Variation in Temperature, Precipitation, and Vegetation Greenness Drive Changes in Seasonal Variation of Avian Diversity in an Urban Desert Landscape
Abstract
1. Introduction
2. Materials and Methods
2.1. Study Area
2.2. Data Preparation
2.2.1. Avian Data
2.2.2. Environmental Data
- Land-use: Allen et al. [24] used field observations and satellite imagery to classify the CAP LTER bird census sites into five land-use types, and we used this information to classify the sites into agriculture (4 sites), urban (16), urban riparian (5), desert (13), and desert riparian (5).
- Vegetation: we used the Terra Moderate Resolution Imaging Spectroradiometer (MODIS) Vegetation Indices (MOD13Q1) V6 product [30,31] to download the normalized difference vegetation index (NDVI). NDVI is widely used to measure vegetation greenness, for example [7,9,25]. We then calculated the mean for each year and season. The original resolution for the NDVI variables is 250 m, but we rescaled it to 1 km to adjust to the climate variables.
- Energy and water-related variables: we used the NASA DAYMET V3 [31,32] to extract daily surface weather and climatological summaries. This dataset provides 1-km × 1-km gridded values for the United States, Mexico, Canada, Hawaii, and Puerto Rico. For 2000–2017, we extracted season (winter and spring) values for minimum temperature expressed as daily 2-m air temperature and annual precipitation expressed as the sum of all daily precipitation values. The minimum temperature in our study area was correlated with precipitation (0.27) and NDVI (0.08), whereas temperature was correlated with NDVI (0.14). We used the Google Earth Engine [31] to download environmental variables.
2.3. Statistical Analysis
3. Results
3.1. Variation in Avian Diversity across Years
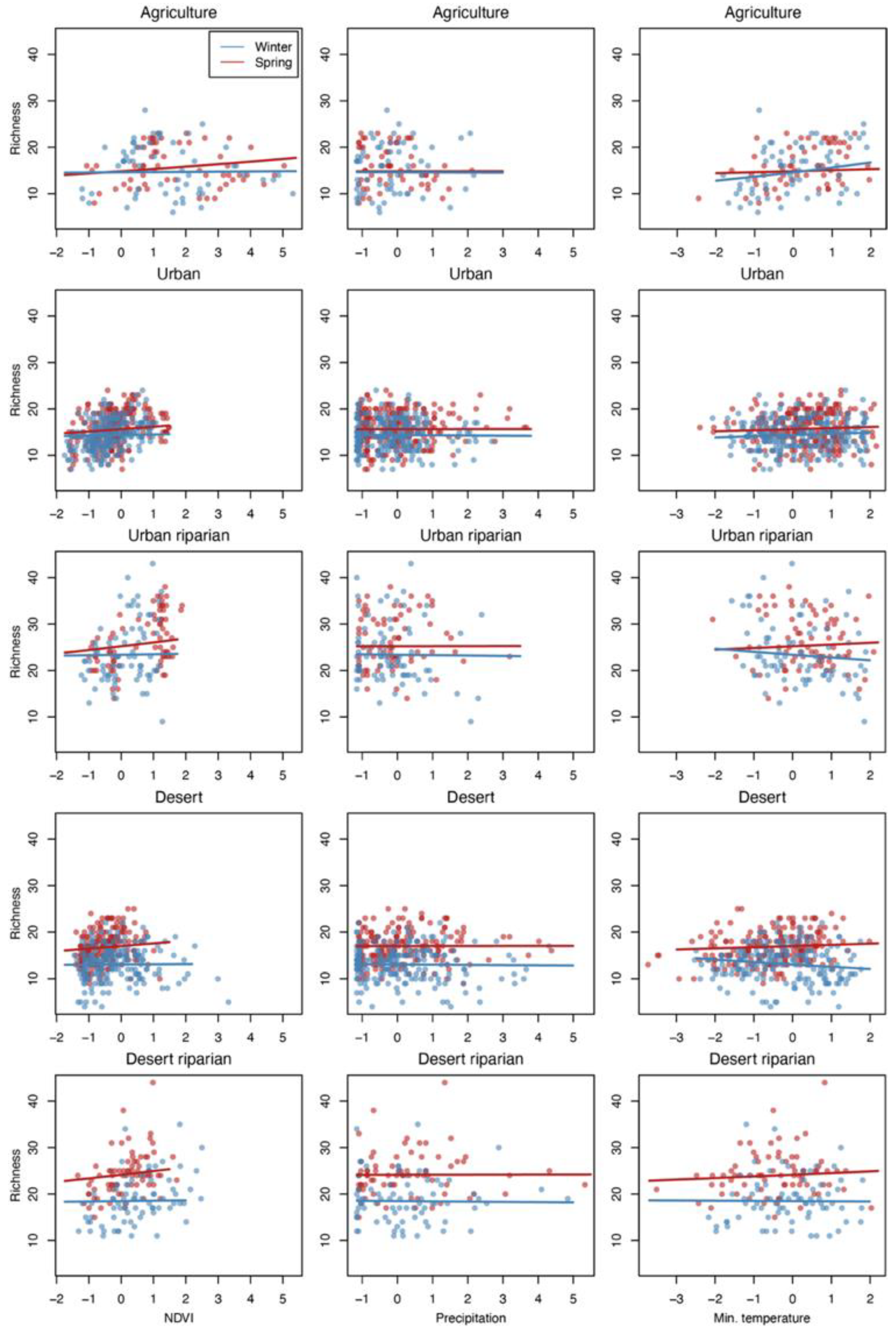
3.2. Environmental Predictors of Avian Abundance and Richness
4. Discussion
Supplementary Materials
Author Contributions
Funding
Institutional Review Board Statement
Informed Consent Statement
Data Availability Statement
Conflicts of Interest
References
- MacArthur, R.; MacArthur, J. On Bird Species Diversity. Ecology 1961, 42, 594–598. [Google Scholar] [CrossRef]
- Pianka, E.R. Latitudinal Gradients in Species Diversity: A Review of Concepts. Am. Nat. 1966, 100, 33–46. [Google Scholar] [CrossRef]
- Currie, D. Energy and Large-Scale Patterns of Animal and Plant Species Richness. Am. Nat. 1991, 137, 27–49. [Google Scholar] [CrossRef]
- Lennon, J.J.; Greenwood, J.J.D.; Turner, J.R.G. Bird Diversity and Environmental Gradients in Britain: A Test of the Species–Energy Hypothesis. J. Anim. Ecol. 2001, 69, 581–598. [Google Scholar] [CrossRef]
- Hawkins, B.; Field, R.; Cornell, H.; Currie, D.; Guégan, J.; Kaufman, D.; Turner, G. Energy, Water, and Broad-Scale Geographic Patterns of Species Richness. Ecology 2003, 84, 3105–3117. [Google Scholar] [CrossRef]
- Hawkins, B.A.; Porter, E.E. Relative Influences of Current and Historical Factors on Mammal and Bird Diversity Patterns in Deglaciated North America. Glob. Ecol. Biogeogr. 2003, 12, 475–481. [Google Scholar] [CrossRef]
- Hawkins, B.A.; Diniz-Filho, J.A.F.; Jaramillo, C.A.; Soeller, S.A. Climate, Niche Conservatism, and the Global Bird Diversity Gradient. Am. Nat. 2007, 170, S16–S27. [Google Scholar] [CrossRef]
- Warren, P.S.; Lerman, S.B.; Andrade, R.; Larson, K.L.; Bateman, H.L. The more Things Change: Species Losses Detected in Phoenix Despite Stability in Bird–Socioeconomic Relationships. Ecosphere 2019, 10, e02624. [Google Scholar] [CrossRef]
- Nieto, S.; Flombaum, P.; Garbulsky, M.F. Can Temporal and Spatial NDVI Predict Regional Bird-Species Richness? Glob. Ecol. Conserv. 2015, 3, 729–735. [Google Scholar] [CrossRef]
- Moura, M.R.; Villalobos, F.; Costa, G.C.; Garcia, P.C.A. Disentangling the Role of Climate, Topography and Vegetation in Species Richness Gradients. PLoS ONE 2015, 11, e0152468. [Google Scholar] [CrossRef]
- Banville, M.; Bateman, H.; Earl, S.; Warren, P. Decadal Declines in Bird Abundance and Diversity in Urban Riparian Zones. Landsc. Urban Plan. 2017, 159, 48–61. [Google Scholar] [CrossRef]
- Pfeifer, R.; Stadler, J.; Roland, B. Is the Seasonal Variation of Abundance and Species Richness in Birds Explained by Energy Availability? Acta Ornithol. 2018, 52, 167–178. [Google Scholar] [CrossRef]
- Santillán, V.; Quitián, M.; Tinoco, B.A.; Zárate, E.; Schleuning, M.; Böhning-Gaese, K.; Neuschulz, E.L. Spatio-Temporal Variation in Bird Assemblages is Associated with Fluctuations in Temperature and Precipitation Along a Tropical Elevational Gradient. PLoS ONE 2018, 13, e0196179. [Google Scholar] [CrossRef] [PubMed]
- Grimm, N.B.; Faeth, S.; Golubiewski, N.E.; Redman, C.L.; Wu, J.; Bai, X.; Briggs, J.M. Global change and the ecology of cities. Science 2008, 319, 756–760. [Google Scholar] [CrossRef] [PubMed]
- Wang, C.; Myint, S.W.; Wang, Z.; Song, J. Spatio-Temporal Modeling of the Urban Heat Island in the Phoenix Metropolitan Area: Land Use Change Implications. Remote Sens. 2016, 8, 185. [Google Scholar] [CrossRef]
- Isaksson, C. Impact of Urbanization on Birds. In Bird Species. Fascinating Life Sciences; Tietze, D., Ed.; Springer: Cham, Switzerland, 2018. [Google Scholar] [CrossRef]
- Finlayson, H.H. Heat in the Interior of South Australia: Holocaust of Bird-Life. South Aust. Ornithol. 1932, 11, 158–160. [Google Scholar]
- McKechnie, A.E.; Wolf, B.O. Climate Change Increases the Likelihood of Catastrophic Avian Mortality Events During Extreme Heat Waves. Biol. Lett. 2009, 6, 253–256. [Google Scholar] [CrossRef] [PubMed]
- Cam, E.; Nichols, J.D.; Sauer, J.R.; Hines, J.E.; Flather, C.H. Estimation of Relative Species Richness for Assessing the Degree of Completeness of Ecological Communities: Avian Communities and Urbanization in the Mid-Atlantic States. Ecol. Appl. 2000, 10, 1196–1210. [Google Scholar] [CrossRef]
- Muñoz-Pedreros, A.; González-Urrutia, M.; Encina-Montoya, F.; Norambuena, H.V. Effects of Vegetation Strata and Human Disturbance on Bird Diversity in Green Areas in a City in Southern Chile. Avian Res. 2018, 38. [Google Scholar] [CrossRef]
- Chace, J.; Walsh, J. Urban Effects on Native Avifauna: A Review. Landsc. Urban Plan. 2006, 74, 46–69. [Google Scholar] [CrossRef]
- Andrade, R.; Bateman, H.L.; Franklin, J.; Allen, D. Waterbird Community Composition, Abundance, and Diversity Along an Urban Gradient. Landsc. Urban Plan. 2018, 170, 103–111. [Google Scholar] [CrossRef]
- Duclos, T.R.; DeLuca, W.V.; King, D.I. Direct and Indirect Effects of Climate on Bird Abundance Along Elevation Gradients in the Northern Appalachian mountains. Divers. Distrib. 2019. [Google Scholar] [CrossRef]
- Allen, D.C.; Bateman, H.L.; Warren, P.S.; Albuquerque, F.S.; Arnett-Romero, S.; Harding, B. Long-Term Effects of Land-Use Change on Bird Communities Depend on Spatial Scale and Land-Use Type. Ecosphere 2019, 10, e02952. [Google Scholar] [CrossRef]
- Bonthoux, S.; Lefevre, S.; Herrault, P.A.; Sheeren, D. Spatial and Temporal Dependency of NDVI Satellite Imagery in Predicting Bird Diversity over France. Remote Sens. 2018, 10, 1136. [Google Scholar] [CrossRef]
- United States Census Bureau, NoDate. QuickFacts: Maricopa County, Arizona; Phoenix City, Arizona. Available online: https://www.census.gov/quickfacts/fact/table/maricopacountyarizona,phoenixcityarizona/POP010210 (accessed on 1 October 2020).
- Dimmitt, M.; Comus, P.; Phillips, S. A Natural History of the Sonoran Desert; Arizona-Sonora Desert Museum Press: Tucson, AZ, USA; University of California Press: Oakland, CA, USA, 2000. [Google Scholar]
- Municipal Planning Areas AZGeo Data. 2019. Available online: https://azgeo-open-data-agic.hub.arcgis.com/datasets/AZMAG::municipal-planning-areas-2019?geometry=-115.467%2C32.489%2C-108.315%2C34.096 (accessed on 31 March 2021).
- Bateman, H.; Childers, D.; Katti, M.; Shochat, E.; Warren, P. Point-Count Bird Censusing: Long-Term Monitoring of Bird Abundance and Diversity in Central Arizona-Phoenix, ongoing since 2000. Environ. Data Initiat. 2017. [Google Scholar] [CrossRef]
- Didan, K. MOD13Q1 MODIS/Terra Vegetation Indices 16-Day L3 Global 250m SIN Grid V006 [Data set]. NASA EOSDIS Land Process. DAAC 2015. [Google Scholar] [CrossRef]
- Gorelick, N.; Hancher, M.; Dixon, M.; Ilyushchenko, S.; Thau, D.; Moore, R. Google Earth Engine: Planetary-Scale Geospatial Analysis for Everyone. Remote Sens. Environ. 2017, 202, 18–27. [Google Scholar] [CrossRef]
- Thornton, P.E.; Thornton, M.M.; Mayer, B.W.; Wei, Y.; Devarakonda, R.; Vose, R.S.; Cook, R.B. Daymet: Daily Surface Weather Data on a 1-km Grid for North America, Version 3. ORNL DAAC 2016. [Google Scholar] [CrossRef]
- Bolker, B.M.; Brooks, M.E.; Clark, C.J.; Geange, S.W.; Poulsen, J.R.; Stevens, M.H.H.; White, J.S.S. Generalized Linear Mixed Models: A Practical Guide for Ecology and Evolution. Trends Ecol. Evol. 2009, 24, 127–135. [Google Scholar] [CrossRef]
- Zuur, A.F.; Ieno, E.N.; Walker, N.J.; Saveliev, A.A.; Smith, G.M. Mixed Effects Models and Extensions in Ecology with R; Springer: New York, NY, USA, 2009. [Google Scholar]
- Harrison, X.A.; Donaldson, L.; Corrrea-Cano, M.E.; Evans, J.; Fisher, D.N.; Goodwin, C.E.D.; Robinson, B.S.; Hodgson, D.J.; Inger, I. A Brief Introduction to Mixed Effects Modelling and Multi-Model Inference in Ecology. PeerJ 2018, 6, e4794. [Google Scholar] [CrossRef]
- Bates, D.; Maechler, M.; Bolker, B.; Walker, S. Fitting Linear Mixed-Effects Models Using lme4. J. Stat. Softw. 2015, 67, 1–48. [Google Scholar] [CrossRef]
- R Core Team. R: A Language and Environment for Statistical Computing; R Foundation for Statistical Computing: Vienna, Austria, 2020; Available online: https://www.R-project.org/ (accessed on 12 October 2020).
- Bolker, B. GLMM FAQ. 2020. Available online: http://bbolker.github.io/mixedmodels-misc/glmmFAQ.html (accessed on 15 June 2020).
- Burnham, K.P.; Anderson, D.R. Model Selection and Multimodel Inference: A Practical Information-Theoretic Approach, 2nd ed.; Springer-Verlag: New York, NY, USA, 2002. [Google Scholar]
- Barton, K. MuMIn: Multimodel Inference. R Package Version 1.43.6. 2019. Available online: https://CRAN.R-project.org/package=MuMIn (accessed on 12 October 2020).
- Fox, J.; Weisberg, S. An {R} Companion to Applied Regression, 3rd ed.; Sage: Thousand Oaks, CA, USA, 2019; Available online: https://socialsciences.mcmaster.ca/jfox/Books/Companion/ (accessed on 1 November 2020).
- Selwood, K.E.; Thomson, J.R.; Clarke, R.H.; McGeoch, M.A.; Mac Nally, R. Resistance and Resilience of Terrestrial Birds in Drying Climates: Do Floodplains Provide Drought Refugia? Glob. Ecol. Biogeogr. 2015, 24, 838–848. [Google Scholar] [CrossRef]
- Catford, J.A.; Naiman, R.J.; Chambers, L.E.; Roberts, J.; Douglas, M.; Davies, P. Predicting Novel Riparian Ecosystems in a Changing Climate. Ecosystems 2013, 16, 382–400. [Google Scholar] [CrossRef]
- Sabo, J.L.; Sponseller, R.; Dixon, M.; Gade, K.; Harms, T.; Heffernan, J.; Jani, A.; Katz, G.; Soykan, C.; Watts, J.; et al. Riparian Zones Increase Regional Species Richness by Harboring Different, Not More, Species. Ecology 2005, 86, 56–62. [Google Scholar] [CrossRef]
- Capon, S.J.; Chambers, L.E.; Mac Nally, R.; Naiman, R.J.; Davies, P.; Marshall, N.; Pittock, J.; Reid, M.; Capon, T.; Douglas, M.; et al. Riparian Ecosystems in the 21st Century: Hotspots for Climate Change Adaptation? Ecosystems 2013, 16, 359–381. [Google Scholar] [CrossRef]
- Selwood, K.E.; Clarke, R.H.; McGeoch, M.A.; Mac Nally, R. Green Tongues into the Arid Zone: River Floodplains Extend the Distribution of Terrestrial Bird Species. Ecosystems 2017, 20, 745–756. [Google Scholar] [CrossRef]
- Chow, W.T.; Brennan, D.; Brazel, A.J. Urban Heat Island Research in Phoenix, Arizona: Theoretical Contributions and Policy Applications. Bull. Am. Meteorol. Soc. 2012, 93, 517–530. [Google Scholar] [CrossRef]
- Fitzhugh, T.W.; Richter, B.D. Quenching Urban Thirst: Growing Cities and their Impacts on Freshwater Eco-Systems. BioScience 2004, 54, 741–754. [Google Scholar] [CrossRef]
- Bateman, H.L.; Stromberg, J.C.; Banville, M.J.; Makings, E.; Scott, B.D.; Suchy, A. and Wolkis, D. Novel Water Sources Restore Plant and Animal Communities Along an Urban River. Ecohydrology 2015, 8, 792–811. [Google Scholar] [CrossRef]
- Folliott, P.F.; Baker, M.B., Jr.; DeBano, L.F.; Neary, D.G. Introduction. In Riparian Areas of the Southwestern United States—Hydrology, Ecology, and Management; Baker, M.B., Jr., Folliott, P.F., DeBano, L.F., Neary, D.G., Eds.; CRC Press: Boca Raton, FL, USA, 2004; pp. 1–10. [Google Scholar]
- Cubley, E.S.; Bateman, H.L.; Riddle, S.B.; Holmquist-Johnson, C.; Merritt, D.M. Predicting Bird Guilds Using Vegetation Composition and Structure on a Wild and Scenic River in Arizona. Wetlands 2020, 40, 1829–1842. [Google Scholar] [CrossRef]
- Kirkpatrick, C.; Conway, C.J.; LaRoche, D. Surface Water Depletion and Riparian Birds. Final Report Submitted to Arizona Game and Fish Department by USGS Arizona Cooperative Fish and Wildlife Research Unit, Tucson, AZ, USA. 2009. Available online: https://tucsonaudubon.org/images/stories/conservation/Final%20Report%20for%20AGFD%20Heritage%20Fund%20(I07009).pdf (accessed on 10 January 2020).
- Phillips, L.B.; Hansen, A.J.; Flather, C.H. Evaluating the Species Energy Relationship with the Newest Measures of Ecosystem Energy: NDVI Versus MODIS Primary Production. US For. Serv. 2008, 112, 4381–4392. [Google Scholar] [CrossRef]
- Merritt, D.M.; Bateman, H.L. Linking Stream Flow and Groundwater to Avian Habitat in a Desert Riparian System. Ecol. Appl. 2012, 22, 1973–1988. [Google Scholar] [CrossRef] [PubMed]
- Rodrigues, A.; Borges-Martins, M.; Zilio, F. Bird Diversity in an Urban Ecosystem: The role of Local Habitats in Understanding the Effects of Urbanization. Iheringia Série Zool. 2018, 108. [Google Scholar] [CrossRef]
- Quian, Y.; Zhou, W.; Yu, W.; Pickett, S.T.A. Quantifying Spatiotemporal Pattern of Urban Greenspace: New Insights from High Resolution Data. Landsc. Ecol. 2015, 30, 1165–1173. [Google Scholar] [CrossRef]
- Woinarski, J.C.Z.; Brock, C.; Armstrong, M.; Hempel, C.; Cheal, D.; Brennan, K. Bird Distribution in Riparian Vegetation in the Extensive Natural Landscape of Australia’s Tropical Savanna: A Broad-Scale Survey and Analysis of a Distributional Data Base. J. Biogeogr. 2000, 27, 843–868. [Google Scholar] [CrossRef]
- Bennett, A.F.; Nimmo, D.G.; Radford, J.Q. Riparian Vegetation has Disproportionate Benefits for Landscape-Scale Conservation of Woodland Birds in Highly Modified Environments. J. Appl. Ecol. 2014, 51, 514–523. [Google Scholar] [CrossRef]
- Callaghan, C.; Major, R.; Lyons, M.; Martin, J.; Kingsford, R. The Effects of Local and Landscape Habitat Attributes on Bird Diversity in Urban Greenspaces. Ecosphere 2018, 9, e02347. [Google Scholar] [CrossRef]
- AZGD—Arizona Game and Fish Department. The Maricopa County Wildlife Connectivity Assessment: Report on Stakeholder Input. 2011. Available online: https://conservationcorridor.org/cpb/Arizona_Game_and_Fish_Department_2012-Maricopa.pdf (accessed on 4 September 2020).
- Mcfarland, T.; Van Riper, C.; Johnson, G. Evaluation of NDVI to Assess Avian Abundance and Richness Along the Upper San Pedro River. J. Arid Environ. 2012, 77, 45–53. [Google Scholar] [CrossRef]
- Iknayan, K.; Beissinger, S. Collapse of a Desert Bird Community Over the Past Century Driven by Climate Change. Proc. Natl. Acad. Sci. USA 2018, 115, 8597–8602. [Google Scholar] [CrossRef]
- Aynalem, S.; Bekele, A. Species Composition, Relative Abundance and Distribution of Bird Fauna of Riverine and Wetland Habitats of Infranz and Yiganda at Southern Tip of Lake Tana, Ethiopia. Trop. Ecol. 2008, 49, 199–209. [Google Scholar] [CrossRef]
- Kane, K.; Connors, J.; Galletti, C. Beyond Fragmentation at the Fringe: A Path-Dependent, High-Resolution Analysis of Urban Land Cover in Phoenix, Arizona. Appl. Geogr. 2014, 52, 123–134. [Google Scholar] [CrossRef]
- Conradie, S.R.; Woodborne, S.M.; Wolf, B.O.; Pessato, A.; Mariette, M.M.; McKechnie, A.E. Avian Mortality Risk During Heat Waves Will Increase Greatly in Arid Australia during the 21st Century. Conserv. Physiol. 2020, 8, coaa048. [Google Scholar] [CrossRef] [PubMed]
- Albright, T.P.; Mutiibwa, D.; Gerson, A.R.; Smith, E.K.; Talbote, W.A.; O’Neill, J.J.; McKechnie, A.E.; Wolf, B.O. Mapping Evaporative Water Loss in Desert Passerines Reveals an Expanding Threat of Lethal Dehydration. Proc. Natl. Acad. Sci. USA 2016, 114, 2283–2288. [Google Scholar] [CrossRef]
- Rega-Brodsky, C.C.; Nilon, C.H.; Warren, P.S. Balancing Urban Biodiversity Needs and Resident Preferences for Vacant Lot Management. Sustainability 2018, 10, 1679. [Google Scholar] [CrossRef]




| Abundance | Richness | |||
|---|---|---|---|---|
| Season | ||||
| Variables | Spring | Winter | Spring | Winter |
| Desert | −0.286 | −0.518 | 0.136 | −0.114 |
| Desert × NDVI | 0.218 | −0.046 | 0.004 | |
| Desert × Precip. | −0.070 | −0.090 | ||
| Desert × Min. Temperature | 0.026 | −0.099 | −0.133 | |
| Des. Riparian | −0.001 | −0.101 | 0.487 | 0.235 |
| Des. Riparian × NDVI | 0.125 | −0.054 | 0.033 | |
| Des. Riparian × Precip. | −0.029 | −0.062 | ||
| Des. Riparian × Min. Temperature | −0.027 | −0.016 | −0.087 | |
| Urban | 0.142 | 0.196 | 0.053 | −0.017 |
| Urban × NDVI | 0.114 | 0.153 | 0.530 | 0.155 |
| Urban × Precip. | −0.100 | −0.071 | ||
| Urban × Min. Temperature | −0.042 | −0.067 | −0.061 | |
| Urb. Riparian | 0.170 | 0.312 | 0.471 | |
| Urb. Riparian × NDVI | 0.067 | 0.110 | 0.040 | |
| Urb. Riparian × Precip. | −0.050 | −0.113 | ||
| Urb. Riparian × Min. Temperature | −0.017 | −0.098 | −0.117 | |
| NDVI | −0.004 | −0.023 | 0.040 | 0.010 |
| Precip. | −0.016 | 0.007 | 0.027 | −0.007 |
| Min. Temperature | 0.031 | 0.114 | 0.004 | 0.080 |
Publisher’s Note: MDPI stays neutral with regard to jurisdictional claims in published maps and institutional affiliations. |
© 2021 by the authors. Licensee MDPI, Basel, Switzerland. This article is an open access article distributed under the terms and conditions of the Creative Commons Attribution (CC BY) license (https://creativecommons.org/licenses/by/4.0/).
Share and Cite
de Albuquerque, F.S.; Bateman, H.L.; Boehme, C.; Allen, D.C.; Cayuela, L. Variation in Temperature, Precipitation, and Vegetation Greenness Drive Changes in Seasonal Variation of Avian Diversity in an Urban Desert Landscape. Land 2021, 10, 480. https://doi.org/10.3390/land10050480
de Albuquerque FS, Bateman HL, Boehme C, Allen DC, Cayuela L. Variation in Temperature, Precipitation, and Vegetation Greenness Drive Changes in Seasonal Variation of Avian Diversity in an Urban Desert Landscape. Land. 2021; 10(5):480. https://doi.org/10.3390/land10050480
Chicago/Turabian Stylede Albuquerque, Fábio Suzart, Heather L. Bateman, Cameron Boehme, Daniel C. Allen, and Luis Cayuela. 2021. "Variation in Temperature, Precipitation, and Vegetation Greenness Drive Changes in Seasonal Variation of Avian Diversity in an Urban Desert Landscape" Land 10, no. 5: 480. https://doi.org/10.3390/land10050480
APA Stylede Albuquerque, F. S., Bateman, H. L., Boehme, C., Allen, D. C., & Cayuela, L. (2021). Variation in Temperature, Precipitation, and Vegetation Greenness Drive Changes in Seasonal Variation of Avian Diversity in an Urban Desert Landscape. Land, 10(5), 480. https://doi.org/10.3390/land10050480

