You are currently viewing a new version of our website. To view the old version click .
Water
  • Article
  • Open Access

1 March 2023

Cyanobacterial Blooms Increase Functional Diversity of Metazooplankton in a Shallow Eutrophic Lake

,
,
,
,
,
,
,
and
1
Key Laboratory of Wetland Ecology and Environment & Heilongjiang Xingkai Lake Wetland Ecosystem National Observation and Research Station, Northeast Institute of Geography and Agroecology, Chinese Academy of Sciences, Changchun 130102, China
2
University of Chinese Academy of Sciences, Beijing 101408, China
3
Key Laboratory of Songliao Aquatic Environment, Ministry of Education, Jilin Jianzhu University, Changchun 130118, China
4
School of Geographical Sciences, Changchun Normal University, Changchun 130032, China
This article belongs to the Section Biodiversity and Functionality of Aquatic Ecosystems

Abstract

Harmful cyanobacterial blooms disrupt aquatic ecosystem processes and biological functions. However, studies focusing on the effect of cyanobacterial blooms on the functional diversity of consumers are still insufficient. To examine the interactions of cyanobacterial blooms and the diversity and composition of metazooplankton, we investigated the variation in metazooplankton and their driven variables during the cyanobacterial bloom and non-bloom periods in 2020 and 2021 in Lake Xingkai. We found that cyanobacterial blooms reduced the metazooplankton species diversity but increased their biomass, functional dispersion, and functional evenness. Generalized additive mixed model results revealed that cyanobacteria showed different effects on metazooplankton biodiversity and functional diversity during the bloom and non-bloom periods. Variance partitioning analysis indicated that cyanobacteria, physicochemical variables, and temporal variation explained 15.93% of the variation in metazooplankton during the bloom period and 20.27% during the non-bloom periods. Notably, cyanobacteria during the bloom period explained more variations in metazooplankton composition than those during the non-bloom period. Our results suggest that cyanobacterial blooms significantly impact the functional diversity and community composition of metazooplankton. Physicochemical and spatiotemporal factors may mask the effects of cyanobacteria on metazooplankton. Our findings may improve the understanding of the dynamics and responses of metazooplankton communities to environmental changes and cyanobacterial blooms disturbances and enhance our ability to assess the effectiveness of aquatic ecosystem restoration and eutrophication management.

1. Introduction

Metazooplankton are zooplankton other than protozoa, including rotifers, cladocerans, and copepods [1]. In inland waters, zooplankton usually include protozoa, rotifers, cladocerans, and copepods with a body length of more than 2 μm [2]. Protozoa are usually studied as a separate group due to their differences in taxonomy, analytical methods, and ecological functions [3]. In order to accurately describe and distinguish the different zooplankton groups, this study uses metazooplankton to represent the rotifers, cladocerans, and copepods. Cyanobacteria can form large and even toxin-producing groups in aquatic environments, threatening aquatic ecosystem functions and deteriorating the water quality [4]. To make matters worse, these cyanobacterial toxins are harmful to zooplankton, birds, mammals, and even humans [5]. Cyanobacterial blooms lead to imbalances in the water quality and aquatic community structure [6], mainly affecting zooplankton biodiversity and community structure, particularly the main consumers metazooplankton (rotifers, branchiopods, and copepods) [7], because they are inseparable from phytoplankton and highly sensitive to phytoplankton dynamics [8]. Metazooplankton can transfer energy sources in the food web, affect phytoplankton growth, and build the upper ecosystem structure [9,10]. Meanwhile, the metazooplankton is largely influenced by the composition and abundance of phytoplankton, predators, and environmental conditions [11,12]. Therefore, understanding the effects of harmful algal blooms on metazooplankton communities and their response to environmental changes are vital to aquatic ecology, associated with important implications for the management and restoration of eutrophic lakes.
This bottom-up effect of cyanobacterial blooms on metazooplankton may be caused by a number of different mechanisms. First, numerous species of cyanobacteria secrete toxins or harmful metabolites that can have a deleterious impact on the growth, development, and biodiversity of metazooplankton [10,13]. Second, some cyanobacterial aggregates are primarily composed of inedible colonies or cilia that are excessively large and of a low nutritional content, which can lead to inefficient zooplankton grazing [14]. Third, the increased turbidity of the water column caused by algal blooms may hinder the ability of metazooplankton to avoid predators by competing for light and reducing aquatic vegetation [15]. In these ways, cyanobacterial blooms may affect freshwater ecosystem functioning by altering the diversity of metazooplankton [9]. Conversely, metazooplankton, through predation, may also inhibit or promote cyanobacterial blooms by producing some mixed effects [7]. Previous studies have shown that the development and succession of cyanobacterial blooms are regulated by co-occurring microorganisms [16], and in turn affect the metazooplankton community. However, studies assessing the response of metazooplankton to cyanobacterial blooms are relatively scarce.
Metazooplankton diversity is typically represented in studies of the system function and biodiversity by species diversity. Species diversity is a major determinant of changes in ecosystem productivity and stability [17]. Traditional species diversity measurements are generally based on species number, richness, and composition (e.g., species richness, Shannon–Wiener index, evenness index). However, the great variations in physiological, ecological, and morphological characteristics of different species are often overlooked [18]. The function of an ecosystem is dependent not only on the quantity of species, but also on the functional characteristics of those species [19]. It has been claimed that community variety appears to be more dependent on the ecological properties of species (body size, motility, feeding strategies, etc.), and therefore the diversity of the functional attributes of the species may capture this variation more precisely [20]. Functional diversity is a component of biodiversity that is closely linked to ecological processes. This is due to the fact that functional traits characterize the morphology, physiology, and behavior of species and directly point to their role in the ecosystem [21]. The link between ecosystem function and biodiversity can be better understood with the assistance of trait-based diversity analysis.
In shallow lakes, cyanobacterial abundance typically fluctuates seasonally from a bloom condition to a non-bloom state [22]. The Lake Xingkai (LXK)/Khanka basin located on the Chinese–Russian border includes Lake Xingkai (LXK) and Lake Xiao Xingkai (LXX), which are large shallow lakes in the northern cold region with a long freeze-up period [23]. In LXK, the vast majority of cyanobacterial blooms occur from July to September, with a steady decline from October. This cycle of cyanobacterial outbreaks follows seasonal variations in environmental conditions, providing a more ideal place for assessing the impact of cyanobacteria on metazooplankton communities in natural ecosystems. These processes and differences in variability are inevitably accompanied by differences and changes in the diversity and structure of the metazooplankton community [24]. Linking and interpreting functional diversity indices and species diversity indices could provide additional complementary information on ecosystem adaptation [13,25]. This will improve our cognition of the dynamics and response of metazooplankton communities to algae bloom disturbances, as well as our understanding of community ecology in freshwater bodies.
We hypothesized that cyanobacterial blooms trigger changes in the community structure of metazooplankton by reducing their species diversity and functional diversity. We explored the effects of cyanobacterial blooms on the metazooplankton community by collecting samples during cyanobacterial bloom and non-bloom periods in LXK and supplementing the traditional species diversity analysis with the functional diversity index. The objectives of this study were to (1) characterize the species diversity and functional diversity of metazooplankton during the cyanobacterial bloom and non-bloom periods; (2) determine how cyanobacteria affect metazooplankton species diversity and functional diversity, excluding other factors; and (3) elucidate the differences in the effects of cyanobacteria on metazooplankton communities during the cyanobacterial bloom and non-bloom periods under the interaction of physicochemical, temporal, and spatial factors.

2. Materials and Methods

2.1. Study Area

The LXK basin is located in the southeastern part of Heilongjiang Province, in the territory of Mishan City and borders with Russia (131°58′−133°07′ E, 45°01′−45°34′ N). The LXK basin includes LXK and LXX. The water storage capacity of LXK and LXX can reach 230 × 108 m3 and 60 × 108 m3 in our country, making it a huge fresh water resource [23]. The average water depth of LXK is 3.5 m. The average water depth of LXX is 1.8 m. The wind and waves are calm, so it is a natural fish farm and wildlife habitat. In the same period, the LXK basin, as a mediating reservoir for the flood water of Muling River, makes a great contribution to ensure a large area of arable land downstream of Mulin River and 600,000 acres of land in the northeast of the LXK basin to resist flooding. The climate of the LXK basin is a cold-temperate continental monsoon climate. July is the hottest month with an average of 21 °C and a maximum of 36 °C, which is the most important period for cyanobacteria bloom.

2.2. Samplings

We sampled cyanobacteria, metazooplankton (including rotifers, copepods, and branchiopods) and 8 water parameters at 17 monitoring sites (Figure 1) in LXK in July and September 2020 and in January and May 2021. The definition of “bloom” is as follows: “a distinct discoloration of water caused (mainly) by cyanobacteria” [26]. Another factor we measured was the cell density of cyanobacteria, and greater than 107 cells/L was considered a cyanobacterial bloom [27]. Therefore, we divided the occurrence of cyanobacterial abundance above 107 cells/L into cyanobacterial bloom and non-bloom periods based on the presence or absence of cyanobacterial abundance. Water temperature (WT), pH, dissolved oxygen (DO), and conductivity were measured with (YSI EXO2) at a 0.5 m depth. Water samples were collected at a depth of 0.5 m below the water surface, placed on ice, and transported to the laboratory for the determination of total nitrogen (TN), ammonia nitrogen (NH3-N), total phosphorus (TP), and chemical oxygen demand (CODMn). The concentration of TN was determined by potassium persulfate oxidation and ultraviolet spectrophotometry, the concentration of TP was determined by potassium persulfate oxidation and antimony molybdenum anti-color spectrophotometry, and the concentration of CODMn was determined by titration. The concentration of NH3-N was determined by the Nasi reagent colorimetric method. Sample analysis standard: GB3838-2002 [28] (Ministry of Ecology and Environment of the People’s Republic of China, 2002).
Figure 1. Location of sampling sites in LXK and LXX.
Cyanobacteria qualitative samples were collected with a plankton net (mesh diameter 0.128 mm) at the surface water layer (0–0.5 m depth), and then were fixed with 4% formalin. Meanwhile, 1L of the surface water sample was collected with a 5 L organic glass hydrophore and was fixed with 5% non-acetic Lugol’s iodine solution to count the cyanobacteria at each site. After precipitation and concentration into 30–50 mL, 1 mL of formaldehyde was added for a subsequent identification. The metazooplankton samples were collected by filtering 20 L of water through a filter net (mesh diameter 0.063 mm), and then fixed with 1.5% formaldehyde in 100 mL polyethylene bottles.
Cyanobacteria and metazooplankton species identification and counting were performed using a microscope (CKX41, Olympus, Tokyo, Japan) at 100–800 magnifications. The body length of the metazooplankton species was also recorded. Cyanobacteria were identified according to Chinese freshwater algae [29]. For metazooplankton, the rotifers were identified according to Chinese freshwater rotifers [30], the Cladocera were identified according to Chinese zoology [31] (freshwater branch and corners), and the copepods were identified according to Freshwater microorganisms’ atlas [32]. We calculated the cyanobacterial abundance by counting individual cells and estimating the algal colonies and multicellular chains of the cells. The biomass was calculated by measuring the size of individual metazooplankton, assuming that their unit weight was the same as that of water [33].

2.3. Data Analyses

2.3.1. Species Diversities

We calculated the Shannon–Weiner index, Margalef index, and Pielou index as indices of metazooplankton species diversities. The specific formulas [4,34,35] are as follows:
The Shannon–Wiener diversity index (H′) can generally reflect the number of community species and the proportion of individuals in the population. The calculation formula is:
H = P i log 2 P i
The Margalef species richness index (d), which can be used to compare community species in the same location or similar environment, is relatively simple and sensitive to calculate. The calculation formula is:
d = ( s 1 ) / log 2 N
For the Pielou uniformity index (J), the formula is:
J = H / log 2 S
Pi is the number of the ith plankton; N represents the total number of individual plankton identified in the sample; and S is the total number of plankton species in the sample.

2.3.2. Functional Diversities

In this paper, five functional traits (Table 1) were selected for functional diversity indices’ analysis: body length, feeding type, predator defense, habitat type, and trophic group. The five indicators, except for body length, which were measured directly, were obtained from the literature [31,36]. The specific functional traits of each species in this study are shown in Table S1.
Table 1. List of functional traits for metazooplankton.
The functional traits of the metazooplankton reflect their ecological adaptability in the aquatic environment. We calculated functional dispersion (FDiv) and functional evenness (FEve) based on the equations and methods of Villéger [18]. Both of them are well suited to measure the impact of cyanobacteria on the metazooplankton community and its ecosystem functions [17]. Equations are in references [18].

2.3.3. Statistical Analyses

We also compared the differences in the cyanobacterial quantity with metazooplankton quantity, species, and functional diversity indices between the bloom and non-bloom periods. To exclude the effects of other factors, the generalized additive mixture model (GAMM) was used to assess the effects of cyanobacteria on metazooplankton. Finally, a variance was performed partitioning analysis (VPA) to quantify physicochemical, cyanobacterial, and spatio-temporal factors’ contribution to changes in the metazooplankton’s composition. To assess temporal differences in the effects of cyanobacterial abundance on metazooplankton diversity, we compared changes in the metazooplankton species and functional diversity during the bloom and non-bloom periods using an analysis of variance (ANOVA) with SPSS 26.0 software.
GAMM combines a linear mixed model and a general additive model with random and fixed variables and considers the nonlinear and linear relationships between variables [13]. Therefore, in this study, the GAMM was performed in R (version 3.6.1) to assess the effects of cyanobacterial abundance on metazooplankton at different periods. The variables were first tested for normal distribution, and Box–Cox transformations were performed for those variables that did not conform to a normal distribution. Then, variance inflation factor (VIF) tests were performed on the factors to exclude co-covariates (VIF > 5). The co-curvilinearity test was then performed to exclude any of the maximum estimates, actual observations, and estimates greater than 0.8. In our GAMM, cyanobacteria abundance was a fixed explanatory variable and other factors were excluded as random variables. R2 and p values were used to evaluate the model fit and significance.
To quantify the contribution of cyanobacterial abundance, physicochemical factors and spatio-temporal factors to changes in the metazooplankton community in the bloom and non-bloom periods, we conducted a VPA in R (version 3.6.1). Cyanobacterial abundance, physicochemical factors (Temp, pH, DO, TDS, TN/TP, NH3-N, CODMn), and variance inflation factor (VIF) tests to exclude covariates (VIF > 5)) [37], temporal (seasonal), and spatial (longitude and latitude of sample sites) factors were used as independent variables, and metazooplankton composition was used as the dependent variable.
All the above analyses were carried out in R project, using the packages FD, MASS, vegan, car, ggpubr, mgcv, dplyr, and ggplot2.

3. Results

3.1. Variations in Environmental Variables and Cyanobacteria Communities

Most of the physicochemical variables measured in this study were significantly different between months (p < 0.05) (Table 2). Temperature was much lower in the non-bloom periods (p < 0.05), while the DO, TP, and TN concentrations were higher in the non-bloom periods than those in the bloom periods (p < 0.05). The TN/TP ratio was significantly lower in July and September than that in other months (p < 0.05). The pH was significantly higher in July and May than in January and September (p < 0.05). Both conductivity and NH4-N concentrations were the lowest in spring. In contrast, CODMn was not statistically different between the bloom and non-bloom periods.
Table 2. Environmental variables summarized as means ± standard errors in the XKL basin in January, May, July, and September. One-Way ANOVA was used to explore the differences in physicochemical parameters between different months. July and September represent bloom period, while January and May represent non-bloom period.
In this study, the DO concentration in January was the highest. In fresh water, the theoretical DO value formula corresponding to different temperatures was: CDO = 477.8/(T + 32.26) [38]. A previous study found that the measured value of DO in ice-covered lakes is similar to the theoretical value, and the correlation between the water temperature and DO is strongly significant [39]. Thus, although water temperature decreased during the ice-covered period, the oxygen dissolution ability was enhanced, associated with increased or even oversaturated DO concentrations during the ice-covered period. In addition, phytoplankton are able to perform photosynthesis to produce oxygen during the ice-covered period, despite a low light intensity under ice.
A total of 18 cyanobacterial species were identified in the 17 sample sites of this study. The biomass of cyanobacteria varied in the range of 0–17.3 mg/L and an abundance of 0–244.9 × 105 cells/L. The dominant species during cyanobacterial blooms were mainly Microcystis sp. The abundance and biomass of cyanobacteria differed significantly (p < 0.01) between seasons (Table S2). Both average abundance and biomass were the highest in July (94.64 × 105 cells/L, 6.70 mg/L), decreased in September (13.07 × 105 cells/L, 0.89 mg/L), lowest in January (0.30 × 105 cells/L, 0.017 mg/L), and recovered in the following May (2.12 × 105 cells/L, 0.076 mg/L). We found that both the Shannon–Weiner diversity index and Margalef species richness index were highest in May (2.66, 5.05), followed by January (2.48, 4.31), followed by July (2.23, 4.24), and lowest in September (2.21, 3.14). Additionally, the Pielou evenness was highest in May (0.83), followed by January (0.82), followed by September (0.79), and lowest in July (0.73).

3.2. Biomass and Diversity of Metazooplankton during Cyanobacterial Bloom Period and Non-Bloom Period

A total of 63 species of metazooplankton were identified for all samples, including 13 species of branchiopods, 8 species of copepods, and 42 species of rotifers. The biomass, species diversity, and functional diversity indices of metazooplankton were analyzed by a one-way ANOVA at different stages (Figure 2). We found that the biomass of metazooplankton was higher during the cyanobacterial bloom period than those during the non-bloom period (p < 0.05). The Margalef species richness index, Pielou evenness index, and Shannon–Weiner diversity index were significantly lower during the bloom period than those during the non-bloom period (p < 0.05), which was similar with the dynamics of cyanobacteria. However, metazooplankton functional diversity showed an opposite pattern with species diversity, with higher FDiv (p < 0.05) during the cyanobacterial bloom period than that during non-bloom period, while FEve showed no statistical difference (p > 0.05) between the two periods.
Figure 2. Variations in species diversity and functional diversity (FDiv, FEve) of metazooplankton during cyanobacterial bloom period and non-bloom period. * p < 0.05.

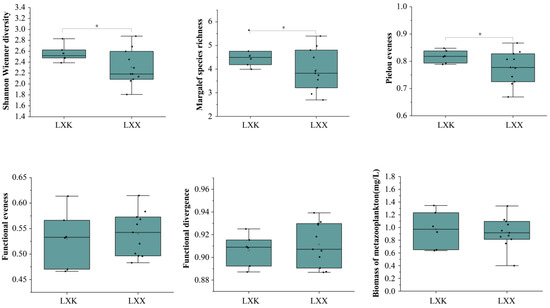
3.3. Spatial Patterns of Metazooplankton Biomass and Diversity

Due to the differences in hydrodynamics, hydrological conditions, water recharge, and nutrient levels of the water column in LXK and LXX, we compared the spatial differences of the biomass and diversity of the metazooplankton in LXK and LXX (Figure 3). We found that the Shannon–Weiner diversity index, Margalef species richness index, and Pielou evenness index in LXK were significantly higher than those in LXX (p < 0.05). In contrast, the distribution patterns of functional diversity and biomass did not show a significant difference (p > 0.05).
Figure 3. Variations in species diversity and functional diversity (FDiv, FEve) of metazooplankton in LXK and LXX. * p < 0.05.

3.4. Impacts of Cyanobacteria on Metazooplankton Biomass and Diversity

To exclude the effects of physicochemical and spatio-temporal factors, we established a GAMM to analyze the effects of cyanobacteria on the biomass and diversity of metazooplankton during the bloom and non-bloom periods (Figure 4). The GAMM results showed that during the bloom period, cyanobacterial abundance was significantly correlated with metazooplankton Margalef species richness, FDiv, FEve, and biomass (p < 0.05), but showed no significant correlation with the metazooplankton Shannon–Weiner diversity or Pielou evenness (p > 0.05). During the non-bloom period, cyanobacterial abundance was positively correlated with the metazooplankton Shannon–Weiner diversity, Margalef species richness, Pielou evenness, and FDiv (p < 0.01), and was significantly negatively correlated with metazooplankton biomass (p < 0.05). In contrast, cyanobacterial abundance was insignificant correlation with metazooplankton FEve (p > 0.05).
Figure 4. Models (GAMM) were mixed by fitted generalized additive to estimate effects of cyanobacteria on metazooplankton (including species diversity, functional diversity metrics, and biomass) during cyanobacterial bloom and non-bloom periods in the LXK basin (n = 34). Explanatory variable (cyanobacteria abundance) was fixed, other factors were considered as random influencing factors.

3.5. Partitioning Influences of Physicochemical, Cyanobacterial, and Spatio-Temporal Factors on Metazooplankton Community

We performed a VPA analysis to complement the quantification of the contribution of cyanobacterial abundance, physicochemical, and spatio-temporal factors to the variability of the metazooplankton community during the bloom and non-bloom periods. The total variation explained by aquatic environmental factors, cyanobacterial, and spatio-temporal factors was lower during the bloom period (15.93%) than those during the non-bloom period (20.27%) (Figure 5).
Figure 5. Percentages of the total explained variance by physicochemical (PhC), temporal (Time), spatial (Space), and cyanobacterial (Cya) for metazooplankton communities in LXK and LXX.
During the non-bloom period, environment variables alone explained the most variation (6.10%) in the metazooplankton community, followed by temporal (2.11%) and spatial factors (1.79%), with cyanobacteria explaining the least variation (0.11%). Of these explained variances during the bloom period, cyanobacteria alone explained the most variation (4.24%) in the metazooplankton community, followed by spatial factors (1.37%) and temporal factors (0.44%), with the least variance explained by the aquatic environmental factors. In addition, the amount of variation explained by the environmental variables and the temporal factor together was 4.46%, and the amount of variation explained by the environmental variables and cyanobacteria together was 2.27%.

4. Discussion

4.1. Variation in Abundance of Cyanobacteria and Metazooplankton

In this study, the abundance of cyanobacteria and metazooplankton showed a typical seasonal variation. This was also found in other lakes, where their abundance was lower in May, higher in July, and showed a decreasing tendency in January and September [40]. This variation is mainly due to seasonal changes in temperature and nutrients. The increased temperature in July facilitates the development of cyanobacteria; in particular, nitrogen-fixing taxa. This may be the reason that cyanobacteria dominated in this study in a lower nitrogen to phosphorus ratio [41,42]. The Cyanobacterial taxa responded differently to temperature. Studies have found that high water temperatures would favor the growth of Microcystis and Planktothrix over Anabaena [16]. This cyanobacterial trait helps explain the winning of Microcystis in warmer sampling days. Cyanophycin serves as a reservoir for newly assimilated N when cyanobacteria are exposed to an excess of N in the environment [43], and this compound is consumed by cyanobacteria when exogenous N is depleted [16].
The effect of cyanobacteria on metazooplankton mainly occurred in summer and autumn. Additionally, the abundance and biomass of metazooplankton in this study were higher during the bloom period than those during the non-bloom period, which may be due to the temperature preference of the metazooplankton taxa. Moreover, metazooplankton usually follow the varied pattern of phytoplankton because of the predator–prey relationship [44]. Meanwhile, cyanobacteria is able to form large colonies and filaments, which may hinder metazooplankton filtration devices in the case of massive cyanobacterial blooms [45]. In addition, cyanobacterial hyphae are lacking in sterols and polyunsaturated fatty acids due to their poor nutritional quality [46,47], and are unpalatable and even toxic to herbivores. Particularly, microcystins (MCs) are among the most common cyanobacterial toxins that have a deleterious impact on metazooplankton adaptation [48,49]. These conditions are unfavorable for metazooplankton that are environmentally sensitive.

4.2. Variation in Metazooplankton Diversity and Its Interaction with Cyanobacteria

Inconsistent with a previous study, we found that the metazooplankton diversity was reduced by cyanobacterial blooms in summer and rebounded in winter in some lakes chronically dominated by cyanobacteria [13]; this may be due to the temperature-driven higher metazooplankton diversity in summer than that in other seasons. Moreover, one of the mechanisms by which cyanobacterial blooms alter metazooplankton diversity is through their effect on other phytoplankton taxa. It has also been shown that short-lived cyanobacterial blooms affect metazooplankton diversity differently compared to prolonged blooms [50].
In this study, the species diversity (Shannon–Weiner diversity, Margalef species richness, Pielou evenness) of the metazooplankton was lowest during the cyanobacterial blooms period, because cyanobacterial blooms can release more nutrients [51] and increase photosynthetic rates [52], in turn promoting a deterioration in the water quality and a rise in pH, which are not conducive to the benign development of metazooplankton diversity. Water bodies with perennial blooms may also show a recovery pattern in diversity as both metazooplankton and phytoplankton show partial adaptation to the environment during the late stages of the bloom along with the persistent cyanobacterial blooms [6,10]. It has also been shown that some metazooplankton, such as branchiopods and copepods, have developed a resistance to toxic cyanobacteria in lakes where cyanobacteria have been dominant for a long period [53]. In the present study, the functional uniformity of the metazooplankton was slightly higher and the functional dispersion was significantly higher during the bloom period than those during the non-bloom period. In general, the FDic was greater for dominant species distributed at the edge of the functional space, indicating a more pronounced ecological niche differentiation [18] due to the fact that adequate food sources during cyanobacterial outbreaks reduce resource competition among metazooplankton taxa. The strength of ecological selection has been found to vary with different cyanobacterial succession states (e.g., bloom vs. non-bloom) [54]. This is because complex interactive networks can act as ecological buffers against changing environments and thus reduce the sensitivity of cyanobacteria to environmental stimuli [55]. However, in lakes with perennial cyanobacterial blooms, the functional dispersion and functional evenness of metazooplankton may also show certain adaptive patterns; hence, metazooplankton diversity in certain water bodies does not show a significant difference at different stages of cyanobacterial blooms [13].
When the effects of physicochemical and spatio-temporal factors were excluded, our GAMMs clearly revealed (Figure 3) that cyanobacterial abundance had a significantly positive effect on the biomass of metazooplankton during the cyanobacterial bloom period. Cyanobacterial abundance had a greater effect on the Margalef species richness, FDiv, and FEve of post-zooplankton, but showed no significant effect on Shannon–Weiner diversity or Pielou evenness. These results are consistent with previous studies that cyanobacteria promote the increase in the zooplankton biomass, mainly due to the increase in the total zooplankton biomass as the zooplankton dendrobatids benefit from the increase in cyanobacterial colonization; although, in some periods, cyanobacteria have a negative effect on rotifers [7]. On the contrary, cyanobacterial abundance had a significantly negative effect on the biomass of the metazooplankton during the non-bloom period. Cyanobacterial abundance had a large effect on Shannon–Weiner diversity, Margalef species richness, Pielou evenness, and the functional divergence of metazooplankton, but showed no significant effect on the functional evenness. One of the possible reasons for the decreased metazooplankton biomass is a low temperature during the non-bloom period [16]. In addition, the food source provided by the overall phytoplankton diversity is also a major determinant of zooplankton diversity [17].

4.3. Integrated Analysis of the Influence of Physicochemical Factors, Period, Space, and Cyanobacteria on Metazooplankton

We used an ANOVA to further quantify the contribution of cyanobacteria and physicochemical variables, explaining the variation in the metazooplankton community through spatial and temporal factors. Our analysis demonstrated that cyanobacterial blooms altered the main explanatory factor for variation in the metazooplankton composition. In particular, it was evident that during the non-bloom period, environmental variables explained more variation in the metazooplankton composition than those during the bloom period, and the amount of variation explained by cyanobacteria alone is much lower. In contrast, during the cyanobacterial bloom period, the amount of variation explained by cyanobacteria alone was significantly higher, while the amount of variation explained by aquatic environmental variables alone decreased. Furthermore, we found that the explanation of the temporal factor was relatively low during the bloom and non-bloom periods; this may be due to the sampling period in this study and the basis for the grouping of bloom and non-bloom periods.
The possible reason for the results is as cyanobacteria blooms and disappear, they create different ecological niches, which provide different living environments for metazooplankton [13]. Just as, some researches have studied that cyanobacteria can directly or indirectly reduce metazooplankton diversity by reducing resource heterogeneity in lakes [17,56]. Cyanobacterial blooms affect metazooplankton’s functional traits and therefore change the ecosystem function [57,58,59]. Meanwhile, cyanobacterial blooms lead to a lower water quality commonly, are a main threat to planktonic biodiversity, and may have cascading effects on metazooplankton dynamics [60,61]. These findings are also confirmed by our study, enhancing plankton ecology’s understanding and informing policy development and scientific management in shallow eutrophic lakes.
However, in this study, the interaction between cyanobacteria and phytoplankton was not analyzed in this study because other species of phytoplankton, except cyanobacteria, also provide a feeding source and energy transfer for metazooplankton. The regulation of the abundance and diversity of metazooplankton species by high-ranking consumers (e.g., fish) should not be ignored. Meanwhile, the effect of microorganisms on cyanobacterial blooms may affect the response of metazooplankton to cyanobacterial blooms. Therefore, in further studies, the effects of “bottom-up” and “top-down” effects on cyanobacterial blooms and metazooplankton should be considered comprehensively.

5. Conclusions

We unraveled the response of metazooplankton to cyanobacterial blooms in terms of species diversity and functional diversity, biomass, and their interactions with abiotic factors through a variety of complementary statistical approaches. Isolating cyanobacteria from the environmental factors, we found that some indicators of metazooplankton were significantly correlated with cyanobacterial abundance, indicating that cyanobacterial blooms have a strong influence on the biomass and diversity of metazooplankton. Additionally, this effect was different during the bloom and non-bloom periods. Moreover, considering key physicochemical and spatio-temporal factors, our analysis demonstrates that cyanobacterial blooms alter the main explanatory factor for the variation in the metazooplankton composition. During the non-bloom period, environmental variables explained the highest variation in metazooplankton composition, and cyanobacteria alone explained a lower percentage of the variation. In contrast, during the cyanobacterial bloom period, the amount of variation explained by cyanobacteria alone increased significantly, while the amount of variation explained by environmental variables alone decreased significantly.
Our results provide new insights into the mechanism for the effect of cyanobacterial blooms on metazooplankton and fill in some of the research gaps assessing the response of metazooplankton to cyanobacterial blooms, especially in shallow lakes in cold regions, in terms of functional diversity and species diversity, and their interactions with abiotic factors.
Our study aids in understanding the relationship between biodiversity and ecosystem function and provides a scientific basis for lake eutrophication management. Furthermore, more attention on the cascading effects of cyanobacteria, phytoplankton, and fish on metazooplankton dynamics is necessary.

Supplementary Materials

The following supporting information can be downloaded at: https://doi.org/10.3390/xxxxx. Table S1: Function traits of metazooplankton, Table S2: Cyanobacteria abundance and biomass at each sampling site, Table S3: Major species of cyanobacteria and metazooplankton.

Author Contributions

X.T.: concept, methodology, samples collection, and writing—original draft and editing. Y.Y.: visualization, writing—original draft, and funding acquisition. Y.Z. (Yuanchun Zou): methodology and funding acquisition. L.Q.: software and editing. X.Z.: editing and resources. Y.Z. (Yu Zhu): methodology and editing. Y.Z. (Yuxi Zhao) and M.J. (Mengyu Jiang): samples collection and data curation. M.J. (Ming Jiang): funding acquisition and writing—review and editing. All authors have read and agreed to the published version of the manuscript.

Funding

This research was financially supported by the National Key Research and Development Program of China (2022YFF1300902), Strategic Priority Research Program of the Chinese Academy of Sciences (XDA28100103), National Natural Science Foundation of China (42230516; 42101071; 42171107).

Data Availability Statement

The original contributions presented in this study are included in the article/supplementary material, further inquiries can be directed to the corresponding author.

Conflicts of Interest

All authors that were listed above were involved in (a) the analysis or conception of the data; (b) critical revision for significant content; and (c) the final version’s approval. This article has not been submitted to other journals.

References

  1. Yin, L.P.; Xia, S.; Gu, J.; Li, T.; Chen, L. Nails float in the Qingcaosha Reservoir in Shanghai Characteristics of crustacean community structure. J. Shanghai Ocean. Univ. 2018, 27, 864–874. [Google Scholar]
  2. Gu, B.; Liu, Z.; Li, K. Limnology: Inland Water Ecosystem; Higher Education Press: Beijing, China, 2011; pp. 388–423. [Google Scholar]
  3. Frantal, D.; Agatha, S.; Beisser, D.; Boenigk, J.; Darienko, T.; Dirren-Pitsch, G.; Filker, S.; Gruber, M.; Kammerlander, B.; Nachbaur, L.; et al. Molecular data reveal a cryptic diversity in the genus Urotricha (Alveolata, Ciliophora, Prostomatida), a key player in freshwate lakes, with remarks on morphology, food preferences, and distribution. Front. Microbiol. 2022, 12, 787290. [Google Scholar] [CrossRef] [PubMed]
  4. Huisman, J.; Codd, G.A.; Paerl, H.W.; Ibelings, B.W.; Verspagen, J.M.H.; Visser, P.M. Cyanobacterial blooms. Nat. Rev. Microbiol. 2018, 16, 471–483. [Google Scholar] [CrossRef] [PubMed]
  5. Nwosu, E.C.; Brauer, A.; Monchamp, M.-E.; Pinkerneil, S.; Bartholomäus, A.; Theuerkauf, M.; Schmidt, J.-P.; Stoof-Leichsenring, K.R.; Wietelmann, T.; Kaiser, J.; et al. Early human impact on lake cyanobacteria revealed by a Holocene record of sedimentary ancient DNA. Commun. Biol. 2023, 6, 72. [Google Scholar] [CrossRef]
  6. Yang, J.R.; Lv, H.; Isabwe, A.; Liu, L.; Yu, X.; Chen, H.; Yang, J. Disturbance induced phytoplankton regime shifts and recovery of cyanobacteria dominance in two subtropical reservoirs. Water Res. 2017, 120, 52–63. [Google Scholar] [CrossRef] [PubMed]
  7. Jia, J.M.; Shi, W.Q.; Chen, Q.W.; Lauridsen, T.L. Spatial and temporal variations reveal the response of zooplankton to cyanobacteria. Harmful Algae 2017, 64, 63–73. [Google Scholar] [CrossRef] [PubMed]
  8. Zhang, Z.H.; Zhuang, Y.Y.; Chen, H.J.; Lu, S.H.; Li, Y.X.; Ge, R.P.; Chen, C.; Liu, G.X. Effects of prorocentrum donghaiense bloom on zooplankton functional groups in the coastal waters of the east china sea. Mar. Pollut. Bull. 2021, 172, 112878. [Google Scholar] [CrossRef]
  9. Amorim, C.A.; Moura, A.N. Ecological impacts of freshwater algal blooms on water quality, plankton biodiversity, structure, and ecosystem functioning. Sci. Total Environ. 2020, 758, 143605. [Google Scholar] [CrossRef]
  10. Ger, K.A.; Urrutia-Cordero, P.; Frost, P.C.; Hansson, L.-A.; Sarnelle, O.; Wilson, A.E.; Lürling, M. The interaction between cyanobacteria and zooplankton in a more eutrophic world. Harmful Algae 2016, 54, 128–144. [Google Scholar] [CrossRef]
  11. Yao, C.; He, T.R.; Xu, Y.Y.; Ran, S.; Long, S.X. Mercury bioaccumulation in zooplankton and its relationship with eutrophication in the waters in the karst region of guizhou province, southwest china. Environ. Sci. Pollut. Res. 2020, 27, 8596–8610. [Google Scholar] [CrossRef]
  12. Kaur, R.P.; Sharma, A.; Sharma, A.K. Impact of fear effect on plankton-fish system dynamics incorporating zooplankton refuge. Chaos Solitons Fractals 2021, 143, 110563. [Google Scholar] [CrossRef]
  13. Zhao, K.; Wang, L.Z.; Wang, Q.X. Influence of cyanobacterial blooms and environmental variation on zooplankton and eukaryotic phytoplankton in a large, shallow, eutrophic lake in china. Sci. Total Environ. 2021, 773, 145421. [Google Scholar] [CrossRef] [PubMed]
  14. Li, C.C.; Feng, W.Y.; Chen, H.Y.; Li, X.F.; Song, F.H.; Guo, W.J.; Giesy, J.P.; Sun, F.H. Temporal variation in zooplankton and phytoplankton community species composition and the affecting factors in lake taihu-a large freshwater lake in china. Environ. Pollut. 2019, 245, 1050–1057. [Google Scholar] [CrossRef] [PubMed]
  15. Moustaka-Gouni, M.; Sommer, U. Effects of harmful blooms of large-sized and colonial cyanobacteria on aquatic food webs. Water 2020, 12, 1587. [Google Scholar] [CrossRef]
  16. Wang, K.; Mou, X.; Cao, H.; Struewing, I.; Allen, J.; Lu, J. Co-occurring microorganisms regulate the succession of cyanobacterial harmful algal blooms. Environ. Pollut. 2021, 288, 117682. [Google Scholar] [CrossRef] [PubMed]
  17. Carey, C.C.; Cottingham, K.L.; Weathers, K.C.; Brentrup, J.A.; Ruppertsberger, N.M.; Ewing, H.A.; Hairston, N.G., Jr. Experimental blooms of the cyanobacterium Gloeotrichia echinulata increase phytoplankton biomass, richness and diversity in an oligotrophic lake. J. Plankton Res. 2014, 36, 364–377. [Google Scholar] [CrossRef]
  18. Bockwoldt, K.A.; Nodine, E.R.; Mihuc, T.B.; Shambaugh, A.D.; Stockwell, J.D. Reduced phytoplankton and zooplankton diversity associated with increased cyanobacteria in Lake Champlain. USA. J. Contemp. Water Res. Edu. 2017, 160, 100–118. [Google Scholar] [CrossRef]
  19. Villéger, S.; Mason, N.W.H.; Mouillot, D. New multidimensional functional diversity indices for a multifaceted framework in functional ecology. Ecology 2008, 89, 2290–2301. [Google Scholar] [CrossRef] [PubMed]
  20. Obertegger, U.; Smith, H.A.; Flaim, G.; Wallace, R.L. Using the guild ratio to characterize pelagicrotifer communities. Hydrobiologia 2011, 662, 157–162. [Google Scholar] [CrossRef]
  21. Litchman, E.; Ohman, M.D.; Kiørboe, T. Trait-based approaches to zooplankton communities. J. Plankton Res. 2013, 35, 473–484. [Google Scholar] [CrossRef]
  22. Boyer, J.; Rollwagen-Bollens, G.; Bollens, S.M. Microzooplankton grazing before, during and after a cyanobacterial bloom in Vancouver Lake, Washington. USA. Aquat. Microb. Ecol. 2011, 64, 163–174. [Google Scholar] [CrossRef]
  23. Yuan, Y.X.; Jiang, M.; Liu, X.T.; Yu, H.X.; Otte, M.L.; Ma, C.X.; Her, Y.G. Environmental variables influencing phytoplankton communities in hydrologically connected aquatic habitats in the lake xingkai basin. Ecol. Indic. 2018, 91, 1–12. [Google Scholar] [CrossRef]
  24. Ma, J.; Qin, B.; Paerl, H.W.; Brookes, J.D.; Hall, N.S.; Shi, K.; Zhou, Y.; Guo, J.; Li, Z.; Xu, H.; et al. The persistence of cyanobacterial (Microcystis spp.) blooms throughout winter in Lake Taihu, China. Limnol. Oceanogr. 2016, 61, 711–722. [Google Scholar] [CrossRef]
  25. Moustaka-Gouni, M.; Vardaka, E.; Michaloudi, E.; Kormas, K.A.; Tryfon, E.; Mihalatou, H.; Gkelis, S.; Lanaras, T. Plankton food web structure in a eutrophic polymictic lake with a history in toxic cyanobacterial blooms. Limnol. Oceanogr. 2006, 51, 715–727. [Google Scholar] [CrossRef]
  26. GB3838-2002; Surface Water Environmental Quality Standard. China Environmental Science Press: Beijing, China, 2002.
  27. Hu, H.J.; Wei, Y.X. Freshwater Algae in China: System, Classification and Ecology; Science Press: Beijing, China, 2006. [Google Scholar]
  28. Wang, J.J. Fauna of freshwater Rotifera of China; Institute of Hydrobiology, Chinese Academy of Sciences, Science Press: Beijing, China, 1961. [Google Scholar]
  29. Jiang, X.Z.; Du, N.S. Zoology of China: Arthropods Crustaceans Freshwater Clavicornis; Science Press: Beijing, China, 1979. [Google Scholar]
  30. Witek, Z.; Breuel, G.; Wolska-Py, M.; Gruszka, P.; Sujak, D. Comparison of Different Methods of Baltic Zooplankton Biomass Estimations. In Proceedings of the 13th Symposium of the Baltic Marine Biologists, Riga-Jurmala, Latvia, August 31–4 September 1993; pp. 87–92. [Google Scholar]
  31. Shannon, E.; Weaver, W. The Mathematical Theory of Communication; University Illinois Press: London, UK, 1949; pp. 296–297. [Google Scholar]
  32. Margalef, R. Information theory in ecology. Gen. Syst. 1958, 3, 36–71. [Google Scholar]
  33. Pielou, C. An Introduction to Mathematical Ecology; Wiley Interscience: New York, NY, USA, 1969. [Google Scholar]
  34. Shen, J.R. Fauma Sinica, Crustacea: Freshwater Copepoda; Science Press: Beijing, China, 1979. [Google Scholar]
  35. Lu, Z.; Ye, J.; Chen, Z.; Xiao, L.; Lei, L.; Han, B.P.; Paerl, H.W. Cyanophycin accumulated under nitrogen-fluctuating and high-nitrogen conditions facilitates the persistent dominance and blooms of raphidiopsis raciborskii in tropical waters. Water Res. 2022, 214, 118215. [Google Scholar] [CrossRef]
  36. Zhou, F.X.; Chen, J.H. Microbiological Map of Freshwater; Chemical Industry Press: Beijing, China, 2005. [Google Scholar]
  37. Kuo, Y.-M.; Yang, J.; Liu, W.-W.; Zhao, E.; Li, R.; Yao, L. Using generalized additive models to investigate factors influencing cyanobacterial abundance through phycocyanin fluorescence in East Lake, China. Environ. Monit. Assess. 2018, 190, 599. [Google Scholar] [CrossRef]
  38. Yu, X.; Zhuge, Y.S.; Liu, X.B.; Du, Q.; Tan, H. Evolution mechanism of dissolved oxygen stratification in a large deep reservoir. Lake Sci. 2020, 32, 1496–1507. [Google Scholar]
  39. Yang, W.H.; Feng, D.D.; Yang, F.; Li, W.; Zhou, X.; Yao, Z.; Wang, L. Variation characteristics of dissolved oxygen and metabolic rate during the ice-covered period. Lake Sci. 2022, 34, 2156–2168. [Google Scholar]
  40. Sommer, U.; Gliwicz, Z.M.; Lampert, W.; Duncan, A. The PEG-model of seasonal succession of planktonic events in fresh waters. Arch. Hydrobiol. 1986, 106, 433–471. [Google Scholar] [CrossRef]
  41. Miranda, M.; Noyma, N.; Pacheco, F.S.; de Magalhaes, L.; Pinto, E.; Santos, S.; Soares MF, A.; Huszar, V.L.; Lu, M.; Marinho, M.M. The efficiency of combined coagulant and ballast to remove harmful cyanobacterial blooms in a tropical shallow system. Harmful Algae 2017, 65, 27–39. [Google Scholar] [CrossRef] [PubMed]
  42. Kosten, S.; Huszar, V.L.M.; Bécares, E.; Costa, L.S.; Donk, E.; Hansson, L.-A.; Jeppesen, E.; Kruk, C.; Lacerot, G.; Mazzeo, N.; et al. Warmer climates boost cyanobacterial dominance in shallow lakes. Glob. Chang. Biol. 2012, 18, 118–126. [Google Scholar] [CrossRef]
  43. Stein, L.Y. Microbiology: Cyanate fuels the nitrogen cycle. Nature 2015, 524, 43–44. [Google Scholar] [CrossRef] [PubMed]
  44. Frenken, T.; Wolinska, J.; Tao, Y.L.; Rohrlack, T.; Agha, R. Infection of filamentous phytoplankton by fungal parasites enhances herbivory in pelagic food webs. Limnol. Oceanogr. 2020, 65, 2618–2626. [Google Scholar] [CrossRef]
  45. DeMott, W.R.; Gulati, R.D.; Van Donk, E. Daphnia food limitation in three hypereutrophic Dutch lakes: Evidence for exclusion of large-bodied species by interfering filaments of cyanobacteria. Limnol. Oceanogr. 2001, 46, 2054–2060. [Google Scholar] [CrossRef]
  46. Brett MT Müller-Navarra, D.C. The role of highly unsaturated fatty acids in aquatic food web processes. Freshw. Biol. 1997, 38, 483–499. [Google Scholar] [CrossRef]
  47. Josue, I.I.P.; Cardoso, S.J.; Miranda, M.; Mucci, M.; Ger, K.A.; Roland, F.; Marinho, M.M. Cyanobacterial dominance drives zooplankton functional dispersion. Hydrobiologia 2019, 831, 149–161. [Google Scholar] [CrossRef]
  48. Josue, I.I.P.; Sodre, E.O.; Setubal, R.B.; Cardoso, S.J.; Roland, F.; Figueiredo-Barros, M.P.; Bozelli, R.L. Zooplankton functional diversity as an indicator of a long-term aquatic restoration in an amazonian lake. Restor. Ecol. 2021, 29, e13365. [Google Scholar] [CrossRef]
  49. Borics, G.; Tóthmérész, B.; Lukács, B.A.; Várbíró, G. Functional groups of phytoplankton shaping diversity of shallow lake ecosystems. Hydrobiologia 2012, 698, 251–262. [Google Scholar] [CrossRef]
  50. Krztoń, W.; Kosiba, J.; Pociecha, A.; Wilk-Woźniak, E. The effect of cyanobacterial blooms on bio-and functional diversity of zooplankton communities. Biodivers. Conserv. 2019, 28, 1815–1835. [Google Scholar] [CrossRef]
  51. Yang, Z.; Kong, F.; Shi, X.; Cao, H. Morphological response of Microcystis aeruginosa to grazing by different sorts of zooplankton. Hydrobiologia 2006, 563, 225–230. [Google Scholar] [CrossRef]
  52. Visser, P.M.; Verspagen JM, H.; Sandrini, G.; Stal, L.J.; Matthijs HC, P.; Davis, T.W.; Paerl, H.W.; Huisman, J. How rising CO2 and global warming may stimulate harmful cyanobacterial blooms. Harmful Algae 2016, 54, 145–159. [Google Scholar] [CrossRef] [PubMed]
  53. Druga, B.; Ukrainczyk, N.; Weise, W.; Koenders, K.; Lackner, S. Interaction between wastewater microorganisms and geopolymer or cementitious materials: Biofilm characterization and deterioration characteristics of mortars. Int. Biodeterior. Biodegrad. 2018, 134, 58–67. [Google Scholar] [CrossRef]
  54. Wang, K.; Razzano, M.; Mou, X. Cyanobacterial blooms alter the relative importance of neutral and selective processes in assembling freshwater bacterioplankton community. Sci. Total Environ. 2020, 706, 135724. [Google Scholar] [CrossRef]
  55. Konopka, A.; Lindemann, S.; Fredrickson, J. Dynamics in microbial communities: Unraveling mechanisms to identify principles. ISME J. 2015, 9, 1488. [Google Scholar] [CrossRef]
  56. Liu, L.; Chen, H.; Liu, M.; Yang, J.R.; Xiao, P.; Wilkinson, D.M.; Yang, J. Response of the eukaryotic plankton community to the cyanobacterial biomass cycle over 6 years in two subtropical reservoirs. ISME J. 2019, 13, 2196–2208. [Google Scholar] [CrossRef]
  57. Jiang, X.D.; Xie, J.H.; Xu, Y.; Zhong, W.F.; Zhu, X.; Zhu, C.D. Increasing dominance of small zooplankton with toxic cyanobacteria. Freshw. Biol. 2016, 62, 429–443. [Google Scholar] [CrossRef]
  58. Wang, S.B.; Shi, Z.J.; Geng, H.; Wu, L.Y.; Cao, Y.M. Effects of environmental factors on functional diversity of crustacean plankton community. J. Lake Sci. 2021, 33, 1220–1229. [Google Scholar] [CrossRef]
  59. Zhang, H.R.; Jiang, C.D. Resurrection of dormant zooplankton grazers reveals multiple evolutionary responses to toxic cyanobacteria. Limnol. Oceanogr. 2022, 67, 2000–2011. [Google Scholar] [CrossRef]
  60. Li, W.; Qin, B. Dynamics of spatiotemporal heterogeneity of cyanobacterial blooms in large eutrophic Lake Taihu, China. Hydrobiologia 2019, 833, 81–93. [Google Scholar] [CrossRef]
  61. Søndergaard, M.; Lauridsen, T.L.; Johansson, L.S.; Jeppesen, E. Repeated Fish Removal to Restore Lakes:Case Study of Lake Væng, Denmark—Two Biomanipulations during 30 Years of Monitoring. Water 2017, 9, 43. [Google Scholar] [CrossRef]
Disclaimer/Publisher’s Note: The statements, opinions and data contained in all publications are solely those of the individual author(s) and contributor(s) and not of MDPI and/or the editor(s). MDPI and/or the editor(s) disclaim responsibility for any injury to people or property resulting from any ideas, methods, instructions or products referred to in the content.

Article Metrics

Citations

Article Access Statistics

Multiple requests from the same IP address are counted as one view.