Soil Carbon, Nitrogen and Phosphorus Contents along a Gradient of Agricultural Intensity in the Kilombero Valley, Tanzania
Abstract
1. Introduction
2. Materials and Methods
2.1. Site Description
2.2. Sampling Methods
2.3. Soil Analysis
2.4. Statistical Procedure
3. Results
3.1. Observed Soil Organic Carbon and Nutrient Concentrations
3.1.1. Vertical Profiles of Soil Organic Carbon and Nutrient Concentrations
3.1.2. Differences in Soil Organic Carbon and Nutrient Concentrations between LMPs
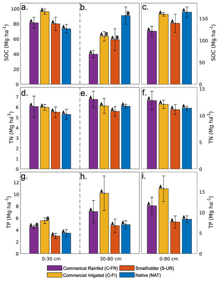
3.2. Carbon and Nutrient Stocks
3.3. C:N and C:P Ratios
4. Discussion
4.1. Comparison of Soil Organic Carbon and Nutrient Concentrations between LMPs
4.2. Comparison of Soil Organic Carbon and Nutrient Stocks between LMPs
4.3. Comparison of C:N and C:P Ratios between LMPs
5. Conclusions
Supplementary Materials
Author Contributions
Funding
Acknowledgments
Conflicts of Interest
References
- McBratney, A.; Field, D.J.; Koch, A. The dimensions of soil security. Geoderma 2014, 213, 203–213. [Google Scholar] [CrossRef]
- UNCCD. The Global Land Outlook, 1st ed.; UNCCD: Bonn, Germany, 2017. [Google Scholar]
- United Nations. Department of Economic and Social Affairs, Population Division. World Population Prospects 2019: Data Booklet; United Nations: New York, NY, USA, 2019. [Google Scholar]
- Deutsch, C.A.; Tewksbury, J.J.; Tigchelaar, M.; Battisti, D.S.; Merrill, S.C.; Huey, R.B.; Naylor, R.L. Increase in crop losses to insect pests in a warming climate. Science (80-.) 2018, 361, 916–919. [Google Scholar] [CrossRef] [PubMed]
- Piemontese, L.; Fetzer, I.; Rockström, J.; Jaramillo, F. Future hydroclimatic impacts on Africa: Beyond the Paris Agreement. Earth’s Future 2019, 7, 748–761. [Google Scholar] [CrossRef]
- Teixeira, E.I.; Fischer, G.; Van Velthuizen, H.; Walter, C.; Ewert, F. Global hot-spots of heat stress on agricultural crops due to climate change. Agric. For. Meteorol. 2013, 170, 206–215. [Google Scholar] [CrossRef]
- Tubiello, F.N.; Salvatore, M.; Ferrara, A.F.; House, J.; Federici, S.; Rossi, S.; Biancalani, R.; Condor Golec, R.D.; Jacobs, H.; Flammini, A.; et al. The Contribution of Agriculture, Forestry and other Land Use activities to Global Warming, 1990–2012. Glob. Chang. Biol. 2015, 21, 2655–2660. [Google Scholar] [CrossRef]
- Paustian, K.; Lehmann, J.; Ogle, S.; Reay, D.; Robertson, G.P.; Smith, P. Climate-smart soils. Nature 2016, 532, 49–57. [Google Scholar] [CrossRef]
- Minasny, B.; Malone, B.P.; McBratney, A.B.; Angers, D.A.; Arrouays, D.; Chambers, A.; Chaplot, V.; Chen, Z.; Cheng, K.; Das, B.S.; et al. Soil carbon 4 per mille. Geoderma 2017, 292, 59–86. [Google Scholar] [CrossRef]
- Tongwane, M.I.; Moeletsi, M.E. A review of greenhouse gas emissions from the agriculture sector in Africa. Agric. Syst. 2018, 166, 124–134. [Google Scholar] [CrossRef]
- URT. Agricultural Sector Development Programme Phase II (ASDP-II); The United Republic of Tanzania Ministry of Agriculture: Dodoma, Tanzania, 2017. [Google Scholar]
- World Bank. Tanzania-Southern Agriculture Growth Corridor Investment Project: Environmental Assessment (Vol. 3): Strategic Regional Environmental and Social Assessment: Final Report (English); World Bank: Tanzania, South Africa, 2013. [Google Scholar]
- Evans, L.T. Feeding the Ten Billion: Plants and Population Growth; Cambridge University Press: Cambridge, UK, 1998; ISBN 0-521-64685-5. [Google Scholar]
- Perrings, C.; Halkos, G. Agriculture and the threat to biodiversity in sub-saharan Africa. Environ. Res. Lett. 2015, 10, 095015. [Google Scholar] [CrossRef]
- Zabel, F.; Delzeit, R.; Schneider, J.M.; Seppelt, R.; Mauser, W.; Václavík, T. Global impacts of future cropland expansion and intensification on agricultural markets and biodiversity. Nat. Commun. 2019, 10, 1–10. [Google Scholar] [CrossRef]
- Potts, S.G.; Imperatriz-Fonseca, V.; Ngo, H.T.; Aizen, M.A.; Biesmeijer, J.C.; Breeze, T.D.; Dicks, L.V.; Garibaldi, L.A.; Hill, R.; Settele, J.; et al. Safeguarding pollinators and their values to human well-being. Nature 2016, 540, 220–229. [Google Scholar] [CrossRef] [PubMed]
- Zhao, Z.H.; Hui, C.; He, D.H.; Li, B.L. Effects of agricultural intensification on ability of natural enemies to control aphids. Sci. Rep. 2015, 5, 8024. [Google Scholar] [CrossRef] [PubMed]
- Matson, P.A.; Parton, W.J.; Power, A.G.; Swift, M.J. Agricultural intensification and ecosystem properties. Science (80-.) 1997, 277, 504–509. [Google Scholar] [CrossRef] [PubMed]
- Winowiecki, L.; Vågen, T.G.; Massawe, B.; Jelinski, N.A.; Lyamchai, C.; Sayula, G.; Msoka, E. Landscape-scale variability of soil health indicators: Effects of cultivation on soil organic carbon in the Usambara Mountains of Tanzania. Nutr. Cycl. Agroecosystems 2016, 105, 263–274. [Google Scholar] [CrossRef]
- Murty, D.; Kirschbaum, M.U.F.; Mcmurtrie, R.E.; Mcgilvray, H. Does conversion of forest to agricultural land change soil carbon and nitrogen? A review of the literature. Glob. Chang. Biol. 2002, 8, 105–123. [Google Scholar] [CrossRef]
- Huang, S.; Sun, Y.; Zhang, W. Changes in soil organic carbon stocks as affected by cropping systems and cropping duration in China’s paddy fields: A meta-analysis. Clim. Chang. 2012, 112, 847–858. [Google Scholar] [CrossRef]
- Chiti, T.; Gardin, L.; Perugini, L.; Quaratino, R.; Vaccari, F.P.; Miglietta, F.; Valentini, R. Soil organic carbon stock assessment for the different cropland land uses in Italy. Biol. Fertil. Soils 2012, 48, 9–17. [Google Scholar] [CrossRef]
- Livsey, J.; Kätterer, T.; Vico, G.; Lyon, S.W.; Lindborg, R.; Scaini, A.; Da, C.T.; Manzoni, S. Do alternative irrigation strategies for rice cultivation decrease water footprints at the cost of long-term soil health? Environ. Res. Lett. 2019, 14, 74011. [Google Scholar] [CrossRef]
- Sanderman, J.; Hengl, T.; Fiske, G.J. Soil carbon debt of 12,000 years of human land use. Proc. Natl. Acad. Sci. USA 2017, 114, 9575–9580. [Google Scholar] [CrossRef]
- Cleveland, C.C.; Liptzin, D. C:N:P stoichiometry in soil: Is there a “Redfield ratio” for the microbial biomass? Biogeochemistry 2007, 85, 235–252. [Google Scholar] [CrossRef]
- Williams, R.J.B. Relationships Between the Composition of Soils and Physical Measurements Made on Them. Rothamsted Experimental Station Report for 1970; Rothamsted Research: Harpenden, UK, 1971; Volume 2. [Google Scholar]
- Lal, R. Enhancing crop yields in the developing countries through restoration of the soil organic carbon pool in agricultural lands. Land Degrad. Dev. 2006, 17, 197–209. [Google Scholar] [CrossRef]
- Namirembe, S.; Piikki, K.; Sommer, R.; Söderström, M.; Tessema, B.; Nyawira, S.S. Soil organic carbon in agricultural systems of six countries in East Africa—A literature review of status and carbon sequestration potential. S. Afr. J. Plant Soil 2020, 1862, 1–15. [Google Scholar] [CrossRef]
- Alavaisha, E.; Lyon, S.W.; Lindborg, R. Assessment of water quality across irrigation schemes: A case study of wetland agriculture impacts in Kilombero Valley, Tanzania. Water 2019, 11, 671. [Google Scholar] [CrossRef]
- RAMSAR Information Sheet on Ramsar Wetland: The Kilombero Valley Floodplain. Available online: https://rsis.ramsar.org/RISapp/files/RISrep/TZ1173RIS.pdf (accessed on 20 September 2019).
- Dewitte, O.; Jones, A.; Spaargaren, O.; Breuning-Madsen, H.; Brossard, M.; Dampha, A.; Deckers, J.; Gallali, T.; Hallett, S.; Jones, R.; et al. Harmonisation of the soil map of africa at the continental scale. Geoderma 2013, 211–212, 138–153. [Google Scholar] [CrossRef]
- Alavaisha, E.; Manzoni, S.; Lindborg, R. Different agricultural practices affect soil carbon, nitrogen and phosphorous in Kilombero -Tanzania. J. Environ. Manag. 2019, 234, 159–166. [Google Scholar] [CrossRef]
- Msofe, N.K.; Sheng, L.; Lyimo, J. Land use change trends and their driving forces in the Kilombero Valley Floodplain, Southeastern Tanzania. Sustainability 2019, 11, 505. [Google Scholar] [CrossRef]
- Seki, H.A.; Shirima, D.D.; Courtney Mustaphi, C.J.; Marchant, R.; Munishi, P.K.T. The impact of land use and land cover change on biodiversity within and adjacent to Kibasira Swamp in Kilombero Valley, Tanzania. Afr. J. Ecol. 2018, 56, 518–527. [Google Scholar] [CrossRef]
- Methods of Soil Analysis: Part. One-Physical and Minerological Methods, 2nd ed.; Klute, A., Ed.; American Society of Agronomy, Inc. and Soil Science Society of America, Inc.: Madison, WI, USA, 1986; ISBN 0-89118-811-8. [Google Scholar]
- Walkey, A.; Black, I.A. An examination of the Degtjareff method for determining soil organic matter and a proposed modification of the chromic acid titration method. Soil Sci. 1934, 37, 29–38. [Google Scholar] [CrossRef]
- Bray, R.; Kurtz, L. Determination of total, organic, and available forms of phosphorus in soils. Soil Sci. 1945, 59, 39–46. [Google Scholar] [CrossRef]
- Davidson, A.C. Statistical Models; Cambridge University Press: Cambridge, UK, 2003; ISBN 9780511672996. [Google Scholar]
- Tully, K.; Sullivan, C.; Weil, R.; Sanchez, P. The State of soil degradation in sub-Saharan Africa: Baselines, trajectories, and solutions. Sustainability 2015, 7, 6523–6552. [Google Scholar] [CrossRef]
- Oldfield, E.E.; Bradford, M.A.; Wood, S.A. Global meta-analysis of the relationship between soil organic matter and crop yields. Soil 2019, 5, 15–32. [Google Scholar] [CrossRef]
- Don, A.; Schumacher, J.; Freibauer, A. Impact of tropical land-use change on soil organic carbon stocks—A meta-analysis. Glob. Chang. Biol. 2011, 17, 1658–1670. [Google Scholar] [CrossRef]
- Kempen, B.; Dalsgaard, S.; Kaaya, A.K.; Chamuya, N.; Ruipérez-González, M.; Pekkarinen, A.; Walsh, M.G. Mapping topsoil organic carbon concentrations and stocks for Tanzania. Geoderma 2019, 337, 164–180. [Google Scholar] [CrossRef]
- Jobbágy, E.G.; Jackson, R.B.; Biogeochemistry, S.; Mar, N. The Distribution of Soil Nutrients with Depth: Global Patterns and the Imprint of Plants. Biogeochemistry 2001, 53, 51–77. [Google Scholar] [CrossRef]
- Jobbágy, E.G.; Jackson, R.B. The vertical distribution of soil organic carbon and its relation to climate and vegetation. Ecol. Appl. 2000, 10, 423–436. [Google Scholar] [CrossRef]
- Tipping, E.; Somerville, C.J.; Luster, J. The C:N:P:S stoichiometry of soil organic matter. Biogeochemistry 2016, 130, 117–131. [Google Scholar] [CrossRef]
- Ruehlmann, J.; Körschens, M. Calculating the effect of soil organic matter concentration on soil bulk density. Soil Sci. Soc. Am. J. 2009, 73, 876–885. [Google Scholar] [CrossRef]
- Trost, B.; Prochnow, A.; Drastig, K.; Meyer-Aurich, A.; Ellmer, F.; Baumecker, M. Irrigation, soil organic carbon and N2O emissions. A review. Agron. Sustain. Dev. 2013, 33, 733–749. [Google Scholar] [CrossRef]
- Han, P.; Zhang, W.; Wang, G.; Sun, W.; Huang, Y. Changes in soil organic carbon in croplands subjected to fertilizer management: A global meta-analysis. Sci. Rep. 2016, 6, 1–13. [Google Scholar]
- Haddaway, N.R.; Hedlund, K.; Jackson, L.E.; Kätterer, T.; Lugato, E.; Thomsen, I.K.; Jørgensen, H.B.; Isberg, P.-E. How does tillage intensity affect soil organic carbon? A systematic review. Environ. Evid. 2017, 6, 30. [Google Scholar] [CrossRef]
- Hobley, E.; Baldock, J.; Hua, Q.; Wilson, B. Land-use contrasts reveal instability of subsoil organic carbon. Glob. Chang. Biol. 2017, 23, 955–965. [Google Scholar] [CrossRef] [PubMed]
- Rumpel, C.; Kögel-Knabner, I. Deep soil organic matter—A key but poorly understood component of terrestrial C cycle. Plant Soil 2011, 338, 143–158. [Google Scholar] [CrossRef]
- Osinaga, N.A.; Álvarez, C.R.; Taboada, A.M. Effect of deforestation and subsequent land use management on soil carbon stocks in the South American Chaco. Soil 2018, 4, 251–257. [Google Scholar] [CrossRef]
- De Neve, S.; Van Den Bossche, A.; Sleutel, S.; Hofman, G. Soil nutrient status of organic farms in flanders: An overview and a comparison with the conventional situation. Biol. Agric. Hortic. 2006, 24, 217–235. [Google Scholar] [CrossRef]
- Hartemink, A.E.; McSweeney, K. (Eds.) Soil Carbon; Springer International Publishing: Cham, Switzerland, 2014; ISBN 978-3-319-04083-7. [Google Scholar]
- Li, S.; Xu, J.; Tang, S.; Zhan, Q.; Gao, Q.; Ren, L.; Shao, Q.; Chen, L.; Du, J.; Hao, B. A meta-analysis of carbon, nitrogen and phosphorus change in response to conversion of grassland to agricultural land. Geoderma 2020, 363, 114149. [Google Scholar] [CrossRef]



| Land Management Practice | Description | Label | Figure Label Color | Agricultural Intensity |
|---|---|---|---|---|
| On-farm irrigated (C-FI) | Fields within the industrial farm on which irrigated and chemically fertilized rice is grown in the wet season. Irrigated maize is grown in the dry season. Fertilizer application is provided primarily via pivot irrigation systems | C-FI | ![]() | High intensity![]() Low intensity |
| On-farm non irrigated (C-FR) | Fields within the industrial farm on which rain-fed and chemically fertilized rice is grown in the wet season. Fields are not utilized in the dry season. | C-FR | ![]() | |
| Off-farm non irrigated (S-UR) | Smallholder fields outside, but located close to, the industrial farm. Fields are used for rice production, and are neither irrigated or fertilized. | S-UR | ![]() | |
| Native (NAT) | Undisturbed forest and shrubland within the industrial farm which has been set aside as a green space | NAT | ![]() |
| Parameter | SOC | TN | TP | C:N | C:P | ||||||||||
|---|---|---|---|---|---|---|---|---|---|---|---|---|---|---|---|
| Estimate | SE | p-Value | Estimate | SE | p-Value | Estimate | SE | p-Value | Estimate | SE | p-Value | Estimate | SE | p-Value | |
| α(Intercept) | 1.1633 | 0.2990 | 0.0002 | −1.6329 | 0.1313 | 0.0000 | −2.1360 | 0.2265 | 0.0000 | 2.7517 | 0.2682 | 0.0000 | 3.1979 | 0.3520 | 0.0000 |
| β1(Irrigated) | 0.5752 | 0.2691 | 0.0483 | −0.0283 | 0.1158 | 0.8102 | 0.1270 | 0.2076 | 0.5495 | 0.6296 | 0.2130 | 0.0093 | 0.3075 | 0.2954 | 0.3135 |
| β2(Fertilized) | −0.4949 | 0.2694 | 0.0848 | 0.0151 | 0.1159 | 0.8978 | 0.3724 | 0.2076 | 0.0918 | −0.5205 | 0.2132 | 0.0267 | −0.7821 | 0.2956 | 0.0176 |
| β3(Non−natural) | −0.2807 | 0.2763 | 0.3249 | 0.1006 | 0.1171 | 0.4027 | 0.0529 | 0.2076 | 0.8021 | −0.3340 | 0.2196 | 0.1478 | −0.1902 | 0.2983 | 0.5328 |
| θ1(Percent Silt) | 0.0279 | 0.0089 | 0.0021 | 0.0128 | 0.0044 | 0.0044 | −0.0003 | 0.0091 | 0.9758 | 0.0155 | 0.0086 | 0.0733 | 0.0274 | 0.0123 | 0.0277 |
| θ2(Depth) | −0.0217 | 0.0025 | 0.0000 | −0.0147 | 0.0013 | 0.0000 | −0.0086 | 0.0027 | 0.0022 | −0.0070 | 0.0026 | 0.0085 | −0.0132 | 0.0039 | 0.0011 |
| LMP | 0–20 cm | 20–30 cm | 30–40 cm | 40–50 cm | 50–60 cm | 60–80 cm |
|---|---|---|---|---|---|---|
| % SOC | ||||||
| NAT | 2.54(0.3)a | 2.24(0.22)a | 2.07(0.24)a | 2.18(0.44) b | 1.41(0.10) b | 1.10(0.06)a |
| S-UR | 3.64(0.53)a | 2.34(0.62)a | 1.67(0.39)a | 1.34(0.25)ab | 0.90(0.26)ab | 0.74(0.24)a |
| C-FR | 2.89(0.19)a | 2.48(0.39)a | 1.25(0.16)a | 0.50(0.11) a | 0.53(0.15) a | 0.54(0.10)a |
| C-FI | 3.81(0.27)a | 2.69(0.27)a | 1.46(0.19)a | 1.00(0.16) a | 0.83(0.12)ab | 1.06(0.27)a |
| % TN | ||||||
| NAT | 0.19(0.02)a | 0.14(0.01)a | 0.12(0.01)a | 0.12(0.01)a | 0.11(0.01)a | 0.09(<0.00)a |
| S-UR | 0.23(0.03)a | 0.19(0.03)a | 0.14(0.02)a | 0.12(0.02)a | 0.10(0.02)a | 0.08(0.01)a |
| C-FR | 0.20(0.02)a | 0.21(0.05)a | 0.13(0.01)a | 0.13(0.02)a | 0.11(0.02)a | 0.09(0.02)a |
| C-FI | 0.23(0.01)a | 0.18(0.02)a | 0.15(0.01)a | 0.11(0.02)a | 0.09(0.01)a | 0.09(0.01)a |
| % TP | ||||||
| NAT | 0.12(0.02)a | 0.10(0.02)ab | 0.09(0.02)a | 0.08(0.01)a | 0.07(0.01)a | 0.09(0.02)a |
| S-UR | 0.13(0.01)a | 0.09(0.02) b | 0.10(0.02)a | 0.09(0.02)a | 0.08(0.02)a | 0.08(0.03)a |
| C-FR | 0.16(0.02)a | 0.14(0.03)ab | 0.18(0.05)a | 0.12(0.06)a | 0.13(0.03)a | 0.07(0.02)a |
| C-FI | 0.19(0.03)a | 0.22(0.04) a | 0.14(0.03)a | 0.11(0.03)a | 0.25(0.12)a | 0.17(0.05)a |
| BD (g cm−3) | ||||||
| NAT | 0.99(0.05)a | 1.07(0.05)a | 1.16(0.04)a | 1.11(0.06)a | 1.16(0.04)a | 1.17(0.03)a |
| S-UR | 0.84(0.06)a | 0.94(0.08)a | 1.01(0.1)a | 1.10(0.09)a | 1.13(0.05)a | 1.21(0.08)a |
| C-FR | 0.96(0.04)a | 1.03(0.06)a | 1.09(0.08)a | 1.23(0.07)a | 1.24(0.08)a | 1.31(0.07)a |
| C-FI | 0.93(0.06)a | 0.98(0.09)a | 1.10(0.09)a | 1.14(0.06)a | 1.17(0.05)a | 1.26(0.05)a |
| 0–20 cm | 20–30 cm | 30–40 cm | 40–50 cm | 50–60 cm | 60–80 cm | |
|---|---|---|---|---|---|---|
| C:N | ||||||
| NAT | 14.6(3.24)a | 15.9(1.34)a | 16.6(1.35)b | 18.2(2.96)b | 13.3(0.61)b | 12.4(1.02)a |
| S-UR | 15.7(0.88)a | 11.8(1.09)a | 11.5(1.63)ab | 11.4(1.79)ab | 9.48(2.49)ab | 9.37(2.64)a |
| C-FR | 14.5(0.94)a | 14.7(3.91)a | 9.68(0.77)a | 3.77(0.65)a | 4.54(0.86)a | 6.09(1.08)a |
| C-FI | 16.7(0.64)a | 14.8(0.73)a | 10.1(1.13)a | 9.39(1.50)a | 9.09(0.72)ab | 14.6(6.13)a |
| C:P | ||||||
| NAT | 24.4(6.51)a | 24.6(2.59)a | 28.4(6.79)b | 34.2(12.0)b | 19.9(1.34)a | 13.3(1.84)a |
| S-UR | 30.0(5.70)a | 32.4(11.41)a | 19.9(4.69)ab | 15.7(3.41)ab | 19.7(11.3)a | 26.7(19.5)a |
| C-FR | 18.5(1.17)a | 22.7(6.50)a | 8.68(1.67)a | 6.53(2.13)a | 4.83(1.65)a | 8.10(2.01)a |
| C-FI | 21.5(1.99)a | 13.9(2.34)a | 13.5(4.46)ab | 12.1(3.26)ab | 5.90(1.89)a | 9.89(3.54)a |
© 2020 by the authors. Licensee MDPI, Basel, Switzerland. This article is an open access article distributed under the terms and conditions of the Creative Commons Attribution (CC BY) license (http://creativecommons.org/licenses/by/4.0/).
Share and Cite
Livsey, J.; Alavaisha, E.; Tumbo, M.; Lyon, S.W.; Canale, A.; Cecotti, M.; Lindborg, R.; Manzoni, S. Soil Carbon, Nitrogen and Phosphorus Contents along a Gradient of Agricultural Intensity in the Kilombero Valley, Tanzania. Land 2020, 9, 121. https://doi.org/10.3390/land9040121
Livsey J, Alavaisha E, Tumbo M, Lyon SW, Canale A, Cecotti M, Lindborg R, Manzoni S. Soil Carbon, Nitrogen and Phosphorus Contents along a Gradient of Agricultural Intensity in the Kilombero Valley, Tanzania. Land. 2020; 9(4):121. https://doi.org/10.3390/land9040121
Chicago/Turabian StyleLivsey, John, Edmond Alavaisha, Madaka Tumbo, Steve W. Lyon, Antonio Canale, Michele Cecotti, Regina Lindborg, and Stefano Manzoni. 2020. "Soil Carbon, Nitrogen and Phosphorus Contents along a Gradient of Agricultural Intensity in the Kilombero Valley, Tanzania" Land 9, no. 4: 121. https://doi.org/10.3390/land9040121
APA StyleLivsey, J., Alavaisha, E., Tumbo, M., Lyon, S. W., Canale, A., Cecotti, M., Lindborg, R., & Manzoni, S. (2020). Soil Carbon, Nitrogen and Phosphorus Contents along a Gradient of Agricultural Intensity in the Kilombero Valley, Tanzania. Land, 9(4), 121. https://doi.org/10.3390/land9040121






