Abstract
Ripple formation and evolution as well as vortex separation along the bedform profile strongly influence surface waves and sediment transport. These features were investigated in a U-Tube at the Hydraulics Laboratory of the University of Messina. During the experimental campaign, tests in the presence of wave only, current only, and collinear wave plus current in wave dominated regime were carried out. The experiments involved both live bed and fixed bed conditions. It was observed that, when the current superimposes to the wave, a longer time is required for the bedforms to stabilize; the vortex separating at the ripple crest reduces with respect to the wave only case. Accordingly, in the fixed rippled bed case, velocity measured in current only condition is larger than that in the wave plus current flow. As vortex shedding influences the way sediments are transported close to the bed, the obtained results may improve the present knowledge on wave current interaction in the presence of bedforms with repercussions in turn on sediment dynamics.
1. Introduction
Interaction of waves and currents over cohesionless sandy bottoms can often induce morphological variations of the bed, with the consequent appearance of sedimentary structures.
Among small-scale patterns, ripples are the most typical, which can be assimilated to relatively large and regular roughness elements []. The presence of these bedforms produces regular large vortices separating at the ripple crest and spreading along the water column, which shows a repeatability both in space and in time. Hence, the flow in the presence of simultaneous waves and currents is significantly affected by the presence of ripples on the seabed [].
Considering their practical importance, the numerical and experimental studies of sedimentary patterns are diffused and can be classified into two groups: the first concerning the formation, evolution, and classification of small-scale bedforms on a movable bed and the other focused on the quantification of flow characteristics (velocity, bed shear stress, vorticity, turbulence, and so on), mainly over a fixed rippled bed.
On the experimental side, Faraci et al. [] aimed to analyze the sandy bed behavior in the presence of both regular and irregular waves. Starting with a flat bed condition, an equilibrium condition characterized by the presence of bedforms was reached. The results showed that, in the presence of regular waves, a transition occurs from rolling grain ripples to vortex ripples, the latter characterizing the final equilibrium configuration; in the presence of irregular waves, however, this transition was not identified, as bedforms directly evolve to vortex ripples.
Vortices generated by oscillatory flow over symmetrical sand ripples were investigated by Tunstall et al. [] through an experimental study aiming to assess the amount of wave energy loss that can be attributed to the formation and motion of vortices. The results showed that the vortices generated under oscillating flow conditions in the presence of ripples dissipate about 7% of the total energy lost due to bottom effects.
Mathisen et al. [,] conducted an experimental campaign in a tank with triangular section bars. The height and the profile of these elements were chosen in such a way that the bars simulated the same characteristics of ripples that were obtained during their experiments on movable bed []. A different friction was observed in the fixed bed case with respect to the live bed ripples.
In this regard, morphological analyses carried out by Andersen [] showed, on the contrary, that in the presence of both live ripples, i.e., generated on a sandy bed subject to an oscillating motion, and fixed asymmetrical or symmetrical ripples, the friction maintains a similar behavior in various cases.
Another experimental campaign was conducted by Earnshaw et al. [] for the wave only case on a fixed bed with ripples made of polystyrene, measuring the velocity inside the boundary layer with a particle image velocimetry technique. The obtained results showed that, as the flow conditions changed, a vortex grew and was ejected at the crest of the ripple. The experimental conditions were used for the validation of a numerical model that predicted both the intensity and the trajectories of the vortex itself.
Hara et al. [], through a theoretical analysis, studied the hydrodynamic stability of the basic two-dimensional oscillatory flow. In this work, ripples of small amplitude and weak fluid oscillations were considered, leaving out the nonlinear effects. On the contrary, such effects were considered by Scandura et al. [], who carried out a numerical study for wave only, observing the generation of vortices above the ripples during the first transition phase, and identified a thickening of the boundary layer at the detachment of the vortex.
A numerical analysis with low Reynolds numbers was also performed by Blondeaux et al. [] in order to investigate the oscillatory flow over a two-dimensional wavy wall characterized by a large amplitude. The results showed that the instability of the two-dimensional flow generates vorticity ribs at two different locations. Such ribs during the wave cycle wrap around the main vortices, causing the alignment of the vortex lines with the free-stream flow, thus inducing large contributions to the coherent structures.
More recently, a direct numerical simulation was conducted by Orden et al. [] to investigate sinusoidal oscillatory flow over a two-dimensional fixed ripple bed with two different Reynolds numbers. Two classes of coherent vortices were observed; a primary vortex formed at the lee side of the ripple by flow separation at the crest and a secondary vortex formed beneath the primary vortex by vortex-induced separation. When the free-stream velocity weakens, these vortices form a counter-rotating vortex dipole and are ejected over the crest with their mutual induction.
As previously mentioned, when the current superimposes on the waves, it generates complex hydrodynamic phenomena that can produce significant changes in mean velocity profile, in the structure of the boundary layer, and in the sediment transport. A crucial role is played by the angle of attack, which can range from 0° (collinear waves and current, see, e.g., Peruzzi et al. [], just to mention one of the most recent contributions to such a topic) to 90° (orthogonal waves and currents, see, e.g., Faraci et al. []). In the present work, the attention is addressed to the collinear wave and current interaction, which is typical of coastal areas where currents generated, e.g., by tides, salinity, or temperature gradients, can often follow or oppose waves.
The interplay of the two forcing components is increased by the presence of large roughness such as the rippled bed, but despite the relevance of the topic, the literature focused on the analysis of wave/current interaction in the presence of ripples is rather limited with respect to the wave only case.
Among such studies, Kemp et al. [], simulating the ripple bed with small triangular section elements, found that the shear stresses do not increase considerably owing to the superimposition of the current on the wave, while the generated turbulence grows from 4 to 6–7 times. This is in agreement with the findings of Inman et al. [] and Bijker et al. [], who observed an increased sediment transport upstream when a weak current superimposed to the waves. The latter authors underline how the understanding of vortex generation as a function of wave and flow parameters is essential for understanding the sediment transport induced by waves and currents. Indeed, more sediments are raised from the bed, which, in turn, are diffused in the turbulence zone by the current; this could lead to a significantly higher migration velocity as well as to the increase in bed shear stresses, which, however, do not prevent the formation of ripples with high crests.
Aydin [] carried out experiments in a tunnel with a fixed asymmetrical ripple bed in collinear waves and currents conditions, measuring the velocity profiles and turbulence at different measurement points along the length of the ripples. He also performed a numerical simulation of motion, using a discrete vortex model and the k-ε model.
In addition to the wave only case mentioned above, Mathisen et al. [] also studied a combined collinear motion focusing the analyses on the Nikuradse sand equivalent roughness, confirming the same behavior observed for waves only.
Among the most detailed studies in the presence of collinear waves and currents, Fredsøe et al.’s work [] is worth mentioning. Comparing the wave only case and the waves plus currents case in the presence of ripples, the authors observed that the origin of the velocity profile is shifted to a higher elevation when both of the components are present; in particular, the analysis of the logarithmic profiles shows two logarithmic layers, one related to the real roughness produced by the presence of ripples, and the other generated by the increase in apparent bed roughness induced by the wave flow field. Finally, they also observed that the turbulence near the bed increased owing to the presence of the lee-wake vortex moving along the ripples before the flow reversed.
In order to produce a unifying study, covering both live and fixed bed conditions in the same experimental set-up, in this work, an experimental campaign in the presence of current only, wave only, and collinear wave plus current with both live and fixed ripples was carried out within the U-tube. The physical modeling in the present case was preferred to the numerical approach. Indeed, owing to the intrinsic complexity of the topic, which involves the interaction of two different forces, i.e., waves and currents, and a (mobile or fixed) rippled bed, the strong degree of non-linearity of the problem led us to select an experimental investigation with high predictive level rather than a numerical one.
The purpose of the present study concerns the generation and evolution of ripples as well as the dynamics of the vortex structure generated when the current superimposes to the wave. The paper is organized as follows: Section 2 describes the experimental set-up, Section 3 is devoted to analyzing the results of the experimental campaign in both live and fixed conditions, and the paper ends with some conclusive remarks.
2. Experimental Set-Up
The experimental campaign aimed at studying the collinear interaction of waves and currents was carried out at the Hydraulics Laboratory of the University of Messina within a U-tube apparatus. Such equipment mainly consists of a central horizontal tunnel and two vertical side columns; the tunnel is 5 m long with a rectangular cross section (0.4 m × 0.6 m), and inside, it is possible to generate simultaneously an oscillating flow by means of an hydraulic piston and a steady current through a pump system, which recirculates the desired flow within the test section.
The central part of the tunnel has multilayer tempered laminated glass walls. The metallic carpentry is made of stainless steel.
The upper part of the tunnel is closed by three plexiglass panels measuring 1.60 m (length) × 0.30 m (width) × 1 cm (thickness), totally removable to allow inner inspection. In the test area, the cross section of the tunnel (d = 60 cm) is divided in two parts: the bottom one is 10 cm high, and inside, it is possible to insert loose materials (sand, gravel, and so on), or panels properly built to simulate different roughness; the upper part, 50 cm high, is a dynamic volume where the mass of water flows or oscillates. As above mentioned, the side walls and the bed are completely transparent and allow an easy view of the mass of water and any aggregates placed at the bed. In Figure 1a, a cross section of U- tube with its relevant dimensions is shown.

Figure 1.
(a) Section of U-tube (units are reported in m); (b) Vectrino housed in the suitably perforated panel; (c) measuring sections along the fixed ripple profile.
The piston generating the wave flow is located in one of the two columns; the other column, with the same size but with a free surface, is placed at the other end of the tunnel and contains the liquid mass that oscillates inside the tube.
As already mentioned, the oscillating flow can be superimposed to or replaced by a steady current pushed by a pump connected to a recirculation system where a discharge varying between 0 and 0.25 m3/s can flow. More in detail, the recirculating equipment consists of a centrifugal pump with variable flow that can be manually adjusted by means of valve in a dedicated control panel, a filter section, and a flow measurement section; finally, an external pipe closes the circuit (Figure 1a).
Two flow straightening sections made of removable panels are located at the two ends of the tunnel. These latter panels allow for reducing turbulence and making the flow as homogeneous and straight as possible along the measurement section. The connection curves between the two vertical columns and the horizontal tunnel are equipped with deflector paddles, in order to divert the flow from perpendicular to axial with respect to horizontal channel.
In this experimental campaign, tests in the presence of both movable and fixed bed were carried out. In the first case, in order to study the sediment mobilization and the consequent appearance of sedimentary structures in different hydrodynamic conditions, a 10 cm thick layer of sand (d50 = 0.125 mm) was placed at the tunnel bed. This layer was suitably levelled to be horizontal and plane before the start of each test in order to impose an initial condition of flat bed. In the movable tests, case optical measurements were acquired by means of a 16.6 Megapixel Sony FDR-AX53 video camera, able to record videos in 4 k Ultra HD resolution.
In the fixed bed tests, in order to obtain a rigid rippled bed, a corrugated PVC panel was properly 3D-printed with the required ripples dimensions (λ = 8.7 cm and η = 1.85 cm), and glued on a steel panel. Then, a homogeneous layer of glue was distributed on the panel and it was sprinkled with sand with median grain size d50 = 0.125 mm to obtain adequate surface roughness. The panel was properly fixed at the bed of the channel by means of magnets to avoid the drag and lift action due to waves and currents.
A Vectrino Profiler was used to acquire the velocity measurements on the fixed bed. To this aim, the central top panel of the tunnel was suitably pierced for hosting the instrumentation. The hole dimensions allow the Vectrino to be vertically shifted to measure along the water column, keeping the system pressurized and preventing water leaks by means of a gasket (Figure 1b). Three measuring points along a ripple profile were acquired as shown in Figure 1c (crest, intermediate and trough) by shifting the fixed bed.
During the experimental campaign, current only (CO), wave only (WO), and wave plus current (WC) conditions were simulated.
The acquisition time for the tests on the movable bed was set equal to 10 min. Such time was long enough to allow ripples to reach on equilibrium condition. For the tests with a fixed bed, the acquisition times for each position of the Vectrino were equal to 2 for the current only tests and 5 min for both wave only and wave plus current tests. These time durations were chosen in order to obtain data series long enough to perform meaningful averages. In order to limit the problems related to Vectrino, i.e., the weak point or the quantity of seeding material concentration, and so on [], the velocity range was changed along the water column, between 0.7 and 2.5, while the sampling rate was kept constant and equal to 100 Hz.
3. Analysis of the Experimental Results
First of all, a calibration of the set-up was carried out for all of the flow conditions (CO, WO, and WC). Regarding CO conditions, several discharges were pumped for a time long enough to observe that the current velocity was stable over time. Similarly, for the WO case, for a time corresponding to the experiment duration, the stability was verified by superimposing each oscillatory flow cycle with an average percentage error equal to about 5%. The superposition of both forces did not generate variations in the stability of the flow.
Moreover, preliminary analyses varying the amplitude (A) and frequency (f) of the oscillations of the piston were carried out to identify the parameters to be imposed to the system in order to obtain optimal performances. The best range of performances was gained for frequencies between 0.1 and 0.4 Hz and amplitudes greater than or equal to 0.102 m; the minimum percentage error between the piston input and output signal is obtained for two set of parameters, namely f = 0.2 Hz − A= 0.154 m and f = 0.3 Hz − A = 0.102 m, with uc = 0.14 m·s−1. For this reason, these were the pairs of hydrodynamic parameters chosen for the experimental campaign.
In particular, five tests (M1–M5) including one current only (CO), two wave only (WO), and two wave and current (WC) in the presence of a movable bed were carried out, aimed at identifying the characteristics of sedimentary structures and the effects of the current superposition on the bedforms.
For fixed bed, three series of tests (F1–F3) were performed, one of current only (CO), one of wave only (WO), and one with waves and currents (WC); each series regarded the three measurement sections along the ripple. In Table 1, the frequency (f) and the amplitude (A) imposed during all tests were reported. The imposed current velocity was always kept constant equal to uc = 0.14 m·s−1. In particular, letters M and F indicate the tests on movable and fixed bed, respectively. The subscripts c, I, and t in the fixed bed case indicate the acquisition point along ripple profile, i.e., crest, intermediate, or trough of the ripple profile, respectively.

Table 1.
Hydraulic characteristics of the performed experiments over movable and fixed bed.
Table 2 shows the dimensional and dimensionless parameters, usually considered for the study of ripple dynamics. In particular, for each movable bed test along with the type of force (WO or WC), the characteristics of ripples (height η and length λ) and dimensionless parameters (Rew, Red, and ψ) are reported [].

Table 2.
Dimensional and dimensionless parameters of the experimental campaign on movable bed.
In particular, the flow Reynolds number is calculated as follows:
The sediment Reynolds number is
and the mobility number can be determined as
with being the relative density of sediments; u0 being the wave orbital velocity (); and being the angular velocity, .
3.1. Movable Bed
Analyses of morphodynamic evolution of ripples with individuation of the separation and evolution of vortices at the crests were carried out for the considered hydrodynamic conditions. Moreover, the wave only case and the wave plus current case were compared. In particular, by means of a video camera, one frame every 10 s was extrapolated, allowing the study of temporal evolution of the ripple characteristics (length, λ(t), and height, η(t)).
The morphodynamic response of the flat bed forced by the wave only case was compared to the wave plus current case. In particular, in Figure 2, ripple wavelength and height acquired in the tests of wave only conditions (Run M2 and Run M3 reported in Figure 2a,c, respectively) were compared with correspondent wave plus current cases (Run M4 and Run M5 in Figure 2b,d, respectively).

Figure 2.
Ripple length and height evolution versus time. (a) Run M2 WO f = 0.2 Hz A = 0.154 m; (b) Run M4 WC f = 0.2 Hz A= 0.154 m uc = 0.14 m·s−1; (c) Run M3 WO f = 0.3 Hz A = 0.102 m; (d) Run M5 WC f = 0.3 Hz A = 0.102 m uc = 0.14 m·s−1.
It is interesting to note that, in the presence of waves and currents, longer times are required for the sedimentary structures to stabilize with respect to the wave only case. Observing the ripple length (λ (t)) in time, it can be seen that the latter stabilizes almost immediately just after ripple formation, at least in the smaller frequency and higher amplitude case, getting slightly larger values in the presence of waves plus currents than in wave only case. For the case with higher frequency and smaller amplitude, a more pronounced increasing trend of the wave length is observed, and a larger wavelength in the WC case with respect to the WO case is recovered as well. More specifically, the ripple wavelength increases up to 14% when a current is superimposed to wave with f = 0.2 Hz and A = 0.154 m, up to 8% if the same current superimposes a wave with f = 0.3 Hz and A = 0.102 m.
Observing ripple height, the growth process is much more gradual; indeed, height increases until it stabilizes, reaching slightly larger values in the presence of waves and currents than in the case of waves only, with a small increase of 4%. This increase in ripple height is almost the same in the two investigated oscillating flow conditions.
The contemporary presence of wave and current, indeed, can lead to an overall increase in the bed shear stresses [], thus generating ripples with a greater length and height. This result is also confirmed by the experimental work carried out by Petrotta et al. [], who investigated the growth and the migration of small-scale bedforms inside a channel on a horizontal section (P1) and a sloping section (P2). At the sloping section, a current is generated in the cross-shore direction, which can thus be assimilated to the collinear currents that, in the present case, superimpose to wave; near the bottom, the acceleration in the on-shore direction is greater than that in the off-shore direction, giving rise to the phenomenon known as acceleration skewness []. This phenomenon affects the hydrodynamics, generating an important steady drift, which in turn can induce variations in coastal sediment transport []. In the aforementioned work by Petrotta et al. [], the ripple length assumes larger values on the sloping section compared with the horizontal section, consistent with what was observed in the WC tests compared with the WO case in the present work. Regarding the ripple height, which in this work shows a slight increase in the presence of current, according to Petrotta et al. [], it assumes almost constant values in both sections.
Regarding the ripple geometry at the equilibrium, the results of the present study were compared with the predictive curves of Nielsen [] and Grasmejier et al. [] and with experimental data obtained in the works of Faraci et al. [], Bosman et al. [], and Petrotta et al. [] in a logarithmic plot describing the geometric characteristics of ripples, as shown in Figure 3. In particular, Figure 3a,b show the length and height of ripples, respectively, made nondimensional by means of the wave orbital amplitude versus the mobility number.

Figure 3.
Comparison of ripple geometry data with ripple predictor models and other literature study (NI81 corresponds to [], GR04 to [], FA02 to [], PE18 to [] and BO81 to []): (a) non-dimensional ripple wavelength λ/A; (b) non-dimensional ripple height η/A.
Present data show a similar scatter with respect to other data sets, with similar values to those obtained by Faraci et al. [], in terms of both the length and height of ripples. Furthermore, as observed before, the characteristics of ripples generated in presence of waves only (WO, full circle) show a small difference compared with ripples generated in presence of collinear waves and currents (WC, empty circle), with a slight increase in the ripple size in the presence of a current.
From a morphological point of view, comparing the ripples’ profiles that were generated in the two analysed hydrodynamic conditions, i.e., f = 0.2 Hz and A = 0.154 m (Run M2 and Run M4) and f = 0.3 Hz and A = 0.102 m (Run M3 and Run M5), it can be observed that, at the higher frequency condition, in the presence of both a wave only and of waves and currents, the profile seems much more regular and symmetric, probably owing to the higher velocity at the bed. Furthermore, for both of the investigated frequencies, the presence of the current levels the ripple profile, resulting in more rounded crests than the sharper ones observed in the wave only case (see Figure 4). Finally, the superposition of the current on the wave generates a ripple migration velocity, giving rise to an asymmetrical ripple profile in the off-shore direction.

Figure 4.
Comparison of ripple profile: (a) WO (grey line) and (b) WC (black line).
In addition to what was observed so far, the knowledge of vortex structures is certainly useful to better understand sediment dynamics on a rippled bed, as vortices lift up sand particles and can be considered one of the main causes of sediment transport and coastal erosion on a bed covered by ripples. In this regard, starting from stable conditions, some photographic sequences regarding the vortex shedding are discussed here. The vortex dynamics at different phases of the wave cycle was analysed comparing the wave only case and collinear wave plus current case.
For Run M3 and Run M5, a complete wave cycle was extracted from the entire video and in turn divided into frames, starting from 5° up to 360° of the wave cycle with a step of 5°. Figure 5 shows the four most significant phases (90°, 120°, 190°, 250°) and, in particular, the evolution of vortices in the wave only case and collinear wave–current interaction case is reported on the left and right column, respectively.


Figure 5.
Evolution of vortex at different phases of wave cycle in wave only and wave plus current case (f = 0.3 Hz, A = 0.102 m, and uc = 0.14 m·s−1). (a) WO case phase 90°; (b) WC case phase 90°; (c) WO case phase 120°; (d) WC case phase 120°; (e) WO case phase 190°; (f) WC case phase 190°; (g) WO case phase 250°; (h) WC case phase 250°.
Looking at the various phases, for the wave only case (right column), no movement occurs until the 60° phase, where a turbulent motion is triggered. After the 90° phase (Figure 5a), the generation of a vortex with a diameter δ = 1.5 cm occurs. This vortex appears well defined; it grows and detaches clearly at the crest at the 120° phase (Figure 5c), reaching a maximum dimension of δ = 2.5 cm. Furthermore, this vortex migrates opposite to the flow propagation direction up to 150°, where, at the flow inversion (190°, Figure 5e), a less defined anticlockwise vortex is identified, which dissolves during the remaining phases of wave cycle (Figure 5g).
In the presence of collinear waves and currents, at the 90° phase (Figure 5b), a vortex less defined than in the WO case is identified, with a maximum dimension (δ = 1.8 cm) at the 120° phase (Figure 5d), smaller than in the WO case. Furthermore, this vortex moves towards the opposite crest (Figure 5f) more rapidly than in the wave only case until it completely disappears (Figure 5h).
Both these effects, i.e., less defined vortex and greater migration, are likely due to the presence of the current, which leads to level the vorticity at the bottom when it superimposes on the wave only case, as also happens in the presence of orthogonal waves and currents [].
This representation agrees with the analyses suggested by Fredsøe et al. []. Comparing the results obtained in the present study to those of Fredsøe et al. [], it is noted that the vortices are identified in both cases. The maximum extension of the vortices in the present work occurs at the 120° phase, while according to Fredsøe et al. [], it occurs at the 150° phase with the identification of other small vortices during all the other phases. This difference is probably related to the shape of ripples; indeed, in the presence of waves and currents, where the ripples have a round crest, the vortices are less defined owing to the shape of the ripple itself [].
Similar results were also obtained by Admiral et al. [], using a PIV technique on live ripples in a similar set-up at a smaller scale. Specifically, Admiral et al. [] carried out various tests in the presence of wave only, observing the same sign of the detached vortices formed at different phases; however, a comparison in terms of vortex size cannot be performed as the hydrodynamic parameters involved in the experimental campaign of Admiral et al. [] were very different from the ones adopted in the present tests.
3.2. Fixed Bed
As mentioned before, a hydrodynamic campaign on fixed ripples was also performed to gain insights on the flow characteristics in the proximity of the bed.
The dimensions of fixed ripples were chosen considering the results obtained on a movable bed; however, in order to carry out measurements at different positions along the ripple profile, larger wavelengths were reproduced in order to acquire more reliable velocity profiles. Therefore, the mean geometric characteristics obtained in the presence of a movable bed were increased by 50% to obtain the fixed bed dimensions, which, however, agreed with the dimensions predicted by Nielsen [] (see also Figure 3).
Only tests in the wave dominated regime (WD) were carried out owing to limits of the setup, i.e., Ûc/Û0 < 1, where Ûc and Û0 are the measured current and wave velocity, respectively. In particular, Ûc was obtained as the linear interpolation between the measurement points carried out before and after an elevation equal to 0.17 d, according to Fredsøe et al. [], while Û0 was calculated by vertically averaging (between 0.05 d and 0.15 d) velocity profiles acquired at the two phases corresponding to the passage of wave crest and trough, respectively. Such an operation was performed for all the three acquired measurements sections and, finally, a spatial average was carried out to obtain Û0. In the following, the results of tests carried out on a fixed bed in presence of a flow field with f = 0.3 Hz, A = 0.102 m, and Ûc/Û0 = 0.72 are discussed.
In the following, time- and space-and-time-averaged velocities were calculated as shown below:
- Time-averaged velocity:
- Space-and-time-averaged velocity:
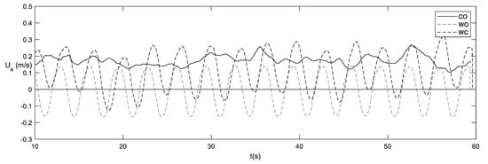
In Figure 6, the velocity time history for all three flow conditions (CO, WO, and WC) is shown. In particular, comparing the WC velocity with WO one, the first one turns out to be a modulated sinusoidal function that develops not entirely in the positive axis. This leads to time-averaged WC velocity being lower than the current only one, whose time history instead is almost constant and positive; therefore, locally and at some instants of the period, the dominant velocity in the WC case is the (negative) one of the waves, as a consequence of the wave dominated regime.

Figure 6.
Comparing time history for three different flow conditions (CO, WO, and WC).
As previously mentioned, the time-averaged velocity profile was acquired at three different sections along the ripple profile (see Figure 1c). In Figure 7, for example, the case of wave only (Run F2c, F2i, and F2t) is shown; the profiles differ at the bed at the three different measurement sections. Indeed, the velocity below 0.075 z/d is negative at the crest and trough, and almost positive in the middle of the two points.

Figure 7.
(a) Time-averaged velocity profile in the × direction Ux in the presence of wave only in three different acquisition points along ripple profile; (b) zoom of bed profiles.
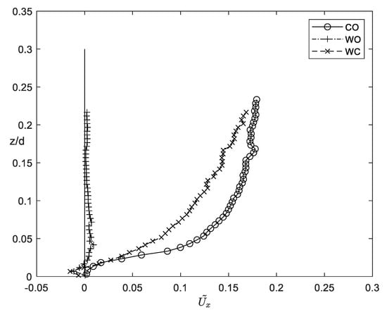
Consequently, comparison of space and time averaged velocity profiles in the three different flow conditions carried out on a fixed bed (CO, WO, and WC) leads to the observation that the WO profile returns a negative bed velocity (see Figure 8). Such behavior is a direct consequence of the existence of a steady streaming, which increases with increasing Reynolds numbers [], which can be significantly larger than that predicted for laminar flows over flat beds. Accordingly, positive streaming can also be observed upwards, and it is related to the existence of positive values of time-averaged Reynolds stresses []. This inversion was also found in the WC case, though to a lesser extent with respect to the WO case. Moreover, when the wave superposes the current, the average velocity for WC case is lower than that obtained in the current only case, as the prevailing condition is wave dominated, as mentioned before (see Figure 6).

Figure 8.
Mean velocity profile in condition of CO, WO, and WC (f = 0.3 Hz, A = 0.102 m, and uc = 0.14 m·s−1).
These results agree with the findings of Faraci et al. []. Indeed, through the analysis of velocity profiles at different points along the ripples’ profile in the presence of orthogonal waves and currents, they found a similar inversion. Comparing the present study results with those of Faraci et al. [], it can be observed that, in the WC case and WD regime, the inversion found here is greater, and this difference is probably related to the different angle of attack of the current. The present inversion can be related to the generation of vortex structures, which tend to be smaller in the case of WC than in the WO case, confirming what was observed before in the presence of a movable bed.
4. Conclusions
This paper investigated the collinear wave–current interaction over live and fixed rippled beds within an experimental campaign carried out in a U-tube. The tests were performed in current only, wave only, and wave plus current conditions. The results discussed in this paper showed the following:
- in the presence of waves and currents, longer times are required for the bedforms to stabilize than in the wave only case;
- in the presence of both waves and current, bedform characteristics are similar to the case of wave only, but their longitudinal profile shows more rounded crests and a certain degreed asymmetry;
- analyses of evolution of vortex ripples, in the wave only case, showed the formation of a clockwise vortex that reaches the maximum size of 2.5 cm at the 120° phase; in the presence of waves and currents, this vortex reduces by about 30%;
- the velocity in the WC tests is not always positive; therefore, the space- and time-averaged velocity shows a lower value than the current only one. The superposition of the wave on the current reduces the average velocity with respect to the CO case.
For the above mentioned reasons, it seems reasonable to argue that the superposition of a collinear current on a wave flow, damping the vorticity ejected at the ripple bed, may also act in reducing sand mobilization, with possible repercussions in turn on sediment transport.
Future research will address comparisons with numerical and analytical models as well as different roughness and ripple shapes. Additional efforts may also be directed to a more detailed investigation of vortex shedding over the ripple crests, by improving both the visualization technique and the flow field acquisition (e.g., employing PIV or PTV techniques).
Author Contributions
Conceptualization, A.R. and C.F.; methodology, C.F.; validation, A.R.; formal analysis, A.R.; investigation, A.R.; data curation, A.R.; writing—original draft preparation, A.R.; writing—review and editing, C.F.; supervision, C.F. All authors have read and agreed to the published version of the manuscript.
Funding
This work was partly supported by the project TETI-TEcnologie innovative per il controllo, il monitoraggio e la sicurezza in mare (code ARS01_00333) and by the project ISYPORTIntegrated SYstem for navigation risk mitigation in PORTs (code ARS01_01202).
Institutional Review Board Statement
Not applicable.
Informed Consent Statement
Not applicable.
Data Availability Statement
Not applicable.
Conflicts of Interest
The authors declare no conflict of interest.
References
- Grant, W.; Madsen, O.S. The continental-shelf bottom boundary layer. Annu. Rev. Fluid Mech. 1986, 18, 265–305. [Google Scholar] [CrossRef]
- Andersen, K.H.; Faraci, C. The wave plus current flow over vortex ripples at an arbitrary angle. Coast. Eng. 2003, 47, 431–441. [Google Scholar] [CrossRef] [Green Version]
- Faraci, C.; Foti, E. Geometry, migration and evolution of small scale bedforms generated by regular and irregular waves. Coast. Eng. 2002, 47, 35–52. [Google Scholar] [CrossRef]
- Tunstall, E.B.; Inman, D.L. Vortex generation by oscillatory flow over rippled surfaces. J. Geophys. Res. 1975, 80, 3475–3484. [Google Scholar] [CrossRef]
- Mathisen, P.P.; Madsen, O.S. Waves and currents over a fixed rippled bed: 1. Bottom roughness experienced by waves in the presence and absence of currents. J. Geophys. Res. 1996, 101, 16533–16542. [Google Scholar] [CrossRef]
- Mathisen, P.P.; Madsen, O.S. Waves and currents over a fixed rippled bed: 2. Bottom and apparent roughness experienced by currents in the presence of waves. J. Geophys. Res. 1996, 101, 16543–16550. [Google Scholar] [CrossRef]
- Mathisen, P.P. Experimental study on the response of fine sediments to wave agitation and associated wave attenuation. Master’s Thesis, Massachusetts Institute of Technology, Cambridge, MA, USA, 1989. [Google Scholar]
- Andersen, K.H. The dynamics of ripples beneath surface waves and topics in shell models of turbulence. Ph.D. Thesis, University of Copenhagen, Copenhagen, Denmark, 1999. [Google Scholar]
- Earnshaw, H.C.; Greated, C.A. Dynamics of Ripple Bed Vortices. Exp. Fluids 1998, 25, 265–275. [Google Scholar] [CrossRef]
- Hara, T.; Mei, C.C. Centrifugal instability of an oscillatory flow over periodic ripples. J. Fluid Mech. 1990, 217, 1–32. [Google Scholar] [CrossRef]
- Scandura, P.; Vittori, G.; Blondeaux, P. Three-dimensional oscillatory flow over steep ripples. J. Fluid Mech. 2000, 412, 355–378. [Google Scholar] [CrossRef]
- Blondeaux, P.; Scandura, P.; Vittori, G. Coherent structures in an oscillatory separated flow: Numerical experiments. J. Fluid Mech. 2004, 518, 215–229. [Google Scholar] [CrossRef]
- Önder, A.; Yuan, J. Turbulent dynamics of sinusoidal oscillatory flow over a wavy bottom. J. Fluid Mech. 2019, 858, 264–314. [Google Scholar] [CrossRef]
- Peruzzi, C.; Vettori, D.; Poggi, D.; Blondeaux, P.; Ridolfi, L.; Manes, C. On the influence of collinear surface waves on turbulence in smooth-bed open-channel flows. J. Fluid Mech. 2021, 924. [Google Scholar] [CrossRef]
- Faraci, C.; Musumeci, R.E.; Marino, M.; Ruggeri, A.; Carlo, L.; Jensen, B.; Foti, E.; Barbaro, G.; Elsaßer, B. Wave- and current-dominated combined orthogonal flows over fixed rough beds. Cont. Shelf Res. 2021, 220, 104403. [Google Scholar] [CrossRef]
- Kemp, P.H.; Simons, R.R. The interaction between waves and a turbulent current: Waves propagating with the current. J. Fluid Mech. 1982, 116, 227–250. [Google Scholar] [CrossRef] [Green Version]
- Inman, D.L.; Bowen, A.J. Flume experiments on sand transport by waves and currents. Coast. Eng. Proc. 1962, 11. [Google Scholar] [CrossRef] [Green Version]
- Bijker, E.W.; van Hijum, E.; Vellinga, P. Sand transport by waves. In Proceedings of the 15th International Conference on Coastal Engineering, Honolulu, Hawaii, 11–17 July 1976. [Google Scholar]
- Aydin, I. Computation and analysis of unsteady turbulent flow on flat bottom and over rigid ripples. PhD Thesis, Tohoku University, Sendai, Japan, 1987. [Google Scholar]
- Fredsøe, J.; Andersen, K.H.; Sumer, B.M. Wave plus current over a ripple-covered bed. Coast. Eng. 1999, 38, 177–221. [Google Scholar] [CrossRef]
- Macvicar, B.J.; Dilling, S.; Lacey, R.W.J.; Hipel, K. A quality analysis of the Vectrino II instrument using a new open-source MATLAB toolbox and 2D ARMA models to detect and replace spikes. In Proceedings of the River Flow 2014—7th International Conference on Fluvial Hydraulics, Lausanne, Switzerland, 3–5 September 2014. [Google Scholar]
- Nielsen, P. Coastal Bottom Boundary Layers and Sediment Transport; World Scientific: Singapore, 1992. [Google Scholar]
- Petrotta, C.; Faraci, C.; Scandura, P.; Foti, E. Experimental investigation on sea ripple evolution over sloping beaches. Ocean Dyn. 2018, 68, 1221–1237. [Google Scholar] [CrossRef]
- Scandura, P.; Faraci, C.; Foti, E. A numerical investigation of acceleration-skewed oscillatory flows. J. Fluid Mech. 2016, 808, 576–613. [Google Scholar] [CrossRef]
- Hsu, T.; Hanes, D. Effects of wave shape on sheet flow sediment transport. J. Geophys. Res. 2004, 109, 15. [Google Scholar] [CrossRef]
- Nielsen, P. Dynamics and geometry of wave-generated ripples. J. Geophys. Res. 1981, 86, 6467–6472. [Google Scholar] [CrossRef]
- Grasmeijer, B.; Kleinhans, M. Observed and predicted bed forms and their effect on suspended sand concentrations. Coast. Eng. 2004, 51, 351–371. [Google Scholar] [CrossRef]
- Bosman, J.J. Bed Behavior and Sand Concentration Under Oscillatory Water Motion; Delft Hydraulics Laboratory: Delft, The Netherlands, 1981. [Google Scholar]
- Ruggeri, A.; Musumeci, R.E.; Faraci, C. Wave-Current Flow and Vorticity Close to a Fixed Rippled Bed. J. Mar. Sci. Eng. 2020, 8, 867. [Google Scholar] [CrossRef]
- Horikawa, K.; Mizutani, S. Oscillatory Flow Behavior in the Vicinity of Ripple Models. In Proceedings of the 23rd International Conference on Coastal Engineering, Venice, Italy, 4–9 October 1992. [Google Scholar]
- Admiraal, D.; Musalem-Jara, R.; García, M.; Niño, Y. Vortex trajectory hysteresis above self-formed vortex ripples. J. Hydraul. Res. 2006, 44, 437–450. [Google Scholar] [CrossRef]
- Scandura, P.; Faraci, C.; Blondeaux, P. Steady Streaming Induced by Asymmetric Oscillatory Flows over a Rippled Bed. J. Mar. Sci. Eng. 2020, 8, 142. [Google Scholar] [CrossRef] [Green Version]
- Faraci, C.; Foti, E.; Musumeci, R.E. Waves plus currents at a right angle: The rippled bed case. J. Geophys. Res. 2008, 113, C07018. [Google Scholar] [CrossRef] [Green Version]
Publisher’s Note: MDPI stays neutral with regard to jurisdictional claims in published maps and institutional affiliations. |
© 2022 by the authors. Licensee MDPI, Basel, Switzerland. This article is an open access article distributed under the terms and conditions of the Creative Commons Attribution (CC BY) license (https://creativecommons.org/licenses/by/4.0/).