Surface Modification of TiO2/g-C3N4 Electrode with N, P Codoped CQDs for Photoelectrocatalytic Degradation of 1,4-Dioxane
Abstract
1. Introduction
2. Materials and Methods
2.1. Synthesis of TiO2 NA and TCN NA Photoelectrodes
2.2. Synthesis of N, P-CQD/TCN NA Photoanodes
2.3. PEC Experiments for 1,4-D Degradation
2.4. PEC Experiments for Pesticide Wastewater
2.5. Analyses and Calculations
2.5.1. Analysis Methods
2.5.2. Reactive Species Determination
2.5.3. Identified Organic Pollutants in the Pesticide Wastewater
2.5.4. Three-Dimensional Fluorescence Spectroscopy Analysis
2.5.5. Calculations
3. Results and Discussion
3.1. Morphology and Optical Properties of the Photoanodes
3.2. Photoelectrochemical Property of the N, P-CQD/TCN NA Photoanodes
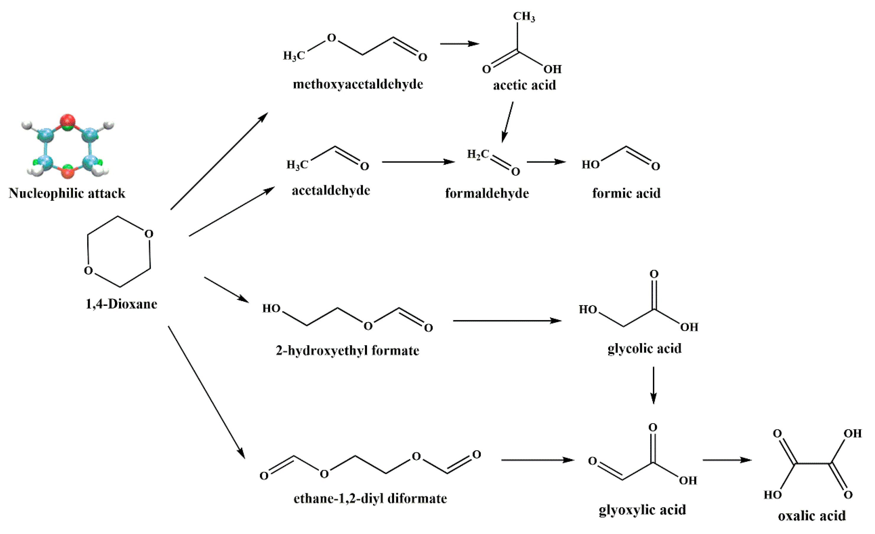
3.3. Degradation of 1,4-D in the PEC Cells
3.4. Pesticide Wastewater Treatment in the PEC Cell
4. Conclusions
Supplementary Materials
Author Contributions
Funding
Data Availability Statement
Conflicts of Interest
References
- Tang, Y.; Mao, X. Recent advances in 1,4-dioxane removal technologies for water and wastewater treatment. Water 2023, 15, 1535. [Google Scholar] [CrossRef]
- Shukla, T.L.; Duranceau, S.J. Comparing hydrogen peroxide and sodium perborate ultraviolet advanced oxidation processes for 1,4-dioxane removal from tertiary wastewater effluent. Water 2023, 15, 1364. [Google Scholar] [CrossRef]
- Kang, Y.G.; Yoon, H.; Lee, W.; Kim, E.J.; Chang, Y.-S. Comparative study of peroxide oxidants activated by nZVI: Removal of 1,4-Dioxane and arsenic(III) in contaminated waters. Chem. Eng. J. 2018, 334, 2511–2519. [Google Scholar] [CrossRef]
- Li, W.; Xu, E.; Schlenk, D.; Liu, H. Cyto- and geno-toxicity of 1,4-dioxane and its transformation products during ultraviolet-driven advanced oxidation processes. Environ. Sci. Water Res. Technol. 2018, 4, 1213–1218. [Google Scholar] [CrossRef]
- Sei, K.; Kakinoki, T.; Inoue, D.; Soda, S.; Fujita, M.; Ike, M. Evaluation of the biodegradation potential of 1,4-dioxane in river, soil and activated sludge samples. Biodegradation 2010, 21, 585–591. [Google Scholar] [CrossRef] [PubMed]
- Feng, Y.; Li, H.; Lin, L.; Kong, L.; Li, X.Y.; Wu, D.; Zhao, H.; Shih, K. Degradation of 1,4-dioxane via controlled generation of radicals by pyrite-activated oxidants: Synergistic effects, role of disulfides, and activation sites. Chem. Eng. J. 2018, 336, 416–426. [Google Scholar] [CrossRef]
- Adamson, D.T.; Anderson, R.H.; Mahendra, S.; Newell, C.J. Evidence of 1,4-dioxane attenuation at groundwater sites contaminated with chlorinated solvents and 1,4-dioxane. Environ. Sci. Technol. 2015, 49, 6510–6518. [Google Scholar] [CrossRef]
- Stepien, D.K.; Diehl, P.; Helm, J.; Thoms, A.; Puttmann, W. Fate of 1,4-dioxane in the aquatic environment: From sewage to drinking water. Water Res. 2014, 48, 406–419. [Google Scholar] [CrossRef]
- Simonich, S.M.; Sun, P.; Casteel, K.; Dyer, S.; Wernery, D.; Garber, K.; Carr, G.; Federle, T. Probabilistic analysis of risks to us drinking water intakes from 1,4-dioxane in domestic wastewater treatment plant effluents. Integr. Environ. Assess. Manag. 2013, 9, 554–559. [Google Scholar] [CrossRef]
- Kikani, M.; Satasiya, G.V.; Sahoo, T.P.; Kumar, P.S.; Kumar, M.A. Remedial strategies for abating 1,4-dioxane pollution-special emphasis on diverse biotechnological interventions. Environ. Res. 2022, 214, 113939. [Google Scholar] [CrossRef]
- Hu, B.; Wang, Y.; Hu, C.; Zhou, X. Design, fabrication and high efficient visible-light assisted photoelectric-synergistic performance of 3-D mesoporous DSA electrodes. Mater. Des. 2016, 91, 201–210. [Google Scholar] [CrossRef]
- Liu, Z.; Zhang, X.; Nishimoto, S.; Jin, M.; Tryk, D.A.; Murakami, T.; Fujishima, A. Highly ordered TiO2 nanotube arrays with controllable length for photoelectrocatalytic degradation of phenol. J. Phys. Chem. C 2008, 112, 253–259. [Google Scholar] [CrossRef]
- Pan, X.; Yang, P.; Nan, H.; Yang, L.; Chen, H.; Zhao, X. Preparation and enhanced visible-light photoelectrocatalytic activity of ternary TiO2ZnO/RGO nanocomposites. Electrochim. Acta 2018, 261, 284–288. [Google Scholar] [CrossRef]
- Zhang, H.; Chen, G.; Bahnemann, D.W. Photoelectrocatalytic materials for environmental applications. J. Mater. Chem. 2009, 19, 5089–5121. [Google Scholar] [CrossRef]
- Xie, Z.; Liu, X.; Wang, W.; Wang, X.; Liu, C.; Xie, Q.; Li, Z.; Zhang, Z. Enhanced photoelectrochemical and photocatalytic performance of TiO2 nanorod arrays/CdS quantum dots by coating TiO2 through atomic layer deposition. Nano Energy 2015, 11, 400–408. [Google Scholar] [CrossRef]
- Chen, P.; Wang, F.; Chen, Z.F.; Zhang, Q.; Su, Y.; Shen, L.; Yao, K.; Liu, Y.; Cai, Z.; Lv, W.; et al. Study on the photocatalytic mechanism and detoxicity of gemfibrozil by a sunlight-driven TiO2/carbon dots photocatalyst: The significant roles of reactive oxygen species. Appl. Catal. B Environ. 2017, 204, 250–259. [Google Scholar] [CrossRef]
- Su, Y.; Liu, G.; Zeng, C.; Lu, Y.; Luo, H.; Zhang, R. Carbon quantum dots-decorated TiO2/g-C3N4 film electrode as a photoanode with improved photoelectrocatalytic performance for 1,4-dioxane degradation. Chemosphere 2020, 251, 126381. [Google Scholar] [CrossRef]
- Li, P.; Zhao, G.; Li, M.; Cao, T.; Cui, X.; Li, D. Design and high efficient photoelectric-synergistic catalytic oxidation activity of 2D macroporous SNO2/1D TiO2 nanotubes. Appl. Catal. B Environ. 2012, 111–112, 578–585. [Google Scholar] [CrossRef]
- Xiao, Y.; Tian, G.; Chen, Y.; Zhang, X.; Fu, H.; Fu, H. Exceptional visible-light photoelectrocatalytic activity of In2O3/In2S3/CdS ternary stereoscopic porous heterostructure film for the degradation of persistent 4-fluoro-3-methylphenol. Appl. Catal. B Environ. 2018, 225, 477–486. [Google Scholar] [CrossRef]
- Garcia-Segura, S.; Brillas, E. Applied photoelectrocatalysis on the degradation of organic pollutants in wastewaters. J. Photoch. Photobio. C Photochem. Rev. 2017, 31, 1–35. [Google Scholar] [CrossRef]
- Daghrir, R.; Drogui, P.; Robert, D. Modified TiO2 for environmental photocatalytic applications: A review. Ind. Eng. Chem. Res. 2013, 52, 3581–3599. [Google Scholar] [CrossRef]
- Zhang, G.; Zhang, T.; Li, B.; Jiang, S.; Zhang, X.; Hai, L.; Chen, X.; Wu, W. An ingenious strategy of preparing TiO2/g-C3N4 heterojunction photocatalyst: In situ growth of TiO2 nanocrystals on g-C3N4 nanosheets via impregnation-calcination method. Appl. Surf. Sci. 2018, 433, 963–974. [Google Scholar] [CrossRef]
- Wang, J.; Zhang, W.-D. Modification of TiO2 nanorod arrays by graphite-like C3N4 with high visible light photoelectrochemical activity. Electrochim. Acta 2012, 71, 10–16. [Google Scholar] [CrossRef]
- Hu, Z.; Xie, X.; Li, S.; Song, M.; Liang, G.; Zhao, J.; Wang, Z. Rational construct CQDs/BiOCOOH/uCN photocatalyst with excellent photocatalytic performance for degradation of sulfathiazole. Chem. Eng. J. 2021, 404, 126541. [Google Scholar] [CrossRef]
- Fu, Y.; Zeng, G.; Lai, C.; Huang, D.; Qin, L.; Yi, H.; Liu, X.; Zhang, M.; Li, B.; Liu, S.; et al. Hybrid architectures based on noble metals and carbon-based dots nanomaterials: A review of recent progress in synthesis and applications. Chem. Eng. J. 2020, 399, 125743. [Google Scholar] [CrossRef]
- Kim, M.G.; Jo, W.-K. Visible-light-activated N-doped CQDs/g-C3N4/Bi2WO6 nanocomposites with different component arrangements for the promoted degradation of hazardous vapors. J. Mater. Sci. Technol. 2020, 40, 168–175. [Google Scholar] [CrossRef]
- Chen, Z.; Li, X.; Xu, Q.; Tao, Z.; Yao, F.; Huang, X.; Wu, Y.; Wang, D.; Jiang, P.; Yang, Q. Three-dimensional network space Ag3PO4/NP-CQDs/rGH for enhanced organic pollutant photodegradation: Synergetic photocatalysis activity/stability and effect of real water quality parameters. Chem. Eng. J. 2020, 390, 124454. [Google Scholar] [CrossRef]
- Shi, R.; Li, Z.; Yu, H.; Shang, L.; Zhou, C.; Waterhouse, G.I.N.; Wu, L.-Z.; Zhang, T. Effect of nitrogen doping level on the performance of N-doped carbon quantum dot/TiO2 composites for photocatalytic hydrogen evolution. ChemSusChem 2017, 10, 4650–4656. [Google Scholar] [CrossRef] [PubMed]
- Guo, Y.; Cao, F.; Li, Y. Solid phase synthesis of nitrogen and phosphor co-doped carbon quantum dots for sensing Fe3+ and the enhanced photocatalytic degradation of dyes. Sens. Actuat. B Chem. 2018, 255, 1105–1111. [Google Scholar] [CrossRef]
- Liu, B.; Aydil, E.S. Growth of oriented single-crystalline rutile TiO2 nanorods on transparent conducting substrates for dye-sensitized solar cells. J. Am. Chem. Soc. 2009, 131, 3985–3990. [Google Scholar] [CrossRef]
- Lin, S.; Lu, Y.; Ye, B.; Zeng, C.; Liu, G.; Li, J.; Luo, H.; Zhang, R. Pesticide wastewater treatment using the combination of the microbial electrolysis desalination and chemical-production cell and Fenton process. Front. Environ. Sci. Eng. 2020, 14, 12. [Google Scholar] [CrossRef]
- Lan, J.; Ren, Y.; Lu, Y.; Liu, G.; Luo, H.; Zhang, R. Combined microbial desalination and chemical-production cell with Fenton process for treatment of electroplating wastewater nanofiltration concentrate. Chem. Eng. J. 2019, 359, 1139–1149. [Google Scholar] [CrossRef]
- Dong, Y.; Wang, X.; Sun, H.; Zhang, H.; Zhao, X.; Wang, L. Construction of a 0D/3D AgI/MOF-808 photocatalyst with a one-photon excitation pathway for enhancing the degradation of tetracycline hydrochloride: Mechanism, degradation pathway and DFT calculations. Chem. Eng. J. 2023, 460, 141842. [Google Scholar] [CrossRef]
- Liu, W.; Li, Y.; Liu, F.; Jiang, W.; Zhang, D.; Liang, J. Visible-light-driven photocatalytic degradation of diclofenac by carbon quantum dots modified porous g-C3N4: Mechanisms, degradation pathway and DFT calculation. Water Res. 2019, 151, 8–19. [Google Scholar] [CrossRef]
- Guo, T.-L.; Li, J.-G.; Ping, D.-H.; Sun, X.; Sakka, Y. Controlled photocatalytic growth of ag nanocrystals on brookite and rutile and their sers performance. ACS Appl. Mater. Interfaces 2014, 6, 236–243. [Google Scholar] [CrossRef] [PubMed]
- Ge, L.; Han, C. Synthesis of MWNTs/g-C3N4 composite photocatalysts with efficient visible light photocatalytic hydrogen evolution activity. Appl. Catal. B Environ. 2012, 117–118, 268–274. [Google Scholar] [CrossRef]
- Xiang, Q.; Yu, J.; Jaroniec, M. Preparation and enhanced visible-light photocatalytic H2-production activity of graphene/C3N4 composites. J. Phys. Chem. C 2011, 115, 7355–7363. [Google Scholar] [CrossRef]
- Yang, D.; Li, L.; Xiao, G.; Zhang, S. Steering charge kinetics in metal-free g-C3N4/melem hybrid photocatalysts for highly efficient visible-light-driven hydrogen evolution. Appl. Surf. Sci. 2020, 510, 145345. [Google Scholar] [CrossRef]
- Hu, K.; Li, R.; Ye, C.; Wang, A.; Wei, W.; Hu, D.; Qiu, R.; Yan, K. Facile synthesis of Z-scheme composite of TiO2 nanorod/g-C3N4 nanosheet efficient for photocatalytic degradation of ciprofloxacin. J. Clean. Prod. 2020, 253, 120055. [Google Scholar] [CrossRef]
- Singh, V.K.; Singh, V.; Yadav, P.K.; Chandra, S.; Bano, D.; Kumar, V.; Koch, B.; Talat, M.; Hasan, S.H. Bright-blue-emission nitrogen and phosphorus-doped carbon quantum dots as a promising nanoprobe for detection of Cr(vi) and ascorbic acid in pure aqueous solution and in living cells. New J. Chem. 2018, 42, 12990–12997. [Google Scholar] [CrossRef]
- Yu, Z.; Li, Y.; Qu, J.; Zheng, R.; Cairney, J.M.; Zhang, J.; Zhu, M.; Khan, A.; Li, W. Enhanced photoelectrochemical water-splitting performance with a hierarchical heterostructure: Co3O4 nanodots anchored TiO2@P-C3N4 core-shell nanorod arrays. Chem. Eng. J. 2021, 404, 126458. [Google Scholar] [CrossRef]
- Dhandole, L.K.; Mahadik, M.A.; Chung, H.-S.; Chae, W.-S.; Cho, M.; Jang, J.S. CdIn2S4 chalcogenide/TiO2 nanorod heterostructured photoanode: An advanced material for photoelectrochemical applications. Appl. Surf. Sci. 2019, 490, 18–29. [Google Scholar] [CrossRef]
- Li, D.; Huang, J.; Li, R.; Chen, P.; Chen, D.; Cai, M.; Liu, H.; Feng, Y.; Lv, W.; Liu, G. Synthesis of a carbon dots modified g-C3N4/SnO2 Z-scheme photocatalyst with superior photocatalytic activity for PPCPs degradation under visible light irradiation. J. Hazard. Mater. 2021, 401, 123257. [Google Scholar] [CrossRef]
- Wang, F.; Chen, P.; Feng, Y.; Xie, Z.; Liu, Y.; Su, Y.; Zhang, Q.; Wang, Y.; Yao, K.; Lv, W.; et al. Facile synthesis of N-doped carbon dots/g-C3N4 photocatalyst with enhanced visible-light photocatalytic activity for the degradation of indomethacin. Appl. Catal. B Environ. 2017, 207, 103–113. [Google Scholar] [CrossRef]
- Hu, S.; Tian, R.; Dong, Y.; Yang, J.; Liu, J.; Chang, Q. Modulation and effects of surface groups on photoluminescence and photocatalytic activity of carbon dots. Nanoscale 2013, 5, 11665–11671. [Google Scholar] [CrossRef] [PubMed]
- Song, S.; Wu, K.; Wu, H.; Guo, J.; Zhang, L. Multi-shelled ZnO decorated with nitrogen and phosphorus co-doped carbon quantum dots: Synthesis and enhanced photodegradation activity of methylene blue in aqueous solutions. RSC Adv. 2019, 9, 7362–7374. [Google Scholar] [CrossRef] [PubMed]
- Kakavandi, B.; Zehtab, S.M.; Ahmadi, M.; Naderi, P.; Roccaro, J.; Bedia, M.; Hasham, F.R.; Rezaei, K. Spinel cobalt ferrite-based porous activated carbon in conjunction with UV light irradiation for boosting peroxymonosulfate oxidation of bisphenol A. J. Environ. Manag. 2023, 342, 118242. [Google Scholar] [CrossRef] [PubMed]
- Tian, N.; Giannakis, S.; Akbarzadeh, L.; Hasanvandian, F.; Dehghanifard, E.; Kakavandi, B. Improved catalytic performance of ZnO via coupling with CoFe2O4 and carbon nanotubes: A new, photocatalysis-mediated peroxymonosulfate activation system, applied towards Cefixime degradation. J. Environ. Manag. 2023, 329, 117022. [Google Scholar] [CrossRef]
- Wei, Z.; Liang, F.; Liu, Y.; Luo, W.; Wang, J.; Yao, W.; Zhu, Y. Photoelectrocatalytic degradation of phenol-containing wastewater by TiO2/g-C3N4 hybrid heterostructure thin film. Appl. Catal. B Environ. 2017, 201, 600–606. [Google Scholar] [CrossRef]









Disclaimer/Publisher’s Note: The statements, opinions and data contained in all publications are solely those of the individual author(s) and contributor(s) and not of MDPI and/or the editor(s). MDPI and/or the editor(s) disclaim responsibility for any injury to people or property resulting from any ideas, methods, instructions or products referred to in the content. |
© 2023 by the authors. Licensee MDPI, Basel, Switzerland. This article is an open access article distributed under the terms and conditions of the Creative Commons Attribution (CC BY) license (https://creativecommons.org/licenses/by/4.0/).
Share and Cite
Su, Y.; Ye, Y.; Lin, S.; Lu, Y.; Luo, H.; Liu, G. Surface Modification of TiO2/g-C3N4 Electrode with N, P Codoped CQDs for Photoelectrocatalytic Degradation of 1,4-Dioxane. Water 2023, 15, 2837. https://doi.org/10.3390/w15152837
Su Y, Ye Y, Lin S, Lu Y, Luo H, Liu G. Surface Modification of TiO2/g-C3N4 Electrode with N, P Codoped CQDs for Photoelectrocatalytic Degradation of 1,4-Dioxane. Water. 2023; 15(15):2837. https://doi.org/10.3390/w15152837
Chicago/Turabian StyleSu, Yuehan, Yongbei Ye, Songwei Lin, Yaobin Lu, Haiping Luo, and Guangli Liu. 2023. "Surface Modification of TiO2/g-C3N4 Electrode with N, P Codoped CQDs for Photoelectrocatalytic Degradation of 1,4-Dioxane" Water 15, no. 15: 2837. https://doi.org/10.3390/w15152837
APA StyleSu, Y., Ye, Y., Lin, S., Lu, Y., Luo, H., & Liu, G. (2023). Surface Modification of TiO2/g-C3N4 Electrode with N, P Codoped CQDs for Photoelectrocatalytic Degradation of 1,4-Dioxane. Water, 15(15), 2837. https://doi.org/10.3390/w15152837
