Abstract
The problem of global warming is becoming more and more serious. N2O is a potent greenhouse gas. Most current studies on dissolved N2O concentration have focused on inland freshwater and seawater while paying less attention to coastal agricultural catchment areas. The coastal agricultural catchment area is the link between the farmland ecosystem and the aquatic ecosystem, which is shallow in water depth. Moreover, due to the high salt content and obvious periodic change, it is highly sensitive to environmental changes and human activities and has strong potential for N2O emission. Therefore, it is of great significance to understand the characteristics of the changes in the dissolved N2O concentration in the shallow-water ecosystem under the saline-alkali environment of the coastal reclamation area and to identify the main controlling factors. The soil of Yudong reclamation area in Rudong County, Jiangsu Province was collected to carry out the submerged cultivation experiment. In order to simulate the saline-alkali situation of the coastal reclamation area, four salt gradients (S1–S4), four alkali gradients (A1–A4), and three levels of exogenous nitrogen concentration (N1–N3). In addition, the experiment set a control treatment (CK) without salt and alkali addition. After 2 weeks of cultivation in a shallow water layer of about 5 cm, the dissolved N2O concentration and its influencing factors were measured and analyzed by collecting the overlying water sample and sediment after 24 h of fertilization. The results showed that changes in the saline-alkali environment in shallow-water ecosystems significantly affected the changes in dissolved N2O concentration. The saline-alkali indicators (EC and pH of the overlying water and sediment), DO of the overlying water, and the microbial genes nirS, nirK, and nosZ were the key influencing factors of N2O production in shallow-water systems. The correlation between nirS gene abundance and the dissolved N2O concentration was the highest. The BP neural network model can be used to simulate and predict the dissolved N2O concentration in overlying water under saline-alkali environment. Based on the experimental results, this study can provide a scientific basis for understanding the nitrogen cycling process in shallow-water ecosystems in the coastal reclamation area, improving the absorption of non-point-source nitrogen and reducing N2O emissions in shallow-water wetlands.
1. Introduction
Coastal saline-alkali land is an important land resource. However, due to poor structure and low fertility of the saline-alkali soil, the use of fertilizer in agricultural production is usually excessive. Traditional flood irrigation can accelerate the loss of soil nutrient, especially activated nitrogen, which enters the atmosphere and water through various ways []. The increasing N load and the acceleration of N cycling in the river of agricultural catchment area not only aggravate the water eutrophication but also promote the production and release of N2O. The coastal agricultural catchment area is a significant emission source of N2O in the atmosphere [].
The mechanism of N2O production in different types of water bodies is complex. The rate of N2O emission is closely related to the N transformation and main driving factors of dissolved N2O []. Numerous studies have been carried out to show that dissolved N2O in water bodies is mainly generated from the nitrification of water bodies themselves, denitrification of sediments, dissimilatory reduction of nitrate nitrogen, and absorption and fixation of nitrogen by algae []. The dissolved N2O in water bodies is mainly related to DO, NH4+, NO3−, Eh, pH, temperature, and so on []. Most current studies on dissolved N2O concentration have focused on inland freshwater and seawater while paying less attention to coastal agricultural catchment area. The agricultural catchment area is the link between farmland ecosystem and aquatic ecosystem, different from rivers, lakes, and seas, which is small in area and shallow in water depth. It is concluded that shallow water is conducive to the growth of aquatic plants and algal reproduction, which can provide rich carbon sources for microorganisms in the sedimentary layer and promote the production and rapid transport of N2O to the surface for release [,].
In addition, due to the high salt content and obvious periodic change, the coastal agricultural catchment area is highly sensitive to environmental changes and human activities and has strong potential for N2O emission [,]. Salinity can inhibit the activity of N2O reductase, which leads to the increase in cumulative N2O emission [,,]. Wen found that the increase in saline-alkali degree can gradually improve the contribution of N2O emission in the nitrification process []. Therefore, the hypothesis of the study is that the effect of soil salinity and alkalinity through biotic and abiotic factors may be crucial to explain the mechanism of N2O production processes in the coastal agricultural catchment area.
N2O production and consumption mainly occur in the nitrogen cycle. It has been found that there are four main pathways of N2O production in the aquatic environment: nitrification, denitrification, nitrifier denitrification, and dissimilatory nitrate reduction to ammonium []. There are two main pathways of N2O consumption: denitrification and nitrifier denitrification [,]. N2O is mainly formed through biological and abiotic pathways. Previous studies have shown that microorganisms are the main driving force of N2O production and consumption []. In this study, the characteristics and main controlling factors of dissolved N2O concentration in shallow-water ecosystems under salt-alkali environment in coastal reclamation areas were explored through submerged cultivation experiments, which provided a scientific basis for understanding the nitrogen cycling process at the water-soil interface of coastal wetland ecosystems, improving the absorption of non-point-source nitrogen and reducing N2O emission in shallow-water wetlands.
2. Materials and Methods
2.1. Materials
The tested soils were taken from Yudong reclamation area in Liuzong Village (32°12′ N, 120°42′ E), Juegang Town, Rudong Country, Jiangsu Province (Figure 1). This area is mainly used for agricultural, which accounts for about 70% of the total area. The main embankment of the reclamation area is 1335 m long, and the reclamation area is about 2067 hm2. The region is subtropical maritime monsoon climate, with an average annual temperature of 15 °C, an average annual precipitation of 1044.7 mm, an average annual evaporation of 1367.9 mm, an annual frost-free period of 223 d, and an average annual sunshine of 2421.6 h. The tested soil had a silt loam texture (13.7% sand, 81.3% silt, and 5.0% clay). The initial soil electrical conductivity (EC1:5) was 4.0 dS·m−1, the total nitrogen was 5.9 g·kg−1, and the chloride ion content was 1.44 g·kg−1 [,].
Figure 1.
The location of the studied coastal reclamation area in Liuzong Village, Juegang town, Rudong Country, Jiangsu Province, China.
2.2. Experimental Design
The submerged culture experiment was conducted in the Water-saving Park of Jiangning Campus of Hohai University from October to November 2020. There were three factors set in the experiment, including salinity, alkalinity and exogenous nitrogen concentration. Four salt gradients (S1–S4: 1‰, 3‰, 8‰, and 15‰ of soil mass), four alkali gradients (A1–A4: 0.5‰, 1‰, 3‰, and 8‰ of soil mass), and three levels of exogenous nitrogen concentration (N1–N3: 0.05, 0.10, and 0.15 g·kg−1 soil). In addition, the experiment set a control treatment (CK) without salt and alkali addition. Therefore, there were 27 treatments in total, with three replicates per treatment. Different salt gradients were obtained by adding sodium chloride (NaCl), and different alkali gradients were obtained by adding sodium bicarbonate (NaHCO3). Analytically pure urea (CO(NH2)2, nitrogen content 46%) was used as nitrogen source. In this experiment, glucose (C6H12O6) was used as a carbon source to ensure microbial activity.
The soil samples collected in the field were fully washed with distilled water to keep the salinity in the soil at a low level (all below 0.2‰). The sampled soils were natural air-dried and sieved to 2 mm. According to the experimental design, the soil samples were gently sprayed with NaCl or NaHCO3 solutions of different concentrations for several times to mix well so as to avoid the influence of uneven salt distribution on the test results. The treated soil samples were naturally air-dried and filled into the incubators (PVC, 5 mm thickness, 340 × 270 × 130 mm internal size), and each incubator was filled with 8 kg of soil. In order to ensure the same sunlight and temperature conditions, the incubators were randomly arranged in the greenhouse, incubated with deionized water and sufficient organic carbon source (glucose, 1.2 g/pot), and kept in shallow-water of about 5 cm for 2 weeks until the soil properties became stable. Subsequently, three concentrations of urea solution were added into each incubator. The overlying water and sediment samples were collected after 24 h of fertilization by the use of an undisturbed sediment sampler.
2.3. Determination of N2O Dissolved Concentration and Its Influencing Factors
The concentration of N2O was determined by headspace sampling gas chromatography. First of all, a 20 mL vacuum headspace vial (SVF-20, Nichiden-Rika Glass Co, Ltd., Kobe, Japan) was prepared. Secondly, 5 mL of the water sample was injected into the vial with a medical syringe and supplemented with 15 mL of air as equilibrium gas to balance with atmospheric pressure. Finally, the sample was manually shaken evenly. At the same time, 4 glass vials with only air injection and no water sample injection were prepared as blank samples and put in the refrigerator at 4 °C. After 24 h, when the N2O in the water reached the balance with the air, about 4mL of gas was extracted from the upper part of the glass vials with a syringe and then injected into the gas chromatograph (Agilent 7890, Agilent Technologies, Inc., Wilmington, NC, USA) to determine the concentration of N2O in the gas.
Referring to the method recommended by Terry et al., the equation for calculating the N2O concentration in the overlying water is as follows:
where represents N2O concentration in the water sample; represents the N2O concentration of the air in the vacuum glass vial after equilibrium; represents N2O concentration in the equilibrium gas, which is obtained by measuring the concentration of N2O in the blank sample vial; represents the volume of air in the glass vial after adding the water sample, which is 15 mL; is the Benson absorption coefficient of N2O at 4 °C, which is 1.12896; represents the volume of water sample added to the glass, which is 5 mL.
After 24 h of fertilization, samples of the overlying water (100 mL each) and bottom mud (0–5 cm layer, about 20 g) were collected to measure environmental factor parameters. The contents of ammonia nitrogen (NH4+-N) and nitrate nitrogen (NO3−-N) in the overlying water and sediment extract (15 g soil sample mixed with 50 mL 2 mol·L−1 KCl solution) after filtration (0.7 μm Whatman GF/F filter) were determined by Flow Injection Analyzer (Skalar Analytical, Breda, The Netherlands). EC and pH values of the overlying water and sediment were respectively determined by the DDS307 conductivity meter and PHSJ-4F pH meter (Shanghai Precision Scientific Instruments Co., Ltd., Shanghai, China). The soil EC1:5 is measured by 1:5 soil/water ratio soil extraction method. The content of dissolved oxygen (DO) in the overlying water were determined by the portable multi-parameter detector (Hach Company, Loveland, CO, USA). The concentration of DOC in the overlying water was determined by Multi N/C 3000 analyzer (Jena Analytical, Jena, Germany). The denitrification gene abundance was determined by collecting the sediment samples immediately from the surface layer of the overlying water-sediment interface at a depth of 5 mm for cryopreservation to quantitative analysis of denitrifying gene abundance. According to the manufacturer’s instructions, total genomic deoxyribonucleic acid (DNA) samples were extracted from frozen sediment subsamples using an Ultra Clean Soil DNA Isolation kit (MoBio Laboratory, Carlsbad, CA, USA).
2.4. Statistical Analysis
All the data were initially sort out and standardized using Excel. Next, Pearson correlation coefficient analysis was carried out using SPSS25. Based on the grey correlation degree analysis [], the dissolved N2O concentration was used as the reference sequence and its 13 related impact factors were used as the comparison sequence in the same grey system for correlation degree analysis. The specific calculation of the correlation degree was carried out by the use of Python. The correlation degree reflects the closeness between the comparison sequence and the reference sequence of the system. The greater the correlation degree, the closer the relationship between the comparison sequence and the reference sequence is so as to determine the weight of each factor. The calculation formula is as follows:
(1) Dimensionless variable:
(2) Correlation coefficient:
where and , respectively, represent the maximum and minimum second-order difference. represents the resolution coefficient, generally .
(3) Correlation degree:
Dissolved N2O concentration is nonlinear and affected by many factors, and it is difficult to obtain ideal results by using general prediction methods. In order to simulate and predict the concentration of N2O in the overlying water more accurately, the BP neural network model was constructed by MATLAB R2020a. The BP neural network is an error-back-propagation neural network, which is usually composed of input layer, output layer, and hidden layer. The neurons between layers of BP neural network are fully interconnected through the corresponding network weight coefficient w, while the neurons in each layer are not connected. The nonlinear mapping relationship of the BP neural network has a good effect in processing variables and has obvious advantages in the model fitting, simulation of initial data and prediction ability of new data []. Pelliccioni et al. established a three-layer BP neural network to predict the concentrations of NO2 and CO, and the results were in good agreement with the measured results []. Yang et al. constructed a BP neural network to retrieve the chlorophyll-a concentration, and the results showed that the error between the chlorophyll-a concentration output by the inversion model and the measured value was less than the result obtained by using the linear regression method []. The BP algorithm is composed of two processes: signal-forward propagation and error-back propagation. In the forward propagation, the input layer samples are determined by the results of grey correlation degree analysis, which enters the network from the input layers and transmits to the output layer through the hidden layers. If the actual value of the output layer is different from the target value, the error-back propagation is transferred. The output error (the difference between the target value and the actual value) is calculated by reverse propagation of the original path until reaching the input layer. The weight and threshold of neurons in each layer are constantly adjusted until the number of training reaches the preset value or the output error is reduced to the minimum. Finally, the test samples are used for network inspection.
3. Results
3.1. Characteristics of Dissolved N2O Concentration in the Overlying Water with the Variation of Salinity and Alkalinity
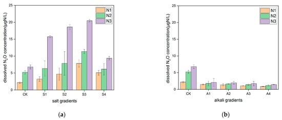
With the change of salinity and alkalinity in the tested sediment, the dissolved N2O concentration in the water was significantly different (Figure 2). The concentration of dissolved N2O in the water increased significantly with the increase in sediment salinity, while it decreased sharply when salt gradient of the sediment was more than 8‰. Under the same salt gradient, with the input of exogenous nitrogen, the dissolved N2O concentration in the water increased significantly. When the concentration of exogenous nitrogen is high, the variation of salinity has a more significant effect on the dissolved N2O concentration in the water. The dissolved N2O concentration in the N3S3 treatment was the highest (20.467 μgN/L), while the dissolved N2O concentration in the N1CK treatment was the lowest (2.189 μgN/L).
Figure 2.
Dissolved N2O concentration in the water treated with different salinity and alkalinity: (a) dissolved N2O concentration in the water treated with different salinity (n = 45); (b) dissolved N2O concentration in the water treated with different alkalinity (n = 45).
The concentration of dissolved N2O in the overlying water significantly decreased with the increase in sediment alkalinity. Similarly, under the same alkali gradient, the concentration of N2O in the water increased with the input of exogenous nitrogen. The dissolved N2O concentration in the N3-CK treatment was the highest (6.805 μgN/L), while the dissolved N2O concentration in the N1-A4 treatment was the lowest (0.864 μgN/L). In conclusion, both saline-alkali level and exogenous nitrogen concentration have remarkable effects on the potential of N2O emission in the shallow water, and there is an interaction between them. The higher salt content can promote N2O emission within certain range, while the N2O emission decreases apparently when the salinity is too high. The alkalinity can cause the inhibition of N2O emission remarkably. The rising nitrogen content in the shallow-water system inspires the potential of N2O emission and makes the saline-alkali effect on N2O emission more significant.
3.2. Correlation between Dissolved N2O Concentrations in the Overlying Water and Water-Soil Environmental Factors
The correlation between dissolved N2O concentrations in the overlying water and its influencing factors including water-soil environmental factors and microbial functional genes in the shallow-water ecosystem is shown in Table 1. Under salt-alkali environment, the dissolved N2O concentrations were positively correlated with NO3−-N, EC, and DO of the overlying water, EC1:5 of the sediment, and microbial functional genes nirK, nirS, and nosZ significantly. Moreover, the dissolved N2O concentrations were also significantly negatively correlated with NH4+-N and DOC of the overlying water and the NO3−-N and pH of the sediment. The correlation between dissolved N2O concentrations and DOC is the strongest, and its coefficient is −0.544, which indicates that organic carbon content is one of the most important factors controlling dissolved N2O concentrations in the water. The second was microbial gene nirS, and the correlation coefficient was 0.463. There is also a high correlation between the pH of the sediment and the dissolved N2O concentration in water, and the correlation coefficient is −0.459, which proves that the alkalinity of the sediment has an important influence on the N2O emission potential of the water.
Table 1.
Correlation between dissolved N2O concentrations and its influencing factors.
3.3. Identification and Simulation of Key Factors Leading to Changes in Dissolved N2O Concentration in the Overlying Water
The influence of water-soil environmental factors and microbial functional genes on the dissolved N2O concentration under saline-alkali environment was analyzed by the grey correlation analysis, in which the dissolved N2O concentration was taken as the reference index. The influencing factors of dissolved N2O concentration are as follows: NH4+-N(X1), NO3−-N(X2), EC(X3), pH(X4), DO(X5), DOC(X6) of the overlying water, NH4+-N(X7), NO3−-N(X8), EC1:5(X9), pH(X10) of the sediment, and microbial genes nirK(X11), nirS(X12), and nosZ(X13). The correlation degree between each factor and dissolved N2O concentration is shown in Table 2.
Table 2.
Analysis of correlation degree between dissolved N2O concentration and its influencing factors.
The correlation degree between and dissolved N2O concentration its influencing factors in descending order is X12 > X11 > X13 > X3 > X5 > X4 > X10 > X9 > X2 > X7 > X6 > X1 > X8. Among the factors of dissolved N2O concentration, the correlation degree of EC, pH, DO in the overlying water, EC1:5, pH in sediments, and microbial genes nirS, nirK, and nosZ were all above 0.8. Among them, the correlation with microbial genes nirS, nirK, and nosZ were the highest, and their degrees were, respectively, 0.854, 0.840, and 0.832. It indicated that denitrification microbial functional genes had a great influence on the dissolved N2O concentration, and denitrification process played a decisive role in N2O emission in the water. The saline-alkali indexes (EC and pH of overlying water and sediment) in shallow-water systems are highly correlated with dissolved N2O concentration (ranging from 0.816–0.828), which indicates that saline-alkali environment is of great importance to the potential of N2O emission in the water. The correlation degree between DO and dissolved N2O concentration ranked fifth, with a value of 0.826, which showed that dissolved oxygen also determines the production of N2O to a large extent.
Based on the identification of the key factors leading to changes in dissolved N2O concentration, the BP neural network model was constructed with the key factors and dissolved N2O concentration to achieve the high-precision prediction of dissolved N2O concentration in the overlying water. The key influencing factors that grey correlation degrees were higher than 0.8 with dissolved N2O concentration were selected as the neurons in the input layer, including the system saline-alkali index (EC and pH of the overlying water and sediment), DO of the overlying water, and microbial genes nirS, nirK, and nosZ. The output layer is the dissolved N2O concentration in the overlying water. In the training progress, the method of random division was adopted to divide the data into the training set, validation set, and test set so as to ensure that the predicted value is more reliable. The training set was used to determine the parameters of the BP neural network. The validation set was used to verify the accuracy of the model trained each time so that the number of iterations and learning rate were constantly adjusted to make the results on the validation set optimal. After the final training of the model was completed, the accuracy of the final model was tested with the test set. The default number of hidden layer nodes in the BP neural network model was 10. The network target error was 1 × 10−10. The learning speed was 0.05. The number of training steps was 50,000. The BP neural network was trained according to the above settings until it met the intended target, as shown in Figure 3. R was the accuracy of the model; Target was the true value of the sample; Output was the actual output value of the model. The tested neural network converged faster and the output error was reduced to the minimum at 10 steps. The goodness of fit for the training set was 82.69%, for the validation set it was 80.62%, and for the test set it was 89.91%, which explained that the model has a good goodness of fit. The BP neural network model test the trained network with test samples by simulation Sim function. The test results were well in line with the predetermined settings. The Figure 3 showed that the overall accuracy of the model (R) was 0.810. The network training results showed that this artificial neural network can be used to predict the dissolved N2O concentration in saline-alkali shallow-water ecosystems, and the model has a wide range of applications.
Figure 3.
BP neural network regression analysis diagram.
4. Discussion
The concentration of N2O in the overlying water varied significantly with the changes in salinity and alkalinity in the shallow-water ecosystems. The higher the salinity was, the N2O production could be promoted. However, when the salinity exceeded a certain threshold (8‰ in this study), the N2O production decreased sharply. With the increase in alkalinity, the dissolved N2O concentration decreased significantly. The findings indicate that the activity of N2O reductase could be inhibited in the moderate salinity environment inhibits, resulting in the increase in the N2O emission [,]. However, higher levels of salinity and alkalinity were usually linked to lower activities of nitrification and denitrification enzymes, thus inhibiting the N2O production [,]. The rising exogenous nitrogen content in the shallow-water ecosystems inspired the potential of N2O emission and made the saline-alkali effect on N2O production and emission more significant.
Previous studies have shown that dissolved N2O in water mainly comes from processes such as nitrification in water and denitrification in sediment []. In this study, the contents of DO in the overlying water were more than 7 mg·L−1, which indicates that nitrification was the main mechanism of N2O production in water. Pearson correlation analysis results showed that, firstly, the increase in DO concentration could raise the nitrification rate and promote N2O production, which is consistent with the research results by Cai et al. []. Secondly, the more NH4+-N was consumed as the substrate of nitrification, the higher the N2O concentration was, which is consistent with the results of Yoshinari et al. []. Thirdly, DOC provides an energy source for nitrification and denitrification, which would promote the N2O production. Fourthly, the more NO3−-N was consumed as the substrate of denitrification in sediment, the higher the N2O concentration was. The results showed that the occurrence form of nitrogen has a significant impact on N2O production, which was consistent with the results of Wang et al. []. What is more, the pH value in this study was about 8.0. Previous studies have shown that pH can affect and control the activity of microorganisms. Dumetre [] and Garcia [] showed that neutral or weakly alkaline environment is conducive to the denitrification. Bian [] showed that when the pH value is in the range of 7.0–8.0, the microbial activity in the sediment is the highest.
In the shallow-water ecosystems, the key influencing factors of N2O production in water included the salinity indexes (EC and pH of overlying water and sediment), DO of the overlying water, and microbial genes nirS, nirK, and nosZ, whose gray correlation degrees with dissolved N2O concentration were above 0.8. The correlation degree of microbial functional genes nirS, nirK, and nosZ ranked as the top three, which indicates that microbial denitrification genes played a crucial role in the production and consumption of N2O. N2O is the intermediate product of denitrification and nitrifier denitrification, which can be further reduced to N2 and release it into the atmosphere through the process of nitrous peroxide reduction [,]. Each step of the transformation process is driven by the corresponding functional microbial community. The microorganisms involved in N2O release mainly include bacteria, archaea, and fungi, among which bacteria play a major role []. The enzymes involved in N2O release in bacteria can be divided into two categories according to the source and destination of N2O. One category is the enzymes involves in N2O formation, including nitrate reductase, nitrite reductase, nitric oxide reductase, and hydroxylamine oxidoreductase. Another category of the enzymes reduces N2O to form N2, such as nitrous oxide reductase [].The key functional genes in the process of biological nitrogen removal are nirK, nirS, and nosZ, which have different tolerance to high salt-alkali environment and can be significantly affected by available nitrogen content []. The abundances of nirK and nirS are of great importance to the process of nitrite reduction. In line with previous studies, it was shown that the abundances of nirS have stronger metabolic activity than the abundances of nirK in the alkaline environment [,]. The denitrifying bacteria of nosZ function in the nitrous oxide reduction process. Piao et al. reported that high salinity would inhibit the activity of denitrifying enzyme []. The lower the abundances of nirK and nirS were, the harder the further reduction from NO2− to NO was, thus inhibiting the N2O production. On the contrary, the cumulative N2O production could be promoted with the decrease in the abundances of nosZ, because nosZ functions in the reduction from N2O to N2. Since the correlation degree of nirS abundances ranked the first, it explained that the denitrifying bacteria of nirS might be the dominant microbial community in the whole process, which is consistent with the study by Guo et al. []. Therefore, in general, high levels of salinity and alkalinity inhibit the production of N2O.
The study demonstrated the structure characteristics and mechanisms of the microbial communities driving nitrogen removal processes in the saline-alkali environment, which played a key role in controlling the production and release of N2O. The BP neural network model constructed in this study (considering the grey correlation degree) adopts the principle of random distribution to reflect the regularity of data so that the goodness of fit and modeling effect were satisfactory. In conclusion, the model could effectively predict the dissolved N2O concentration of the overlying water, which provided scientific guidance for the control of the N2O production in the shallow-water ecosystems under saline-alkali environment. The results could make a significant contribution to reduce greenhouse gas emissions to a certain extent.
5. Conclusions
In this study, the concentration of N2O in the overlying water varied significantly with the changes in salinity and alkalinity in the shallow-water ecosystems. The higher the salinity in the sediment was, the N2O production could be promoted. However, when the salinity exceeded a certain threshold (8‰ in this study), the N2O production decreased sharply. With the increase in alkalinity, the dissolved N2O concentration decreased significantly. The rising exogenous nitrogen content in the shallow-water ecosystems inspired the potential of N2O emission and made the saline-alkali effect on N2O production and emission more significant. Based on the grey correlation analysis method, the key influencing factors of N2O production in water included the salinity indexes (EC and pH of overlying water and sediment), DO of the overlying water, and microbial genes nirS, nirK, and nosZ, among which the abundance of the nirS gene played a crucial role. These factors can be used to predict the dissolved N2O concentration in the shallow-water ecosystems under saline-alkali environment, according to the BP neural network model simulation results.
Author Contributions
Conceptualization, Q.D. and D.S.; methodology, Q.D.; software, Q.D.; validation, Q.D., Y.P., Z.S. and A.A.; formal analysis, Q.D.; investigation, Y.P.; resources, Y.P.; data curation, Z.S.; Writing—original draft preparation, Q.D.; writing—review and editing, Q.D.; visualization, Q.D.; supervision, D.S.; project administration, D.S.; funding acquisition, D.S. All authors have read and agreed to the published version of the manuscript.
Funding
This study was financially supported by the National Natural Science Foundation of China (42177393), the Water Science and Technology Project of Jiangsu Province (2021054), the Natural Resources Science and Technology Project of Jiangsu Province (2022046), and the Natural Resources Science and Technology Innovation Project of Nantong City (2022005).
Institutional Review Board Statement
Not applicable.
Informed Consent Statement
Not applicable.
Data Availability Statement
Not applicable.
Acknowledgments
We thank the reviewers and editors for their valuable comments and suggestions about the manuscript.
Conflicts of Interest
The authors declare no conflict of interest.
References
- Fei, Y.H.; She, D.L.; Gao, L.; Xin, P. Micro-CT assessment on the soil structure and hydraulic characteristics of saline/sodic soils subjected to short-term amendment. Soil Tillage Res. 2019, 193, 59–70. [Google Scholar] [CrossRef]
- Kumar, W.B. Nitrous oxide emission from two rivers meandering through Imphal city, Manipur, India. Glob. J. Environ. Res. 2011, 5, 106–111. [Google Scholar]
- Xia, X.H.; Yang, T.; Yang, M.; Wang, J.W.; Guo, Z.H.; Feng, Y.N.; Li, G.L.; Cui, K.Z.; Zhang, L.W.; Zhang, S.B. A review of nitrous oxide efflux and associated controls in China's streams and rivers. Acta Sci. Circumstantiae 2020, 40, 2679–2689. [Google Scholar]
- Yan, W.J.; Wang, B.; Li, X.Y. Summary of Studies on Environmental Chemical Process of Dissolved N2O in Rivers and the Exchange Flux Between Water-Air Interface. J. Agro-Environ. Sci. 2008, 27, 15–22. [Google Scholar]
- Yang, P.; Lai, D.Y.F.; Huang, J.F.; Tong, C. Effect of drainage on CO2, CH4, and N2O fluxes from aquaculture ponds during winter in a stubtropical estuary of China. J. Environ. Sci. 2018, 65, 72–82. [Google Scholar] [CrossRef]
- Zhang, L.; Zhang, Z.H.; Gao, Y.; Yan, S.H. Effect of aquatic plants on emission of gases from eutrophic water. J. Ecol. Rural. Environ. 2014, 30, 736–743. [Google Scholar]
- Fei, Y.H.; She, D.L.; Yao, Z.D.; Li, L.; Ding, J.H.; Hu, W. Hierarchical Bayesian models for predicting soil salinity and sodicity characteristics in a coastal reclamation region. Ecol. Eng. 2017, 104, 45–56. [Google Scholar]
- Ruiz-Romero, E.; Alcantara-Hernandez, R.J.; Cruz-Mondragon, C.; Marsch, R.; Luna-Guido, M.L.; Dendooven, L. Denitrification in extreme alkaline saline soils of the former lake Texcoco. Plant Soil 2009, 319, 247–257. [Google Scholar] [CrossRef]
- Marton, J.M.; Herbert, E.R.; Craft, C.B. Effects of salinity on denitrification and greenhouse gas production from laboratory-incubated tidal forest soils. Wetlands 2012, 32, 347–357. [Google Scholar] [CrossRef]
- Wang, H.T.; Gilbert, J.A.; Zhu, Y.G.; Yang, X.R. Salinity is a key factor driving the nitrogen cycling in the mangrove sediment. Sci. Total Environ. 2018, 631-632, 1342–1349. [Google Scholar] [CrossRef]
- Wen, H.Y.; Jiao, Y.; Yang, M.D.; Bai, S.G.; Gu, P. Studies on emission pathways of nitrous oxide from different salinization soils. J. Agro-Environ. Sci. 2016, 35, 2026–2033. [Google Scholar]
- Smith, M.S. Dissimilatory reduction of NO2− to NH4+ and N2O by a soil Citrobacter sp. Appl. Environ. Microbiol. 1982, 43, 854–860. [Google Scholar] [CrossRef] [PubMed]
- Burgos, M.; Ortega, T.; Forja, J.M. Temporal and spatial variation of N2O production from estuarine and marine shallow systems of Cadiz Bay (SW, Spain). Sci. Total Environ. 2017, 607–608, 141–151. [Google Scholar] [CrossRef] [PubMed]
- Bange, H.W.; Rapsomanikis, S.; Andreae, M.O. Nitrous oxide emissions from the Arabian Sea. Geophys. Res. Lett. 1996, 23, 3175–3178. [Google Scholar] [CrossRef]
- Shoun, H.; Fushinobu, S.; Jiang, L.; Kim, S.W.; Wakagi, T. Fungal denitrification and nitric oxide reductase cytochrome P450nor. Philos. Trans. R. Soc. B Biol. Sci. 2012, 367, 1186–1194. [Google Scholar] [CrossRef]
- Pan, Y.C.; She, D.L.; Chen, X.Y.; Xia, Y.Q.; Timm, L.C. Elevation of biochar application as regulator on denitrification/NH3 volatilization in saline soils. Environ. Sci. Pollut. R. 2021, 28, 41712–41725. [Google Scholar] [CrossRef]
- Pan, Y.C.; She, D.L.; Shi, Z.Q.; Chen, X.Y.; Xia, Y.Q. Do biochar and polyacrylamide have synergistic effect on net denitrification and ammonia volatilization in saline soils. Environ. Sci. Pollut. R. 2021, 28, 59974–59987. [Google Scholar] [CrossRef] [PubMed]
- Zhu, J.M.; Liu, W. An empirical study on the factors affecting grain yield in Anhui Province based on grey correlation method. J. Shanxi Datong Univ. Nat. Sci. Ed. 2020, 36, 19–24. [Google Scholar]
- Du, L.; Chen, T.; Du, Y.; Zhou, Q.X. Analysis on the simulation of BP network predictive ability. J. Kunming Univ. Sci. Technol. Sci. Technol. Ed. 2003, 5, 97–99. [Google Scholar]
- Pelliccioni, A.; Poli, U. Use of neuralnet models to forecast atmosphericpollution. Environ. Monit. Assess. 2000, 65, 297–304. [Google Scholar] [CrossRef]
- Yang, X.Q.; He, B.Y.; Liang, S.W.; Xiao, R.; Hu, K. Retrieval of Chlorophyll-a Concentration in East Lake in Wuhan Using MODIS Data. World’s Sci. Technol. Res. Dev. 2009, 31, 497–500. [Google Scholar]
- Rysgaard, S.; Thastum, P.; Dalsgaard, T.; Christensen, P.B.; Sloth, N.P. Effects of salinity on adsorption capacity, nitrification and denitification in Danish estuarine sediments. Estuaries 1999, 22, 21–31. [Google Scholar] [CrossRef]
- Smith, C.J.; DeLaune, R.D.; Patrick, W.H., Jr. Nitrous oxide emission from Gulf Coast wetlands. Geochim. Cosmochim. 1983, 47, 1805–1814. [Google Scholar] [CrossRef]
- Cai, L.Y. Concentration and Flux of N2O in Different Types of Pollution Rivers in Chaohu Basin. Master’s Thesis, Hebei Agricultural University, Baoding, China, 2014. [Google Scholar]
- Yoshinari, T. Nitrous oxide in the sea. Mar. Chem. 1976, 4, 189–202. [Google Scholar] [CrossRef]
- Wang, M. Study on Nitrous Oxide Concentration, Release Flux and Emission Coefficient of River. Master’s Thesis, Shenyang Jianzhu University, Shenyang, China, 2019. [Google Scholar]
- Dumestre, J.F.; Vaquer, A.; Gosse, P.; Richard, S.; Labroue, L. Bacterial ecology of a young equatorial hydroelectric reservoir (Petit Saut, French Guiana). Hydrobiologia 1999, 400, 75–83. [Google Scholar] [CrossRef]
- Garcia, J.L.; Patel, B.K.C.; Ollivier, B. Taxonomic, phylogenetic, and ecological diversity of methanogenic Archaea. Anaerobe 2000, 6, 205–226. [Google Scholar] [CrossRef]
- Bian, H. Research on the Concentration and Flux of CO2, CH4, N2O in Agricultural Watershed of Jurong Reservoir. Master’s Thesis, Nanjing University of Information Engineering, Nanjing, China, 2018. [Google Scholar]
- Avrahami, S.; Conrad, R.; Braker, G. Effect of soil ammonium concentration on N2O release and on the community structure of ammonia oxidizers and denitrifiers. Appl. Environ. Microbiol. 2002, 68, 5685–5692. [Google Scholar] [CrossRef]
- Yoshida, M.; Ishii, S.; Otsuka, S.; Senoo, K. Temporal shifts in diversity and quantity of nirS and nirK in a rice paddy field soil. Soil. Biol. Biochem. 2009, 41, 2044–2051. [Google Scholar] [CrossRef]
- He, T.X.; Chen, M.P.; Ding, C.Y.; Li, Z.; Liu, Y.T.; Wang, J. The release mechanism of nitrous oxide during microbial nitrogen removal process and related measures to lower its emission. Biotic. Resour. 2021, 43, 17–25. [Google Scholar]
- Yin, C.; Fan, F.L.; Song, A.L.; Li, Z.J.; Yu, W.T.; Liang, Y.C. Different denitrification potential of aquic brown soil in Northeast China under inorganic and organic fertilization accompanied by distinct changes of nirS- and nirK-denitrifying bacterial community. Eur. J. Soil Biol. 2014, 65, 47–56. [Google Scholar] [CrossRef]
- Gao, J.; Hou, L.J.; Zheng, Y.L.; Liu, M.; Yin, G.Y.; Li, X.F.; Lin, X.B.; Yu, C.D.; Wang, R.; Jiang, X.F.; et al. nirS-Encoding denitrifier community composition, distribution, and abundance along the coastal wetlands of China. Appl. Microbiol. Biotechnol. 2016, 100, 8573–8582. [Google Scholar] [CrossRef] [PubMed]
- Rösch, C.; Merge, A.; Bothe, H. Biodiversity of denitrifying and dinitrogen-fixing bacteria in an acid forest soil. Appl. Environ. Microbiol. 2002, 68, 3818–3829. [Google Scholar] [CrossRef] [PubMed]
- Piao, Z.; Zhang, W.W.; Ma, S.; Li, Y.M.; Yin, S.X. Succession of denitrifying community composition in coastal wetland soils along a salinity gradient. Pedosphere 2012, 22, 367–374. [Google Scholar] [CrossRef]
- Guo, H.N.; Ma, L.J.; Huang, Z.J.; Li, M.Q.; Hou, Z.N.; Min, W. Nitrous Oxide emission and denitrifying bacterial communities as affected by drip irrigation with saline water in cotton fields. Environ. Sci. 2020, 9, 2455–2467. [Google Scholar]
Disclaimer/Publisher’s Note: The statements, opinions and data contained in all publications are solely those of the individual author(s) and contributor(s) and not of MDPI and/or the editor(s). MDPI and/or the editor(s) disclaim responsibility for any injury to people or property resulting from any ideas, methods, instructions or products referred to in the content. |
© 2023 by the authors. Licensee MDPI, Basel, Switzerland. This article is an open access article distributed under the terms and conditions of the Creative Commons Attribution (CC BY) license (https://creativecommons.org/licenses/by/4.0/).