Investigating the Impact of Large Lakes on Local Precipitation: Case Study of Lake Urmia, Iran
Abstract
1. Introduction
2. Study Area
3. Methodology
3.1. Background Information
3.1.1. Research Hypothesis
3.1.2. Representative Parameters of Atmospheric Humidity and Precipitation
3.2. Input Data
3.3. Data Analysis
4. Results
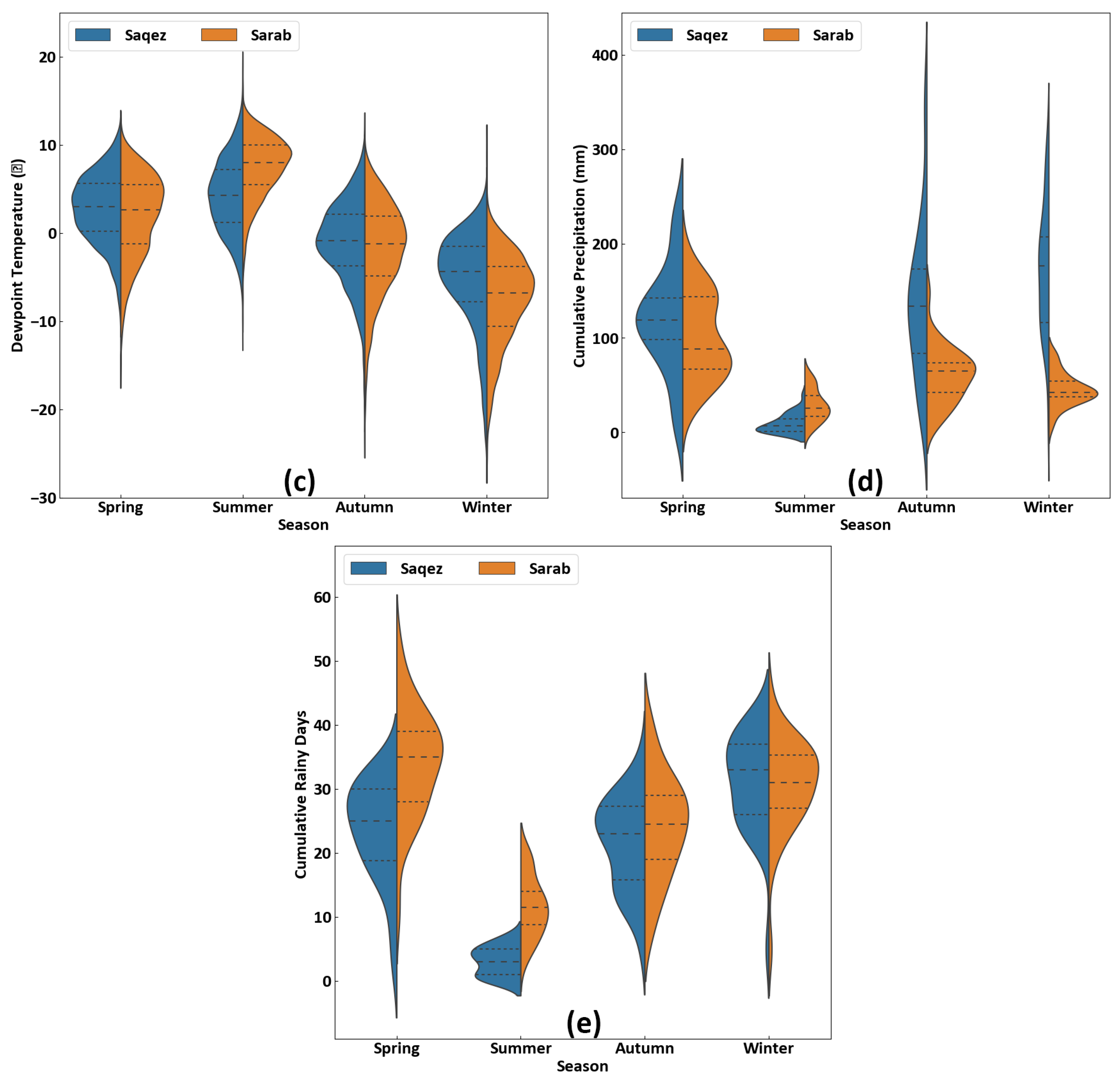
4.1. Spatial Differences in Meteorological Parameters across the Basin
4.2. Effect of Decreasing Lake Water Level on Fluctuations in Precipitation in the Basin
5. Discussion
6. Conclusions
Supplementary Materials
Author Contributions
Funding
Data Availability Statement
Acknowledgments
Conflicts of Interest
References
- Delju, A.H.; Ceylan, A.; Piguet, E.; Rebetez, M. Observed Climate Variability and Change in Urmia Lake Basin, Iran. Theor. Appl. Climatol. 2013, 111, 285–296. [Google Scholar] [CrossRef]
- Alizadeh-Choobari, O.; Ahmadi-Givi, F.; Mirzaei, N.; Owlad, E. Climate Change and Anthropogenic Impacts on the Rapid Shrinkage of Lake Urmia. Int. J. Climatol. 2016, 36, 4276–4286. [Google Scholar] [CrossRef]
- Hossein Mardi, A.; Khaghani, A.; MacDonald, A.B.; Nguyen, P.; Karimi, N.; Heidary, P.; Karimi, N.; Saemian, P.; Sehatkashani, S.; Tajrishy, M.; et al. The Lake Urmia Environmental Disaster in Iran: A Look at Aerosol Pollution. Sci. Total Environ. 2018, 633, 42–49. [Google Scholar] [CrossRef]
- Dehghanipour, A.H.; Zahabiyoun, B.; Schoups, G.; Babazadeh, H. A WEAP-MODFLOW Surface Water-Groundwater Model for the Irrigated Miyandoab Plain, Urmia Lake Basin, Iran: Multi-Objective Calibration and Quantification of Historical Drought Impacts. Agric. Water Manag. 2019, 223, 105704. [Google Scholar] [CrossRef]
- Khazaei, B.; Khatami, S.; Alemohammad, S.H.; Rashidi, L.; Wu, C.; Madani, K.; Kalantari, Z.; Destouni, G.; Aghakouchak, A. Climatic or Regionally Induced by Humans? Tracing Hydro-Climatic and Land-Use Changes to Better Understand the Lake Urmia Tragedy. J. Hydrol. 2019, 569, 203–217. [Google Scholar] [CrossRef]
- Dehghanipour, A.H.; Moshir Panahi, D.; Mousavi, H.; Kalantari, Z.; Tajrishy, M. Effects of Water Level Decline in Lake Urmia, Iran, on Local Climate Conditions. Water 2020, 12, 2153. [Google Scholar] [CrossRef]
- Schulz, S.; Darehshouri, S.; Hassanzadeh, E.; Tajrishy, M.; Schüth, C. Climate Change or Irrigated Agriculture—What Drives the Water Level Decline of Lake Urmia. Sci. Rep. 2020, 10, 236. [Google Scholar] [CrossRef] [PubMed]
- Meydani, A.; Dehghanipour, A.; Schoups, G.; Tajrishy, M. Daily Reservoir Inflow Forecasting Using Weather Forecast Downscaling and Rainfall-Runoff Modeling: Application to Urmia Lake Basin, Iran. J. Hydrol. Reg. Stud. 2022, 44, 101228. [Google Scholar] [CrossRef]
- Herdendorf, C.E. Large Lakes of the World. J. Great Lakes Res. 1982, 8, 379–412. [Google Scholar] [CrossRef]
- Bai, J.; Lu, Q.; Zhao, Q.; Wang, J.; Ouyang, H. Effects of Alpine Wetland Landscapes on Regional Climate on the Zoige Plateau of China. Adv. Meteorol. 2013, 2013, e972430. [Google Scholar] [CrossRef]
- Kuşçu Şimşek, Ç.; Ödül, H. Investigation of the Effects of Wetlands on Micro-Climate. Appl. Geogr. 2018, 97, 48–60. [Google Scholar] [CrossRef]
- Zhao, S.; Cook, K.H.; Vizy, E.K. How Shrinkage of Lake Chad Affects the Local Climate. Clim. Dyn. 2022, 61, 595–619. [Google Scholar] [CrossRef]
- Shafir, H.; Alpert, P. Regional and Local Climatic Effects on the Dead-Sea Evaporation. Clim. Chang. 2011, 105, 455–468. [Google Scholar] [CrossRef]
- Ashbel, D.; Brooks, C.E.P. The Influence of the Dead Sea on the Climate of Its Neighbourhood. Q. J. R. Meteorol. Soc. 1939, 65, 185–194. [Google Scholar] [CrossRef]
- Alpert, P.; Shafir, H. Separating Regional vs. Local Climatic Effects: Example with the Dead-Sea Evaporation. In Proceedings of the 12th Plinius Conference on Mediterranean Storms, Corfu Island, Greece, 1–4 September 2010; p. 81. [Google Scholar]
- Glantz, M.H. Aral Sea Basin: A Sea Dies, a Sea Also Rises. Ambi 2007, 36, 323–327. [Google Scholar] [CrossRef]
- Micklin, P. The Past, Present, and Future Aral Sea. Lakes Res. Sci. Policy Manag. Sustain. Use 2010, 15, 193–213. [Google Scholar] [CrossRef]
- Saligheh et al. The Impacts of Hamoon Lake Level Changes on the Local Climate of Sistan. 2010. Available online: https://civilica.com/doc/82832/ (accessed on 1 October 2023). (In Persian).
- Scott, R.W.; Huff, F.A. Impacts of the Great Lakes on Regional Climate Conditions. J. Great Lakes Res. 1996, 22, 845–863. [Google Scholar] [CrossRef]
- Eimanifar, A.; Mohebbi, F. Urmia Lake (Northwest Iran): A Brief Review. Aquat. Biosyst. 2007, 3, 5. [Google Scholar] [CrossRef]
- Sima, S.; Ahmadalipour, A.; Shafiee Jood, M.; Tajrishy, M.; Abrishamchi, A. Monitoring Urmia Lake Area Variations Using MODIS Satellite Data. In Proceedings of the World Environmental and Water Resources Congress 2012: Crossing Boundaries, Albuquerque, NM, USA, 20–24 May 2012; pp. 1917–1926. [Google Scholar] [CrossRef]
- Huang, J.; Zhang, Y.; Arhonditsis, G.B.; Gao, J.; Chen, Q.; Wu, N.; Dong, F.; Shi, W. How Successful Are the Restoration Efforts of China’s Lakes and Reservoirs? Environ. Int. 2019, 123, 96–103. [Google Scholar] [CrossRef]
- Ghaheri, M.; Baghal-Vayjooee, M.H.; Naziri, J. Lake Urmia, Iran: A Summary Review. Int. J. Salt Lake Res. 1999, 8, 19–22. [Google Scholar] [CrossRef]
- Yapiyev, V.; Sagintayev, Z.; Inglezakis, V.J.; Samarkhanov, K.; Verhoef, A. Essentials of Endorheic Basins and Lakes: A Review in the Context of Current and Future Water Resource Management and Mitigation Activities in Central Asia. Water 2017, 9, 798. [Google Scholar] [CrossRef]
- Asem, A.; Eimanifar, A.; Djamali, M.; De los Rios, P.; Wink, M. Biodiversity of the Hypersaline Urmia Lake National Park (NW Iran). Diversity 2014, 6, 102–132. [Google Scholar] [CrossRef]
- Parsinejad, M.; Rosenberg, D.E.; Ghale, Y.A.G.; Khazaei, B.; Null, S.E.; Raja, O.; Safaie, A.; Sima, S.; Sorooshian, A.; Wurtsbaugh, W.A. 40-Years of Lake Urmia Restoration Research: Review, Synthesis and next Steps. Sci. Total Environ. 2022, 832, 155055. [Google Scholar] [CrossRef] [PubMed]
- Roushangar, K.; Alami, M.T.; Golmohammadi, H. Modeling the Effects of Land Use/Land Cover Changes on Water Requirements of Urmia Lake Basin Using CA-Markov and NETWAT Models. Model. Earth Syst. Environ. 2023, 9, 2569–2581. [Google Scholar] [CrossRef]
- Ahmadaali, J.; Barani, G.-A.; Qaderi, K.; Hessari, B. Analysis of the Effects of Water Management Strategies and Climate Change on the Environmental and Agricultural Sustainability of Urmia Lake Basin, Iran. Water 2018, 10, 160. [Google Scholar] [CrossRef]
- Alizade Govarchin Ghale, Y.; Baykara, M.; Unal, A. Investigating the Interaction between Agricultural Lands and Urmia Lake Ecosystem Using Remote Sensing Techniques and Hydro-Climatic Data Analysis. Agric. Water Manag. 2019, 221, 566–579. [Google Scholar] [CrossRef]
- Esmailzadeh, S.; Rizi, A.P.; Mianabadi, H. Evaluation of the Water Policies of the Urmia Lake Basin: Has the Government Accurately Identified the Problem? Environ. Sci. Policy Sustain. Dev. 2023, 65, 18–34. [Google Scholar] [CrossRef]
- Wang, J.; Song, C.; Reager, J.T.; Yao, F.; Famiglietti, J.S.; Sheng, Y.; MacDonald, G.M.; Brun, F.; Schmied, H.M.; Marston, R.A.; et al. Recent Global Decline in Endorheic Basin Water Storages. Nat. Geosci. 2018, 11, 926–932. [Google Scholar] [CrossRef] [PubMed]
- Malek, K.; Adam, J.C.; Stöckle, C.O.; Peters, R.T. Climate Change Reduces Water Availability for Agriculture by Decreasing Non-Evaporative Irrigation Losses. J. Hydrol. 2018, 561, 444–460. [Google Scholar] [CrossRef]
- Xiao, K.; Griffis, T.J.; Baker, J.M.; Bolstad, P.V.; Erickson, M.D.; Lee, X.; Wood, J.D.; Hu, C.; Nieber, J.L. Evaporation from a Temperate Closed-Basin Lake and Its Impact on Present, Past, and Future Water Level. J. Hydrol. 2018, 561, 59–75. [Google Scholar] [CrossRef]
- Alborzi, A.; Mirchi, A.; Moftakhari, H.; Mallakpour, I.; Alian, S.; Nazemi, A.; Hassanzadeh, E.; Mazdiyasni, O.; Ashraf, S.; Madani, K.; et al. Climate-Informed Environmental Inflows to Revive a Drying Lake Facing Meteorological and Anthropogenic Droughts. Environ. Res. Lett. 2018, 13, 084010. [Google Scholar] [CrossRef]
- Delfi, S.; Mosaferi, M.; Hassanvand, M.S.; Maleki, S. Investigation of Aerosols Pollution across the Eastern Basin of Urmia Lake Using Satellite Remote Sensing Data and HYSPLIT Model. J. Environ. Health Sci. Eng. 2019, 17, 1107–1120. [Google Scholar] [CrossRef]
- Castellví, F.; Perez, P.J.; Villar, J.M.; Rosell, J.I. Analysis of Methods for Estimating Vapor Pressure Deficits and Relative Humidity. Agric. For. Meteorol. 1996, 82, 29–45. [Google Scholar] [CrossRef]
- Davie, T. Fundamentals of Hydrology; Routledge: London, UK, 2019; ISBN 978-1-135-10675-1. [Google Scholar]
- Modarres, R.; de Paulo Rodrigues da Silva, V. Rainfall Trends in Arid and Semi-Arid Regions of Iran. J. Arid Environ. 2007, 70, 344–355. [Google Scholar] [CrossRef]
- Miranda, J.D.; Armas, C.; Padilla, F.M.; Pugnaire, F.I. Climatic Change and Rainfall Patterns: Effects on Semi-Arid Plant Communities of the Iberian Southeast. J. Arid Environ. 2011, 75, 1302–1309. [Google Scholar] [CrossRef]
- Berg, P.; Moseley, C.; Haerter, J.O. Strong Increase in Convective Precipitation in Response to Higher Temperatures. Nat. Geosci. 2013, 6, 181–185. [Google Scholar] [CrossRef]
- Larsen, M.A.D.; Christensen, J.H.; Drews, M.; Butts, M.B.; Refsgaard, J.C. Local Control on Precipitation in a Fully Coupled Climate-Hydrology Model. Sci. Rep. 2016, 6, 22927. [Google Scholar] [CrossRef]
- Beck, H.E.; van Dijk, A.I.J.M.; Levizzani, V.; Schellekens, J.; Miralles, D.G.; Martens, B.; de Roo, A. MSWEP: 3-Hourly 0.25° Global Gridded Precipitation (1979–2015) by Merging Gauge, Satellite, and Reanalysis Data. Hydrol. Earth Syst. Sci. 2017, 21, 589–615. [Google Scholar] [CrossRef]
- Beck, H.E.; Wood, E.F.; Pan, M.; Fisher, C.K.; Miralles, D.M.; van Dijk, A.I.J.M.; McVicar, T.R.; Adler, R.F. MSWEP V2.8 Technical Documentation. 2021. Available online: http://www.gloh2o.org/mswep (accessed on 1 December 2023).
- Mousavi, H.; Moshir Panahi, D.; Kalantari, Z. Dust and Climate Interactions in the Middle East: Spatio-Temporal Analysis of Aerosol Optical Depth and Climatic Variables. Sci. Total Environ. 2024, 927, 172176. [Google Scholar] [CrossRef] [PubMed]
- Beck, H.E.; Wood, E.F.; Pan, M.; Fisher, C.K.; Miralles, D.G.; van Dijk, A.I.J.M.; McVicar, T.R.; Adler, R.F. MSWEP V2 Global 3-Hourly 0.1° Precipitation: Methodology and Quantitative Assessment. Bull. Am. Meteorol. Soc. 2019, 100, 473–500. [Google Scholar] [CrossRef]
- Benesty, J.; Chen, J.; Huang, Y.; Cohen, I. Pearson Correlation Coefficient. In Noise Reduction in Speech Processing; Cohen, I., Huang, Y., Chen, J., Benesty, J., Eds.; Springer Topics in Signal Processing; Springer: Berlin/Heidelberg, Germany, 2009; pp. 1–4. ISBN 978-3-642-00296-0. [Google Scholar]
- Rice, W.R. Analyzing Tables of Statistical Tests. Evolution 1989, 43, 223–225. [Google Scholar] [CrossRef]
- Kim, T.K. T Test as a Parametric Statistic. Korean J. Anesthesiol. 2015, 68, 540–546. [Google Scholar] [CrossRef]
- Hubbard, R. P–Values. In International Encyclopedia of Statistical Science; Lovric, M., Ed.; Springer: Berlin/Heidelberg, Germany, 2011; pp. 1144–1145. ISBN 978-3-642-04898-2. [Google Scholar]
- Waskom, M.L. Seaborn: Statistical Data Visualization. J. Open Source Softw. 2021, 6, 3021. [Google Scholar] [CrossRef]
- Hintze, J.L.; Nelson, R.D. Violin Plots: A Box Plot-Density Trace Synergism. Am. Stat. 1998, 52, 181–184. [Google Scholar] [CrossRef]
- Cheng, Y.; Liu, X.; Zeng, Z.; Liu, S.; Wang, Z.; Tang, X.; He, B.-J. Impacts of Water Bodies on Microclimates and Outdoor Thermal Comfort: Implications for Sustainable Rural Revitalization. Front. Environ. Sci. 2022, 10, 940482. [Google Scholar] [CrossRef]
- Xu, H.; Lin, X.; Lin, Y.; Zheng, G.; Dong, J.; Wang, M. Study on the Microclimate Effect of Water Body Layout Factors on Campus Squares. Int. J. Environ. Res. Public Health 2022, 19, 14846. [Google Scholar] [CrossRef]












Disclaimer/Publisher’s Note: The statements, opinions and data contained in all publications are solely those of the individual author(s) and contributor(s) and not of MDPI and/or the editor(s). MDPI and/or the editor(s) disclaim responsibility for any injury to people or property resulting from any ideas, methods, instructions or products referred to in the content. |
© 2024 by the authors. Licensee MDPI, Basel, Switzerland. This article is an open access article distributed under the terms and conditions of the Creative Commons Attribution (CC BY) license (https://creativecommons.org/licenses/by/4.0/).
Share and Cite
Mousavi, H.; Dehghanipour, A.H.; Ferreira, C.S.S.; Kalantari, Z. Investigating the Impact of Large Lakes on Local Precipitation: Case Study of Lake Urmia, Iran. Water 2024, 16, 1250. https://doi.org/10.3390/w16091250
Mousavi H, Dehghanipour AH, Ferreira CSS, Kalantari Z. Investigating the Impact of Large Lakes on Local Precipitation: Case Study of Lake Urmia, Iran. Water. 2024; 16(9):1250. https://doi.org/10.3390/w16091250
Chicago/Turabian StyleMousavi, Hossein, Amir Hossein Dehghanipour, Carla S.S. Ferreira, and Zahra Kalantari. 2024. "Investigating the Impact of Large Lakes on Local Precipitation: Case Study of Lake Urmia, Iran" Water 16, no. 9: 1250. https://doi.org/10.3390/w16091250
APA StyleMousavi, H., Dehghanipour, A. H., Ferreira, C. S. S., & Kalantari, Z. (2024). Investigating the Impact of Large Lakes on Local Precipitation: Case Study of Lake Urmia, Iran. Water, 16(9), 1250. https://doi.org/10.3390/w16091250

