Abstract
Mercuric chloride (HgCl2) is a common heavy-metal pollutant widely used in commercial products and industry, but its excessive use and uncontrolled discharge have caused great harm to aquatic environments and human health. To research the mechanisms of HgCl2 toxicity in aquatic organisms, this study cultured the green alga Scenedesmus quadricauda in a gradient of HgCl2 concentrations (0, 0.1, 0.3, 0.5, 0.7, and 0.9 mg/L) for 9 days. The results showed that: (1) when the concentrations of HgCl2 were high (≥0.7 mg/L), the toxic effects completely inhibited the growth of algal cells, the culture liquid changed from green to light yellow, and cells aggregated and sank to the bottom. Submicroscopic structural imaging showed that at 0.9 mg/L HgCl2, the algal cells were seriously damaged and obvious plasma–wall separation occurred. Furthermore, the arrangement of photosynthetic lamellae became disordered and the nuclei and protein nuclei faded or even disappeared. (2) When the concentrations of HgCl2 were low and medium (≤0.5 mg/L), the activity of superoxide dismutase (SOD) in algal cells increased in the first five days, but the degree of increase was smaller than in the control group. However, under high HgCl2 concentrations (≥0.7 mg/L), the activity of SOD began to decrease sharply on the seventh day. The activity of peroxidase (POD) decreased more obviously than that of SOD. (3) Under medium and high HgCl2 concentrations (≥0.5 mg/L), the content of malondialdehyde (MDA) in algal cells increased over time, and had not decreased again by the last day of measurement. In contrast, the contents of total protein (TP) and soluble sugar (SS) both exhibited decreasing trends under high HgCl2 concentrations. (4) When the HgCl2 concentrations were ≥0.7 mg/L, the content of photosynthetic pigments in algal cells decreased, and the light quantum yield of PS Ⅱ decreased. At the same time, as culture time progressed, the photosynthetic electron transfer and energy-conversion efficiency were seriously damaged and photosynthesis never returned to normal levels. This research provides a reference for understanding the mechanism by which HgCl2 pollution affects aquatic ecosystems and may help with pollution management in the future.
1. Introduction
Scenedesmus quadricauda is a green alga usually composed of four to eight round or cylindrical cells, arranged in a wide unit with rounded upper and lower ends. S. quadricauda is easy to culture when isolated, grows and reproduces quickly, and is very sensitive to toxic substances from outside sources. For these reasons it is a good indicator species for biological toxicity experiments in water and is widely used by ecological and environmental departments as a recommended algal species in algal toxicity tests [1].
Mercury is a heavy-metal element widely used in industrial and agricultural production, scientific research, and national defense construction. As the consumption of mercury in modern society far exceeds its degradation in nature, a large amount of mercury enters the natural environment as pollution. Mercury is very persistent in the environment, and transported by air and water in its gaseous and liquid forms, mercury will reach all corners of the world [2]. Gaseous mercury can reach various organs in the human body; ingested via the respiratory tract, it enters the blood and interacts with red blood cells, eventually accumulating in the kidneys [3,4,5,6]. Mercury in water and soil can be absorbed and eaten by crops and animals, eventually entering the human body through the food chain. Furthermore, although the content of the heavy metal mercury in primary consumers may be lower than that in the environment, through the bioaccumulation and biomagnification of the food chain [7,8,9,10], when the heavy metal mercury enters the human body, its content has already been amplified more than 100,000 times. This is especially true in fish, which can contain a particularly high content of the heavy metal mercury [11]. Moreover, heavy-metal elements are persistent in the human body as they cannot be digested or metabolized, so they remain and accumulate and cause great harm to human health [12,13,14].
The toxic effects of mercuric chloride toward algae have been previously investigated [15,16]. These effects included growth retardation, cellar morphological abnormalities, and disordered formation modes of autospores in Scenedesmus obliquus [17]. However, the toxicological effects of mercury on S. quadricauda have been rarely reported [18].
In order to further understand the toxic effects of mercuric chloride on primary producers and other biological organisms, in this study, the toxicological effects of mercuric chloride on S. quadricauda were examined. The results can provide a basis for the toxic mechanism of mercuric chloride on algae and the prevention and control of mercuric chloride pollution in water.
2. Materials and Methods
2.1. Culture of Algal Cells
Scenedesmus quadricauda (FACHB-1297), purchased from the freshwater algal seed bank of the Institute of Hydrobiology, Chinese Academy of Sciences, was cultured in BG-11 medium [19]. The conical flasks inoculated with algal solution were placed in a constant-temperature artificial cultivation room at 26 °C with a light intensity of 3000 ± 300 lx and a light–dark cycle of 12 h:12 h [20]. The conical flasks were randomly arranged in the cultivation room every day to ensure that algal cells in different flasks grew under similar light conditions. Algal cells that had reached the logarithmic growth phase were used in the subsequent experiments.
2.2. Preparation of HgCl2 Solution and Exposure Treatment of Algal Cells
Mercuric chloride (HgCl2) (purity ≥ 98%) was purchased from the Tongren Chemical Research Institute of Guizhou Province, China. A total of 200 mg of HgCl2 powder was accurately weighed and added to 100 mL of ultrapure water in a washed and autoclaved 100 mL beaker and stirred at a constant speed until the HgCl2 powder had completely dissolved. The solution was transferred to a 200 mL volumetric flask and the volume was adjusted to obtain a 1 g/L stock solution of HgCl2.
Four liters of BG-11 medium were then prepared and dispensed into 250 mL conical flasks, with 200 mL of medium added to each flask. A total of 3 mL of the S. quadricauda culture was added to the conical flasks when the algal cells had entered the logarithmic growth phase after one week of culture. A concentration gradient of HgCl2 in the medium was established (i.e., 0, 0.2, 0.4, 0.6, 0.8, 1.0, and 1.2 mg/L) by adding 0, 40, 80, 120, 160, 200, and 240 μL of the HgCl2 stock solution, respectively. Three parallel replicates were set up for each concentration level and the conical flasks were shaken and mixed well before incubation. The half-concentration effect (96 h EC50) of HgCl2 on S. quadricauda was calculated to be 0.5 mg/L using the probability unit-concentration logarithmic method. Therefore, the HgCl2 concentration gradient for subsequent experiments was set at 0, 0.1, 0.3, 0.5, 0.7, and 0.9 mg/L.
The above steps were repeated to create the new HgCl2 concentration gradient in algal solutions (i.e., 0, 0.1, 0.3, 0.5, 0.7, and 0.9 mg/L), and three replicates were set up for each group. All flasks containing medium, HgCl2, and algae were cultured for 16 days.
2.3. Algal Cell Growth Measurements and Sub-Microscopic Structure Observation
After the inoculation of S. quadricauda cells, the density of the algal cells was measured every day during the growth cycle (16 days). An algal cell counting plate or blood cell counting plate was used to determine algal cell concentrations. At the same time, the optical density (OD value) of S. quadricauda at 450 nm was measured using a UV-Vis spectrophotometer (TU-1810, Persee, Auburn, CA, USA), and the average value was obtained after repeating the measurement three times [21]. Growth was visualized by using algal cell density as the ordinate and time as the abscissa; the relationship curve between time and the OD450 value (C) was drawn. The experimental results showed that R2 > 0.98 and the regression equation was: C = 78.385 OD450 − 0.3454, R2 = 0.9974. When OD450 was substituted into the equation, the obtained value corresponded to the algal cell-density value.
On the 9th day of the experiment, 10 mL of algal solution was taken from the control and the 0.9 mg/L experimental groups, they were centrifuged (3000 rpm, 8 min), and the supernatant was removed using a pipette, leaving only the algal cells. The algal cells were then washed three times with PBS buffer (0.1 mol/L, pH 7.2). A total of 2.5% glutaraldehyde fixative was then added and the fixed cells were placed in a 4 °C refrigerator for 2 h before being sent to Scientific Compass for imaging and for observation using a scanning electron micrograph (Thermo Fisher Scientific, Helios G4, Waltham, MA, USA) and transmission electron micrograph (Hitachi, HT7700, Tokyo, Japan).
2.4. Determination of Antioxidant Enzyme Activity
From each of the 18 algal solution bottles, 8 mL was sampled and placed in a 10 mL centrifuge tube and centrifuged (4500 rmp, 15 min, 10 °C). The supernatant was discarded and the remaining algal cells were collected. The algal cells were rinsed three times with 1 mL of PBS buffer (pH = 7.2, 0.1 mol/L) before being transferred to a 1.5 mL EP tube and frozen in liquid nitrogen for 15 s. The frozen tubes were placed at room temperature to thaw, and the above freeze–thaw steps were repeated three times. In order to completely crush the algal cells, after the freeze–thawing cycles, the samples were placed in a cell crusher (power set to 600 w, 5 s operation, 3 s gap, 13 min total time). While crushing, the centrifuge tubes containing the samples were held in an ice-water bath. After fragmentation, the enzymatic activities of superoxide dismutase and peroxidase were determined using the nitro blue tetrazolium and guaiacol methods, respectively, according to the instructions of the purchased from the Nanjing Jiancheng Biological Engineering Company.
2.5. Determination of Membrane Permeability
For membrane permeability, first, the crushing freeze–thaw treatment was performed as above. After crushing, malondialdehyde (MDA) content was determined using the thiobarbituric acid method, the total protein content was determined using the bicinchoninic acid method, and the soluble sugar content was determined using the anthrone colorimetric method [22] (MDA and total protein were determined using kits).
2.6. Determination of Photosynthesis
The determination of chlorophyll content followed a modified version of Mera’s method [23]. A total of 5 mL of algal solution was placed in a 10 mL centrifuge tube, and centrifuged at 470 nm rpm for 5 min; then, the supernatant was poured out and 5 mL of 95% ethanol was added into the centrifuge tube, which was mixed and placed in a refrigerator at 4 °C for extraction for 24 h. After extraction, the centrifuge tubes were centrifuged (8000 r, 10 min); then, 3 mL of supernatant was measured under ultraviolet light. The contents of chlorophyll a, chlorophyll b, total chlorophyll, and carotenoids were determined according to the following formulas, and the units were mg/L. The calculation formulas are as follows:
Chlorophyll a (mg/mL) = 13.95 × OD (665 nm) − 6.68 × OD (649 nm)
Chlorophyll b (mg/mL) = 24.96 × OD (649 nm) − 7.32 × OD (665 nm)
Chlorophyll b (mg/mL) = 24.96 × OD (649 nm) − 7.32 × OD (665 nm)
Total chlorophyll (mg/mL) = 18.08 × OD (649 nm) − 6.63 × OD (665 nm)
Carotenoid (mg/L) = (1000 × OD (470 nm) − 2.05 × Chl. a − 114.8 × Chl. b)/245
The chlorophyll parameters were also measured using a fluorometer. A total of 5 mL of each of the 18 algal solution bottles were put it into 10 mL centrifuge tubes, which were then wrapped with tin foil and placed in a refrigerator at 4 °C for 15 min. Chlorophyll was then measured using a portable chlorophyll fluorescence instrument purchased from Denver Instrument (Beijing, China) Co., Ltd. The chlorophyll parameters were measured using Markou’s method [24], wherein 3 mL of the S. quadricauda sample solutions were put into centrifuge tubes, wrapped with tin foil, and held in the dark for 15 min; then a portable PAM chlorophyll fluorometer (AquaPen-CAP-C100, Eco-Science and Technology, China) was used to determine the QY, Pi-Abs, Fv/Fm, and Fv/Fo values of each algal solution in turn. The FluorPen software was used for data transmission and analysis.
3. Results
3.1. Effects of Different Concentrations of HgCl2 on the Growth and Cell Morphology of Scenedesmus quadricauda
Figure 1 shows the effect of HgCl2 concentration on the cell density of Scenedesmus quadricauda. At concentrations of HgCl2 ≤ 0.5 mg/L, algal cells were able to grow, but their growth rate was lower than that of algal cells in a normal environment. However, under high concentrations, i.e., HgCl2 ≥ 0.7 mg/L, the growth of algal cells was severely inhibited. Figure 2 shows the scanning electron microscopic images of S. quadricauda grown under different concentrations of HgCl2. Normal S. quadricauda (Figure 2a) is formed by connecting four cylindrical cells, with slightly curved spikes protruding from the sides of the colony and fine particles visible on the surface of the cells. Compared with the control group, the cell shape of the treatment group did not change significantly; however, the cell surface (Figure 2b) stressed by 0.9 mg/L HgCl2 for 9 days became significantly rougher, and the cell wall showed many wrinkles and cracks. Figure 3 shows the ultrastructure of the S. quadricauda cells. In the control group (Figure 3a), nearly half of the algal cells contained chloroplasts, and the chloroplasts were clearly visible. The photosynthetic lamellae were continuous and arranged in order, the parallel surrounding pathways could be clearly seen, and the cytoplasm walls of the algal cells were tightly combined. However, after 9 days of exposure to 0.9 mg/L HgCl2 stress, the cells of S. quadricauda were severely shrunken and they had become irregular and deformed (Figure 3b). Plasma–wall separation was obvious and the nuclei and protein nuclei were seriously faded, almost to the point of transparency (Figure 3c,d). The structures of the chloroplast lamellae were deformed, the original ordered arrangement was almost entirely lost, the number of lysosomes was reduced, and the number of peroxidases was increased, which was obviously different from the control group. In the control group, there were almost none of the phenomena observed in the treatment groups. Furthermore, cell walls and cell membranes were irreparably damaged when exposed to HgCl2, resulting in cell contents escaping into the external environment, which was similar to the substances secreted by algal cells to signal stressful conditions.
Figure 1.
Effects of HgCl2 concentration on the growth of Scenedesmus quadricauda.
Figure 2.
Scanning electron micrographs of Scenedesmus quadricauda: (a) HgCl2 0 mg/L; (b) HgCl2 0.9 mg/L for 9 days.
Figure 3.
Transmission electron micrographs of Scenedesmus quadricauda: (a) cross section of algal cell, HgCl2 0 mg/L; (b) longitudinal section of algal cell, HgCl2 0 mg/L; (c) cross section of algal cell, HgCl2 0.9 mg/L for 9 days; (d) cross section of algal cells, HgCl2 0.9 mg/L for 9 days. CW: cell wall; CM: plasma membrane; C: chloroplast; P: nucleolar phosphoprotein; N: nucleus; V: vacuole; E: exuded intracellular substances; S: vesicles.
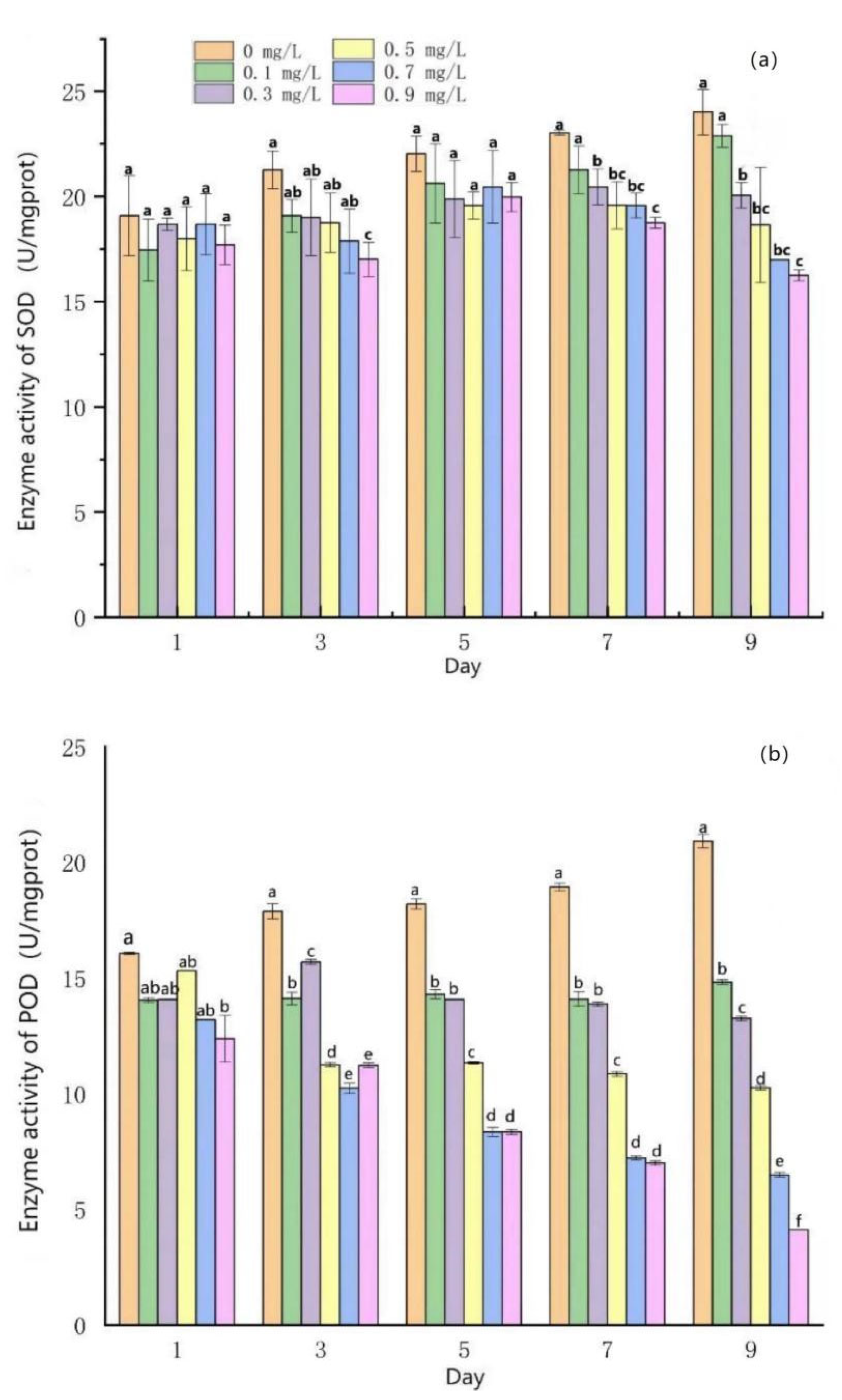
3.2. Effects of Mercuric Chloride Concentration on the Antioxidant System of Scenedesmus quadricauda
As can be seen from Figure 4, under low and medium concentrations of HgCl2 (≤0.5 mg/L), the superoxide dismutase (SOD) enzyme activity in algal cells was not completely inhibited in the first 5 days, and it increased slowly before decreasing after day 7. There was a greater, but still slow, increase in activity in the control group until day 9. In contrast, the SOD enzyme activity in the algal cells of S. quadricauda began to decrease sharply on day 5 when exposed to high concentrations of HgCl2 (≥0.7 mg/L). The trends in the peroxidase (POD) enzyme activity were similar to those of the SOD enzyme activity, but under high concentrations of HgCl2 (≥0.7 mg/L), an obvious decrease in activity began on day 3.
Figure 4.
Effects of mercuric chloride concentration on antioxidant enzyme activities of Scenedesmus quadricauda: (a) enzyme activity of SOD; (b) enzyme activity of POD (N = 3, the calculated value is the standard deviation). Note: The data in the above figures were analyzed using Duncan’s statistical method (p < 0.05), and the letters indicate significant differences among different concentrations within a single time point. The same applies to the following graphs.
3.3. Effects of Mercuric Chloride Concentration on the Membrane Permeability of Scenedesmus quadricauda
It can be seen from Figure 5 that, under low HgCl2 concentrations (≤ 0.3 mg/L), the MDA content remained basically unchanged in the first 3 days. However, under medium and high HgCl2 concentrations (≥0.5 mg/L), the content of MDA in algal cells increased significantly from the seventh day of culture, and did not decrease to the level of the control group during the culture time. By the seventh day, the toxic effects of the high HgCl2 concentrations had exceeded the self-repair ability of the algal cells. However, under low HgCl2 concentrations (≤0.3 mg/L), while the synthesis of total protein was slightly inhibited, the overall change trend was still increasing. On the other hand, under high HgCl2 concentrations (≥0.7 mg/L), the total protein content of algal cells decreased obviously from the seventh day of culture, and the degree of the decrease was positively correlated with the concentration of HgCl2 (p < 0.05). The soluble sugar content in algal cells showed a similar trend to that of total protein. Five days after the experiment, while the soluble sugar content of the blank control group increased, the soluble sugar content in all other groups showed no obvious changes, indicating that algal cells were within their controllable adjustment range and able to respond to the environmental stress. However, with the extension of culture time, the experimental group under high HgCl2 concentrations (≥0.7 mg/L) showed obvious changes, with soluble sugar content beginning to decrease on the seventh day, and there was a significant difference between the experimental group and the control group (p < 0.05).
Figure 5.
Effects of mercuric chloride concentration on the membrane permeability of Scenedesmus quadricauda: (a) content of MDA; (b) content of TP; (c) content of SS (N = 3, the calculated value is the standard deviation).
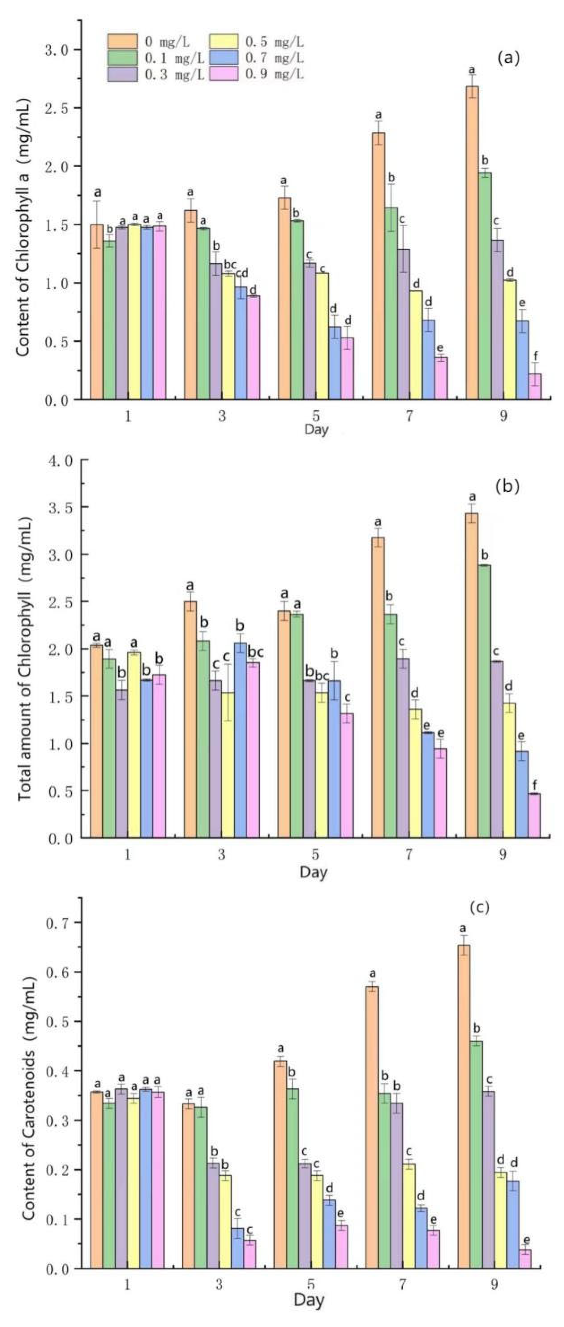
3.4. Effects of Mercuric Chloride Concentration on the Photosynthesis of Scenedesmus quadricauda
The intensity of photosynthesis of S. quadricauda is reflected in its photosynthetic pigment content and chlorophyll fluorescence parameters. Figure 6 shows the changes in chlorophyll a, total chlorophyll, and carotenoids in S. quadricauda cells under different concentrations of HgCl2. It can be seen from the figure that the overall trends of the three photosynthetic parameters were similar. Under low HgCl2 concentrations (≤0.3 mg/L), the content of the photosynthetic pigment increased slowly as the culture time extended, but the magnitude of the increase was smaller than that of the control group. At this time, algal cells were still proliferating and growing, and the synthesis of photosynthetic pigments, while slightly inhibited, was not completely stopped. Under the medium and high HgCl2 concentrations (≥0.5 mg/L), the content of photosynthetic pigments in algal cells stopped increasing and decreased significantly as culture time extended, which indicated that the toxic effect of HgCl2 prevented the normal synthesis of photosynthetic pigments in algal cells.
Figure 6.
Effects of mercuric chloride concentration on the photosynthesis of Scenedesmus quadricauda: (a) content of Chl-a; (b) content of total Chl.; (c) content of Car. (N = 3, the calculated value is the standard deviation).
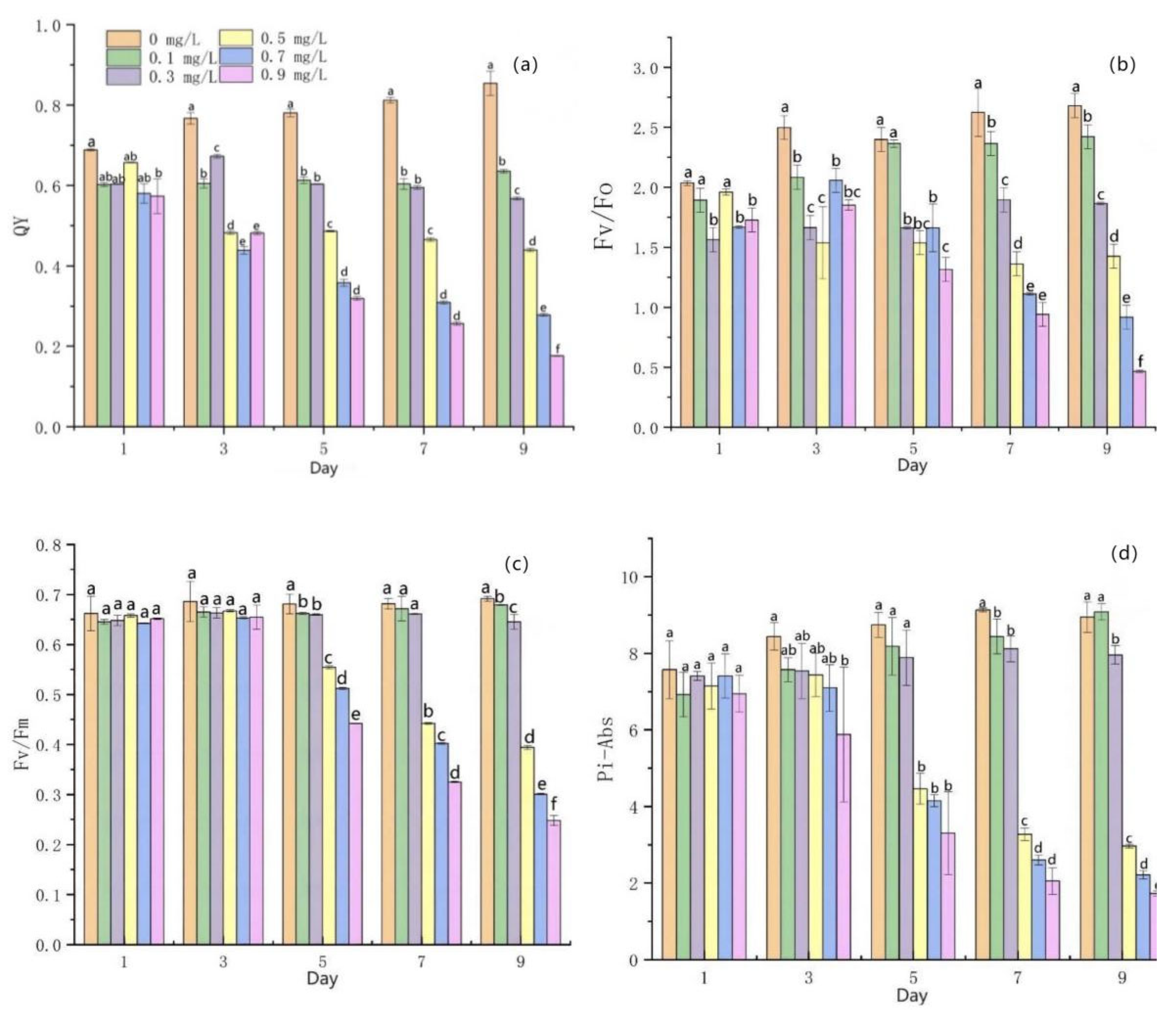
Figure 7 shows the effect of mercuric chloride on the quantum yield of S. quadricauda cells. Under low HgCl2 concentrations (≤0.3 mg/L), the quantum yield tended to be stable and showed no significant change (p > 0.05). The control group exhibited an appropriate increase. Under medium and high HgCl2 concentrations (≥0.5 mg/L), the quantum yield obviously decreased, which indicated that the efficiency of photosystem II (PS II) was inhibited by HgCl2. This indicated that the photosynthetic quantum conversion and photochemical efficiency of PS II were sensitive to HgCl2, and the obvious inhibition effect at medium and high of HgCl2 concentrations (≥0.5 mg/L) indicated that these conditions were stressful. This was also indicated by the effect of mercuric chloride on the Fv/Fm ratio of S. quadricauda. It can be seen that, under low HgCl2 concentrations (≤0.3 mg/L), Fv/Fm did not change significantly in the first 3 days of the experiment. However, under medium and high HgCl2 concentrations (≥0.5 mg/L), Fv/Fm decreased markedly after 3 days, which indicated that a high concentration of HgCl2 strongly inhibited the light-energy-conversion efficiency of PS II. Furthermore, under low HgCl2 concentrations (≤0.3 mg/L), the extended culture time did not obviously affect the Pi-Abs, but under medium and high HgCl2 concentrations (≥0.5 mg/L), the Pi-Abs decreased seriously on the fifth day of the experiment, indicating that the light absorption characteristics of PS II had a low tolerance towards HgCl2.
Figure 7.
Effects of mercuric chloride concentration on chlorophyll fluorescence parameters of Scenedesmus quadricauda: (a) QY (quantum yield); (b) Fv/Fo (potential activity of photosystem II); (c) Fv/Fm (maximum quantum yield of photosystem II photochemistry; (d) Pi-ABS (maximum quantum yield of photosystem II photochemistry) (N = 3, the calculated value is the standard deviation).
4. Discussion
When the concentration of HgCl2 in water increased, the toxic stress on Scenedesmus quadricauda cells became stronger. Furthermore, the inhibitory effect of HgCl2 on the growth of S. quadricauda did not weaken over time, but instead, became stronger. Compared with S. quadricauda under stress from other organic pollutants and antibiotics, S. quadricauda under stress from HgCl2 showed more sensitive stress responses [25]. Lamaia et al. [26] showed that when Cladophora fracta was exposed to high concentrations of cadmium and lead, the chloroplasts were seriously damaged and the cell walls cracked, and the relative growth rate of C. fracta was significantly negatively correlated with exposure concentration and time.
When exogenous pollutants enter the water, they will destroy the dynamic balance between the algae’s intracellular environment and the external environment, which can result in the excessive production of reactive oxygen species. POD and SOD are the key enzymes for the removal of reactive oxygen species. However, under the stress of medium and high HgCl2 concentrations (≥0.5 mg/L), the activities of SOD and POD in algal cells decreased, and the algal cells exhibited oxidation damage. Without removal enzymes, reactive oxygen species accumulate in cells, and the repair capabilities of cells cannot maintain normal operation of the antioxidant system [27]. Lipid-peroxidation increases and attacks by free radicals destroy cell membranes, cell walls, and biological macromolecules such as nucleic acids and protein [28]. The biological functions and the dynamic balances of algal cells can be irreversibly damaged, resulting in the loss of the original physiological activities in algal cells, and their gradual deaths. The results of this study are also consistent with the trend of toxic effects of Hg2+ on a freshwater benthic diatom Achnanthes kryophila [29].
The cell membrane, which is located on the inner side of algal cell walls, is extremely thin, which makes it especially fragile and easily damaged. It is mainly composed of phospholipids, protein, and carbohydrates, among other substances, and selectively supervises the movement of substances between the interior and exterior of the cell. This membrane is key to maintaining the internal environment of the cell. Under the stress of medium and high HgCl2 concentrations (≥0.5 mg/L), the malondialdehyde (MDA) content in algal cells obviously increased. The MDA in algal cells can be used as an index that reflects the degree of oxidative damage to cell membranes. When the content of MDA in cells is high, it indicates there have been strong destructive effects, which can inactivate and denature cell biomacromolecules and aggravate the damage to the cell membrane [30]. At the same time, the content of total protein (TP) and soluble sugar (SS) decreased obviously, showing that the toxicity of high HgCl2 concentrations exceeded the tolerance of the algal cells, resulting in the degeneration, inactivation, and even disintegration of TS and TP in the cells. Clearly, with the rates of protein and sugar synthesis in the cells being inhibited, the algal cells could not maintain normal osmotic pressure and failed to maintain a stable metabolic environment. Derfus et al. [31] showed that Chlamydomonas reinhardtii were inhibited with 1 mg/L semiconductor quantum dots (QDs), and the cells started to aggregate and lipid peroxidation occurred when the concentration of QDs increased. Their results were consistent with the observations in this paper. Similarly, Stratton’s [32] research showed that the toxicity of acetone to Chlorella pyrenoidosa acted via destruction of the membrane structures of algal cells. Cai et al. studied the toxic effects of Cd2+ and Pb2+ on marine microalga Karenia mikimotoi and obtained similar results [33].
Pigment can be used as an indicator to gauge the status of the photosynthetic system and the photosynthetic capacity of algae. Under medium and high HgCl2 stress (≥0.5 mg/L), the ability of algal cells to produce photosynthetic pigments was reduced, with higher HgCl2 concentrations producing larger reductions. Measurements showed that both the rate of photosynthetic pigment production and the content of photosynthetic pigment in algal cells decreased. Chlorophyll is very unstable, so it likely decomposed under the stress of high HgCl2 concentrations. Therefore, high concentrations of HgCl2 severely damaged the photosynthetic system of S. quadricauda, making it unable to carry out normal photosynthesis. Chlorophyll has been used as an important index for evaluating the growth, photosynthesis, and cold tolerance of microalgae [34,35]. When the concentration of HgCl2 was high, the PS II reaction center was damaged beyond the scope of self-repair, the yield of PS II photons decreased, the photoelectric transmission and energy-conversion efficiency decreased sharply, the photochemical reaction ability decreased, and photosynthesis was weakened. To investigate the pollution status of heavy metals and their impact on aquatic organisms, Zhang et al. studied the pollution characteristics of heavy metals in the Fuyang River water and their toxic effects on Scenedesmus obliquus, which showed that the contents of chlorophyll a and MDA in S. obliquus can be used as indicators for heavy-metal contamination in river water [36].
Based on the above experimental results, one possible mechanism for the toxicity of HgCl2 on S. quadricauda cells was identified. As shown in Figure 8, when high concentrations of HgCl2 enter S. quadricauda cells, the antioxidant enzymes in the cells decrease in content and/or become inactive. This leads to the active oxygen in the cells accumulating as it is no longer removed quickly enough, resulting in increasingly severe oxidative stress. When this happens, the cell membrane is seriously damaged by peroxidation, the membrane permeability increases, intracellular substances seep out, the osmotic pressure is compromised, and plasma–wall separation occurs. When the cell membrane is seriously damaged, the photosynthetic lamellae of the chloroplasts are destroyed, the thylakoid membrane is damaged, the photosynthetic pigment content is reduced, photosynthesis is weakened, algal cells lose their nutrient supplies and energy sources, and the activity of intracellular substances is no longer maintained. These effects disrupt the normal life functions of cells, and eventually cause death due to the loss of water. In addition, HgCl2 that enters the cell can directly interact with biological macromolecules, directly affecting their structure, damaging them beyond the cell’s self-repair capability, breaking the intracellular dynamic balance and causing metabolic disorders, the abnormal inactivation of organelles, and cell necrosis. Pang et al. analyzed the transcriptome of Cd-stressed (Hcd2+) algal tissues of Caulerpa lentillifera using RNA-Seq, and explored the molecular mechanism of physiological regulation under Cd stress [37]. It is very consistent with the above mechanisms discussed in this study.
Figure 8.
Mechanisms of toxic effects of HgCl2 on Scenedesmus quadricauda.
At present, the toxic effects of HgCl2 exposure on algae have been described only in terms of physiological and biochemical indicators. In the future, we should also study the mechanism of its toxicity from the aspects of toxic sites, signal pathways, and gene expression within cells. In addition, we should also study the combined effects and mechanisms of heavy metals and other pollutants to facilitate early warning and the early prevention and control of low-dose mercuric chloride exposure. Finally, mercury pollution remediation technology based on synthetic biology needs to be further studied and applied in practice [38].
5. Conclusions
In this experiment, we researched the toxic effects of different concentrations of mercuric chloride on Scenedesmus quadricauda cells. The changes in the physiological and biochemical indexes of S. quadricauda were examined during 9 days of toxic exposure. The results showed that mercuric chloride affects cell morphology, antioxidant activity, membrane permeability, and photosynthesis in S. quadricauda. The effects were obvious and serious, especially when the HgCl2 solution was more concentrated than 0.7 mg/L. The specific toxic effects were as follows:
- The proliferation of algal cells was inhibited, the growth cycle was shortened, and the process of transition to decay was accelerated. Under high HgCl2 concentrations (≥0.7 mg/L), the cell density of the algae was seriously affected. Through observation, it was found that the original green color of the algal culture faded and turned yellow-brown and white, and the algae aggregated in flocs and bottom sediments. The ultrastructures of the algal cells were damaged greatly, and the algal cells became irregular and obviously deformed, with obvious plasma–wall separation. The nuclei and protein nuclei became seriously faded, almost becoming transparent, the vacuole volume decreased, the photosynthetic lamellae structures of the chloroplasts became indistinct, and the original ordered arrangement was lost.
- Under low HgCl2 concentrations (≤0.3 mg/L), the activities of SOD and POD in S. quadricauda cells increased to some extent, but the degree of the increase was small compared to the control group. The activities of SOD and POD in algal cells decreased when the concentrations of HgCl2 were greater than 0.5 mg/L.
- Under medium and high HgCl2 concentrations (≥0.5 mg/L), the content of malondialdehyde (MDA) in algal cells obviously increased, while the content of total protein (TP) and soluble sugar (SS) obviously decreased.
- Under medium and high HgCl2 concentrations (≥0.5 mg/L), the rate of photosynthetic pigment production in algal cells decreased and, correspondingly, the content of photosynthetic pigment decreased. Furthermore, the PS II reaction center was damaged beyond the scope of self-repair, the yield of PS II photons decreased, the photoelectric transmission and energy-conversion efficiency decreased sharply, the photochemical reaction ability decreased, and photosynthesis weakened sharply.
Author Contributions
Y.G. performed the analysis and wrote the manuscript. X.L., F.N., Q.L., J.L., J.F. and X.L. provided technological help and modified the manuscript. S.X. designed the experiments and modified the manuscript. All authors have read and agreed to the published version of the manuscript.
Funding
We are grateful to the National Natural Science Foundation of China (41871037 and 32170204).
Institutional Review Board Statement
Not applicable.
Informed Consent Statement
Not applicable.
Data Availability Statement
The data can be found within the manuscript.
Conflicts of Interest
The authors declare no conflict of interest.
References
- Drbal, K.; Vèber, K.; Zahradnìk, J. Toxicity and accumulation of copper and cadmium in the alga Scenedesmus obliquus LH. Bull. Environ. Contam. Toxicol. 1985, 34, 904–908. [Google Scholar] [CrossRef] [PubMed]
- Zhang, L.; Wong, M.H. Environmental mercury contamination in China: Sources and impacts. Environ. Int. 2007, 33, 108–121. [Google Scholar] [CrossRef] [PubMed]
- Mason, R.P.; Fitzgerald, W.F.; Moral, M.M. The biogeochemical cycling of element mercury: Anthropogenic influences. Geochim. Cosmochim. Acta 1994, 58, 3191–3198. [Google Scholar] [CrossRef]
- Lindqvist, O.; Rodhe, H. Atmosphric mercury—A review. Tellus 1985, 37B, 135–159. [Google Scholar]
- Navas-Acien, A.; Silbergeld, E.K.; Pastor-Barriuso, R.; Guallar, E. Arsenic exposure and prevalence of type 2 diabetes in US adults. Int. J. Mod. Phys. B 2008, 300, 814–822. [Google Scholar] [CrossRef]
- Joshi, S. Mercury hazards and how the community responses in developing country. Occup. Environ. Med. 2019, 76 (Suppl. 1), 81. [Google Scholar] [CrossRef]
- Du, X.; Zhu, Y.G.; Liu, W.J.; Zhao, X.S. Uptake of mercury (Hg) by seedlings of rice (Oryza sativa L.) grown in solution culture and interactions with arsenate uptake. Environ. Exp. Bot. 2005, 54, 1–7. [Google Scholar] [CrossRef]
- Ahmad, S.; Mahmood, R. Mercury chloride toxicity in human erythrocytes: Enhanced generation of ROS and RNS, hemoglobin oxidation, impaired antioxidant power, and inhibition of plasma membrane redox system. Environ. Sci. Pollut. Res. 2019, 26, 5645–5657. [Google Scholar] [CrossRef]
- Čelechovská, O.; Malota, L.; Zima, S. Entry of heavy metals into food chains: A 20-year comparison study in Northern Moravia (Czech Republic). Acta Vet. Brno 2008, 77, 645–652. [Google Scholar] [CrossRef]
- Liu, L.H.; Zhang, Y.; Yun, Z.J.; He, B.; Jiang, G.B. Estimation of bioaccessibility and potential human health risk of mercury in Chinese patent medicines. J. Environ. Sci. 2016, 39, 37–44. [Google Scholar] [CrossRef]
- Chan, H.M.; Egeland, G.M. Fish consumption, mercury exposure, and heart diseases. Nutr. Rev. 2004, 62, 68–72. [Google Scholar]
- Nabi, S. Toxic Effects of Mercury; Springer: Berlin/Heidelberg, Germany, 2014. [Google Scholar]
- Ekere, N.R.; Ukoha, P.O.; Udeogu, U.V.; Ihedioha, J.N.; Agbazue, V.E. Human exposures and potential health hazard assessment of Hg and Pb in some major imported frozen fish species in Nigeria. Hum. Ecol. Risk Assess. Int. J. 2015, 22, 393–400. [Google Scholar] [CrossRef]
- Ricketts, P.; Fletcher, H.; Voutchkov, M. Factors associated with mercury levels in human placenta and the relationship to neonatal anthropometry in Jamaica and Trinidad & Tobago. Reprod. Toxicol. 2017, 71, 78–83. [Google Scholar]
- Capolino, E.; Tredici, M.; Pepi, M.; Baldi, F. Tolerance to mercury chloride in Scenedesmus strains. BioMetals 1997, 10, 85–94. [Google Scholar] [CrossRef]
- Bezzubova, E.M.; Drits, A.V.; Mosharov, S.A. Effect of mercury chloride on the chlorophyl a and pheophytin content in marine microalgae: Measuring the flow of autotrophic phytoplankton using sediment traps data. Oceanology 2018, 58, 479–486. [Google Scholar] [CrossRef]
- Han, H.Y. Effect of mercury on growth, development and photosynthesis of Scenedesmus obliquus. Acta Sci. Circumstantiae 1984, 4, 157–164. [Google Scholar]
- Li, Y.; Zhu, L.; Liu, S. Individual and joint stress of lead and mercury on growth‚glutathione and glutathione-related enzymes of Scenedesmus quadricauda. Enviromental Sci. 2009, 30, 248–253. [Google Scholar]
- Zhou, X.P.; Xia, L.; Ge, H.M.; Zhang, D.L.; Hu, C.X. Feasibility of biodiesel production by microalgal Chlorella sp. (FACHB-1748) under outdoor conditions. Bioresour. Technol. 2013, 138, 131–135. [Google Scholar] [CrossRef]
- Ates, M.; Cimen, I.C.C.; Unal, I.; Kutlu, B.; Tastan, B.E.; Danabas, D.; Aksu, O.; Arslan, Z. Assessment of impact of α-Fe2O3 and γ-Fe2O3 nanoparticles on phytoplankton species Selenastrum capricornutum and Nannochloropsis oculata. Environ. Toxicol. 2019, 35, 385–394. [Google Scholar] [CrossRef]
- Chisti, Y. Biodiesel from microalgal beats bioethanol. Trends Biotechnol. 2008, 26, 126–131. [Google Scholar] [CrossRef]
- Lin, L.; Wang, Y.; Wang, F.X.; He, J.Y.; Zhang, H.L. Determination of polysaccharides content of Gentiana farreri from different producing areas based on anthrone-sulfuric acid method. China J. Chin. Mater. Med. 2014, 39, 2774–2776. [Google Scholar]
- Mera, R.; Torres, E.; Abalde, J. Effect of sodium sulfate on the freshwater microalga Chlamydomonas moewusii: Implications for the optimization of algal culture media. J. Phycol. 2016, 52, 75–88. [Google Scholar] [CrossRef]
- Markou, G.; Muylaert, K. Effect of light intensity on the degree of ammonia toxicity on PSII activity of Arthrospira platensis and Chlorella vulgaris. Bioresour. Technol. 2016, 216, 453–461. [Google Scholar] [CrossRef]
- Wang, C.L.; Zheng, Y.F.; Li, R.K.; Yin, Q.R.; Song, C.F. Removal of cefradine by Chlorella sp. L166 and Scenedesmus quadricauda: Toxicity investigation, degradation mechanism and metabolic pathways. Process Saf. Environ. Prot. 2022, 160, 632–640. [Google Scholar] [CrossRef]
- Lamai, C.; Kruatrachue, M.; Pokethitiyook, P.; Upatham, E.S.; Soonthornsarathool, V. Toxicity and accumulation of lead and cadmium in the filamentous green alga Cladophora fracta (O.F. Muller ex Vahl) Kutzing: A laboratory study. ScienceAsia 2005, 31, 121–127. [Google Scholar] [CrossRef]
- Elstner, E.F. Oxygen activation and oxygen toxicity. Annu. Rev. Plant Physiol. 1982, 33, 73–96. [Google Scholar] [CrossRef]
- Kováčik, J.; Klejdus, B.; Kaduková, J.; Bačkor, M. Physiology of Matricaria chamomilla exposed to nickel excess. Ecotoxicol. Environ. Saf. 2009, 72, 603–609. [Google Scholar] [CrossRef]
- Yang, Y.J.; Zhao, X.L.; Zhang, J.F. Effects of heavy metal Hg2+ on growth and antioxidant enzymes of Achnanthes kryophila. Environ. Prot. Technol. 2018, 4, 1–4. [Google Scholar]
- Song, Y.Z.; Kong, F.F.; Xue, Y.; Qin, B.Q. Responses of chlorophyll and MDA of Vallisneria natans to nitrogen and phosphorus availability and epiphytic algae. J. Freshw. Ecol. 2015, 30, 85–97. [Google Scholar] [CrossRef]
- Derfus, A.M.; Chan, W.C.W.; Bhatia, S.N. Probing the cytotoxicity of semicon- ductor quantum dots. Nano Lett. 2004, 4, 11–18. [Google Scholar] [CrossRef]
- Stratton, G.W. Effect of the solvent acetone on membrane integrity in the green alga Chlorella pyrenoidosa. Bull. Environ. Contam. Toxicol. 1989, 42, 754–760. [Google Scholar] [CrossRef] [PubMed]
- Cai, Z.P.; Liu, W.J.; Luo, Y.M.; Wu, H.; Diao, P.P.; Duan, S.S. Toxicity of Cd2+ and Pb2+ to the growth and physiology of marina microalga Karenia mikimotoi. Ecol. Sci. 2019, 38, 211–217. [Google Scholar]
- Wang, H.; Zhu, R.; Zhang, J.; Ni, L.Y.; Shen, H.; Xie, P. A novel and convenient method for early warning of algal cell density by chlorophyll fluorescence parameters and its application in a highland lake. Front. Plant Sci. 2018, 9, 869. [Google Scholar] [CrossRef]
- Rizza, F.; Pagani, D.; Stanca, A.M. Use of chlorophyll fluorescence to evaluate the cold acclimation and freezing tolerance of winter and spring oats. Plant Breed 2001, 120, 389–396. [Google Scholar] [CrossRef]
- Zhang, B.W.; Zhao, J.T.; Wu, E.W.; Li, Y.Y.; Li, N.; Qiao, X.W.; Wu, G.; Gao, Y.X. Water pollution characteristics of heavy metals in Fuyang River system and their toxicity to Vibrio qinghaiensis sp. Q67 and Scenedesmus obliquus. Asian J. Ecotoxicol. 2018, 13, 179–189. [Google Scholar]
- Pang, M.X.; Huang, Z.L.; Liu, X.L.; Tang, Y.J.; Li, X.D.; Jin, G. Effects of heavy metal cadmium on Caulerpa lentillifera based on transcriptome analysis. Chin. J. Appl. Ecol. 2021, 32, 4447–4456. [Google Scholar]
- He, Z.Y.; Wei, J.B.; Cheng, B.; Chen, L.F.; Cao, M.X.; Yin, Y.G.; Liang, Y.; Cai, Y. Bioremediation of mercury pollution in land surface environment: Review and prospects. Earth Environ. 2022, 50, 415–425. [Google Scholar]
Publisher’s Note: MDPI stays neutral with regard to jurisdictional claims in published maps and institutional affiliations. |
© 2022 by the authors. Licensee MDPI, Basel, Switzerland. This article is an open access article distributed under the terms and conditions of the Creative Commons Attribution (CC BY) license (https://creativecommons.org/licenses/by/4.0/).







