nonlinearity phenomena arising from permittivity governed by locally strong light intensity, such as regeneration based on inducing nonlinear chirps, self-phase modulation, fiber lasers, and all-optical generation [18,19,20]. The need for strong intensity presents a difficulty in realizing optical bistability. Therefore, studies in optical bistability mainly focus on decreasing the upper and lower thresholds of optical bistability and conveniently modulating optical bistability through external measures [21,22]. The upper and lower thresholds are the critical values triggering the optically bistable effects. The defect modes in photonic crystals and stationary wave resonances can be utilized to enhance local electric fields, and consequently, the third-order nonlinearity of materials is strengthened as well [21]. Low-threshold optical bistability is subsequently induced in these structures. In addition, graphene has great third-order conductance, and the conductivity of graphene depends on environment temperature, phenomenological relaxation time, and chemical potential [23,24,25,26]. In particular, the chemical potential of graphene can be tuned by iron doping and external gate voltage [27]. The literature about the research progress on graphene (arrays) and superconductor photonic crystals is listed in Table 1.
Table 1.
Research progress on graphene (arrays) and superconductor photonic crystals.
Previous explorations of the optical bistability of graphene mainly concentrated on conventional materials and photonic crystals at room temperature [9,10]. However, photonic crystals composed of all-superconducting materials support Fano resonances and optical fractals, which can localize the electric field greatly under cryogenic environments, and their optical properties are sensitive to environment temperature [41]. Therefore, it is meaningful to build a photonic crystal that is all-superconducting and combined with graphene to realize the cryogenic localization of the electric field, and, further, to obtain low-threshold tunable optical bistability in a cryogenic environment.
An all-superconducting periodic photonic crystal and graphene are incorporated into a composite structure. The defect mode and its temperature dependence are explored in the system. Then, we show the localization of the electric field and enhancement of the nonlinearity of graphene around the defect mode. Optical bistability is subsequently studied by changing the temperature in the cryogenic environment and the incident wavelength. The dependence of the upper and lower thresholds of optical bistability and the interval between the upper and lower thresholds on environment temperature and the incident wavelength are studied as well. The optical bistable phenomenon could be utilized for all optical switches and temperature and wavelength sensors in a cryogenic environment.
2. Complex System Composed of All-Superconducting Photonic Crystals and Graphene
The whole system is composed of all-superconducting photonic crystals and graphene. Two truncated all-superconducting photonic crystals, which are arrayed by alternative superconductors A and B along the Z-axis, form a defective photonic crystal. The defective photonic crystal is axisymmetrical to the Y-axis, and graphene G is embedded at the center of this defective photonic crystal. The composite system can be denoted by (AB)NAGA(BA)N, where N is a positive integer and is defined as the periodic number of photonic crystals. Figure 1 gives the schematic of the system in the case of N = 3. The multilayers are symmetric to graphene and can be viewed as a defective photonic crystal.
Figure 1.
Schematic of all-superconducting defect photonic crystal with graphene.
In the all-superconducting photonic crystal, we choose HgBa2Ca2Cu3O8+δ for lattice element A and BSCCO for lattice element B. The dielectric constants of superconductors A and B are governed by the rule
where the parameter of λA,B is called as the London penetration depth, ω = 2πc/λ is the angular frequency of the incident light wave, λ is the wavelength, and c is the speed of light in free space. The London penetration depth λA,B of HgBa2Ca2Cu3O8+δ and BSCCO are ruled by the equation
The environmental temperature is signed by Tem and the critical temperatures of superconductors A and B are labeled by TA and TB, respectively. For Tem = 0 K, the value of London penetration depth is given by λL0. Ignoring the influence of hydrostatic pressure, the characteristic parameters are TA = 135 K and λL0 = 0.177 μm for superconductor HgBa2Ca2Cu3O8+δ. The characteristic parameters are TB = 95 K and λL0 = 0.15 μm for material BSCCO.
The thicknesses of lattice elements A and B equate to a quarter of optical wavelength dA,B = λc0/(4nA0,B0), where the central wavelength is fixed at λc0 = 1.55 μm. We choose a value of temperature Tem = 120 K as the unified parameter to determine the initial refractive indices and thicknesses of A and B. Consequently, the refractive index of HgBa2Ca2Cu3O8+δ is given by nA0 = 0.7696 and the refractive index of BSCCO is equal to nB0 = 1.6158, respectively. The corresponding thicknesses are, respectively, dA0 = λc0/(4nA0) = 0.5035 μm and dB0 = λc0/(4nB0) = 0.2398 μm.
A light beam Ii is vertically incident in the structure on the left and transmitted from the right. The transmitted beam is denoted by Io and the reflected beam is given by Ir.
In the terahertz band, the surface conductivity is governed by two mechanisms of electrons in graphene, viz. [42]. The intra-band transition is given by
The phenomenological relaxation time of electrons in the parameter is denoted by τ and the chemical potential of graphene is labeled by μ. The inter-band transition is given by
As the light intensity is strong enough, one should consider the nonlinearity of graphene. The third nonlinear coefficient of conductivity for graphene is given by
where VF is Fermi velocity and is fixed by VF ≈ c/300 [43].
In order to simulate the optical properties conveniently, graphene can be equal to a dielectric slab with an equivalent dielectric constant. For the transverse magnetic polarized wave, it propagates along the Z-axis, of which Hx and Hy represent orthogonal magnetic field components and Ez is the electric field, parallel to the Z-axis. The dielectric constant of graphene can be denoted by
which includes the nonlinear part . The nonlinearity dielectric constant of graphene is proportional to the local electric field intensity [17].
The whole system is a multi-layer structure and the equivalent thickness of graphene can be given by dg = 0.33 nm. The electric and magnetic fields at the incidence and emergence terminals can be related by a transmission matrix, as follows:
where the transmission matrix [m11, m12; m21, m22] can be derived by the product of all cell transmission matrices in the one-dimensional photonic crystal [44]. The transmission matrix of the ith layer is
where φl = 2πdl(εl − sin2θ)/λ is the transmission phase and θ = 0° is the incident angle. The parameter of ηl = εl(ε0/μ0)1/2/(εl − sin2θ)1/2 is the light resistivity of each dielectric layer.
The transmission and reflection coefficients of light waves are derived by the following equations:
and
where the light resistivity at the outputting port is ηo = η0 = (ε0μ0)1/2. The transmittance and reflectance of light waves are given by T = tt* and R = rr*, respectively.
3. Optical Bistability in All-Superconducting Photonic Crystal
It is well known that the periodic photonic crystal supports photonic bandgaps in the wave-vector space and a defect mode may arise in the bandgap in the defective photonic crystal. The defect mode is a transmission mode, of which the maximum transmittance can reach up to 1 by ignoring the material loss.
The dielectric constants of superconductors are highly dependent on environment temperature, so the transmission properties can be easily changed by modulating temperature. Figure 2a demonstrates the different transmission spectra of light waves for the three values of environment temperature Tem = 105, 120, and 135 K. The horizontal coordinate (ω − ω0)/ωgap represents the normalized frequency and the theory bandwidth of periodic photonic crystal is ωgap = 4ω0arcsin|(nA0 − nB0)/(nA0 + nB0)|2/π, where ω = 2πc/λ is the angular frequency of incident light wave and the central frequency is denoted by ω0 = 2πc/λc0. The symbols λ and λc0, respectively, express the incident light wave wavelength and the central light wave wavelength. The vertical coordinate T represents transmittance of light waves and is derived by the transmission matrix method (TMM) [9,10].
Figure 2.
(a) Transmission spectra around the defect mode for different values of environment temperature. (b) Transmittance in the parameter space composed of environment temperature and normalized frequency. (c) Quality factor of the defect mode varying with environment temperature. Hydrostatic pressure P = 0 GPa.
The five-pointed stars indicate the location of the defect mode with a transmittance of 1 at environment temperature Tem = 105, 120, and 135 K, respectively. For environment temperature Tem = 120 K, one can see that the defect mode denoted by a five-pointed star appears at the zero point of the horizontal coordinate (ω − ω0)/ωgap = 0. The corresponding wavelength is λc0 = 1.55 μm. For the lower temperature Tem = 105 K, the defect mode also arises in the photonic bandgap of the spectrum, and the central wavelength of the defect mode undergoes a blue shift compared with the case of Tem = 120 K. On the other hand, the defect mode is red-shifted as temperature is turned up to a higher value of Tem = 135 K. The permittivity of the superconductor decreases with the increase in environment temperature. For a fixed thickness of defect, the central wavelength therefore decreases based on the relation λc0 = 4dA0nA0 by turning down environment temperature.
To further demonstrate the profile of the photonic bandgap and the defect mode, Figure 2b gives the transmittance in the parameter space of environmental temperature and the normalized frequency. The dark blue bulk area at the center of the parameter space represents the photonic bandgap, with the defect mode indicated by an arrow located at its center. The arrows indicate the direction of the defect mode. As temperature increases, the bandgap widens and shifts towards lower frequencies. The light fringe, i.e., the defect mode, becomes narrower with increasing environmental temperature. This indicates a decrease in the resonant peak width of the defect mode.
Figure 2c plots the quality factor Q of the defect mode changing with environmental temperature. The quality factor Q is defined as Q = 1/(ωp − ωh), where ωp is the according frequency of resonance and ωh is the corresponding frequency of the half peak point of the resonant peak. For environmental temperature Tem = 90 K, the corresponding quality factor of the defect mode is ruled as Q = 1, so for other temperature values, the relative quality factor is denoted by Q/QTem=90K. The quality factor increases with the increase in environmental temperature, as the value is located in the interval of (90 K, 130 K), while for Tem = 140 K, the corresponding quality factor dips slightly in comparison with the case value of Tem = 130 K. The difference |nA − nB0| enlarges as environmental temperature rises, which results in the stronger resonance. On the other hand, the two thicknesses and refractive indices of dielectrics A and B cannot satisfy the requirement of a quarter optical wavelength, and this mismatch becomes worse as environment temperature increases. This mismatch of thicknesses and refractive indices leads to a slight decrease in the quality factor for Tem = 140 K.
The defect mode is a longitudinal mode and the mode field power is mainly restricted in the defect layer. Figure 3a shows the intensity distribution of electric field Ez along the Z-axis. The maximum amplitude of electric field can reach up to 2.6 × 107 V/m at the interface of the defect layers, which is simulated by finite-different time-domain (FDTD). The electric field power is located in the defect and the intensity rapidly decays as the coordinate parameter extends from the center zero to both sides.
Figure 3.
(a,b) Longitudinal distribution of the electric field for the defect mode. Results are derived by finite-different time-domain (FDTD) for (a) and by the transmission matrix method (TMM) for (b), respectively. Environment temperature is set as Tem = 120 K.
To further verify these results, we simultaneously adopt the transmission matrix method (TMM), and the normalized Z-component electric field intensity varying with the Z-axis is depicted in Figure 3b. The sign of the red star labels the maximum point of the electric field intensity |Ez|, and the red line represents the graphene embedded at the interface of the two central layers AA. Consequently, the composite system can be denoted as ABABABAGABABABA. The third-order nonlinearity of graphene is proportional to the local electric field intensity; thus, the Kerr effect can be greatly enhanced by the localization of the electric field of the defect mode. Low-threshold optical bistablility may subsequently be induced based on the Kerr effect, i.e., the third-order nonlinearity of graphene.
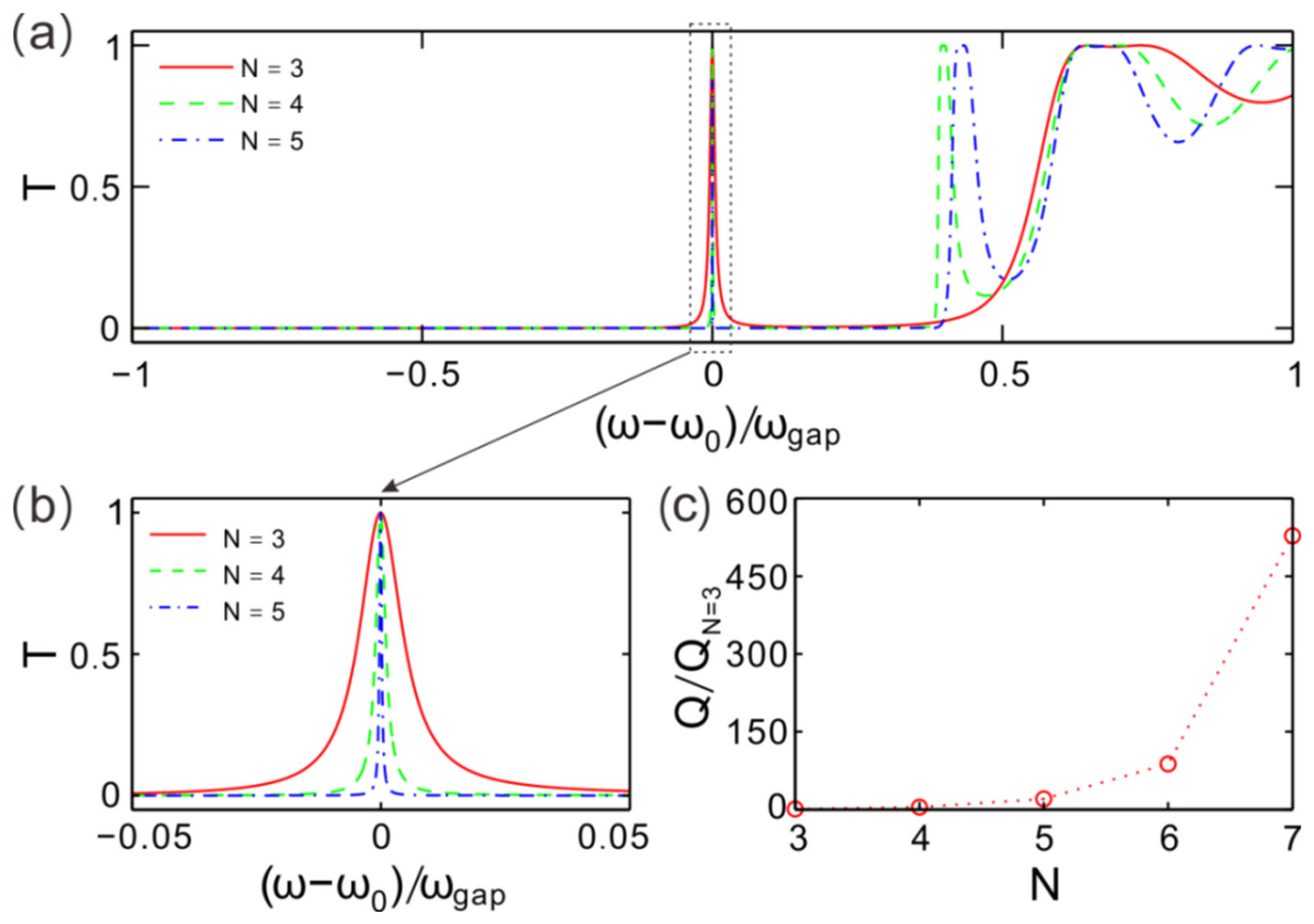
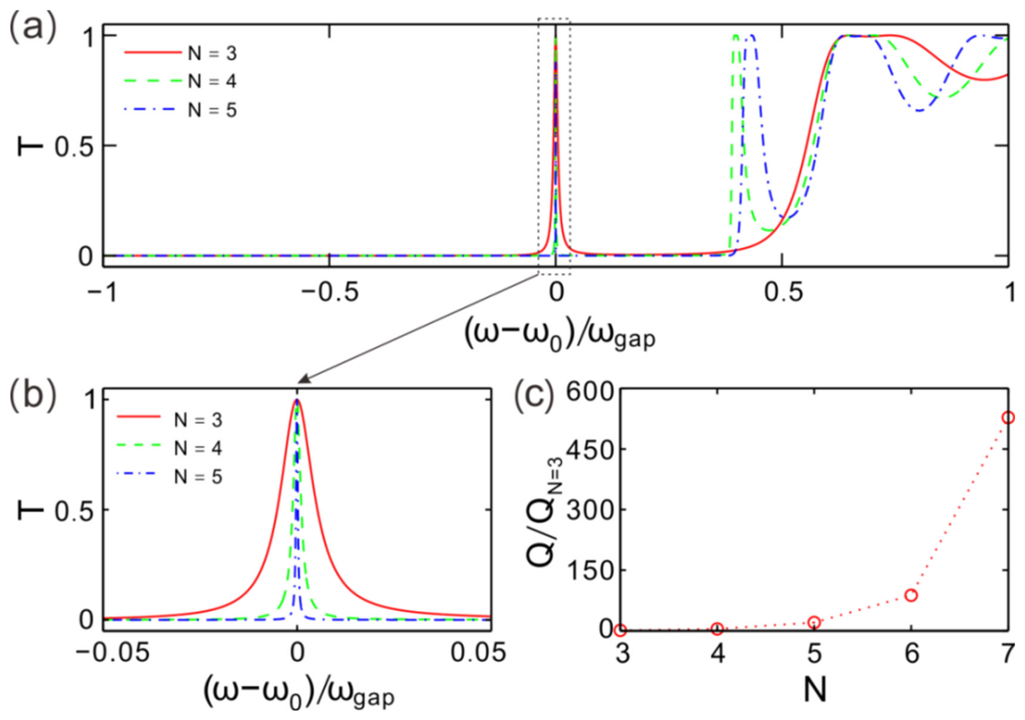
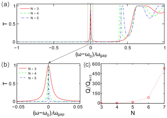
For different periodic numbers of the defective photonic crystal, Figure 4a describes the transmittance of light waves changing with frequency. All of the defect modes, i.e., the transmission peaks labeled by the dashed box, are at the zero point of normalized frequency for N = 3, 4, and 5. However, for N = 4 or 5, a boundary transmission mode is induced near the right boundary of the bandgap. The maximum transmittance is T = 1 for each defect mode, while the resonances of these transmission peaks are different.
Figure 4.
(a) Transmission spectra of light waves for different periodic numbers N = 3, 4, and 5. (b) Local transmittance profiles around (ω − ω0)/ωgap = 0 for different N. (c) Quality factor of the defect mode changing with N. Hydrostatic pressure is set as P = 0 GPa and environment temperature is Tem = 120 K.
To view these defect modes more clearly, we plot the profiles in the vicinity of resonances and zoom in locally, as shown in Figure 4b. One can see that the half-width of the resonant peak shrinks as the periodic number of the photonic crystal increases, which manifests as the resonance becoming stronger for the structure with a larger N. The photonic crystal can be viewed as a resonant cavity, of which the defect is equivalent to a cavity body. The finite periodic structure (AB)N and (BA)N equate to two reflectors of the resonant cavity. Since the system (AB)NAA(BA)N can be extended, the selectivity of longitudinal mode reflectance becomes better with increasing N. Consequently, the electric field localization of the defect mode could be greatly enhanced by adding the number of layers. The strong localization of the electric field may enhance the third-order nonlinearity of graphene. However, the frequent propagation forward and reflectivity back of light in the photonic crystal with a large periodic number may induce significant optical losses, which affects the transmittance of the defect mode. All things considered, we here choose N = 3, 4, and 5 as the system parameters to explore the optical properties.
A necessary but not sufficient condition is to require the incident light wavelength the be red-detuned to the defect mode. The resonant wavelength is λ = 1.55 μm for Tem = 120 K, as mentioned before; therefore, we set the incident wavelength to λ = 1.572 μm, which is red-detuned to λ = 1.55 μm. One can observe a transmission peak with negative gradient for Tem = 119 K, which manifests as one incident light intensity corresponding to three values of transmittance, as Ii is located between 32.66 TW/cm2 and 112.33 TW/cm2, resulting in three corresponding curves. The transmittance changes with the incident light intensity along with the bottom curve as Ii increases from 0 to 112.33 TW/cm2, while the dependence of transmittance on the incident light intensity submits to the upper curve relation as Ii decreases from ∞ to 32.66 TW/cm2. The middle curve with negative gradient does not exist in real physics, but this property indicates that optical bistability may be induced. For Tem = 120 K, the curve gradient of the transmission peak is also negative and optical bistability can result as well. However, no transmission peak with negative gradient can be found for Tem = 121 K, indicating that bistable phenomena cannot be derived in this case.
Figure 5b depicts the transmitted intensity of light waves changing with incident intensity of light waves for Tem = 119, 120, and 121 K. There is an S-shaped segment in each curve for Tem = 119 and 120 K. The negative curve segment does not actually exist in physics. In other words, one incident intensity of light corresponds two transmitted intensities, which is called the optical bistable phenomenon. For the case of Tem = 119 K, the transmitted intensity of light increases with the increase in the incident intensity of light, as the light intensity is weak and the transmitted intensity jumps upward at Ii = 112.33 TW/cm2, which is defined as the upper threshold of optical bistability, while the transmitted intensity decreases by decreasing the incident intensity from a large value, and Io abruptly decreases at Ii = 32.66 TW/cm2, which is defined as the lower threshold of optical bistability. For Tem = 120 K, the profile of the S-shape shrinks and the upper and lower thresholds of optical bistability are lower than the corresponding values in the case of Tem = 119 K; meanwhile, the interval between the upper threshold and the lower threshold reduces. There is no S-shaped segment in the input–output relationship curve for Tem = 121 K, indicating that optical bistability cannot be induced in this case.
Figure 5.
(a) Transmittance changing with incident light intensity around the defect mode. (b) Transmitted intensity of light versus intensity of incident light for different values of temperature. (c) Dependence of transmitted light intensity on temperature and incident light intensity. (d) Upper and lower thresholds of optical bistability varying with temperature. Incident wavelength is λ = 1.572 μm.
Temperature can influence the wavelength of the defect mode, and the equivalent refractive index of graphene is governed by the local electric field; the optical intensity of light is strong enough, so the transmitted light intensity is a function of temperature and incident intensity considering the third-order nonlinearity of graphene for a strong incident light wave. Figure 5c gives the transmitted intensity varying with the incident intensity by changing temperature simultaneously. One can see that the S-shaped curve arises as the environmental temperature decreases and the profile of the S-shape appears more and more obviously by lowering environment temperature.
Figure 5d demonstrates the modulation of the upper and lower thresholds of optical bistability through changing environment temperature. The thresholds of optical bistability decrease with the increase in environment temperature. The interval between the upper and lower thresholds shrinks as temperature rises, and the optical bistability phenomenon disappears as environmental temperature Tem > 120.1 K.
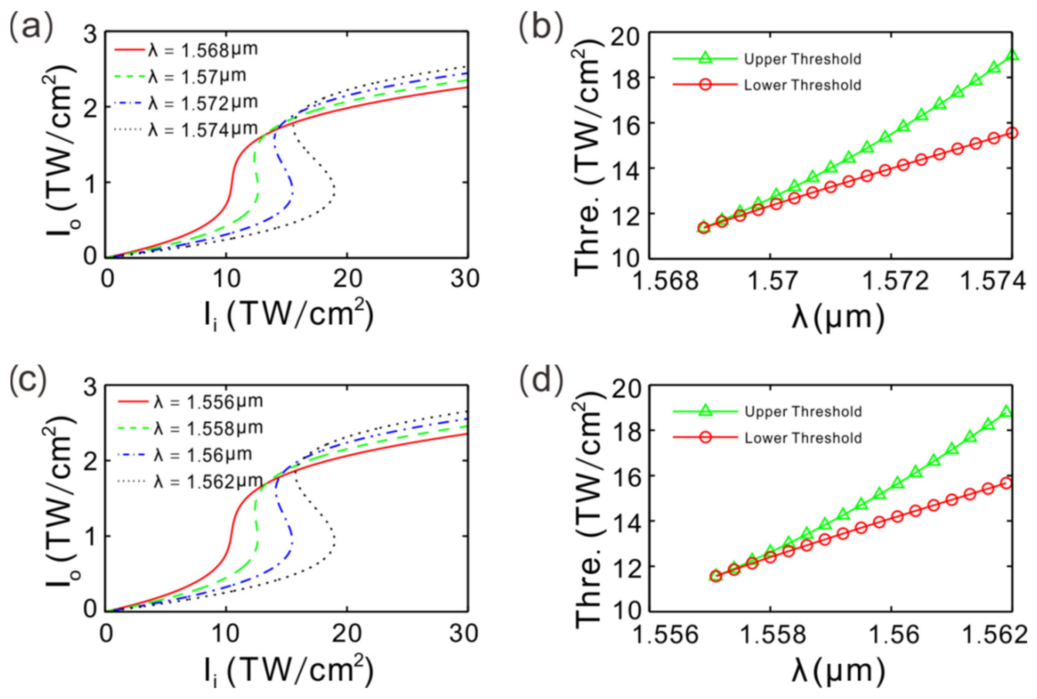
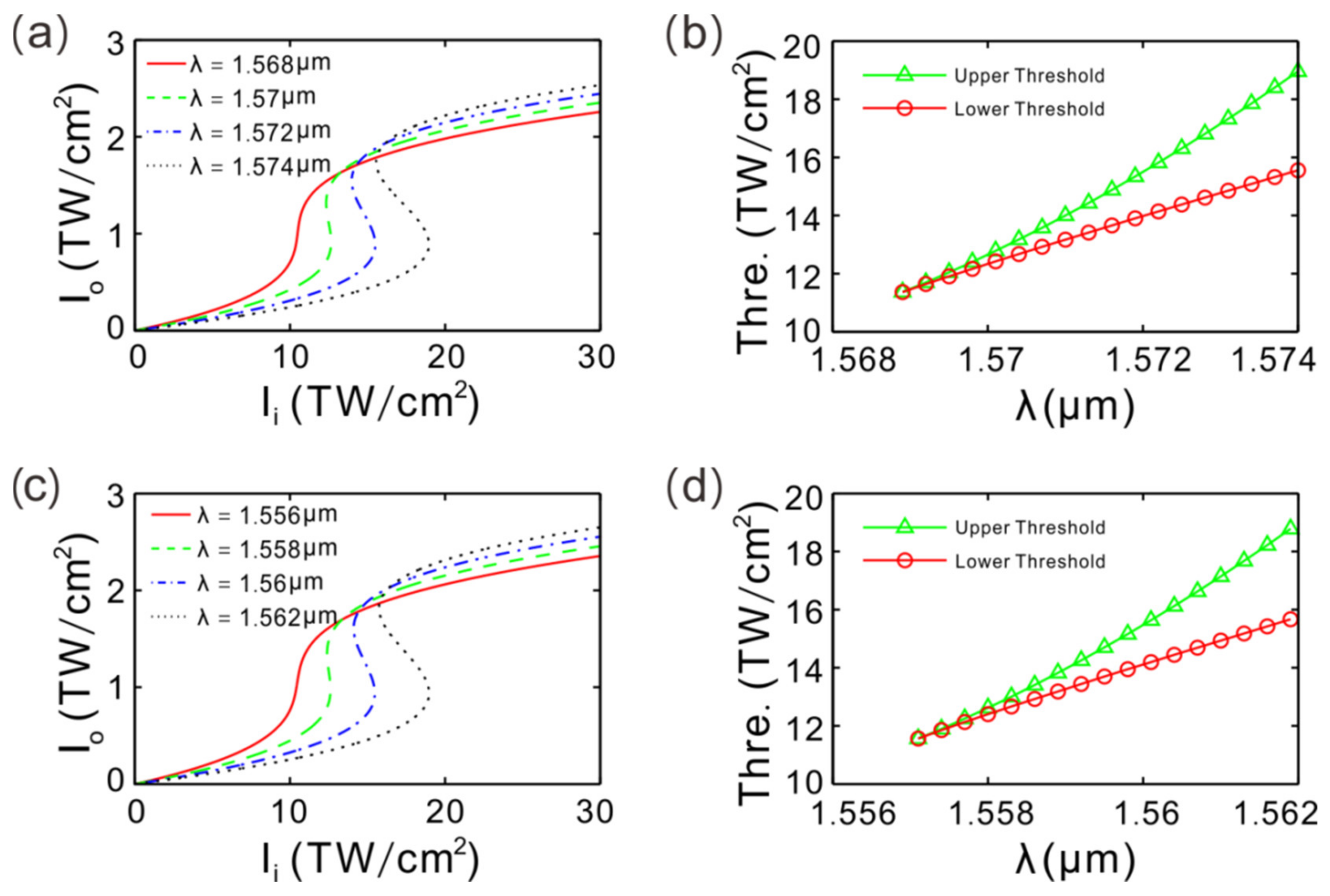
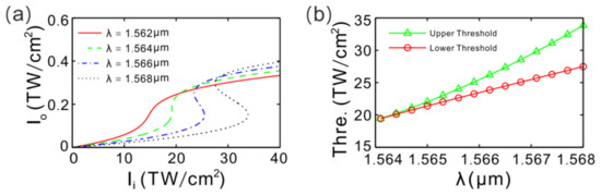
As the environmental temperature is fixed, there is a cluster of input–output relationship curves for different incident wavelengths. Figure 6a gives the transmitted optical intensity of light waves while changing incident light intensity for λ = 1.568, 1.57, 1.572, and 1.574 μm. The environment temperature is set as Tem = 120 K and the periodic number is N = 3; in this case, the resonant wavelength of the defect mode is λ = 1.55 μm. One can see that there is no S-shaped segment in the input–output relationship curve for λ = 1.568 μm, which is red-detuned to the resonant wavelength. By increasing the incident wavelength, the detuning is larger and the S-shaped profile becomes more obvious.
Figure 6.
(a,c) Transmitted intensity of light changing with incident intensity for different incident wavelengths for temperature Tem = 120 and 119 K, respectively. (b,d) Thresholds of optical bistability changing with the incident wavelength for temperature Tem = 120 and 119 K, respectively. The periodic number of system is N = 3.
The S-shaped profile moves right by turning up the incident wavelength, which demonstrates the threshold increase, and the interval between the upper and lower threshold rises, as shown in Figure 6b. It shows that optical bistability arises as λ > 1.5689 μm and the thresholds of optical bistability increase with the increase in the incident wavelength, so the generation of optical bistability and its thresholds are both modulated by changing the incident wavelength.
Lowering temperature to Tem = 119 K and keeping the value constant, Figure 6c plots a cluster of optical bistability curves for different incident wavelengths. For the incident wavelength λ = 1.556 μm, the relation between the transmitted intensity of light and the incident intensity is not bistable. Increasing the incident wavelength to λ = 1.558, 1.56, and 1.562 μm, there are S-shapes in the relationship curves of transmitted intensity of light and incident intensity. As the incident wavelength increases, the thresholds increase as well; meanwhile, the interval between the upper and lower thresholds also enlarges, of which these characteristics can be viewed in Figure 6d more evidently. Otherwise, it shows that the optical bistability arises while the incident wavelength is set as λ > 1.5571 μm for Tem = 119 K. This peculiarity manifests as the critical value of the incident wavelength for optical bistability changing with the environment temperature.
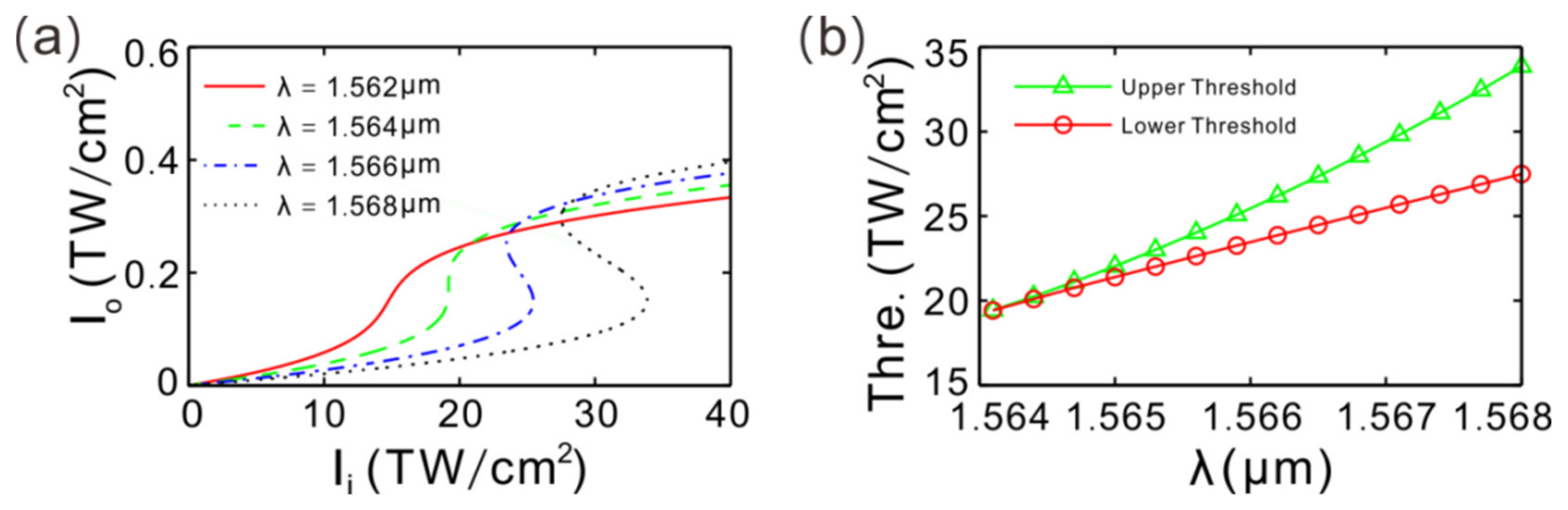
Figure 7a gives the transmitted intensity of light changing with the incident intensity of light for the periodic number N = 4. One can see that there is not optical bistability for the incident wavelength λ = 1.562 μm and optical bistability arises by increasing the incident wavelength to λ = 1.564, 1.566, and 1.568 μm. Compared with the case for N = 3, the layers of the structure have increased, so the localization of the electric field has also been enhanced. More layers for the system mean more transmissions forward and reflections back of the light beams, which leads to an increase in the optical loss, since graphene is passive. Therefore, the transmitted intensity of light for the system of N = 4 is lower by a magnitude compared to the light intensity of the case of N = 3.
Figure 7.
(a) Transmitted intensity of light changing with incident intensity for different incident wavelengths and N = 4. (b) Thresholds of optical bistability changing with the incident wavelength and N = 4. Environment temperature is set as Tem = 120 K.
Figure 7b describes the upper and lower thresholds of optical bistability changing the incident wavelength for N = 4. By increasing the incident wavelength, the optical bistability occurs as λ > 1.5641 μm, which is the critical value for the incident wavelength to trigger optical bistability for N = 4. The critical value λ = 1.5641 μm for N = 4 is lower than the critical value λ = 1.5689 μm for N = 3. This provides evidence that the localization of the electric field of N = 4 is stronger than that of N = 3 from another aspect. Otherwise, similar to the case of N = 3, the upper and lower thresholds, and the interval between the upper and lower thresholds, increase with the increase in the incident wavelength.
Previous works have concentrated on optical bistability at room temperature, or their systems are partially constructed by superconductors. We here combine full superconductors with graphene and investigate optical bistability in a cryogenic environment. Compared with the previous structures, the tunability of optical bistability in our system is superior through modulating the environment temperature.
We here induce optical bistability, utilizing electric field localization of longitudinal modes, while the propagating modes in optical fibers or wave-guides are transverse. The familiar optical NLEs, such as solitons and supermodes, can be realized in optical fibers or wave-guides, which results from the localization of the electric field of transverse modes [28,29,30,31,45,46,47,48].
One can explore topological photonics, unidirectional transmission, solitons, and supermodes in superconducting wave-guides or photonic crystals. Furthermore, metamaterials, such as hyperbolic metamaterials, can be composed of superconductors and other materials, and some singular optical effects may be induced in the systems.
4. Conclusions
In conclusion, optical bistability is explored in an all-superconducting photonic crystal and graphene combined system. Two superconductors are alternatively arrayed to form all-superconducting defect photonic crystals, with graphene embedded at the center in the cryogenic environment. A defect mode is induced in this composite system, wherein the central wavelength of the defect mode makes a blue shift as the environment temperature increases. The defect mode can greatly localize the electric field around the center, thereby tremendously enhancing the nonlinearity of graphene. The localization of the electric field could also be promoted by changing the environment temperature. Consequently, low-threshold optical bistability has been realized, since an incident light beam is sufficiently strong. The thresholds of optical bistability decrease with increasing environment temperature. By warming the structure, the interval between the upper and lower thresholds of optical bistability decrease as well, while for a fixed value of environment temperature, the bistability thresholds and the interval between the upper and lower thresholds increase with the increase in the incident wavelength. Otherwise, a larger critical incident wavelength to achieve optical bistability is needed for higher environment temperature. Additionally, by adding the periodic number of photonic crystals, the critical incident wavelength to trigger optical bistability increases. This exploration could find applications for temperature-controlled optical switches and sensors in a cryogenic environment.
Author Contributions
Conceptualization, Q.X.; Software, Q.X.; Investigation, D.Z.; Resources, Q.X. and H.H.; Data curation, Q.X. and J.L.; Writing—original draft, Q.X. and J.L.; Writing—review and editing, M.Z.; Visualization, D.Z.; Supervision, H.H.; Funding acquisition, D.Z., M.Z. and H.H. All authors have read and agreed to the published version of the manuscript.
Funding
This study was funded by the National Natural Science Foundation of China (NSFC) (D.Z.) (12274157), the Hubei Province Natural Science Foundation of China (2022CFB179) (D.Z.), the Science Research Project of Hubei University of Science and Technology (BK202323) (M.Z.), and the National Innovation and Entrepreneurship Training Plan for Undergraduates (202210927001) (D.Z.).
Data Availability Statement
The corresponding author can be contacted directly if data are required.
Conflicts of Interest
The authors declare that they have no conflicts of interest.
References
- Gibbs, H.M. Optical Bistability: Controlling Light with Light; Academic Press: Cambridge, MA, USA, 1985. [Google Scholar]
- Ni, H.; Wang, J.; Wu, A. Optical bistability in aperiodic multilayer composed of graphene and Thue-Morse lattices. Optik 2021, 242, 167163. [Google Scholar] [CrossRef]
- Hu, J.; Wu, J.; Jin, D.; Chu, S.T.; Little, B.E.; Huang, D.; Morandotti, R.; Moss, D.J. Thermo-optic response and optical bistablility of integrated high-index doped silica ring resonators. Sensors 2023, 23, 9767. [Google Scholar] [CrossRef] [PubMed]
- Li, J.B.; Liang, S.; Xiao, S.; He, M.D.; Liu, L.H.; Luo, J.H.; Chen, L.Q. A sensitive biosensor based on optical bistability in a semiconductor quantum dot-DNA nanohybrid. J. Phys. D Appl. Phys. 2018, 52, 035401. [Google Scholar] [CrossRef]
- Liu, J.C.; Wang, F.L.; Han, J.Y.; Hao, Y.Z.; Yang, Y.D.; Xia, J.L.; Huang, Y.Z. All-optical switching and multiple logic gates based on hybrid square–rectangular laser. J. Light. Technol. 2020, 38, 1382–1390. [Google Scholar] [CrossRef]
- Nagasaki, Y.; Gholipour, B.; Ou, J.Y.; Plum, E.; MacDonald, K.F.; Takahara, J.; Zheludev, N.I. Optical bistability in shape-memory nanowire metamaterial array. Appl. Phys. Lett. 2018, 113, 021105. [Google Scholar] [CrossRef]
- Zhang, W.L.; Jiang, Y.; Zhu, Y.Y.; Wang, F.; Rao, Y.J. All-optical bistable logic control based on coupled Tamm plasmons. Opt. Lett. 2013, 38, 4092–4095. [Google Scholar] [CrossRef] [PubMed]
- Hu, W.; Jiang, J.; Xie, D.; Wang, S.; Bi, K.; Duan, H.; Yang, J.; He, J. Transient security transistors self-supported on biodegradable natural-polymer membranes for brain-inspired neuromorphic applications. Nanoscale 2018, 10, 14893–14901. [Google Scholar] [CrossRef] [PubMed]
- Mao, C.; Zhong, D.; Liu, F.; Wang, L.; Zhao, D. Multiple optical bistabilities in graphene arrays-bulk dielectric composites. Opt. Laser Technol. 2022, 154, 108292. [Google Scholar] [CrossRef]
- Zhao, D.; Wang, Z.; Long, H.; Wang, K.; Wang, B.; Lu, P. Optical bistability in defective photonic multilayers doped by graphene. Opt. Quant. Electron. 2017, 49, 163. [Google Scholar] [CrossRef]
- Ni, H.; Zhou, G.P.; Xu, S.L.; Liu, F.H.; Zhao, M.M.; Duan, S.R.; Zhao, D. Low-temperature optical bistability and multistability in superconducting photonic multilayers with graphene. Results Phys. 2023, 52, 106867. [Google Scholar] [CrossRef]
- Masaya, N.; Akihiko, S.; Satoshi, M.; Goh, K.; Eiichi, K.; Takasumi, T. Optical bistable switching action of Si high-Q photonic-crystal nanocavities. Opt. Express 2005, 13, 2678–2687. [Google Scholar]
- Qian, L.; Hu, Y.; Chen, Z.; Zhao, D.; Dong, J.; Chen, X. Temperature dependence of optical bistability in superconductor–semiconductor photonic crystals embedded with graphene. Crystals 2023, 13, 545. [Google Scholar] [CrossRef]
- Ardakani, A.G.; Firoozi, F.B. Highly tunable bistability using an external magnetic field in photonic crystals containing graphene and magnetooptical layers. J. Appl. Phys. 2017, 121, 023105. [Google Scholar] [CrossRef]
- Kim, M.; Kim, S.; Kim, S. Optical bistability based on hyperbolic metamaterials. Opt. Express 2018, 26, 11620–11632. [Google Scholar] [CrossRef] [PubMed]
- Chen, Y.; Feng, J.; Chen, J.; Liu, H.; Yuan, S.; Guo, S.; Yu, Q.; Zeng, H. Optical bistability in a tunable gourd-shaped silicon ring resonator. Nanomaterials 2022, 12, 2447. [Google Scholar] [CrossRef] [PubMed]
- Zhao, D.; Xu, B.; Guo, H.; Xu, W.; Zhong, D.; Ke, S. Low threshold optical bistability in aperiodic PT-symmetric lattices composited with Fibonacci sequence dielectrics and graphene. Appl. Sci. 2019, 9, 5125. [Google Scholar] [CrossRef]
- Mirza, J.; Ghafoor, S.; Hussain, A. All-optical 2R-regeneration and continuous wave to pulsed signal wavelength conversion based on fiber nonlinearity. Opt. Quant. Electron. 2018, 50, 336. [Google Scholar] [CrossRef]
- Lee, E.H.; Kim, K.H.; Lee, H.K. Nonlinear effects in optical fiber: Advantages and disadvantages for high capacity all-optical communication application. Opt. Quant. Electron. 2002, 34, 1167–1174. [Google Scholar] [CrossRef]
- Mirza, J.; Ghafoor, S.; Hussain, A. All-optical regenerative technique for width-tunable ultra-wideband signal generation. Photonic Netw. Commun. 2019, 38, 98–107. [Google Scholar] [CrossRef]
- Zhao, D.; Ke, S.; Hu, Y.; Wang, B.; Lu, P. Optical bistability in parity-time-symmetric dielectric multilayers incorporated with graphene. J. Opt. Soc. Am. B 2019, 36, 1731–1737. [Google Scholar] [CrossRef]
- Li, Z.; Xu, Z.; Qu, X.; Wang, S.; Peng, J. Pattern transfer of hexagonal packed structure via ultrathin metal nanomesh masks for formation of Si nanopore arrays. J. Alloys Compd. 2017, 695, 458–461. [Google Scholar] [CrossRef]
- Geim, A.K.; Novoselov, K.S. The rise of graphene. Nat. Mat. 2007, 6, 183–191. [Google Scholar] [CrossRef] [PubMed]
- Grigorenko, A.N.; Polini, M.; Novoselov, K.S. Graphene plasmonics. Nat. Photon. 2012, 6, 749–758. [Google Scholar] [CrossRef]
- Avouris, P.; Freitag, M. Graphene photonics, plasmonics, and optoelectronics. IEEE J. Sel. Top. Quantum Electron. 2014, 20, 72–83. [Google Scholar] [CrossRef]
- Falkovsky, L.A.; Pershoguba, S.S. Optical far-infrared properties of a graphene monolayer and multilayer. Phys. Rev. B 2007, 76, 153410. [Google Scholar] [CrossRef]
- Wang, Y.D.; Liu, H.X.; Wang, S.L.; Cai, M. A waveguide-integrated graphene-based subwavelength electro-optic switch at 1550 nm. Opt. Commun. 2021, 495, 127121. [Google Scholar] [CrossRef]
- Wang, Z.; Bing, W.; Hua, L.; Kai, W.; Lu, P. Plasmonic lattice solitons in nonlinear graphene sheet arrays. Opt. Express 2015, 23, 32679–32689. [Google Scholar] [CrossRef] [PubMed]
- Wang, Z.; Wang, B.; Long, H.; Wang, K.; Lu, P. Surface plasmonic lattice solitons in semi-infinite graphene sheet arrays. J. Light. Technol. 2017, 34, 2960. [Google Scholar] [CrossRef]
- Wang, Z.; Wang, B.; Wang, K.; Long, H.; Lu, P. Vector plasmonic lattice solitons in nonlinear graphene-pair arrays. Opt. Lett. 2016, 41, 3619. [Google Scholar] [CrossRef] [PubMed]
- Wang, F.; Wang, Z.; Qin, C.; Wang, B.; Lu, P. Asymmetric plasmonic supermodes in nonlinear graphene multilayers. Opt. Express 2017, 25, 1234. [Google Scholar] [CrossRef] [PubMed]
- Wang, F.; Qin, C.; Wang, B.; Long, H.; Lu, P. Rabi oscillations of plasmonic supermodes in graphene multilayer arrays. IEEE J. Sel. Top. Quant. 2016, 23, 4600165. [Google Scholar] [CrossRef]
- Wang, F.; Qin, C.; Wang, B.; Ke, S.; Long, H.; Wang, K.; Lu, P. Rabi oscillations of surface plasmon polaritons in graphene-pair arrays. Opt. Express 2015, 23, 31136–31143. [Google Scholar] [CrossRef] [PubMed]
- Aly, A.H.; Mohamed, D.; Elsayed, H.A.; Mehaney, A. Fano resonance by means of the one-dimensional superconductor photonic crystals. J. Supercond. Nov. Magn. 2018, 31, 3827–3833. [Google Scholar] [CrossRef]
- Athe, P.; Srivastava, S. Tunable Fano resonance in one-dimensional superconducting photonic crystal. J. Supercond. Nov. Magn. 2015, 28, 2331–2336. [Google Scholar] [CrossRef]
- Athe, P.; Srivastava, S. Tunable multiple Fano resonances in one-dimensional photonic crystal containing multiple superconductor. J. Supercond. Nov. Magn. 2016, 29, 2247–2252. [Google Scholar] [CrossRef]
- Athe, P.; Srivastava, S.; Thapa, K.B. Electromagnetically induced reflectance and Fano resonance in one dimensional superconducting photonic crystal. Phys. C 2018, 547, 36–40. [Google Scholar] [CrossRef]
- Dong, X.; Ni, H.; Zhao, M.; Zhong, D.; Zhao, D.; Liu, J.; Chen, X. Tunable bandstop filtering specialities in superconducting Thue–Morse photonic multilayers. Opt. Commun. 2023, 546, 129825. [Google Scholar] [CrossRef]
- Perconte, D.; Cuellar, F.A.; Moreau-Luchaire, C.; Piquemal-Banci, M.; Galceran, R.; Kidambi, P.R.; Martin, M.-B.; Hofmann, S.; Bernard, R.; Dlubak, B.; et al. Tunable Klein-like tunnelling of high-temperature superconducting pairs into graphene. Nat. Phys. 2018, 14, 25–29. [Google Scholar] [CrossRef]
- Liu, F.; Hu, H.; Zhao, D.; Liu, F.; Zhao, M. Goos-Hänchen shift in cryogenic defect photonic crystals composed of superconductor HgBa2Ca2Cu3O8+δ. PLoS ONE 2024, 19, e0302142. [Google Scholar] [CrossRef] [PubMed]
- Zhao, M.; Chen, X.; Liu, Q.; Liu, J.; Liu, J.; Wang, Y. Optical fractal in cryogenic environments based on distributed feedback Bragg photonic crystals. PLoS ONE 2023, 18, e0291863. [Google Scholar] [CrossRef] [PubMed]
- Hanson, G.W. Quasi-transverse electromagnetic modes supported by a graphene parallel-plate waveguide. J. Appl. Phys. 2008, 104, 084314. [Google Scholar] [CrossRef]
- Zheng, Q.; Zhuang, Y.C.; Sun, Q.F.; He, L. Coexistence of electron whispering-gallery modes and atomic collapse states in graphene/WSe2 heterostructure quantum dots. Nat. Commun. 2022, 13, 1597. [Google Scholar] [CrossRef]
- Wei, H.; Chen, X.; Zhao, D.; Zhao, M.; Wang, Y.; Zhang, P. Temperature sensing based on defect mode of one-dimensional superconductor-semiconductor photonic crystals. Crystals 2023, 13, 302. [Google Scholar] [CrossRef]
- Wang, Z.; Wang, B.; Long, H.; Wang, K.; Lu, P. Surface vector plasmonic lattice solitons in semi-infinite graphene-pair arrays. Opt. Express 2017, 25, 20708–20717. [Google Scholar] [CrossRef] [PubMed]
- Liu, Y.; Bartal, G.; Genov, D.A.; Zhang, X. Subwavelength discrete solitons in nonlinear metamaterials. Phys. Rev. Lett. 2007, 99, 153901. [Google Scholar] [CrossRef] [PubMed]
- Ye, F.; Mihalache, D.; Hu, B.; Panoiu, N.C. Subwavelength plasmonic lattice solitons in arrays of metallic nanowires. Phys. Rev. Lett. 2010, 104, 106802. [Google Scholar] [CrossRef]
- Kou, Y.; Ye, F.; Chen, X. Multipole plasmonic lattice solitons. Phy. Rev. A 2011, 84, 033855. [Google Scholar] [CrossRef]
Disclaimer/Publisher’s Note: The statements, opinions and data contained in all publications are solely those of the individual author(s) and contributor(s) and not of MDPI and/or the editor(s). MDPI and/or the editor(s) disclaim responsibility for any injury to people or property resulting from any ideas, methods, instructions or products referred to in the content. |
© 2024 by the authors. Licensee MDPI, Basel, Switzerland. This article is an open access article distributed under the terms and conditions of the Creative Commons Attribution (CC BY) license (https://creativecommons.org/licenses/by/4.0/).






