Optimal Regulation of the Cascade Gates Group Water Diversion Project in a Flow Adjustment Period
Abstract
:1. Introduction
2. Methods
2.1. One Dimensional Hydrodynamic Model of the Cascade Gates Group
2.2. Multi-Objective Optimization Model
2.3. Multi-Objective Optimal Regulation Model Coupled with the Hydrodynamic Process
2.3.1. Objective Function
2.3.2. Decision Variables and Constraints
3. Application
3.1. Study Area
3.2. Model Validation
3.3. Optimum Regulation of the Control Gates Group under Typical Operating Conditions
3.3.1. Typical Working Condition Settings
3.3.2. Initial Condition
4. Results and Discussion
4.1. Optimize the Control Results
4.2. Response Process of the Water Level

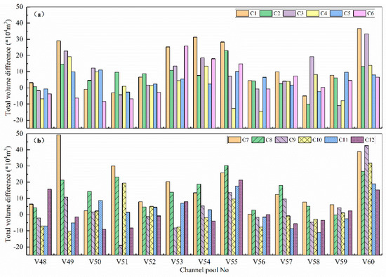
4.3. Response Process of the Volume Capacity of the Channel Pool
5. Conclusions
Supplementary Materials
Author Contributions
Funding
Institutional Review Board Statement
Informed Consent Statement
Data Availability Statement
Conflicts of Interest
References
- Wang, Y.; Li, W.; Fang, W. Optimized dispatch of flood control of cascade gate group on river channel in irrigation area. J. Nat. Disasters 2011, 20, 51–56. [Google Scholar]
- Clemmens, A.J.; Kacerek, T.F.; Grawitz, B.E.A. Test Cases for Canal Control Algorithms. J. Irrig. Drain. Eng. 1998, 124, 23–30. [Google Scholar] [CrossRef]
- Cui, W.; Chen, W.; Mu, X.; Bai, Y. Canal controller for the largest water transfer project in China. Irrig. Drain. 2014, 63, 501–511. [Google Scholar] [CrossRef]
- Cui, W.; Chen, W.; Mu, X.; Guo, X. Anticipation time estimation for feedforward control of long canal. J. Hydraul. Eng. 2009, 40, 1345–1350. [Google Scholar]
- Fan, Y.; Gao, Z.; Chen, H.; Wang, S.; Chang, H. Analysis of canal feedforward control time based on constant water volume. J. Drain. Irrig. Mach. Eng. 2018, 36, 1131–1136. [Google Scholar] [CrossRef]
- Wu, H.; Lei, X.; Qin, T.; Xu, H.; Wang, H. Operation control of storage compensation of canal system in the Middle Route of South-to-North Water Diversion Project. South-North Water Transf. Water Sci. Technol. 2015, 13, 788–792. [Google Scholar]
- Yao, X.; Wang, C.; Li, C. Operation mode of serial canal system based on water volume control method. J. Hydraul. Eng. 2008, 39, 733–738. [Google Scholar] [CrossRef]
- Malaterre, P.; Rogers, D.C.; Schuurmans, J. Classification of Canal Control Algorithms. J. Irrig. Drain. Eng. 1998, 124, 3–10. [Google Scholar] [CrossRef] [Green Version]
- Wahlin, B.; Zimbelman, D. Canal Automation for Irrigation Systems: American Society of Civil Engineers Manual of Practice Number 131. Irrig. Drain. 2018, 67, 22–28. [Google Scholar] [CrossRef]
- Robert, S.G.; Eduardo, B.; Robert, J.S. Automated scheduling of open-channel deliveries: Potential and limiations. In SCADA and Related Technologies for Irrigation District Modernization, 2nd ed.; USCID: Phoenix, AZ, USA, 2007; pp. 23–32. [Google Scholar]
- Zhong, K.; Guan, G.; Liao, W.; Xiao, C.; Su, H. Algorithm with variable downstream target depth based on balance of water volume in canal pond. J. Drain. Irrig. Mach. Eng. 2018, 36, 857–862. [Google Scholar]
- Schuurmans, J.; Clemmens, A.J.; Dijkstra, S.; Hof, A.; Brouwer, R. Modeling of Irrigation and Drainage Canals for Controller Design. J. Irrig. Drain. Eng. 1999, 125, 338–344. [Google Scholar] [CrossRef] [Green Version]
- Liu, F.; Feyen, J.; Malaterre, P.; Baume, J. Development and Evaluation of Canal Automation Algorithm CLIS. J. Irrig. Drain. Eng. 1998, 124, 40. [Google Scholar] [CrossRef]
- Bautista, E.; Clemmens, A. Volume Compensation Method for Routing Irrigation Canal Demand Changes. J. Irrig. Drain. Eng. 2005, 131, 494–503. [Google Scholar] [CrossRef] [Green Version]
- Parrish, J. A Methodology for Automated Control of Sloping Canals; University of Iowa: Lowa City, IA, USA, 1997. [Google Scholar]
- Yao, X.; Wang, C.; Ding, Z.; Li, J. Study on Canal System Operation Based on Discharge Active Compensation. Adv. Eng. Sci. 2008, 40, 38–44. [Google Scholar]
- Malaterre, P.O. PILOTE: Linear Quadratic Optimal Controller for Irrigation Canals. J. Irrig. Drain. Eng. 1998, 124, 187–194. [Google Scholar] [CrossRef]
- Lin, B.; Su, X. Optimal dispatching of flood control system for sluice groups in plain dike areas. J. Zhejiang Univ. (Eng. Sci.) 1996, 30, 652–663. [Google Scholar]
- Liu, Q. Hydraulic Calculation and Optimal Operation of Multi-Sluice Flood Control System in Plain River Network Reion. Master’s Thesis, Hohai University, Nanjing, China, 2006. [Google Scholar]
- Zhu, J.; Zhang, Z.; Lei, X.; Jing, X.; Wang, H.; Yan, P. Ecological scheduling of the middle route of south-to-north water diversion project based on a reinforcement learning model. J. Hydrol. 2021, 596, 126107. [Google Scholar] [CrossRef]
- Srinivas, N.; Deb, K. Muiltiobj ective Optimization Using Nondominated Sorting in Genetic Algorithms. Evol. Comput. 1994, 2, 221–248. [Google Scholar] [CrossRef]
- Deb, K.; Pratap, A.; Agarwal, S.; Meyarivan, T. A fast and elitist multiobjective genetic algorithm: NSGA-II. IEEE Trans. Evol. Comput. 2002, 6, 182–197. [Google Scholar] [CrossRef] [Green Version]
- Guo, X.; Qin, T.; Lei, X.; Jiang, Y.; Wang, H. Advances in derivation method for multi-reservoir joint operation policy. J. Hydroelectr. Eng. 2016, 35, 19–27. [Google Scholar]
- Wang, H.; Wang, X.; Lei, X.; Liao, W.; Wang, C.; Wang, J. The development and prospect of key techniques in the cascade reservoir operation. J. Hydraul. Eng. 2019, 50, 25–37. [Google Scholar]
- Cui, W.; Chen, W.; Mu, X. Dynamic regulation algorithm of volumes for long distance water division canal. J. China Inst. Water Resour. Hydropower Res. 2015, 13, 421–427. [Google Scholar] [CrossRef]
- Buyalski, C.P.; Ehler, D.G.; Falvey, H.T.; Rogers, D.C.; Serfozo, E.A. Canal Systems Automation Manual: Volume 1; US Bureau of Reclamation: Denver, CO, USA, 1991.







| Control Gate No. | Stake No. | Gate Bottom Elevation (m) | Single Hole Width (m) | Number of Holes |
|---|---|---|---|---|
| G48 | 970 + 379 | 70.403 | 6.6 | 3 |
| G49 | 980 + 116 | 67.787 | 6.0 | 3 |
| G50 | 1002 + 169 | 66.721 | 6.0 | 3 |
| G51 | 1017 + 385 | 65.344 | 6.0 | 3 |
| G52 | 1036 + 963 | 64.554 | 5.5 | 3 |
| G53 | 1046 + 196 | 63.785 | 5.5 | 3 |
| G54 | 1071 + 847 | 65.151 | 7.0 | 3 |
| G55 | 1085 + 024 | 61.643 | 6.0 | 3 |
| G56 | 1112 + 074 | 60.588 | 7.8 | 2 |
| G57 | 1121 + 840 | 60.783 | 5.0 | 3 |
| G58 | 1136 + 825 | 57.492 | 5.0 | 2 |
| G59 | 1157 + 652 | 55.764 | 5.5 | 2 |
| G60 | 1172 + 353 | 55.596 | 5.4 | 2 |
| G61 | 1197 + 669 | 55.974 | — | 2 |
| Diversion Gate No. | Stake No. | Diversion Gate No. | Stake No. |
|---|---|---|---|
| F63 | 983 + 866 | F69 | 1079 + 569 |
| F64 | 1007 + 496 | F70 | 1104 + 313 |
| F65 | 1030 + 769 | F71 | 1117 + 631 |
| F66 | 1036 + 023 | F72 | 1156 + 414 |
| F67 | 1061 + 371 | F73 | 1180 + 707 |
| F68 | 1070 + 370 | F74 | 1195 + 724 |
| F86 | 1121 + 720 |
| Exit Gate No. | Stake No. | Exit Gate No. | Stake No. |
|---|---|---|---|
| T42 | 977 + 801 | T48 | 1096 + 976 |
| T43 | 993 + 346 | T49 | 1110 + 179 |
| T44 | 1015 + 126 | T50 | 1135 + 088 |
| T45 | 1044 + 822 | T51 | 1157 + 002 |
| T46 | 1077 + 350 | T52 | 1184 + 713 |
| T47 | 1084 + 675 | T53 | 1197 + 636 |
| Channel Pool No. | Entrance | Outlet | Entrance Bottom Elevation (m) | Outlet Bottom Elevation (m) | Bottom Width (m) | Slope Coefficient | Design Roughness |
|---|---|---|---|---|---|---|---|
| C1 | G48 | G49 | 70.403 | 69.821 | 10.0–22.2 | 2.5–3.0 | 0.014 |
| C2 | G49 | G50 | 69.987 | 69.129 | 18.0–23.5 | 2.0–3.0 | 0.014 |
| C3 | G50 | G51 | 68.879 | 68.360 | 18.0–21.5 | 2.5–3.0 | 0.014 |
| C4 | G51 | G52 | 67.574 | 66.513 | 18.0–22.0 | 2.5–3.0 | 0.014 |
| C5 | G52 | G53 | 66.284 | 65.998 | 15.0–16.5 | 3.0 | 0.014 |
| C6 | G53 | G54 | 65.985 | 65.151 | 18.7–23.0 | 2.0–2.5 | 0.014 |
| C7 | G54 | G55 | 65.151 | 64.264 | 18.5–23.0 | 2.0–2.5 | 0.014 |
| C8 | G55 | G56 | 64.140 | 61.525 | 15.0–23.0 | 1.0–2.5 | 0.014 |
| C9 | G56 | G57 | 61.143 | 60.783 | 18.5–22.5 | 0.75–2.5 | 0.014 |
| C10 | G57 | G58 | 60.679 | 59.877 | 14.5–20.0 | 1.0–2.5 | 0.014 |
| C11 | G58 | G59 | 59.767 | 58.649 | 7.5–12.5 | 0.8–2.5 | 0.014 |
| C12 | G59 | G60 | 58.542 | 57.788 | 7.5–12.1 | 0.75–2.5 | 0.014 |
| C13 | G60 | G61 | 57.696 | 55.974 | 7.5–13.0 | 0.75–2.5 | 0.014 |
| Target | Gate Regulation Times | Mean Water Level Deviation (m) | ||
|---|---|---|---|---|
| Contrast | Actual Regulation | Optimal Regulation | Actual Regulation | Optimal Regulation |
| G48 | 2 | 3 | 0.043 | 0.042 |
| G49 | 4 | 7 | 0.027 | 0.059 |
| G50 | 4 | 4 | 0.051 | 0.035 |
| G51 | 5 | 4 | 0.082 | 0.060 |
| G52 | 6 | 7 | 0.113 | 0.019 |
| G53 | 6 | 5 | 0.077 | 0.019 |
| G54 | 5 | 4 | 0.087 | 0.038 |
| G55 | 6 | 4 | 0.093 | 0.042 |
| G56 | 6 | 7 | 0.053 | 0.086 |
| G57 | 4 | 3 | 0.059 | 0.085 |
| G58 | 9 | 2 | 0.025 | 0.095 |
| G59 | 10 | 4 | 0.023 | 0.098 |
| G60 | 10 | 5 | 0.018 | 0.099 |
| Total/Average | 77 | 59 | 0.058 | 0.060 |
| Feedforward Time (h) | Working Condition | Flow (m³/s) | Upstream Boundary (Water Level) (m) | Downstream Boundary (Initial Discharge) (m³/s) |
|---|---|---|---|---|
| 72 | Condition 1 (C1) | 10 | 76.49 | 23.26 |
| Condition 7 (C7) | 20 | |||
| 48 | Condition 2 (C2) | 10 | ||
| Condition 8 (C8) | 20 | |||
| 24 | Condition 3 (C3) | 10 | ||
| Condition 9 (C9) | 20 | |||
| 12 | Condition 4 (C4) | 10 | ||
| Condition 10 (C10) | 20 | |||
| 6 | Condition 5 (C5) | 10 | ||
| Condition 11 (C11) | 20 | |||
| 4 | Condition 6 (C6) | 10 | ||
| Condition 12 (C12) | 20 |
| Working Condition | Average Water Level Deviation (m) | Gate Regulation Times |
|---|---|---|
| C1 | 0.125 | 67 |
| C2 | 0.101 | 71 |
| C3 | 0.144 | 73 |
| C4 | 0.176 | 66 |
| C5 | 0.160 | 72 |
| C6 | 0.183 | 73 |
| C7 | 0.104 | 83 |
| C8 | 0.085 | 86 |
| C9 | 0.183 | 92 |
| C10 | 0.202 | 86 |
| C11 | 0.206 | 82 |
| C12 | 0.204 | 90 |
| Working Condition | Total Volume Difference of the System (×104 m³) | Working Condition | Total Volume Difference of the System (×104 m³) |
|---|---|---|---|
| C1 | 173.5460 | C7 | 220.9510 |
| C2 | 95.7520 | C8 | 183.1010 |
| C3 | 115.0820 | C9 | 50.3860 |
| C4 | 33.4700 | C10 | 30.3700 |
| C5 | 61.2320 | C11 | 24.8800 |
| C6 | 49.0320 | C12 | 29.4670 |
Publisher’s Note: MDPI stays neutral with regard to jurisdictional claims in published maps and institutional affiliations. |
© 2021 by the authors. Licensee MDPI, Basel, Switzerland. This article is an open access article distributed under the terms and conditions of the Creative Commons Attribution (CC BY) license (https://creativecommons.org/licenses/by/4.0/).
Share and Cite
Zhu, J.; Zhang, Z.; Lei, X.; Yue, X.; Xiang, X.; Wang, H.; Ye, M. Optimal Regulation of the Cascade Gates Group Water Diversion Project in a Flow Adjustment Period. Water 2021, 13, 2825. https://doi.org/10.3390/w13202825
Zhu J, Zhang Z, Lei X, Yue X, Xiang X, Wang H, Ye M. Optimal Regulation of the Cascade Gates Group Water Diversion Project in a Flow Adjustment Period. Water. 2021; 13(20):2825. https://doi.org/10.3390/w13202825
Chicago/Turabian StyleZhu, Jie, Zhao Zhang, Xiaohui Lei, Xia Yue, Xiaohua Xiang, Hao Wang, and Mao Ye. 2021. "Optimal Regulation of the Cascade Gates Group Water Diversion Project in a Flow Adjustment Period" Water 13, no. 20: 2825. https://doi.org/10.3390/w13202825
APA StyleZhu, J., Zhang, Z., Lei, X., Yue, X., Xiang, X., Wang, H., & Ye, M. (2021). Optimal Regulation of the Cascade Gates Group Water Diversion Project in a Flow Adjustment Period. Water, 13(20), 2825. https://doi.org/10.3390/w13202825
