Breaking a Combinatorial Symmetry Resolves the Paradox of Einstein-Podolsky-Rosen and Bell
Abstract
1. Introduction
2. The Monte Carlo (MC) Model
2.1. Bell’s Model Functions
2.2. Deviations from Bell’s Model
2.3. Implementation of the MC-Model
- Select values of from [−1, 1] using a random number generator and store the values in an array .
- Generate 4 arrays , , and that store values of , and , respectively. These arrays are used to check, whether identical combinations of and polarizer settings occur.
- For each of the CHSH-model experiments with polarizer settings and :
- ⚬
- Select randomly from using a random number generator;
- ⚬
- Then determine whether is already stored in . If yes, then assuming identical measurement outcomes for identical as well as polarizer settings j:else:store in the array .
- ⚬
- If is already stored in , then assuming identical measurement outcomes for identical as well as polarizer settings giveselse, apply Malus rule and let , for any possible :store in the array .
- Calculate the data averages by summing up all MC experiments of polarizer setting :
- Calculate the value of the CHSH-term:
3. Results of the Monte Carlo Model
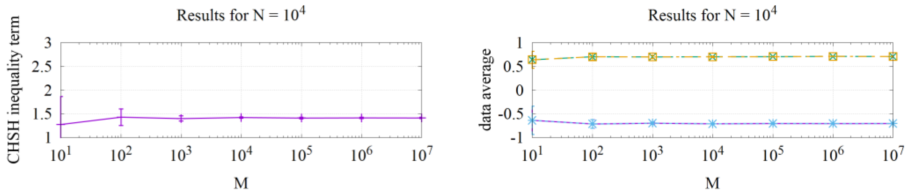
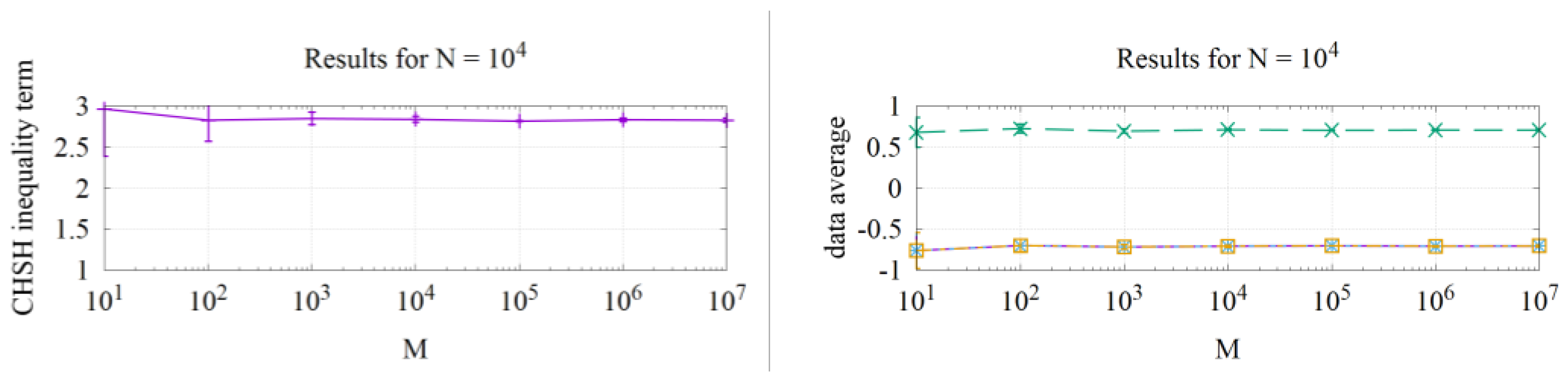
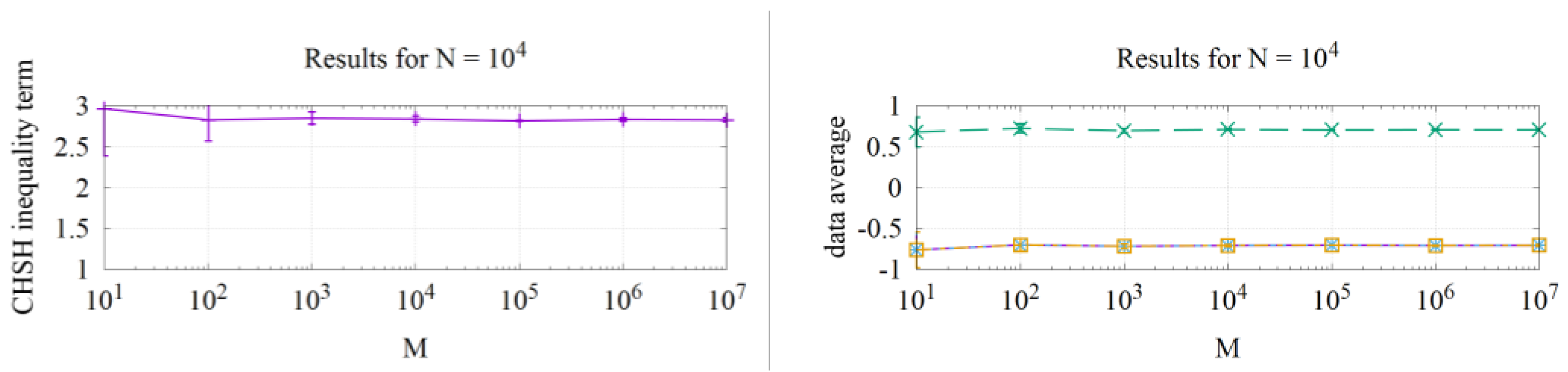
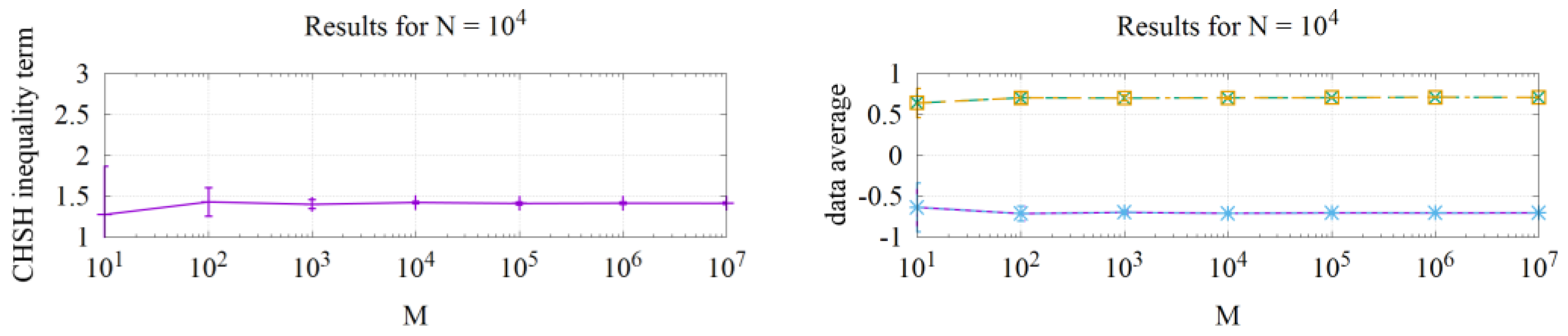
3.1. Role of Cardinality
3.2. Role of Cyclicity, a Combinatorial Symmetry
4. The CHSH–Aspect-Type Experiment and Computer Simulations
5. Conclusions
Author Contributions
Funding
Data Availability Statement
Acknowledgments
Conflicts of Interest
References
- Einstein, A.; Podolsky, B.; Rosen, N. Can quantum-mechanical description of physical reality be considered complete? Phys. Rev. 1935, 47, 777–780. [Google Scholar] [CrossRef]
- Aspect, A. Closing the door on Einstein and Bohr’s quantum debate. Physics 2015, 8, 123. [Google Scholar] [CrossRef]
- Kocher, C.A.; Commins, E.D. Polarization correlation of photons emitted in an atomic cascade. Phys. Rev. Lett. 1967, 18, 575–577. [Google Scholar] [CrossRef]
- Nordén, B. Entangled photons from single atoms and molecules. Chem. Phys. 2018, 507, 28–33. [Google Scholar] [CrossRef]
- Bell, J.S. On the einstein podolsky rosen paradox. Phys. Phys. Fiz. 1964, 1, 195. [Google Scholar] [CrossRef]
- Clauser, J.F.; Horne, M.A.; Shimony, A.; Holt, R.A. Proposed experiment to test local hidden-variable theories. Phys. Rev. Lett. 1969, 23, 880–884. [Google Scholar] [CrossRef]
- Hess, K. A Critical Review of Works Pertinent to the Einstein-Bohr Debate and Bell’s Theorem. Symmetry 2022, 14, 163. [Google Scholar] [CrossRef]
- De Baere, W. Significance of Bell’s inequality for hidden-variable theories. Lett. Nuovo Cimento 1984, 39, 234–238. [Google Scholar] [CrossRef]
- Williams, D. Weighing the Odds; Cambridge University Press: Cambridge, UK, 2001; pp. 44, 73, 110. [Google Scholar]
- Hess, K. Malus-law models for aspect-type experiments. J. Mod. Phys. 2023, 14, 1167–1176. [Google Scholar] [CrossRef]
- Vorob’ev, N.N. Consistent families of measures and their extensions. Theory Probab. Appl. 1962, 7, 147–163. [Google Scholar] [CrossRef]
- Mermin, N.D. Is the moon there when nobody looks? Reality and the quantum theory. Phys. Today 1985, 38, 38–47. [Google Scholar] [CrossRef]
- Leggett, A.J. The Problems of Physics; Oxford Academic: Oxford, UK, 2006; pp. 164–165. [Google Scholar]





Disclaimer/Publisher’s Note: The statements, opinions and data contained in all publications are solely those of the individual author(s) and contributor(s) and not of MDPI and/or the editor(s). MDPI and/or the editor(s) disclaim responsibility for any injury to people or property resulting from any ideas, methods, instructions or products referred to in the content. |
© 2024 by the authors. Licensee MDPI, Basel, Switzerland. This article is an open access article distributed under the terms and conditions of the Creative Commons Attribution (CC BY) license (https://creativecommons.org/licenses/by/4.0/).
Share and Cite
Jakumeit, J.; Hess, K. Breaking a Combinatorial Symmetry Resolves the Paradox of Einstein-Podolsky-Rosen and Bell. Symmetry 2024, 16, 255. https://doi.org/10.3390/sym16030255
Jakumeit J, Hess K. Breaking a Combinatorial Symmetry Resolves the Paradox of Einstein-Podolsky-Rosen and Bell. Symmetry. 2024; 16(3):255. https://doi.org/10.3390/sym16030255
Chicago/Turabian StyleJakumeit, Jürgen, and Karl Hess. 2024. "Breaking a Combinatorial Symmetry Resolves the Paradox of Einstein-Podolsky-Rosen and Bell" Symmetry 16, no. 3: 255. https://doi.org/10.3390/sym16030255
APA StyleJakumeit, J., & Hess, K. (2024). Breaking a Combinatorial Symmetry Resolves the Paradox of Einstein-Podolsky-Rosen and Bell. Symmetry, 16(3), 255. https://doi.org/10.3390/sym16030255
