Developing a Novel Water Quality Prediction Model for a South African Aquaculture Farm
Abstract
:1. Introduction
2. Methods and Materials
2.1. Study Area Description and Datasets Analysis
2.2. Data Filling and Correction
2.3. Data Correlation Analysis
3. Prediction Model Design
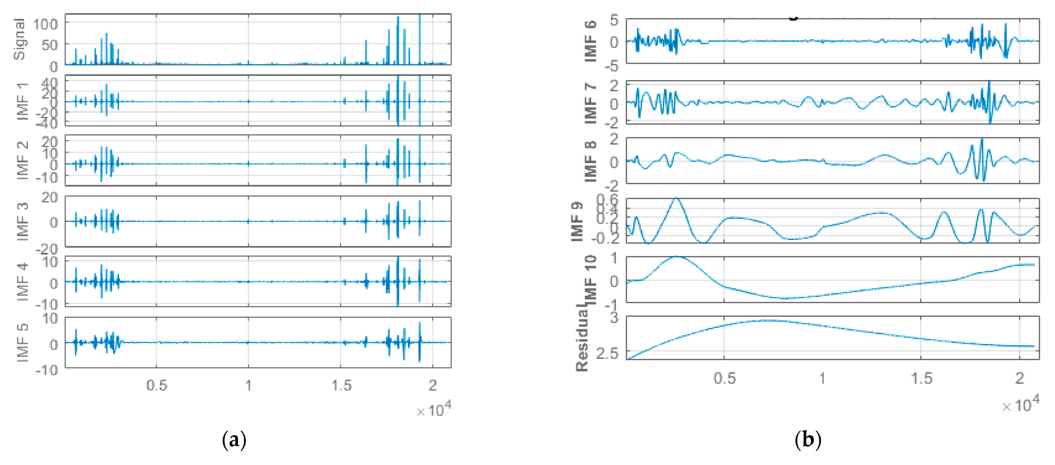
3.1. EEMD Method
- (1)
- The total number of extrema and the zero-crossings of IMFs must be equal or, at most, differ by one.
- (2)
- The mean of local minima and local maxima envelopes is zero at any point.
- (1)
- Ride waves identification and eradication, and
- (2)
- IMFs’ wave profiles refining to obtain more symmetric wave profiles.
- (a)
- Determine all the extrema of the signal .
- (b)
- Apply the linear interpolation technique between minima (respectively, maxima) with envelopes, .
- (c)
- Compute the mean of the envelopes , with representing the number of iterations.
- (d)
- Then, extract the detail .
- (e)
- Repeat step (a) to step (d) until the IMFs converged with satisfy the definition of the IMFs.
- (f)
- Repeat step (a) to step (e) to determine the residual , with .
3.2. DL-LSTM Neural Networks
- (a)
- Forget gate equation:
- (b)
- Input gate equations:
- (c)
- Output gate equations:
- (d)
- Cell state equation:
3.3. Proposed Unique Hybrid EEMD-DL-LSTM NN-Based Water Quality Parameters Prediction Model
4. Performance Evaluation Metrics
5. Results and Discussion
6. Conclusions
Author Contributions
Funding
Acknowledgments
Conflicts of Interest
References
- Eze, E.; Ajmal, T. Dissolved Oxygen Forecasting in Aquaculture: A Hybrid Model Approach. Appl. Sci. 2020, 10, 7079. [Google Scholar] [CrossRef]
- Hu, Z.; Zhang, Y.; Zhao, Y.; Xie, M.; Zhong, J.; Tu, Z.; Liu, J. A water quality prediction method based on the deep LSTM network considering correlation in smart mariculture. Sensors 2019, 19, 1420. [Google Scholar] [CrossRef] [Green Version]
- Shin, Y.; Kim, T.; Hong, S.; Lee, S.; Lee, E.; Hong, S.; Lee, C.; Kim, T.; Park, M.S.; Park, J.; et al. Prediction of Chlorophyll-a Concentrations in the Nakdong River Using Machine Learning Methods. Water 2020, 12, 1822. [Google Scholar] [CrossRef]
- Gazzaz, N.M.; Yusoff, M.K.; Aris, A.Z.; Juahir, H.; Ramli, M.F. Artificial neural network modeling of the water quality index for Kinta River (Malaysia) using water quality variables as predictors. Mar. Pollut. Bull. 2012, 64, 2409–2420. [Google Scholar] [CrossRef] [PubMed]
- Clark, R.; Hakim, S.; Ostfeld, A. Handbook of Water and Wastewater Systems Protection (Protecting Critical Infrastructure); Springer: New York, NY, USA, 2011. [Google Scholar]
- Liu, S.; Xu, L.; Li, D.; Li, Q.; Jiang, Y.; Tai, H.; Zeng, L. Prediction of dissolved oxygen content in river crab culture based on least squares support vector regression optimized by improved particle swarm optimization. Comput. Electron. Agric. 2013, 95, 82–91. [Google Scholar] [CrossRef]
- Maier, H.R.; Jain, A.; Dandy, G.C.; Sudheer, K.P. Methods used for the development of neural networks for the prediction of water resource variables in river systems: Current status and future directions. Environ. Model. Softw. 2010, 25, 891–909. [Google Scholar] [CrossRef]
- Lee, S.; Lee, D. Improved prediction of harmful algal blooms in four major South Korea’s rivers using deep learning models. Int. J. Environ. Res. Public Health 2018, 15, 1322. [Google Scholar] [CrossRef] [Green Version]
- Aldhyani, T.H.H.; Al-Yaari, M.; Alkahtani, H.; Maashi, M. Water Quality Prediction Using Artificial Intelligence Algorithms. Appl. Bionics Biomech. 2020, 2020, 1–12. [Google Scholar] [CrossRef]
- Sheng, L.; Zhou, J.; Li, X.; Pan, Y.; Liu, L. Water quality prediction method based on preferred classification. IET Cyber-Phys. Syst. Theory Appl. 2020, 5, 176–180. [Google Scholar] [CrossRef]
- Chen, Y.; Yu, H.; Cheng, Y.; Cheng, Q.; Li, D. A hybrid intelligent method for three-dimensional short-term prediction of dissolved oxygen content in aquaculture. PLoS ONE 2018, 13, e0192456. [Google Scholar] [CrossRef] [Green Version]
- Sun, M.; Chen, J.; Li, D. Water temperature prediction in sea cucumber aquaculture ponds by RBF neural network model. In Proceedings of the 2012 International Conference on Systems and Informatics (ICSAI2012), Yantai, China, 19–20 May 2012; pp. 1154–1159. [Google Scholar]
- Rozario, A.P.R.; Devarajan, N. Monitoring the quality of water in shrimp ponds and forecasting of dissolved oxygen using Fuzzy C means clustering based radial basis function neural networks. J. Ambient. Intell. Humaniz. Comput. 2020, 12, 1–8. [Google Scholar] [CrossRef]
- Tan, G.; Yan, J.; Gao, C.; Yang, S. Prediction of water quality time series data based on least squares support vector machine. Procedia Eng. 2012, 31, 1194–1199. [Google Scholar] [CrossRef] [Green Version]
- Liu, S.; Xu, L.; Jiang, Y.; Li, D.; Chen, Y.; Li, Z. A hybrid WA—CPSOLSSVR model for dissolved oxygen content prediction in crab culture. Eng. Appl. Artif. Intell. 2014, 29, 114–124. [Google Scholar] [CrossRef]
- Li, Z.; Jiang, Y.; Yue, J.; Zhang, L.; Li, D. An improved gray model for aquaculture water quality prediction. Intell. Autom. Soft Comput. 2012, 18, 557–567. [Google Scholar] [CrossRef]
- Yue, Y.; Li, T.H. The application of a fuzzy-set theory based Markov model in the quantitative prediction of water quality. J. Basic Sci. Eng. 2011, 19, 231–242. [Google Scholar]
- Faruk, D.Ö. A hybrid neural network and ARIMA model for water quality time series prediction. Eng. Appl. Artif. Intell. 2010, 23, 586–594. [Google Scholar] [CrossRef]
- Xiao, Z.; Peng, L.; Chen, Y.; Liu, H.; Wang, J.; Nie, Y. The Dissolved Oxygen Prediction Method Based on Neural Network. Complexity 2017, 2017, 1–6. [Google Scholar] [CrossRef] [Green Version]
- Wijayanti, K.N. Aquaculture water quality prediction using smooth SVM. IPTEK J. Proc. Ser. 2015, 1, 342–345. [Google Scholar]
- Liu, J.; Yu, C.; Hu, Z.; Zhao, Y.; Bai, Y.; Xie, M.; Luo, J. Accurate Prediction Scheme of Water Quality in Smart Mariculture with Deep Bi-S-SRU Learning Network. IEEE Access 2020, 8, 24784–24798. [Google Scholar] [CrossRef]
- Liu, J.J.; Zhuang, H.; Tie, Z.X. Water quality multi-factor prediction model using LSTM neural network based on K-similarity noise reduction. Comput. Syst. Appl. 2019, 28, 226–232. [Google Scholar]
- Li, Z.; Peng, F.; Niu, B.; Li, G.; Wu, J.; Miao, Z. Water quality prediction model combining sparse auto-encoder and LSTM network. IFAC PapersOnLine 2018, 51, 831–836. [Google Scholar] [CrossRef]
- Li, C.; Li, Z.; Wu, J.; Zhu, L.; Yue, J. A hybrid model for dissolved oxygen prediction in aquaculture based on multi-scale features. Inf. Process. Agric. 2018, 5, 11–20. [Google Scholar] [CrossRef]
- Junsheng, C.; Kang, Z.; Yu, Y.; De-jie, Y.U. Comparison between the methods of local mean decomposition and empirical mode decomposition. J. Vib. Shock 2009, 28, 13–16. [Google Scholar]
- Liu, S.; Xu, L.; Li, D. Multi-scale prediction of water temperature using empirical mode decomposition with back-propagation neural networks. Comput. Electr. Eng. 2016, 49, 1–8. [Google Scholar] [CrossRef]
- Liu, K.; Zhang, Y.; Qin, L. A novel combined forecasting model for short-term wind power based on ensemble empirical mode decomposition and optimal virtual prediction. J. Renew. Sustain. Energy 2016, 8, 1–22. [Google Scholar] [CrossRef]
- Zhang, G.; Liu, H.; Zhang, J.; Yan, Y.; Zhang, L.; Wu, C. Wind power prediction based on variational mode decomposition multi-frequency combinations. J. Mod. Power Syst. Clean Energy 2019, 7, 281–288. [Google Scholar] [CrossRef] [Green Version]
- Chen, X.; Lu, J.; Zhao, J.; Qu, Z.; Yang, Y.; Xian, J. Traffic Flow Prediction at Varied Time Scales via Ensemble Empirical Mode Decomposition and Artificial Neural Network. Sustainability 2020, 12, 3678. [Google Scholar] [CrossRef]
- Pholsena, K.; Pan, L.; Zheng, Z. Mode decomposition based deep learning model for multi-section traffic prediction. World Wide Web 2020, 23, 2513–2527. [Google Scholar] [CrossRef] [Green Version]
- Tian, Z. Approach for Short-Term Traffic Flow Prediction Based on Empirical Mode Decomposition and Combination Model Fusion. IEEE Tran. Intell. Transp. Syst. May 2020, 1–11. [Google Scholar] [CrossRef]
- Beltrán-Castro, J.; Valencia-Aguirre, J.; Orozco-Alzate, M.; Castellanos-Domínguez, G.; Travieso-González, C.M. Rainfall Forecasting Based on Ensemble Empirical Mode Decomposition and Neural Networks. In Proceedings of the International Work-Conference on Artificial Neural Networks, Tenerife, Spain, 12–14 June 2013; Springer: Berlin/Heidelberg, Germany, 2013; pp. 471–480. [Google Scholar]
- WTW IQ Sensor Net: Continuous Process Monitoring & Control. Available online: https://www.xylemanalytics.co.uk/media/pdfs/wtw-iq-sensor-net-brochure.pdf?pdf (accessed on 30 May 2021).
- Pan, L.; Li, J.; Luo, J. A temporal and spatial correction based missing values imputation algorithm in wireless sensor networks. Chin. J. Comput. 2010, 33, 1–10. [Google Scholar] [CrossRef]
- Lee, R.J.; Nicewander, W.A. Thirteen ways to look at the correlation coefficient. Am. Stat. 1988, 42, 59–66. [Google Scholar]
- Argenal, R.; Gomez, R. The Effects of Turbidity on Dissolved Oxygen Levels in Various Water Samples. California State Science Fair, 2006. Available online: http://csef.usc.edu/History/2006/Projects/S0602.pdf (accessed on 11 June 2021).
- Huang, N.E.; Zheng, S.; Long, S.R.; Wu, M.C.; Shih, H.H.; Zheng, Q.; Yen, N.-C.; Tung, C.C.; Liu, H.H. The empirical mode decomposition and the Hilbert spectrum for nonlinear and non-stationary time series analysis. Proc. R. Soc. Lond. A Math. Phys. Eng. Sci. 1998, 454, 903–995. [Google Scholar] [CrossRef]
- Wu, Z.; Huang, N.E. A study of the characteristics of white noise using the empirical mode decomposition method. Proc. R. Soc. Lond. Ser. A Math. Phys. Eng. Sci. 2004, 460, 1597–1611. [Google Scholar] [CrossRef]
- Rilling, G.; Flandrin, P.; Goncalves, P. On empirical mode decomposition and its algorithms. In Proceedings of the IEEE-EURASIP Workshop on Nonlinear Signal and Image Processing (NSIP’03), Grado, Italy, 8–11 June 2003; pp. 8–11. [Google Scholar]
- Wu, Z.H.; Huang, N.E. Ensemble empirical mode decomposition: A noise assisted data analysis method. Adv. Adapt. Data Anal. 2009, 1, 1–41. [Google Scholar] [CrossRef]
- Wu, Z.; Huang, N.E.; Chen, X. The multi-dimensional ensemble empirical mode decomposition method. Adv. Adapt. Data Anal. 2009, 1, 339–372. [Google Scholar] [CrossRef]
- Olah, C. Understanding LSTM Networks. 27 August 2015. Available online: http://colah.github.io/posts/2015–08-Understanding-LSTMs/ (accessed on 10 January 2021).











| Dissolved Oxygen | Turbidity | pH | Temperature | |
|---|---|---|---|---|
| Dissolved Oxygen | 1 | −0.09677 | 0.54826 | −0.14893 |
| Turbidity | −0.09677 | 1 | −0.03914 | −0.05654 |
| pH | 0.54826 | −0.03914 | 1 | 0.55366 |
| Temperature | −0.14893 | −0.05654 | 0.55366 | 1 |
| MAE | RMSE | MAPE | |||||||||||||||||||||
|---|---|---|---|---|---|---|---|---|---|---|---|---|---|---|---|---|---|---|---|---|---|---|---|
| pH | Temperature | DO | Turbidity | pH | Temperature | DO | Turbidity | pH | Temperature | DO | Turbidity | ||||||||||||
| DL-LSTM | EEMD-DL-LSTM | DL-LSTM | EEMD-DL-LSTM | DL-LSTM | EEMD-DL-LSTM | DL-LSTM | EEMD-DL-LSTM | DL-LSTM | EEMD-DL-LSTM | DL-LSTM | EEMD-DL-LSTM | DL-LSTM | EEMD-DL-LSTM | DL-LSTM | EEMD-DL-LSTM | DL-LSTM | EEMD-DL-LSTM | DL-LSTM | EEMD-DL-LSTM | DL-LSTM | EEMD-DL-LSTM | DL-LSTM | EEMD-DL-LSTM |
| 0.0042 | 0.0140 | 0.0421 | 0.0251 | NA | 0.0262 | NA | 0.0309 | 0.6236 | 0.0407 | 0.0519 | 0.0325 | NA | 0.0355 | NA | 0.0291 | 0.0092 | 0.0074 | 0.0850 | 0.0073 | NA | 0.0075 | NA | 0.0078 |
| Statistical Evaluation Metrics | BP Model | SAE-BP Model | DL-LSTM Model | SAE-LSTM Model | EEMD-DL-LSTM Model |
|---|---|---|---|---|---|
| Run Time (s) | 3.4000 | 9.1000 | 22.0000 | 28.2000 | 2.3700 |
| MAE | 0.3000 | 0.2580 | 0.1000 | 0.0690 | 0.0375 |
| MSE | 0.1352 | 0.0953 | 0.0166 | 0.0077 | 0.0024 |
| RMSE | 0.3680 | 0.3090 | 0.1290 | 0.0880 | 0.0489 |
| MAPE | 0.0310 | 0.0270 | 0.0100 | 0.0070 | 0.0072 |
Publisher’s Note: MDPI stays neutral with regard to jurisdictional claims in published maps and institutional affiliations. |
© 2021 by the authors. Licensee MDPI, Basel, Switzerland. This article is an open access article distributed under the terms and conditions of the Creative Commons Attribution (CC BY) license (https://creativecommons.org/licenses/by/4.0/).
Share and Cite
Eze, E.; Halse, S.; Ajmal, T. Developing a Novel Water Quality Prediction Model for a South African Aquaculture Farm. Water 2021, 13, 1782. https://doi.org/10.3390/w13131782
Eze E, Halse S, Ajmal T. Developing a Novel Water Quality Prediction Model for a South African Aquaculture Farm. Water. 2021; 13(13):1782. https://doi.org/10.3390/w13131782
Chicago/Turabian StyleEze, Elias, Sarah Halse, and Tahmina Ajmal. 2021. "Developing a Novel Water Quality Prediction Model for a South African Aquaculture Farm" Water 13, no. 13: 1782. https://doi.org/10.3390/w13131782
APA StyleEze, E., Halse, S., & Ajmal, T. (2021). Developing a Novel Water Quality Prediction Model for a South African Aquaculture Farm. Water, 13(13), 1782. https://doi.org/10.3390/w13131782

