Effect of Porous Baffles on the Energy Performance of Contact Tanks in Water Treatment
Abstract
:1. Introduction
2. Numerical Model
2.1. Governing Equations
2.2. Boundary Conditions
3. Results and Discussions
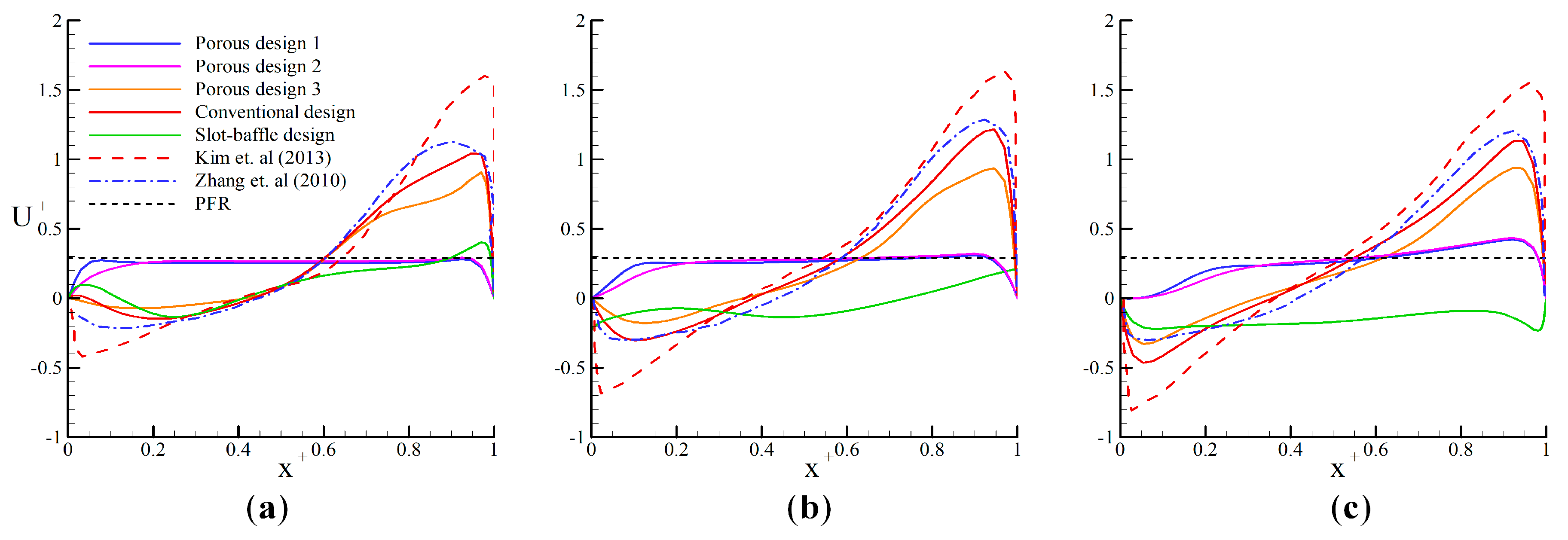
3.1. Flow Analysis
3.2. The Energy Efficiency
3.3. Tracer Studies
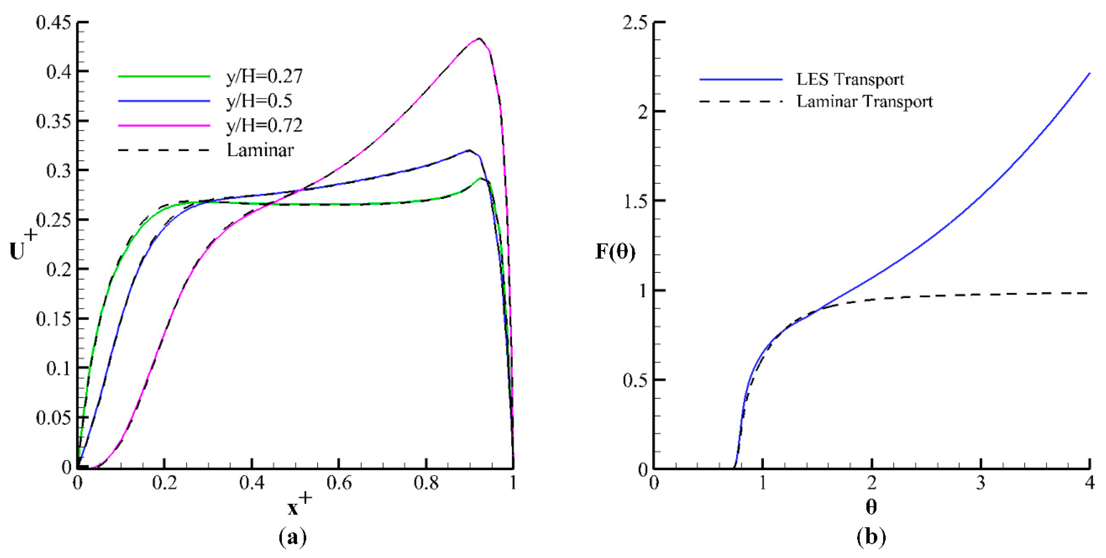
3.4. LES Solution of the Laminar Flow
4. Conclusions
Author Contributions
Funding
Acknowledgments
Conflicts of Interest
References
- Demirel, E.; Aral, M.M. Unified analysis of multi-chamber contact tanks and mixing efficiency evaluation based on vorticity field. Part I: Hydrodynamic analysis. Water 2016, 8, 495. [Google Scholar] [CrossRef]
- Demirel, E.; Aral, M.M. Unified analysis of multi-chamber contact tanks and mixing efficiency evaluation based on vorticity field. Part II: Transport analysis. Water 2016, 8, 537. [Google Scholar] [CrossRef]
- Demirel, E.; Aral, M.M. An evaluation of performance of efficiency indexes for contact tanks. J. Environ. Eng. 2018, 144, 1–13. [Google Scholar] [CrossRef]
- Amini, R.; Taghipour, R.; Mirgolbabaei, H. Numerical assessment of hydrodynamic characteristics in chlorine contact tank. Int. J. Numer. Methods Fluids 2011, 67, 885–898. [Google Scholar] [CrossRef]
- Angeloudis, A.; Stoesser, T.; Falconer, A.R. Predicting the disinfection efficiency range in chlorine contact tanks through a CFD-based approach. J. Water Res. 2014, 60, 118–125. [Google Scholar] [CrossRef] [PubMed]
- Angeloudis, A.; Stoesser, T.; Gualtieri, C.; Falconer, R.A. Contact tank design impact on process performance. Environ. Model. Assess. 2016, 21, 563–576. [Google Scholar] [CrossRef]
- Gualtieri, C. Analysis of the effect of baffles number on a contact tank efficiency with Multiphysics 3.3. In Proceedings of the COMSOL User Conference, Napoli, Italy, 23–24 October 2007. [Google Scholar]
- Kim, D.; Elovitz, M.; Roberts, P.J.W.; Kim, J.H. Using 3D LIF to investigate and improve performance of a multi-chamber ozone contactor. J. Am. Water Works Assoc. 2010, 102, 61–70. [Google Scholar] [CrossRef]
- Kim, D.; Stoesser, T.; Kim, J.H. The effect of baffle spacing on hydrodynamics and solute transport in serpentine contact tanks. J. Hydraulic Res. 2013, 51, 558–568. [Google Scholar] [CrossRef]
- Teixeria, E.D.; Siqueira, R.N. Performance assessment of hydraulic efficiency indexes. J. Environ. Eng. 2008, 134, 851–859. [Google Scholar] [CrossRef]
- Wang, H.; Shao, X.; Falconer, R.A. Flow and transport simulation models for prediction of chlorine contacttank flow-through curves. Water Environ. Res. 2003, 75, 455–471. [Google Scholar] [CrossRef] [PubMed]
- Aral, M.M.; Demirel, E. Novel slot-baffle design to improve mixing efficiency and reduce cost of disinfection in drinking water treatment. J. Environ. Eng. 2017, 143, 1–5. [Google Scholar] [CrossRef]
- Demirel, E.; Aral, M.M. An efficient contact tank design for potable water treatment. Teknik Dergi 2018, 29, 8279–8294. [Google Scholar] [CrossRef]
- Zhang, J.; Martinez, A.E.T.; Zhang, Q. Indicators for technological, environmental and economic sustainability of ozone contactors. Water Res. 2014, 101, 606–616. [Google Scholar] [CrossRef] [PubMed]
- Wilson, J.M.; Venayagamoorthy, S.K. Evaluation of hydraulic efficiency of disinfection systems based on residence time distribution curves. Environ. Sci. Technol. 2010, 44, 9377–9382. [Google Scholar] [CrossRef] [PubMed]
- Zhang, J.; Martinez, A.E.T.; Zhang, Q. Reynolds-averaged Navier-Stokes simulation of the flow and tracer transport in a multichambered ozone contactor. J. Environ. Eng. 2013, 10, 450–454. [Google Scholar] [CrossRef]
- Yang, J.; Li, J.; Zhu, J.; Dong, Z.; Luo, F.; Wang, Y.; Liu, H.; Jiang, C.; Yuan, H. A novel design for an ozone contact reactor and its performance on hydrodynamics, disinfection, bromate formation and oxidation. Chem. Eng. J. 2017, 328, 207–214. [Google Scholar] [CrossRef]
- Higuera, P.; Lara, J.L.; Losada, J.I. Three-dimensional interaction of waves and porous coastal structures using OpenFOAM. Part I: Formulation and validation. Coast. Eng. 2013, 83, 243–258. [Google Scholar] [CrossRef]
- Brito, M.; Fernandes, J.; Leal, J.B. Porous media approach for RANS simulation of compound open-channel flows with submerged vegetated floodplains. Environ. Fluid. Mech. 2016, 16, 1247–1266. [Google Scholar] [CrossRef]
- Domingo, A.; Langmayr, D.; Somogyi, B.; Almbauer, R. A semi-implicit treatment of porous media in steady-state CFD. Transp. Porous. Med. 2016, 112, 451–466. [Google Scholar] [CrossRef] [PubMed]
- San, B.; Wang, Y.; Qiu, Y. Numerical simulation and optimization study of the wind flow through a porous fence. Environ. Fluid Mech. 2018, 1–19. [Google Scholar] [CrossRef]
- Pak, A.; Mohammadi, T.; Hosseinalipour, S.M.; Allahdini, V. CFD modeling of porous membranes. Desalination 2007, 222, 482–488. [Google Scholar] [CrossRef]
- OpenFOAM. The OpenFOAM Foundation; OpenCFD Ltd.: Bracknell, UK, 2015. [Google Scholar]
- Smagorinsky, J. General calculation experiments with the primitive equations, Part I: The basic experiment. Mon. Weather Rev. 1963, 91, 99–164. [Google Scholar] [CrossRef]
- Stefano, G.M.D. Modeling Thermal Energy Storage Systems with Open∇FOAM. Ph.D. Thesis, Politecnico di Milano, Milan, Italy, 2002. [Google Scholar]
- Ergun, S. Fluid flow through packed columns. Chem. Eng. Prog. 1952, 48, 89–94. [Google Scholar]
- Gualtieri, C.; Angeloudis, A.; Bombardelli, F.; Jha, S.; Stoesser, T. On the value for the turbulent Schmidt number in environmental flows. Fluids 2017, 2, 17. [Google Scholar] [CrossRef]
- Morgan, N.A. Physical properties of marine sediments as related to seismic velocities. Geophysics 1969, 34, 529–545. [Google Scholar] [CrossRef]
- Sperry, J.M.; Peirce, J.J. A model for estimating hydraulic conductivity of granular material based on grain shape, grain size, and porosity. Ground Water 1995, 33, 892–898. [Google Scholar] [CrossRef]
- Finnemore, J.E.; Franzini, J.B. Fluid Mechanics with Engineering Applications; McGraw Hill: New York, NY, USA, 2002. [Google Scholar]
- Lev, O.; Regli, S. Evaluation of ozone disinfection systems: Characteristics time T. J. Environ. Eng. 1992, 118, 268–285. [Google Scholar] [CrossRef]
- U. S. Environmental Protection Agency. Disinfection Profiling and Benchmarking Guidance Manual; Appendix, A. Rep. No. EPA 816-R-03-004; EPA: Washington, DC, USA, 2013. [Google Scholar]
- Gualtieri, C. Discussion of “Performance assessment of hydraulic efficiency indexes” by Edmilson Costa Teixeira and Rento do Nascimento Siqueira. J. Environ. Eng. 2010, 136, 851–859. [Google Scholar] [CrossRef]
- Gong, Y.; Tanner, F.X. Comparison of RANS and LES models in the laminar limit for a flow over a backward-facing step using OpenFOAM. In Proceedings of the Nineteenth International Multidimensional Engine Modeling Meeting at the SAE Congress, Detroit, MI, USA, 19 April 2009. [Google Scholar]







| Screen Number | d50 (mm) | Porosity (ε) | D (cm−1) | F (cm−1) |
|---|---|---|---|---|
| 1 | 0.000774 | 0.31 | 2.76 × 109 | 5.24 × 104 |
| 2 | 0.001419 | 0.504 | 7.10 × 107 | 4.78 × 103 |
| 3 | 0.001899 | 0.802 | 6.26 × 105 | 3.54 × 102 |
| Configuration | |||
|---|---|---|---|
| NW | 8.79 | 3.54 | 0.12 |
| Porous design 1 | 12.90 | 5.21 | 0.08 |
| Porous design 2 | 10.57 | 4.26 | 0.10 |
| Porous design 3 | 7.31 | 2.95 | 0.14 |
| Slot | 5.10 | 2.06 | 0.20 |
| Configuration | ||||
|---|---|---|---|---|
| Conventional | 0.369 | 2.030 | 5.493 | 1.632 |
| Porous design1 | 0.822 | 1.431 | 1.741 | 2.421 |
| Porous design 2 | 0.772 | 1.548 | 2.005 | 2.404 |
| Porous design 3 | 0.375 | 2.311 | 6.163 | 2.098 |
| Slot-baffle design | 0.532 | 1.698 | 3.192 | 1.491 |
© 2018 by the authors. Licensee MDPI, Basel, Switzerland. This article is an open access article distributed under the terms and conditions of the Creative Commons Attribution (CC BY) license (http://creativecommons.org/licenses/by/4.0/).
Share and Cite
Kizilaslan, M.A.; Demirel, E.; Aral, M.M. Effect of Porous Baffles on the Energy Performance of Contact Tanks in Water Treatment. Water 2018, 10, 1084. https://doi.org/10.3390/w10081084
Kizilaslan MA, Demirel E, Aral MM. Effect of Porous Baffles on the Energy Performance of Contact Tanks in Water Treatment. Water. 2018; 10(8):1084. https://doi.org/10.3390/w10081084
Chicago/Turabian StyleKizilaslan, M. Anil, Ender Demirel, and Mustafa M. Aral. 2018. "Effect of Porous Baffles on the Energy Performance of Contact Tanks in Water Treatment" Water 10, no. 8: 1084. https://doi.org/10.3390/w10081084
APA StyleKizilaslan, M. A., Demirel, E., & Aral, M. M. (2018). Effect of Porous Baffles on the Energy Performance of Contact Tanks in Water Treatment. Water, 10(8), 1084. https://doi.org/10.3390/w10081084
