Large Deflection Geometrically Nonlinear Bending of Porous Nanocomposite Cylindrical Panels on Elastic Foundation
Abstract
1. Introduction
2. FG-GPLRC Porous Cylindrical Panel Resting on Elastic Foundation
3. Natural Element Approximation of Large Deflection Bending
4. Numerical Experiments
4.1. Benchmark Test
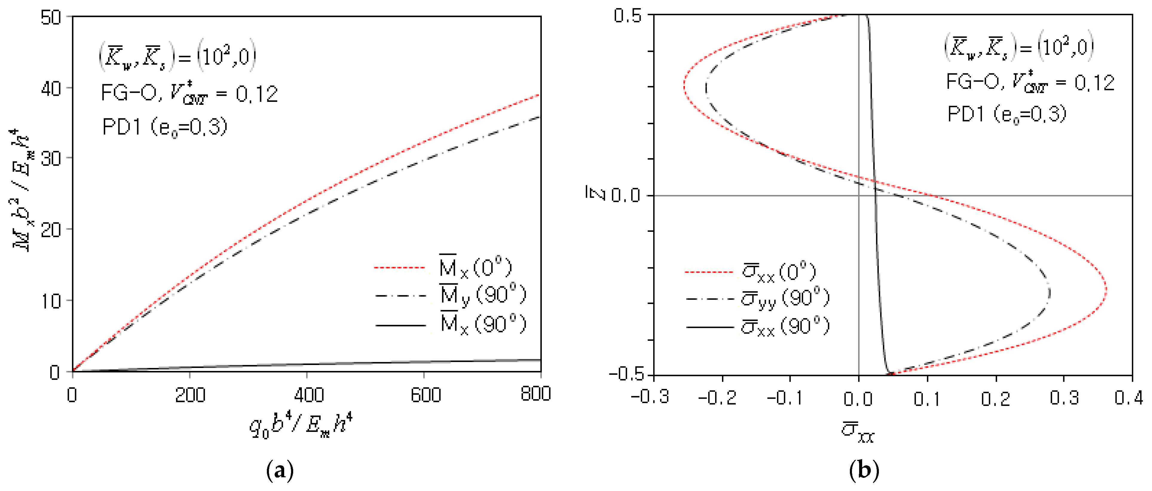
4.2. Nonlinear Behavior
5. Conclusions
- The reliability of the developed nonlinear numerical method was justified through isotropic and two metal–ceramic FGM cylindrical panels such that both the load–deflection and bending moment plots agree well with the representative reference solutions, even at coarse grids.
- The introduction of and the higher-order shell theory enhance the nonlinear bending results such that both the load–central deflection and bending moment plots become closer to the reference solutions.
- The large deflection of FG-GPLRC cylindrical panels on elastic foundation uniformly decreases proportionally to both the foundation stiffness and the GPL amount. Meanwhile, the nonlinear bending moment does also decrease with the former, but increases with the latter.
- In the load–deflection curve, FG-O and PD3 show the highest level, while FG-X and PD1 display the lowest one. But this relative order is reversed in the load–bending moment plot.
- Regarding the porosity, the large deflection uniformly increases but the resulting bending moment monotonically decreases as the porosity parameter increases. And the thicknesswise axial stress distribution is diversely affected by the combination of GPL and porosity distributions.
- The nonlinear central deflection, axial stress and bending moment of FG-GPLRC porous cylindrical panels on elastic foundation remarkably increase when GPLs are replaced with CNTs, for the same volume fraction.
Funding
Data Availability Statement
Conflicts of Interest
Appendix A. Higher-Order Theory and Linear and Nonlinear Matrices
Appendix B. Mori–Tanaka Approach
References
- Young, R.J.; Kinloch, I.A.; Gong, I.; Novoselov, K.S. The mechanics of graphene nano-composites: A review. Compos. Sci. Technol. 2012, 72, 1459–1476. [Google Scholar] [CrossRef]
- Esawi, A.M.K.; Farag, M.M. Carbon nanotube reinforced composites: Potential and current challenges. Mater. Des. 2007, 28, 2394–2401. [Google Scholar] [CrossRef]
- Ramanathan, T.; Abdala, A.A.; Stankovich, S.; Dikin, D.A.; Herrera-Alonso, M.; Piner, R.D.; Adamson, D.H.; Schniepp, H.C.; Chen, X.; Ruoff, R.S.; et al. Functionalized graphene sheets for polymer nanocomposites. Nat. Nanotechnol. 2008, 3, 327–331. [Google Scholar] [CrossRef]
- Cho, J.R.; Oden, J.T. Functionally graded material: A parametric study on thermal-stress characteristics using the Crack-Nicolson-Galerkin scheme. Comput. Meth. Appl. Mech. Eng. 2000, 188, 17–38. [Google Scholar] [CrossRef]
- Shen, S.H. Nonlinear bending of functionally graded carbon nanotube-reinforced composite plates in thermal environments. Compos. Struct. 2009, 19, 9–19. [Google Scholar] [CrossRef]
- Ke, L.L.; Yang, J.; Kitipornchai, S. Nonlinear free vibration of functionally graded carbon nanotube-reinforced composite beams. Compos. Struct. 2010, 92, 676–683. [Google Scholar] [CrossRef]
- Song, M.; Kitipornchai, S.; Yang, J. Free and forced vibrations of functionally graded polymer composite plates reinforced with graphene nanoplatelets. Compos. Struct. 2017, 159, 579–588. [Google Scholar] [CrossRef]
- Wang, Z.X.; Shen, H.S. Nonlinear vibration of nanotube-reinforced composite plates in thermal environments. Comput. Mater. Sci. 2011, 50, 2319–2330. [Google Scholar] [CrossRef]
- Ajayan, P.M.; Stephane, O.; Collix, C.; Trauth, D. Aligned carbon nanotube arrays formed by cutting a polymer resin-nanotube composite. Science 1994, 256, 1212–1214. [Google Scholar] [CrossRef] [PubMed]
- Hu, N.; Fugunaga, H.; Lu, C.; Kameyama, M.; Yan, B. Prediction of elastic properties of carbon nanotube reinforced composites. Proc. R. Soc. A 2005, 461, 1685–1710. [Google Scholar] [CrossRef]
- Han, Y.; Elliott, J. Molecular dynamics simulations of the elastic properties of polymer/carbon nanobute composites. Comput. Mater. Sci. 2007, 39, 315–323. [Google Scholar] [CrossRef]
- Rafiee, M.A.; Rafiee, J.; Wang, Z.; Song, H.; Yu, Z.Z.; Koratkar, N. Enhanced mechanical properties of nanocomposites at low graphene content. ACS Nano 2009, 3, 3884–3890. [Google Scholar] [CrossRef]
- Gao, K.; Gao, W.; Chen, D.; Yang, J. Nonlinear free vibration of functionally graded graphene platelets reinforced porous nanocomposite plates resting on elastic foundation. Compos. Struct. 2018, 204, 831–846. [Google Scholar] [CrossRef]
- Li, K.; Wu, D.; Chen, X.; Cheng, J.; Lui, Z.; Gao, W.; Liu, M. Isogeometric analysis of functionally graded porous plates reinforced by graphene platelets. Compos. Struct. 2018, 204, 114–130. [Google Scholar] [CrossRef]
- Yang, J.; Wu, H.; Kitipornchai, S. Buckling and postbuckling of functionally graded multilayer graphene platelet reinforced composite beams. Compos. Struct. 2017, 161, 111–118. [Google Scholar] [CrossRef]
- Arefi, M.; Bidgoli, E.M.R.; Dimitri, R.; Tornabene, F. Free vibration of functionally graded polymer composite nanolates reinforced with graphene nanoplatelets. Aero. Sci. Technol. 2018, 81, 108–117. [Google Scholar] [CrossRef]
- Jafari, P.; Kiani, Y. Free vibration of functionally graded graphene platelet reinforced plates: A quasi 3D shear and normal deformation plate model. Compos. Struct. 2021, 275, 114409. [Google Scholar] [CrossRef]
- Cho, J.R. Free vibration analysis of functionally graded porous cylindrical panels reinforced with graphene platelets. Nanomaterials 2023, 13, 1441. [Google Scholar] [CrossRef] [PubMed]
- Zhao, S.; Zhao, Z.; Yang, Z.; Ke, L.; Kitipornchai, S.; Yang, J. Functionally graded graphene reinforced composite structures: A review. Eng. Struct. 2020, 210, 110339. [Google Scholar] [CrossRef]
- Shen, H.S.; Xiang, Y.; Lin, F. Nonlinear bending of functionally graded graphene-reinforced composite laminated plates resting on elastic foundations in thermal environements. Compos. Struct. 2017, 170, 80–90. [Google Scholar] [CrossRef]
- Gholamin, R.; Ansari, R. Large deflection geometrically nonlinear analysis of functionally graded multilayer graphene plateret-reinforced polymer composite rectangular plates. Compos. Struct. 2017, 180, 760–771. [Google Scholar] [CrossRef]
- Sahmari, S.; Aghdam, M.M.; Rabczuk, T. Nonlinear bending of functionally graded porous micro/nano-beams reinforced with graphene platerets based upon nonlocal strain gradient theory. Compos. Struct. 2018, 186, 68–78. [Google Scholar] [CrossRef]
- Shen, H.S.; Xiang, Y.; Fan, Y.; Hui, D. Nonlinear bending analysis of FG-GRC laminated cylindrical panels on elastic foundations in thermal environments. Compos. Part B Eng. 2018, 141, 148–157. [Google Scholar] [CrossRef]
- Liu, Z.; Yang, C.; Gao, W.; Wu, D.; Li, G. Nonlinear behavior and stability of functionally graded porous arches with graphene platerets reinforcements. Int. J. Eng. Sci. 2019, 137, 37–56. [Google Scholar] [CrossRef]
- Wang, Y.; Xie, K.; Shi, C.; Fu, T. Nonlinear bending of axially functionally graded microbeams reinforced by graphene nanoplaterets in thermal environments. Mater. Res. Express 2019, 6, 085615. [Google Scholar] [CrossRef]
- Tam, M.; Yang, Z.; Zhao, S.; Zhang, H.; Zhang, Y.; Yang, J. Nonlinear bending of elastically restrained functionally graded graphene nanoplaterets reinforced beams with an open edge crack. Thin-Walled Struct. 2020, 156, 106972. [Google Scholar] [CrossRef]
- Wang, Y.; Zhou, A.; Xie, K.; Fu, T.; Shi, C. Nonlinear static behaviors of functionally graded polymer-based circular microarches reinforced by graphene oxide nanofillers. Results Phys. 2020, 16, 102894. [Google Scholar] [CrossRef]
- Anirudh, B.; Ben Zibeb, T.; Polit, O.; Ganapathi, M.; Prateek, G. Nonlinear bending of porous curved beams reinforced by functionally graded nanocomposite graphene platerets applying an efficient shear flexible finite element approach. Int. J. Nonlinear Mech. 2020, 119, 103346. [Google Scholar] [CrossRef]
- Nguyen, N.V.; Phan, D.H.; Lee, J. Nonlinear static and dynamic isogeometric analysis of functionally graded microplates with graphene-based nanofillers reinforcement. Aerosp. Sci. Technol. 2022, 127, 107709. [Google Scholar] [CrossRef]
- Songsuwan, W.; Prabkeao, C.; Wattanasakulpong, N. On linear and nonlinear bending of functionally graded graphene nanoplateret reinforced composite beams using Gram-Schmidt-Ritz method. Mech. Based Des. Struct. Mech. 2023, 51, 5710–5736. [Google Scholar] [CrossRef]
- Reddy, J.N.; Liu, C.F. A higher-order shear deformation theory of laminated elastic shells. Int. J. Eng. Sci. 1985, 23, 319–330. [Google Scholar] [CrossRef]
- Cho, J.R. Level-wise strain recovery and error estimation for natural element hierarchical plate models. Int. J. Numer. Methods Eng. 2021, 122, 3120–3136. [Google Scholar] [CrossRef]
- Cho, J.R.; Oden, J.T. Locking and boundary layer in hierarchical models for thin elastic structures. Comput. Methods Appl. Mech. Eng. 1997, 149, 33–48. [Google Scholar] [CrossRef]
- Pitkaranta, J. The problem of membrane locking in finite element analysis of cylindrical shells. Numer. Math. 1992, 61, 523–542. [Google Scholar] [CrossRef]
- Halphin, J.C.; Kardos, J.L. The Haplin-Tsai equations: A review. Polym. Eng. Sci. 1976, 16, 344–352. [Google Scholar]
- Gibson, L.J.; Ashby, M.F. The mechanics of three-dimensional cellular materials, in: Proceedings of the Royal Society of London A: Mathematical, Physical and Engineering Sciences. R. Soc. 1982, 382, 43–59. [Google Scholar]
- Cho, J.R. Natural element hierarchical models for the free vibration analyses of laminate composite plates. Compos. Struct. 2021, 272, 114247. [Google Scholar] [CrossRef]
- Sukumar, N.; Moran, B.; Belytschko, T. The natural element method in solid mechanics. Int. J. Numer. Methods Eng. 1998, 43, 839–887. [Google Scholar] [CrossRef]
- Lee, Y.; Lee, P.-S.; Bathe, K.-J. The MITC3+shell finite element and its performance. Comput. Struct. 2014, 138, 12–23. [Google Scholar] [CrossRef]
- Cho, J.R. Large amplitude vibration of FG-GPL Reinforced conical shell panels on elastic foundation. Materials 2023, 16, 6056. [Google Scholar] [CrossRef]
- Baker, E.B.; Oden, J.T.; Carey, G.F. Finite Elements: An Introoduction, Volume 1; Prentice-Hall: Hoboken, NJ, USA, 1981. [Google Scholar]
- Nguyen-Thoi, T.; Phung-Van, P.; Thai-Hoang, C.; Nguyen-Xuan, H. A cell-based smoothed discrete shear gap method (CS-DSG3) using triangular elements for static and free vibration analyses of shell structures. Int. J. Mech. Sci. 2013, 74, 32–45. [Google Scholar] [CrossRef]
- Maleki, S.; Tahani, M. Non-linear analysis of moderately thick laminated plates and shell panels under thermo-mechanical loadings. ZAMM—J. Appl. Math. Mech. 2012, 92, 652–667. [Google Scholar] [CrossRef]
- Thang, P.T.; Nguyen, T.T.; Lee, J. Nonlinear static analysis of thin curved panels with FG coatings under combined axial compression and external pressure. Thin-Walled Struct. 2016, 107, 405–414. [Google Scholar] [CrossRef]
- Shen, H.S.; Wang, H. Nonlinear bending of FGM cylindrical panels resting on elastic foundations in thermal environments. Eur. J. Mech.—A/Solids 2015, 49, 49–59. [Google Scholar] [CrossRef]
- Zhao, X.; Liew, K.M. Geometrically nonlinear analysis of functionally graded shells. Int. J. Mech. Sci. 2009, 51, 131–144. [Google Scholar] [CrossRef]
- Yasmin, A.; Daniel, I.M. Mechanical and thermal properties of graphite platelet/epoxy composites. Polymer 2004, 45, 8211–8219. [Google Scholar] [CrossRef]
- Liang, Z.; Gou, J.J.; Zhang, C.; Wang, B.; Kramer, L. Investigation of molecular interactions between (10, 10) single-walled nanotube and Epon 862 resin/DETDA curing agent molecules. Mater. Sci. Eng. A 2004, 365, 228–234. [Google Scholar] [CrossRef]
- Zhu, P.; Lei, Z.X.; Liew, K.M. Static and free vibration analyses of carbon nanotube-reinforced composite plates using finite element method with first order shear deformation plate theory. Compos. Struct. 2012, 94, 1450–1460. [Google Scholar] [CrossRef]















| Items | |||||
| 1.2272 | 1.3238 | 1.4184 | 1.5027 | 1.5624 | |
| (%) | 21.454 | 15.271 | 9.217 | 3.821 | - |
| Young’s Moduli (GPa) | Poisson’s Ratio | Shear Moduli (GPa) | ||||||
|---|---|---|---|---|---|---|---|---|
| 5646.6 | 7080.0 | - | 0.175 | - | - | 1944.5 | - | - |
Disclaimer/Publisher’s Note: The statements, opinions and data contained in all publications are solely those of the individual author(s) and contributor(s) and not of MDPI and/or the editor(s). MDPI and/or the editor(s) disclaim responsibility for any injury to people or property resulting from any ideas, methods, instructions or products referred to in the content. |
© 2024 by the author. Licensee MDPI, Basel, Switzerland. This article is an open access article distributed under the terms and conditions of the Creative Commons Attribution (CC BY) license (https://creativecommons.org/licenses/by/4.0/).
Share and Cite
Cho, J.-R. Large Deflection Geometrically Nonlinear Bending of Porous Nanocomposite Cylindrical Panels on Elastic Foundation. Symmetry 2024, 16, 224. https://doi.org/10.3390/sym16020224
Cho J-R. Large Deflection Geometrically Nonlinear Bending of Porous Nanocomposite Cylindrical Panels on Elastic Foundation. Symmetry. 2024; 16(2):224. https://doi.org/10.3390/sym16020224
Chicago/Turabian StyleCho, Jin-Rae. 2024. "Large Deflection Geometrically Nonlinear Bending of Porous Nanocomposite Cylindrical Panels on Elastic Foundation" Symmetry 16, no. 2: 224. https://doi.org/10.3390/sym16020224
APA StyleCho, J.-R. (2024). Large Deflection Geometrically Nonlinear Bending of Porous Nanocomposite Cylindrical Panels on Elastic Foundation. Symmetry, 16(2), 224. https://doi.org/10.3390/sym16020224

