Crown Width–Tree Height Models for Magnolia grandiflora, Prunus cerasifera, and Acer negundo Growing in Cities in Northeastern Greece
Abstract
1. Introduction
2. Materials and Methods
2.1. Study Area
2.2. Sampling and Regression Models Tested
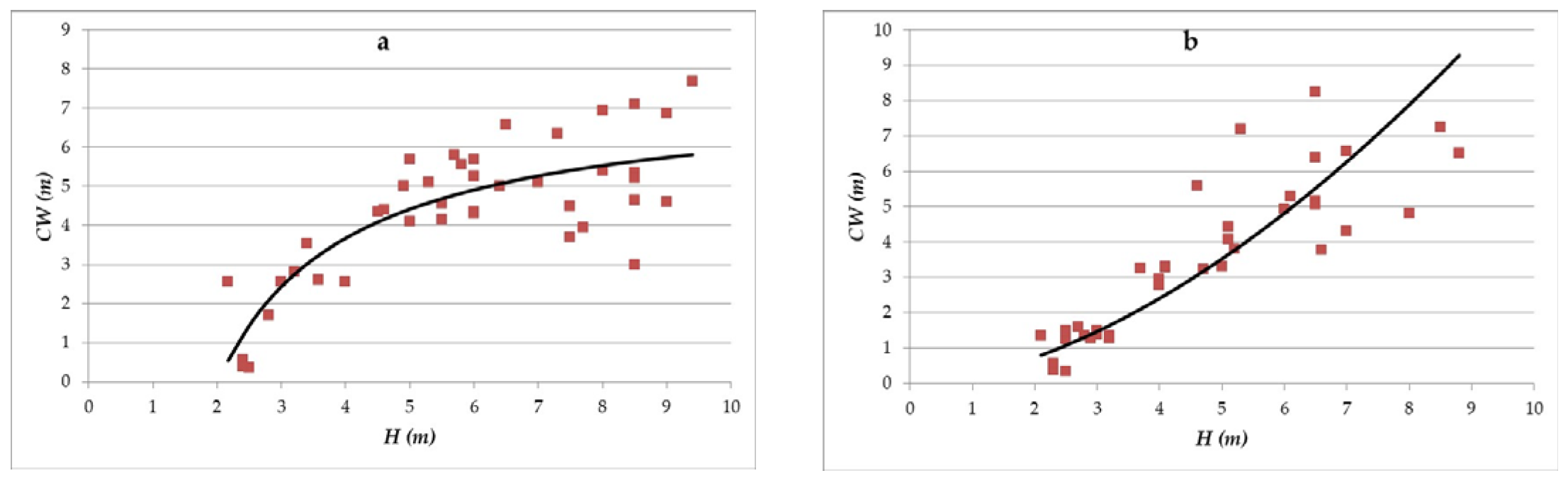
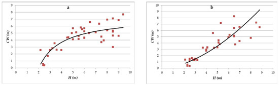
3. Results
4. Discussion
4.1. Developed Models
4.2. Practical Implications
4.3. Contributions to the Field
5. Conclusions
Author Contributions
Funding
Data Availability Statement
Conflicts of Interest
References
- Mullaney, J.; Lucke, T.; Trueman, S.J. A review of benefits and challenges in growing street trees in paved urban environments. Landsc. Urban Plan. 2015, 134, 157–166. [Google Scholar] [CrossRef]
- Wu, Z.; Chen, L. Optimizing the spatial arrangement of trees in residential neighborhoods for better cooling effects: Integrating modeling with in-situ measurements. Landsc. Urban Plan. 2017, 167, 160–166. [Google Scholar] [CrossRef]
- Li, X.; Ratti, C.; Seiferling, I. Quantifying the shade provision of street trees in urban landscape: A case study in Boston, USA, using Google Street View. Landsc. Urban Plan. 2018, 169, 81–91. [Google Scholar] [CrossRef]
- Dafis, S. Δασοκομία Πόλεων [Urban Forestry]; Art of Text Publications: Thessaloniki, Greece, 2001; 200p. [Google Scholar]
- Sui, Q.; Jia, H.; Zhao, M.; Zhou, Y.; Fan, L. Quantitative Evaluation of Ecosystem Services of Urban Street Trees: A Case Study of Shengjing Historical and Cultural Block in Shenyang, China. Sustainability 2023, 15, 2532. [Google Scholar] [CrossRef]
- Lee, J.H.; Ko, Y.; McPherson, G.E. The feasibility of remotely sensed data to estimate urban tree dimensions and biomass. Urban For. Urban Green. 2016, 16, 208–220. [Google Scholar] [CrossRef]
- Troxel, B.; Piana, M.; Ashton, M.S.; Murphy-Dunning, C. Relationships between bole and crown size for young urban trees in the northeastern USA. Urban For. Urban Green. 2013, 12, 144–153. [Google Scholar] [CrossRef]
- Hui, L.C.; Jim, C.Y.; Zhang, H. Allometry of urban trees in subtropical Hong Kong and effects of habitat types. Landsc. Ecol. 2020, 35, 1143–1160. [Google Scholar] [CrossRef]
- Chatziathanasiou, S.; Kitikidou, K.; Milios, E. Allometries of Acer negundo for a better space management in two cities of northeastern Greece. Folia Oecol. 2023, 50, 89–96. [Google Scholar] [CrossRef]
- Jim, C. Roadside trees in urban Hong Kong: Part III Tree Size and Growth Space. Arboric. J. 1997, 21, 73–88. [Google Scholar] [CrossRef]
- McPherson, E.G.; Peper, P. Urban Tree Growth Modeling. Arboric. Urban For. 2012, 38, 172–180. [Google Scholar] [CrossRef]
- Qiu, H.; Liu, S.; Zhang, Y.; Li, J. Variation in height-diameter allometry of ponderosa pine along competition, climate, and species diversity gradients in the western United States. For. Ecol. Manag. 2021, 497, 119477. [Google Scholar] [CrossRef]
- Semenzato, P.; Cattaneo, D.; Dainese, M. Growth prediction for five tree species in an Italian urban forest. Urban For. Urban Green. 2011, 10, 169–176. [Google Scholar] [CrossRef]
- Vaz Monteiro, M.; Doick, K.J.; Handley, P. Allometric relationships for urban trees in Great Britain. Urban For. Urban Green. 2016, 19, 223–236. [Google Scholar] [CrossRef]
- Ibrahim, E.M.; Osman, E.H.; Idris, E.A. Modelling the relationship between crown width and diameter at breast height for naturally grown Terminalia tree species. J. Nat. Resour. Environ. 2014, 2, 42–49. [Google Scholar]
- Burns, R.M.; Honkala, B.H. Silvics of North America. Volume 2. Hardwoods; Agriculture Handbook 654; Forest Service, Department of Agriculture: Washington, DC, USA, 1965; 877p. [Google Scholar]
- Gilman, E.F.; Watson, D.G. Magnolia grandiflora ‘Glen St. Mary’ ‘Glen St. Mary’ Southern Magnolia; Fact Sheet ST-373; Environmental Horticulture Department, Florida Cooperative Extension Service, Institute of Food and Agricultural Sciences, University of Florida: Gainesville, FL, USA, 1994. [Google Scholar]
- Maisenhelder, L.C. Magnolia (Magnolia grandiflora and Magnolia virginiana); FS-245; Forest Service, U.S. Department of Agriculture American Woods: Washington, DC, USA, 1970.
- Tutin, T.G.; Heywood, V.H.; Burges, N.A.; Moore, D.M.; Valentine, D.H.; Walters, S.M.; Webb, D.A. Flora Europaea; Cambridge University Press: Cambridge, UK, 1968; Volume 2. [Google Scholar]
- Popescu, I.; Caudullo, G. Prunus cerasifera in Europe: Distribution, Habitat, Usage and Threats; European Atlas of Forest Tree Species|Tree Species: Luxembourg, 2016. [Google Scholar]
- Korakis, G. Δασική Βοτανική, Aυτοφυή δέντρα και θάμνοι της Ελλάδας [Forest Botany, Native Trees and Shrubs of Greece]; Association of Greek Academic Libraries: Athens, Greece, 2015. [Google Scholar]
- Duchovskis, P.; Stanys, V.; Sasnauskas, A.; Bobinas, C. Cold Resistance of Prunus domestica L. and Prunus cerasifera Ehrh. in Lithuania. Acta Hortic. 2007, 734, 299–303. [Google Scholar] [CrossRef]
- Kamenova, I. Prunus cerasifera as a host of plum pox virus in Bulgaria. J. Plant Pathol. 2008; 90, (Suppl. S1), S1.15–S1.18. [Google Scholar]
- Yan, P.; Yang, J. Species diversity of urban forests in China. Urban For. Urban Green. 2017, 28, 160–166. [Google Scholar] [CrossRef]
- Erfmeier, A.; Bohnke, M.; Bruelheide, H. Secondary invasion of Acer negundo: The role of phenotypic responses versus local adaptation. Biol. Invasions 2011, 13, 1599–1614. [Google Scholar] [CrossRef]
- Porté, A.J.; Lamarque, L.J.; Lortie, C.J.; Michalet, R.; Delzon, S. Invasive Acer negundo outperforms native species in non-limiting resource environments due to its higher phenotypic plasticity. BMC Ecol. 2011, 11, 28. [Google Scholar] [CrossRef]
- Rolbiecki, S.; Rolbiecki, R.; Jagosz, B.; Wołowicz, W.K.; Ptach, W.; Stachowski, P.; Figas, A.; Grybauskiene, V.; Klimek, A.; Podsiadło, C. Water Needs of the Ash-Leaved Maple (Acer negundo L.) at the Period over Three Years after Reclamation in Different Regions of Poland. J. Ecol. Eng. 2019, 20, 69–75. [Google Scholar] [CrossRef]
- Straigytė, L.; Cekstere, G.; Laivins, M.; Marozas, V. The spread, intensity and invasiveness of the Acer negundo in Riga and Kaunas. Dendrobiology 2015, 74, 157–168. [Google Scholar] [CrossRef]
- Terekhina, T.A.; Ovcharova, N.V.; Elesova, N.V. The state of the ash-leaved maple (Acer negundo L.) in the Barnaul ribbon pine forest. IOP Conf. Ser. Earth Environ. Sci. 2021, 670, 012040. [Google Scholar] [CrossRef]
- Google Earth. Greece Screenshot. 2024. Available online: http://maps.google.com (accessed on 10 October 2022).
- Κεντρική Σελίδα ΕΛΣΤAΤ—ELSTAT. Available online: https://www.statistics.gr/ (accessed on 10 October 2022).
- Kottek, M.; Grieser, J.; Beck, C.; Rudolf, B.; Rubel, F. World map of the Köppen-Geiger climate classification updated. Meteorol. Z. 2006, 15, 259–263. [Google Scholar] [CrossRef] [PubMed]
- Krina, A.; Koutsias, N.; Pleniou, M.; Xystrakis, F. Climatic classification of Greece: Update—Future estimation-relation with forest vegetation. In Proceedings of the Panhellenic Forestry Conference & International Workshop, Edessa, Greece, 8–11 October 2017; pp. 1088–1095. (In Greek). [Google Scholar]
- Köppen-Geiger Explorer. Available online: https://koppen.earth/ (accessed on 10 October 2022).
- Gülçin, D.; van den Bosch, C.C.K. Assessment of above-ground carbon storage by urban trees using LiDAR data: The case of a university campus. Forests 2021, 12, 62. [Google Scholar] [CrossRef]
- Kitikidou, K.; Milios, E. LineFit.xls: A Microsoft Excel template for fitting 11 regression models to Y-X data. Šumarski List 2024, 3–4, 163–169. [Google Scholar] [CrossRef]
- Arlinghaus, S. Practical Handbook of Curve Fitting, 1st ed.; CRC Press: Boca Raton, FL, USA, 1994; 272p. [Google Scholar]
- Kitikidou, K. Εφαρμοσμένη στατιστική με χρήση του στατιστικού πακέτου SPSS [Applied Statistics with the Use of SPSS Statistical Package]; Tziolas Publications: Thessaloniki, Greece, 2005; 288p. [Google Scholar]
- Peper, P.J.; Alzate, C.P.; McNeil, J.W.; Hashemi, J. Allometric equations for urban ash trees (Fraxinus spp.) in Oakville, Southern Ontario, Canada. Urban For. Urban Green. 2014, 13, 175–183. [Google Scholar] [CrossRef]
- Pretzsch, H.; Biber, P.; Uhl, E.; Dahlhausen, J.; Rötzer, T.; Caldentey, J.; Koike, T.; Van Con, T.; Chavanne, A.; Seifert, T.; et al. Crown size and growing space requirement of common tree species in urban centres, parks, and forests. Urban For. Urban Green. 2015, 14, 466–479. [Google Scholar] [CrossRef]
- Sharma, R.P.; Vacek, Z.; Vacek, S. Individual tree crown width models for Norway spruce and European beech in Czech Republic. For. Ecol. Manag. 2016, 366, 208–220. [Google Scholar] [CrossRef]
- Coombes, A.; Martin, J.; Slater, D. Defining the allometry of stem and crown diameter of urban trees. Urban For. Urban Green. 2019, 44, 126421. [Google Scholar] [CrossRef]
- Hulshof, C.M.; Swenson, N.G.; Weiser, M.D. Tree height–diameter allometry across the United States. Ecol. Evol. 2015, 5, 1193–1204. [Google Scholar] [CrossRef]
- Milios, E.; Karali, D.; Bonicopoulou, C. Evaluation of street trees in the city of Volos. In Proceedings of the 12th Conference of Hellenic Forestry Society, Drama, Greece, 2–5 October 2005; pp. 115–125. (In Greek). [Google Scholar]
- Koutsona, P.I. Ecological Analysis and Evaluation of the Woody Flora of the City of Larissa. Master’s Thesis, Democritus University of Thrace, Komotini, Greece, 2009. [Google Scholar]
- Andreou, E. Contribution to the Urban Ecology of Cyprus: The Woody Vegetation of Non-Occupied Nicosia and the Problems of Street Trees. Master’s Thesis, University of Patras, Rio, Greece, 2010. [Google Scholar]
- Czaja, M.; Kołton, A.; Muras, P. The Complex Issue of Urban Trees—Stress Factor Accumulation and Ecological Service Possibilities. Forests 2020, 11, 932. [Google Scholar] [CrossRef]
- Kirkpatrick, J.B.; Davison, A.; Daniels, G.D. Resident Attitudes towards Trees Influence the Planting and Removal of Different Types of Trees in Eastern Australian Cities. Landsc. Urban Plan. 2012, 107, 147–158. [Google Scholar] [CrossRef]









| Νο | Model Name | Model |
|---|---|---|
| 1 | Linear | |
| 2 | Logarithmic | |
| 3 | Inverse | |
| 4 | Quadratic | |
| 5 | Cubic | |
| 6 | Power | |
| 7 | Compound | |
| 8 | S-curve | |
| 9 | Logistic | |
| 10 | Growth | |
| 11 | Exponential |
| Criterion | Formula | Optimum Value |
|---|---|---|
| Coefficient of determination | 1 | |
| Standard Error of the Estimate | min | |
| Root of the Mean Squared Error | min |
| (a) | ||||||
| City | Variable | N | Mean | Standard Deviation | Min | Max |
| Kavala | Total height H (m) | 70 | 5.78 | 1.89 | 2.07 | 11.00 |
| Crown width CW (m) | 70 | 4.35 | 1.52 | 0.61 | 8.14 | |
| Xanthi | Total height H (m) | 56 | 6.78 | 2.05 | 2.80 | 13.40 |
| Crown width CW (m) | 56 | 4.56 | 1.25 | 1.15 | 7.18 | |
| Komotini | Total height H (m) | 41 | 5.88 | 2.14 | 2.17 | 9.40 |
| Crown width CW (m) | 41 | 4.39 | 1.77 | 0.35 | 7.70 | |
| Alexandroupoli | Total height, H (m) | 70 | 5.53 | 2.01 | 1.80 | 9.30 |
| Crown width, CW (m) | 70 | 3.97 | 1.44 | 0.74 | 6.50 | |
| Orestiada | Total height, H (m) | 70 | 5.43 | 1.95 | 2.10 | 13.00 |
| Crown width, CW (m) | 70 | 4.05 | 1.47 | 0.77 | 7.13 | |
| Total | Total height, H (m) | 307 | 5.84 | 2.04 | 1.80 | 13.40 |
| Crown width, CW (m) | 307 | 4.24 | 1.49 | 0.35 | 8.14 | |
| (b) | ||||||
| City | Variable | N | Mean | Standard Deviation | Min | Max |
| Kavala | Total height H (m) | 39 | 4.78 | 1.36 | 2.20 | 8.40 |
| Crown width CW (m) | 39 | 4.33 | 1.15 | 1.18 | 7.13 | |
| Xanthi | Total height H (m) | 69 | 5.03 | 1.69 | 2.50 | 9.00 |
| Crown width CW (m) | 69 | 3.92 | 1.78 | 1.20 | 7.00 | |
| Komotini | Total height H (m) | 38 | 4.64 | 1.91 | 2.10 | 8.80 |
| Crown width CW (m) | 38 | 3.48 | 2.17 | 0.35 | 8.25 | |
| Alexandroupoli | Total height, H (m) | 68 | 4.22 | 1.67 | 1.82 | 8.00 |
| Crown width, CW (m) | 68 | 2.81 | 1.12 | 0.62 | 5.65 | |
| Orestiada | Total height, H (m) | 70 | 5.29 | 1.52 | 1.94 | 8.90 |
| Crown width, CW (m) | 70 | 4.53 | 1.99 | 0.60 | 8.46 | |
| Total | Total height, H (m) | 284 | 4.81 | 1.67 | 1.82 | 9.00 |
| Crown width, CW (m) | 284 | 3.80 | 1.80 | 0.35 | 8.46 | |
| (c) | ||||||
| City | Variable | N | Mean | Standard Deviation | Min | Max |
| Kavala | Total height H (m) | 47 | 5.59 | 1.73 | 1.60 | 9.80 |
| Crown width CW (m) | 47 | 4.35 | 2.09 | 0.79 | 11.20 | |
| Xanthi | Total height H (m) | 62 | 6.41 | 1.82 | 3.50 | 13.20 |
| Crown width CW (m) | 62 | 5.73 | 1.60 | 3.05 | 10.10 | |
| Total * | Total height, H (m) | 226 | 6.48 | 2.29 | 1.60 | 15.60 |
| Crown width, CW (m) | 226 | 5.67 | 2.44 | 0.79 | 17.30 | |
| Species | Selected Model | Comparison Criteria | ||
|---|---|---|---|---|
| R2 | SEE | RMSE | ||
| M. grandiflora | 2. CW b0 + b1lnH CW = −1.906 + 3.691lnH | 0.74 | 0.7780 | 0.7668 |
| P. cerasifera | 5. CW = b0 + b1H + b2H2 +b3H3 CW = −7.871 + 6.661H − 1.225H2 + 0.077H3 | 0.61 | 0.7291 | 0.7102 |
| A. negundo | 7. CW = b0b1H CW = 1.401H | 0.77 | 1.0228 | 1.0115 |
| Species | Selected Model | Comparison Criteria | ||
|---|---|---|---|---|
| R2 | SEE | RMSE | ||
| M. grandiflora | CW = | 0.60 | 0.7982 | 0.7839 |
| P. cerasifera | CW = | 0.73 | 0.9320 | 0.9184 |
| A. negundo | 11. CW = b0eb1H CW = 0.469e0.774H | 0.69 | 0.9069 | 0.8927 |
| Species | Selected Model | Comparison Criteria | ||
|---|---|---|---|---|
| R2 | SEE | RMSE | ||
| M. grandiflora | 3. CW = b0 CW = | 0.66 | 1.0388 | 1.0131 |
| P. cerasifera | 7. CW = b0b1H CW = 1.712H | 0.71 | 1.1755 | 1.2453 |
| Species | Selected Model | Comparison Criteria | ||
|---|---|---|---|---|
| R2 | SEE | RMSE | ||
| M. grandiflora | 4. CW = b0 + b1H + b2H2 CW = −1.685 + 1.538H − 0.082H2 | 0.81 | 0.6327 | 0.6236 |
| P. cerasifera | 7. CW = b0b1H CW = 0.951H | 0.79 | 0.5201 | 0.5165 |
| Species | Selected Model | Comparison Criteria | ||
|---|---|---|---|---|
| R2 | SEE | RMSE | ||
| M. grandiflora | 2. CW = b0 + b1lnH CW = −1.440 + 3.375lnH | 0.77 | 0.7164 | 0.7061 |
| P. cerasifera | 4. CW = b0 + b1H + b2H2 CW = −4.127 + 2.258H − 0.109H2 | 0.78 | 0.9467 | 0.9331 |
| Species | Selected Model | Comparison Criteria | ||
|---|---|---|---|---|
| R2 | SEE | RMSE | ||
| M. grandiflora | 5. CW = b0 + b1H + b2H2 + b3H3 CW = −2.872 + 2.218H − 0.199H2 + 0.006H3 | 0.72 | 0.7890 | 0.7864 |
| P. cerasifera | 4. CW = b0 + b1H + b2H2 CW = −2.551 + 1.813H−0.091H2 | 0.71 | 0.9703 | 0.9669 |
| A. negundo | 7. CW = b0b1H CW = 1.123H | 0.75 | 1.2221 | 1.2238 |
Disclaimer/Publisher’s Note: The statements, opinions and data contained in all publications are solely those of the individual author(s) and contributor(s) and not of MDPI and/or the editor(s). MDPI and/or the editor(s) disclaim responsibility for any injury to people or property resulting from any ideas, methods, instructions or products referred to in the content. |
© 2024 by the authors. Licensee MDPI, Basel, Switzerland. This article is an open access article distributed under the terms and conditions of the Creative Commons Attribution (CC BY) license (https://creativecommons.org/licenses/by/4.0/).
Share and Cite
Chatziathanasiou, S.; Kitikidou, K.; Milios, E. Crown Width–Tree Height Models for Magnolia grandiflora, Prunus cerasifera, and Acer negundo Growing in Cities in Northeastern Greece. Land 2024, 13, 1579. https://doi.org/10.3390/land13101579
Chatziathanasiou S, Kitikidou K, Milios E. Crown Width–Tree Height Models for Magnolia grandiflora, Prunus cerasifera, and Acer negundo Growing in Cities in Northeastern Greece. Land. 2024; 13(10):1579. https://doi.org/10.3390/land13101579
Chicago/Turabian StyleChatziathanasiou, Styliani, Kyriaki Kitikidou, and Elias Milios. 2024. "Crown Width–Tree Height Models for Magnolia grandiflora, Prunus cerasifera, and Acer negundo Growing in Cities in Northeastern Greece" Land 13, no. 10: 1579. https://doi.org/10.3390/land13101579
APA StyleChatziathanasiou, S., Kitikidou, K., & Milios, E. (2024). Crown Width–Tree Height Models for Magnolia grandiflora, Prunus cerasifera, and Acer negundo Growing in Cities in Northeastern Greece. Land, 13(10), 1579. https://doi.org/10.3390/land13101579

