How Robust Is a Multi-Model Ensemble Mean of Conceptual Hydrological Models to Climate Change?
Abstract
:1. Introduction
2. Materials and Methods
2.1. Data and Model
2.2. Experiments
2.3. Bootstrapping
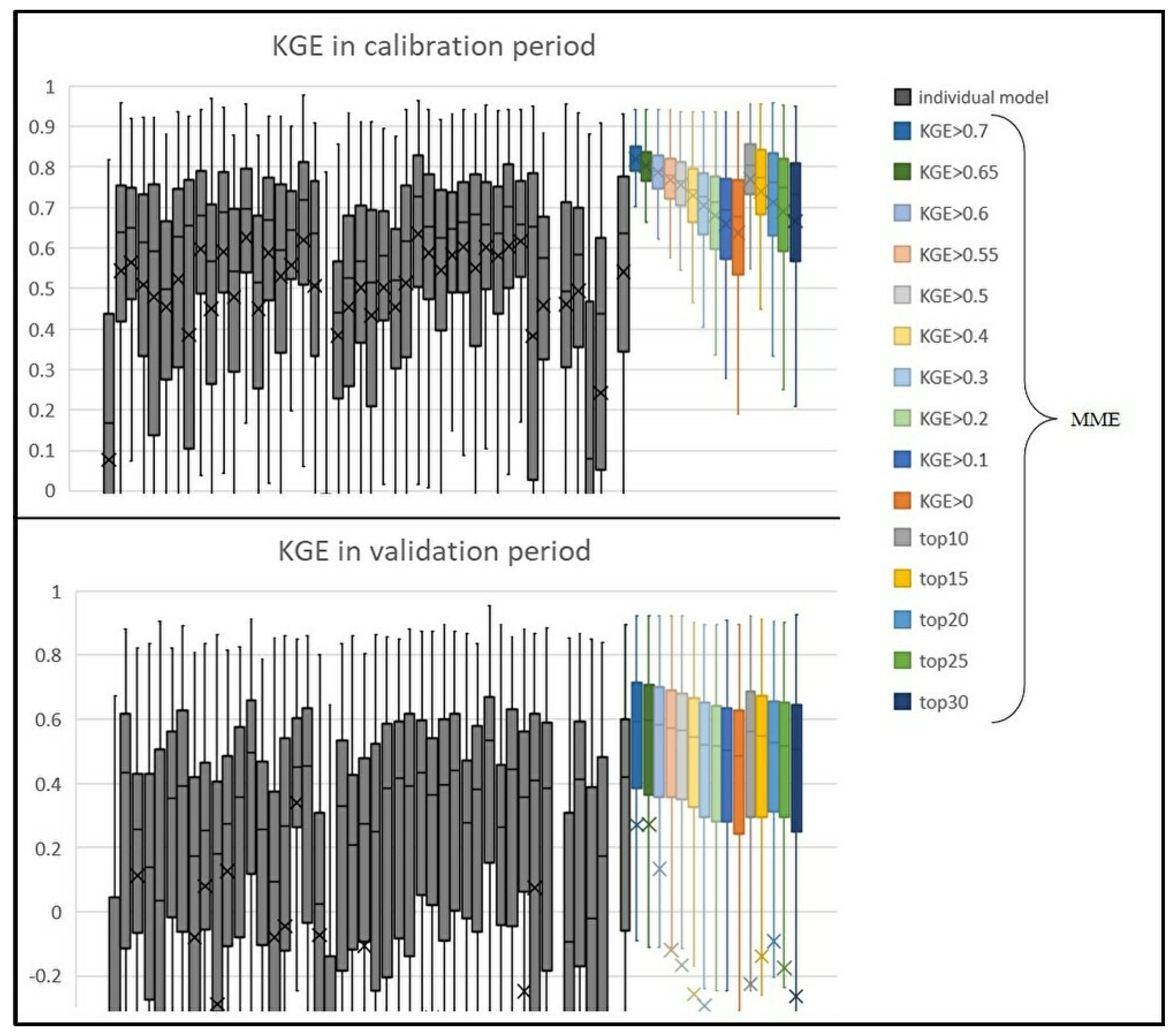
3. Results
3.1. Calibration Results for Individual Models and MME
| Threshold | 0.7 | 0.65 | 0.6 | 0.55 | 0.5 | 0.4 | 0.3 | 0.2 | 0.1 | 0 |
|---|---|---|---|---|---|---|---|---|---|---|
| 0.7 | × | ○ | ○ | ○ | ○ | ○ | ○ | ○ | ○ | ○ |
| 0.65 | ○ | × | ○ | ○ | ○ | ○ | ○ | ○ | ○ | ○ |
| 0.6 | ○ | ○ | × | ○ | ○ | ○ | ○ | ○ | ○ | ○ |
| 0.55 | ○ | ○ | ○ | × | × | ○ | ○ | ○ | ○ | ○ |
| 0.5 | ○ | ○ | ○ | × | × | ○ | ○ | ○ | ○ | ○ |
| 0.4 | ○ | ○ | ○ | ○ | ○ | × | ○ | ○ | ○ | ○ |
| 0.3 | ○ | ○ | ○ | ○ | ○ | ○ | × | × | ○ | ○ |
| 0.2 | ○ | ○ | ○ | ○ | ○ | ○ | × | × | × | ○ |
| 0.1 | ○ | ○ | ○ | ○ | ○ | ○ | ○ | × | × | × |
| 0 | ○ | ○ | ○ | ○ | ○ | ○ | ○ | ○ | × | × |
3.2. Robustness to Change in Hydrometeorological Conditions
3.3. Robustness of the Robustness of MME’s Skill
4. Discussion
5. Conclusions
Author Contributions
Funding
Institutional Review Board Statement
Informed Consent Statement
Data Availability Statement
Conflicts of Interest
References
- Duethmann, D.; Blöschl, G.; Parajka, J. Why does a conceptual hydrological model fail to correctly predict discharge changes in response to climate change? Hydrol. Earth Syst. Sci. 2020, 24, 3493–3511. [Google Scholar] [CrossRef]
- Zheng, F.; Maier, H.R.; Wu, W.; Dandy, G.C.; Gupta, H.V.; Zhang, T. On Lack of Robustness in Hydrological Model Development due to Absence of Guidelines for Selecting Calibration and Evaluation Data: Demonstration for Data-Driven Models. Water Resour. Res. 2018, 54, 1013–1030. [Google Scholar] [CrossRef]
- Singh, R.; Wagener, T.; van Werkhoven, K.; Mann, M.E.; Crane, R. A trading-space-for-time approach to probabilistic continuous streamflow predictions in a changing climate—Accounting for changing watershed behavior. Hydrol. Earth Syst. Sci. 2011, 15, 3591–3603. [Google Scholar] [CrossRef]
- Oudin, L.; Andréassian, V.; Mathevet, T.; Perrin, C.; Michel, C. Dynamic averaging of rainfall-runoff model simulations from complementary model parameterizations. Water Resour. Res. 2006, 42, W07410. [Google Scholar] [CrossRef]
- Fowler, K.J.; Peel, M.C.; Western, A.W.; Zhang, L.; Peterson, T.J. Simulating runoff under changing climatic conditions: Revisiting an apparent deficiency of conceptual rainfall-runoff models. Water Resour. Res. 2016, 52, 1820–1846. [Google Scholar] [CrossRef]
- Deb, P.; Kiem, A.S. Evaluation of rainfall–runoff model performance under non-stationary hydroclimatic conditions. Hydrol. Sci. J. 2020, 65, 1667–1684. [Google Scholar] [CrossRef]
- Zhang, L.; Yang, X. Applying a Multi-Model Ensemble Method for Long-Term Runoff Prediction under Climate Change Scenarios for the Yellow River Basin, China. Water 2018, 10, 301. [Google Scholar] [CrossRef]
- Duan, Q.; Ajami, N.K.; Gao, X.; Sorooshian, S. Multi-model ensemble hydrologic prediction using Bayesian model averaging. Adv. Water Resour. 2007, 30, 1371–1386. [Google Scholar] [CrossRef]
- Shamseldin, A.Y.; O’Connor, K.M.; Liang, G. Methods for combining the outputs of different rainfall–runoff models. J. Hydrol. 1997, 197, 203–229. [Google Scholar] [CrossRef]
- Knoben, W.J.M.; Freer, J.E.; Fowler, K.J.A.; Peel, M.C.; Woods, R.A. Modular Assessment of Rainfall–Runoff Models Toolbox (MARRMoT) v1.2: An open-source, extendable framework providing implementations of 46 conceptual hydrologic models as continuous state-space formulations. Geosci. Model Dev. 2019, 12, 2463–2480. [Google Scholar] [CrossRef] [Green Version]
- Addor, N.; Newman, A.; Mizukami, M.; Clark, M.P. Catchment Attributes for Large-Sample Studies; UCAR/NCAR: Boulder, CO, USA, 2017. [Google Scholar] [CrossRef]
- Knoben, W.J.M.; Freer, J.E.; Peel, M.C.; Fowler, K.J.A.; Woods, R.A. A Brief Analysis of Conceptual Model Structure Uncertainty Using 36 Models and 559 Catchments. Water Resour. Res. 2020, 56, e2019WR025975. [Google Scholar] [CrossRef]
- Koutsoyiannis, D.; Montanari, A. Negligent killing of scientific concepts: The stationarity case. Hydrol. Sci. J. 2014, 60, 1174–1183. [Google Scholar] [CrossRef]
- Lagarias, J.C.; Reeds, J.A.; Wright, M.H.; Wright, P.E. Convergence Properties of the Nelder–Mead Simplex Method in Low Dimensions. SIAM J. Optim. 1998, 9, 112–147. [Google Scholar] [CrossRef]
- Gupta, H.V.; Kling, H.; Yilmaz, K.K.; Martinez, G.F. Decomposition of the mean squared error and NSE performance criteria: Implications for improving hydrological modelling. J. Hydrol. 2009, 377, 80–91. [Google Scholar] [CrossRef]
- Guo, D.; Westra, S.; Maier, H.R. Impact of evapotranspiration process representation on runoff projections from conceptual rainfall-runoff models. Water Resour. Res. 2017, 53, 435–454. [Google Scholar] [CrossRef]






| Threshold | 0.7 | 0.65 | 0.6 | 0.55 | 0.5 | 0.4 | 0.3 | 0.2 | 0.1 | 0 |
|---|---|---|---|---|---|---|---|---|---|---|
| 0.7 | × | × | × | × | ○ | ○ | ○ | ○ | ○ | ○ |
| 0.65 | × | × | × | × | ○ | ○ | ○ | ○ | ○ | ○ |
| 0.6 | × | × | × | × | × | ○ | ○ | ○ | ○ | ○ |
| 0.55 | × | × | × | × | × | × | ○ | ○ | ○ | ○ |
| 0.5 | ○ | ○ | × | × | × | × | ○ | ○ | ○ | ○ |
| 0.4 | ○ | ○ | ○ | × | × | × | × | × | ○ | ○ |
| 0.3 | ○ | ○ | ○ | ○ | ○ | × | × | × | × | × |
| 0.2 | ○ | ○ | ○ | ○ | ○ | × | × | × | × | × |
| 0.1 | ○ | ○ | ○ | ○ | ○ | ○ | × | × | × | × |
| 0 | ○ | ○ | ○ | ○ | ○ | ○ | × | × | × | × |
| Ranking | Top10 | Top15 | Top20 | Top25 | Top30 |
|---|---|---|---|---|---|
| top10 | × | ○ | ○ | ○ | ○ |
| top15 | ○ | × | ○ | ○ | ○ |
| top20 | ○ | ○ | × | × | ○ |
| top25 | ○ | ○ | × | × | × |
| top30 | ○ | ○ | ○ | × | × |
| Ranking | Top10 | Top15 | Top20 | Top25 | Top30 |
|---|---|---|---|---|---|
| top10 | × | × | ○ | ○ | ○ |
| top15 | × | × | × | × | ○ |
| top20 | ○ | × | × | × | × |
| top25 | ○ | × | × | × | × |
| top30 | ○ | ○ | × | × | × |
Publisher’s Note: MDPI stays neutral with regard to jurisdictional claims in published maps and institutional affiliations. |
© 2022 by the authors. Licensee MDPI, Basel, Switzerland. This article is an open access article distributed under the terms and conditions of the Creative Commons Attribution (CC BY) license (https://creativecommons.org/licenses/by/4.0/).
Share and Cite
Kimizuka, T.; Sawada, Y. How Robust Is a Multi-Model Ensemble Mean of Conceptual Hydrological Models to Climate Change? Water 2022, 14, 2852. https://doi.org/10.3390/w14182852
Kimizuka T, Sawada Y. How Robust Is a Multi-Model Ensemble Mean of Conceptual Hydrological Models to Climate Change? Water. 2022; 14(18):2852. https://doi.org/10.3390/w14182852
Chicago/Turabian StyleKimizuka, Takayuki, and Yohei Sawada. 2022. "How Robust Is a Multi-Model Ensemble Mean of Conceptual Hydrological Models to Climate Change?" Water 14, no. 18: 2852. https://doi.org/10.3390/w14182852
APA StyleKimizuka, T., & Sawada, Y. (2022). How Robust Is a Multi-Model Ensemble Mean of Conceptual Hydrological Models to Climate Change? Water, 14(18), 2852. https://doi.org/10.3390/w14182852

