Investigation of the Water Retention Characteristics and Mechanisms of Organic Clay
Abstract
1. Introduction
2. Materials and Methods
2.1. Experimental Materials
2.2. Sample Preparation
- (1)
- Treatment of red clay: ① The red clay was air-dried under sunlight, with the moisture content measured every 24 h until a stable moisture level was achieved. ② Following air drying, the red clay was pulverized using a hammer, and subsequently processed through a soil grinder to obtain a particle size that passed through a 0.5 mm sieve. ③ The ground red clay was then placed into a large crucible, where it was immersed in a hydrogen peroxide solution and heated to boiling using a laboratory electric furnace. This step was conducted to eliminate organic matter and other impurities present in the red clay. ④ After boiling the red clay solution, the electric furnace was turned off, and upon cooling of the crucible, the waste liquid was decanted into a waste container. Deionized water was added repeatedly for washing and filtering to remove any residual hydrogen peroxide from the red clay. ⑤ The filtered red clay was subjected to the same treatment as described in Steps 1 and 2. ⑥ Finally, the moisture content of the red clay was measured.
- (2)
- Treatment of peat: ① A quantity of peat soil was collected and fragmented using a soil knife, then evenly spread in a rectangular tray for subsequent processing. ② Using tweezers, visible remnants such as leaves and stems were meticulously removed from the peat. ③ The processed peat was then thoroughly mixed using a soil mixer to ensure homogeneity. ④ Following the mixing process, the moisture content of the peat was measured.
- (3)
- Preparation of experimental soil samples: ① Based on the target organic matter content and moisture level of the experimental soil samples, the required masses of red clay and peat, as well as the volume of water, were calculated accordingly. ② The necessary quantities of red clay and peat were accurately weighed using an electronic balance and placed into separate soil mixing containers for later use. ③ The red clay and peat were then combined and thoroughly mixed using a high-speed blade mixer. During the mixing process, a calibrated spray bottle was employed to gradually apply deionized water until the total volume of water added matched the calculated requirement. ④ The prepared soil samples were sealed in plastic bags and stored in a cool, shaded environment for no less than 90 days to facilitate the thorough integration of mineral soil and organic matter. It is noteworthy that drying (air-drying) may lead to irreversible damage to the “active” substances present in the peat.
2.3. Water Retention Characteristics Testing
2.3.1. Pressure Plate Method Testing
2.3.2. Filter Paper Method Testing
2.3.3. Vapor Equilibrium Method Test
2.4. Microscopic Measurement
2.4.1. SEM Test
2.4.2. MIP Test
3. Water Retention Characteristics of Organic Clay
3.1. Pressure Plate Method Test Results
3.2. Filter Paper Method Test Results
3.3. Vapor Equilibrium Method Test Results
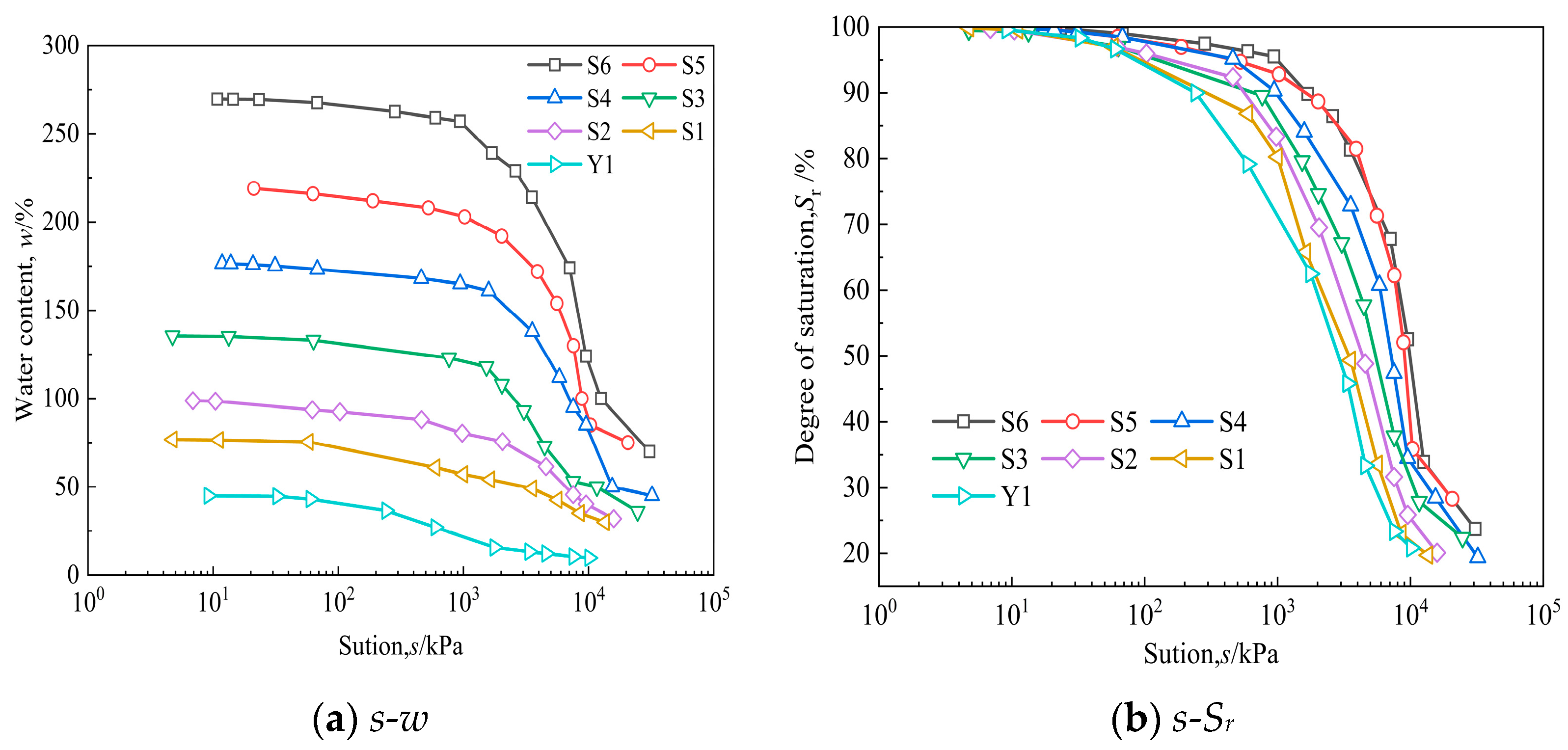
3.4. Soil–Water Characteristic Curves Across the Full Suction Range
4. Microscopic Tests on Organic Clay
4.1. SEM Test Results
4.2. MIP Test Results
4.2.1. Initial Pore State of the Soil Samples
4.2.2. Changes in Pore Structure During the Increase in Suction
5. Discussion
5.1. Influence of Organic Matter on the Pore Characteristics of Clay
5.2. Influence of Organic Matter on the Water Retention Characteristics of Clay
5.3. Organic Clay Water Retention and Its Impact on Engineering
6. Conclusions
- (1)
- By employing a combination of three methods, the suction values of organic matter-containing clay across different suction ranges were measured, clearly illustrating the soil–water characteristic curves during the desorption process of organic matter-containing clay across the entire suction range.
- (2)
- The organic matter content in the soil significantly affects its soil–water characteristic curves. As the organic matter content gradually increases, the air-entry value rises from 241 kPa to 1400 kPa, while the residual value increases from 4584.65 kPa to 21,820 kPa.
- (3)
- The influence of organic matter on the water retention capacity of clay is not fixed. In the initial stages, organic matter-containing soils exhibit superior water retention compared to red clay. However, as the suction increases to high levels, the soil–water characteristic curves of samples with different organic matter contents nearly overlap, indicating that the impact of organic matter on the water retention capacity of clay becomes relatively minor.
- (4)
- The particle morphology of mineral–organic aggregates transitions from ellipsoidal to plate-like shapes as organic matter content increases. The microstructural forms of the soil vary with changes in organic matter content. At low organic matter content, the predominant microstructural form is skeletal, with soil particles primarily contacting each other at edge–face or edge–edge interfaces. At higher organic matter content, the predominant microstructural form shifts to a laminated structure, with soil particles primarily contacting each other at face–face interfaces.
- (5)
- For soil samples with the same initial void ratio (e0), as the organic matter content increases, the cumulative mercury intrusion volume shows a decreasing trend, and the (PSD transitions from a dispersed type to a unimodal type, with an increased proportion of closed-type pores. This change enhances the water retention capacity of the soil at low suction levels. As suction increases, the peak pore diameter corresponding to the PSD curve first decreases and then remains constant, indicating that the influence of organic matter on the water retention capacity of clay gradually diminishes at high suction levels. This pattern is consistent with the evolution of the soil–water characteristic curves with increasing suction.
Author Contributions
Funding
Data Availability Statement
Conflicts of Interest
References
- Huat, B.B.K.; Kazemian, S.; Prasad, A.; Barghchi, M. State of an art review of peat: General perspective. Int. J. Phys. Sci. 2011, 6, 1988–1996. [Google Scholar]
- Day, R.W. Performance of Fill that Contains Organic Matter. J. Perform. Constr. Facil. 1994, 8, 264–273. [Google Scholar] [CrossRef]
- Taft, H.E.; Cross, P.A.; Hastings, A.; Yeluripati, J.; Jones, D.L. Estimating greenhouse gases emissions from horticultural peat soils using a DNDC modelling approach. J. Environ. Manag. 2019, 233, 681–694. [Google Scholar] [CrossRef] [PubMed]
- Li, S.; Lu, T.; Zhou, K.; Gu, Y.; Wang, B.; Lu, Y. Modeling and Application of the Hydrus-2D Model for Simulating Preferential Flow in Loess Soil Under Various Scenarios. Water 2024, 16, 3653. [Google Scholar] [CrossRef]
- Yang, M.; Cen, N.; Wang, Z.; Huang, B.; Lin, J.; Jiang, F.; Huang, Y.; Zhang, Y. Study of the Shear Strength Model of Unsaturated Soil in the Benggang Area of Southern China. Water 2024, 16, 3528. [Google Scholar] [CrossRef]
- Dafalla, M.; Al-Mahbashi, A.M. Identifying Problematic Soils Using Compressibility and Suction Characteristics. Buildings 2024, 14, 521. [Google Scholar] [CrossRef]
- Al-Mahbashi, A.M.; Elkady, T.; Al-Shamrani, M. The Role of Stress States on the Hysteric Behavior of Expansive Soil under Multiple Drying-Wetting Cycles. Buildings 2023, 13, 1619. [Google Scholar] [CrossRef]
- Feng, C.; Shengjun, S.; Cunli, C. Experimental research on influences of dry density and vertical stress on soil-water characteristic curves of intact unsaturated loess. Chin. J. Rock Mech. Eng. 2014, 33, 413–420. [Google Scholar]
- Black, W.P.M. A Method of Estimating the California Bearing Ratio of Cohesive Soils from Plasticity Data. Geotechnique 1962, 12, 271–282. [Google Scholar] [CrossRef]
- Fleureau, J.; Verbrugge, J.; Huergo, P.J.; Correia, A.G.; Kheirbek-Saoud, S. Aspects of the behaviour of compacted clayey soils on drying and wetting paths. Can. Geotech. J. 2002, 39, 1341–1357. [Google Scholar] [CrossRef]
- Sun, D.A.; Liu, W.J.; Lü, H.B. Soil-water characteristic curve of Guilin lateritic clay. Rock Soil Mech. 2014, 35, 3345–3351. [Google Scholar]
- Yue, G.; Rui, L.; Zhenxin, Z. Study on Soil Water Characteristic Curve of Peaty Soil with High Degree of Decomposition. J. Disaster Prev. Mitig. Eng. 2021, 41, 622–628. [Google Scholar]
- Liu, Q.Q.; Li, J.; Cai, G.Q.; Li, P.L.; Li, X. Experimental study on water retention characteristics of saline soil in the full suction range. Rock Soil Mech. 2021, 42, 713–722. [Google Scholar]
- Cai, G.; Han, B.; Yang, Y.; Liu, Y.; Zhao, C. Experimental study on soil-water characteristic curves of sandy loess. Chin. J. Geotech. Eng. 2020, 42, 11–15. [Google Scholar] [CrossRef]
- Sreedeep, S.; Singh, D.N. Methodology for determination of osmotic suction of soils. Geotech. Geol. Eng. 2006, 24, 1469–1479. [Google Scholar] [CrossRef]
- Wang, S.; Guo, X.; You, F.; Zhang, Z.; Shen, T.; Chen, Y.; Zhai, Q. Estimation of the Soil–Water Characteristic Curve from Index Properties for Sandy Soil in China. Water 2024, 16, 2044. [Google Scholar] [CrossRef]
- Alnmr, A.; Alzawi, M.O.; Ray, R.; Abdullah, S.; Ibraheem, J. Experimental Investigation of the Soil-Water Characteristic Curves (SWCC) of Expansive Soil: Effects of Sand Content, Initial Saturation, and Initial Dry Unit Weight. Water 2024, 16, 627. [Google Scholar] [CrossRef]
- Yang, F.; Zhang, G.L.; Yang, J.L.; Li, D.C.; Zhao, Y.G.; Liu, F.; Yang, R.M.; Yang, F. Organic matter controls of soil water retention in an alpine grassland and its significance for hydrological processes. J. Hydrol. 2014, 519, 3086–3093. [Google Scholar] [CrossRef]
- Ebel, B.A. Wildfire impacts on soil-water retention in the Colorado Front Range, United States. Water Resour. Res. 2012, 48, 1–12. [Google Scholar] [CrossRef]
- Jin, Y.; Wang, Q.; Dong, J.; Liu, S.; Zheng, J.; Li, Y. Characterization of the complexity assembly of fractal bed-packing porous media. Chin. J. Rock Mech. Eng. 2022, 41, 1160–1171. [Google Scholar] [CrossRef]
- Smart, P. Optical Microscopy and Soil Structure. Nature 1966, 210, 1400. [Google Scholar] [CrossRef]
- Morgenstern, N.R.; Tchalenko, J.S. Microscopic Structures in Kaolin Subjected to Direct Shear. Geotechnique 1967, 17, 309–328. [Google Scholar] [CrossRef]
- Barden, L.; Sides, G. Sample Disturbance in the Investigation of Clay Structure. Geotechnique 1971, 21, 211–222. [Google Scholar] [CrossRef]
- Thompson, A.H.; Katz, A.J. Fractal Sandstone Pores: Implications for Conductivity and Pore Formation. Phys. Rev. Lett. 1985, 54, 1325–1328. [Google Scholar] [CrossRef]
- ASTM D4427-18; Standard Classification of Peat Samples by Laboratory Testing. ASTM International: West Conshohocken, PA, USA, 2013.
- Ministry of Transportation of the People’s Republic of China. Test Methods of Soils for Highway Engineering; Ministry of Transportation of the People’s Republic of China: Beijing, China, 2020.
- Verruijt, A.V.B.S. Soil Mechanics; Delft University of Technology: Delft, The Netherlands, 2007. [Google Scholar]
- Wang, H.; Ni, W.; Yuan, K.; Nie, Y.; Li, L. Study on SWCC and PSD evolution of compacted loess before and after drying-wetting cycles. Bull. Eng. Geol. Environ. 2023, 82, 180. [Google Scholar] [CrossRef]
- Leong, E.C.; He, L.; Rahardjo, H. Factors Affecting the Filter Paper Method for Total and Matric Suction Measurements. Geotech. Test. J. 2002, 25, 322–333. [Google Scholar] [CrossRef]
- Tang, C.; Cui, Y.; Tang, A.; Shi, B. Volumetric shrinkage characteristics of soil during drying. Chin. J. Geotech. Eng. 2011, 33, 1271–1279. [Google Scholar]
- Peng, Y.; Zhang, Z.; An, T.; Qian, K. Principle and Practice of Conductive Epoxy Resin to Eliminate Charging Problem in Scanning Electron Microscope Images. Anal. Test. Technol. Instrum. 2022, 28, 125–131. [Google Scholar] [CrossRef]
- Zeng, Z.T.; Lu, H.B.; Zhao, Y.L.; Wang, Z.B. Study of pore size distribution of expansive soil during wetting-drying cycle and its application. Rock Soil Mech. 2013, 34, 322–328. [Google Scholar]
- Zhang, P.; Fang, Y.G.; Yan, X.Q.; He, Z.W. Study of different dry methods for drying remolded bentonite sample with mercury intrusion test. Rock Soil Mech. 2011, 32, 388–391. [Google Scholar]
- Liang, W.; Wei, C.; Yan, R. Microstructure and compression characteristics of NaCl solutions saturated expansive soil. Rock Soil Mech. 2019, 40, 4759–4766. [Google Scholar] [CrossRef]
- Osipov, J.B.; Sokolov, B.A. On the texture of clay soils of different genesis investigated by magnetic anisotropy method. In Proceedings of the International Symposium on Soil Structure, Gothenburg, Sweden, 1 August 1973. [Google Scholar]
- Morgenstern, N.R.; Price, V.E. The Analysis of the Stability of General Slip Surfaces. Geotechnique 1965, 15, 79–93. [Google Scholar] [CrossRef]
- Wilson, I. Applied Clay Mineralogy. Occurrences, processing and application of kaolins, bentonite, palygorskitesepiolite, and common clays. Clays Clay Miner. 2007, 55, 644–645. [Google Scholar] [CrossRef]
- Wu, H.H.; Zhang, Q.Y.; Fang, J.Z. An experimental study of the humic acid sorption on kaolinite and Si/Al-oxide minerals. Acta Petrol. Et Mineral. 2003, 22, 173–176. [Google Scholar]
- Chao, W. Progress in resaerch on soil organo-mineral complexes. Adv. Earth Sci. 2003, 18, 221–227. [Google Scholar]
- Bordoloi, S.; Gopal, P.; Boddu, R.; Wang, Q.; Cheng, Y.F.; Garg, A.; Sreedeep, S. Soil-biochar-water interactions: Role of biochar from Eichhornia crassipes in influencing crack propagation and suction in unsaturated soils. J. Clean. Prod. 2019, 210, 847–859. [Google Scholar] [CrossRef]
- Lu, S.; Sun, F.; Zong, Y. Effect of rice husk biochar and coal fly ash on some physical properties of expansive clayey soil (Vertisol). Catena 2014, 114, 37–44. [Google Scholar] [CrossRef]
- Glaser, B.; Lehmann, J.; Zech, W. Ameliorating physical and chemical properties of highly weathered soils in the tropics with charcoal—A review. Biol. Fertil. Soils 2002, 35, 219–230. [Google Scholar] [CrossRef]
- Chan, K.Y.; Van Zwieten, L.; Meszaros, I.; Downie, A.; Joseph, S. Using poultry litter biochars as soil amendments. Soil Res. 2008, 46, 437–444. [Google Scholar] [CrossRef]











| Name | Liquid Limit wL/% | Plastic Limit wp/% | Gs | SSA/m2/g |
|---|---|---|---|---|
| Red clay | 82.1 | 32.8 | 2.68 | 54 |
| Peat | 762.3 | 154.8 | 1.08 | — |
| Experiment Name | Suction Path |
|---|---|
| Pressure Plate Method Testing | 1 kPa→20 kPa→40 kPa→80 kPa→160 kPa→300 kPa→450 kPa→600 kPa→900 kPa→1400 kPa |
| Saturated Salt Solutions | Suction p/MPa |
|---|---|
| LiBr | 367.54 |
| LiCl·H2O | 286.70 |
| CH3COOK | 198.14 |
| MgCl2·6H2O | 149.51 |
| K2CO3 | 113.50 |
| NaBr | 71.12 |
| KI | 48.42 |
| NaCl | 38.00 |
| KCL | 21.82 |
| Na2SO3·7H2O | 13.10 |
| K2SO4 | 3.29 |
| Experiment Name | Soil Samples | Suction p/MPa | e0 |
|---|---|---|---|
| SEM | Y1, S1, S2, S3 | 0 | 1.5 |
| MIP | Y1, S1, S2, S3 | 0 | |
| S3 | 3.29 | ||
| 13.10 | |||
| 21.82 |
| Soil Sample Number | Air-Entry Values | Residual Values |
|---|---|---|
| Y1 | 25.69 | 1084.65 |
| S1 | 106.15 | 1984.65 |
| S2 | 196.89 | 2654.25 |
| S3 | 356.63 | 5534.24 |
| S4 | 567.45 | 8546.32 |
| S5 | 841.6 | 9645.32 |
| S6 | 1023.58 | 10,100.63 |
Disclaimer/Publisher’s Note: The statements, opinions and data contained in all publications are solely those of the individual author(s) and contributor(s) and not of MDPI and/or the editor(s). MDPI and/or the editor(s) disclaim responsibility for any injury to people or property resulting from any ideas, methods, instructions or products referred to in the content. |
© 2025 by the authors. Licensee MDPI, Basel, Switzerland. This article is an open access article distributed under the terms and conditions of the Creative Commons Attribution (CC BY) license (https://creativecommons.org/licenses/by/4.0/).
Share and Cite
Song, Z.; Gui, Y.; Hua, L.; Yuan, S.; Hu, R. Investigation of the Water Retention Characteristics and Mechanisms of Organic Clay. Water 2025, 17, 286. https://doi.org/10.3390/w17030286
Song Z, Gui Y, Hua L, Yuan S, Hu R. Investigation of the Water Retention Characteristics and Mechanisms of Organic Clay. Water. 2025; 17(3):286. https://doi.org/10.3390/w17030286
Chicago/Turabian StyleSong, Zeyu, Yue Gui, Lun Hua, Shisong Yuan, and Ruisheng Hu. 2025. "Investigation of the Water Retention Characteristics and Mechanisms of Organic Clay" Water 17, no. 3: 286. https://doi.org/10.3390/w17030286
APA StyleSong, Z., Gui, Y., Hua, L., Yuan, S., & Hu, R. (2025). Investigation of the Water Retention Characteristics and Mechanisms of Organic Clay. Water, 17(3), 286. https://doi.org/10.3390/w17030286
