Air Quality Impact Estimation Due to Uncontrolled Emissions from Capuava Petrochemical Complex in the Metropolitan Area of São Paulo (MASP), Brazil
Abstract
1. Introduction
2. Materials and Methods
2.1. Gaussian Plume Model (AERMOD)
2.2. Air Quality Data Analysis
3. Results and Discussions
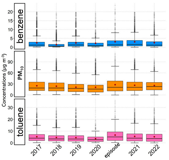
3.1. Air Quality Data
3.2. Air Quality Modeling
4. Conclusions
Supplementary Materials
Author Contributions
Funding
Institutional Review Board Statement
Informed Consent Statement
Data Availability Statement
Acknowledgments
Conflicts of Interest
Abbreviations
| Phrase | Acronym |
| Metropolitan area of São Paulo | MASP |
| Capuava Petrochemical Complex | CPC |
| Capuava Oil Refinery | RECAP |
| Air quality station | AQS |
| Environmental Agency of São Paulo State | CETESB |
| Environmental impact assessments | EIA |
| Steady-state plume model | AERMOD |
| California Puff: non-steady-state puff dispersion model | CALPUFF |
| Flexible particle dispersion model | FLEXPART |
| Community multiscale air quality | CMAQ |
| Hybrid single-particle Lagrangian integrated trajectory | HYSPLIT |
| Stable boundary layer | SBL |
| Convective boundary layer | CBL |
| Benzene, toluene, ethylbenzene, and xylenes | BTEX |
References
- CETESB Multa Empresas Do Polo Petroquímico Capuava. Available online: https://cetesb.sp.gov.br/blog/2021/04/14/cetesb-multa-empresas-do-polo-petroquimico-capuava/ (accessed on 10 June 2021).
- Coelho, M.S.; Dominutti, P.A.; Boian, C.; dos Santos, T.C.; Nogueira, T.; Oliveira, C.A.V.B.d.S.; Fornaro, A. Non-methane hydrocarbons in the vicinity of a petrochemical complex in the Metropolitan Area of São Paulo, Brazil. Air Qual. Atmos. Health 2021, 14, 967–984. [Google Scholar] [CrossRef]
- Evo, C.P.R.; Ulrych, B.K.; Takegawa, B.; Soares, G.; Nogueira, G.; Oliveira, L.O.D.; Golfetti, M.; Milazzotto, P.H.; Martins, L.C. Poluição Do Ar e Internação Por Insuficiência Cardíaca Congestiva Em Idosos No Município de Santo André Air Pollution and Congestive Heart Failure Hospital Admissions on Elderly in Santo André. Arq. Bras. Ciência da Saúde 2011, 36, 6–9. [Google Scholar]
- Saiki, M.; Alves, E.R.; Marcelli, M.P. Analysis of lichen species for atmospheric pollution biomonitoring in the Santo André Municipality, São Paulo, Brazil. J. Radioanal. Nucl. Chem. 2007, 273, 543–547. [Google Scholar] [CrossRef]
- Petrobras Refinaria Capuava. Available online: https://petrobras.com.br/pt/nossas-atividades/principais-operacoes/refinarias/refinaria-capuava-recap.htm (accessed on 10 March 2020).
- CETESB. Qualidade Do Ar No Estado de São Paulo. 2022; p. 228. Available online: http://cetesb.sp.gov.br/ar/piblicacoes-relatorios/ (accessed on 28 February 2022).
- ABC, D.d.G. Forte Cheiro de Queimado Preocupa Moradores Da Região. Available online: https://www.dgabc.com.br/Noticia/3705274/forte-cheiro-de-queimado-preocupa-moradores-da-regiao (accessed on 9 April 2021).
- Otto, D.; Molhave, L.; Rose, G.; Hudnell, H.K.; House, D. Neurobehavioral and sensory irritant effects of controlled exposure to a complex mixture of volatile organic compounds. Neurotoxicol. Teratol. 1990, 12, 649–652. [Google Scholar] [CrossRef] [PubMed]
- Sekar, A.; Varghese, G.K.; Ravi Varma, M.K. Analysis of benzene air quality standards, monitoring methods and concentrations in indoor and outdoor environment. Heliyon 2019, 5, e02918. [Google Scholar] [CrossRef] [PubMed]
- Dominutti, P.; Nogueira, T.; Fornaro, A.; Borbon, A. One Decade of VOCs Measurements in São Paulo megacity: Composition, variability, and emission evaluation in a biofuel usage context. Sci. Total Environ. 2020, 738, 139790. [Google Scholar] [CrossRef]
- Zhang, Q.; Sun, L.; Wei, N.; Wu, L.; Mao, H. The characteristics and source analysis of VOCS emissions at roadside: Assess the impact of ethanol-gasoline implementation. Atmos. Environ. 2021, 263, 118670. [Google Scholar] [CrossRef]
- Mao, W.; Wang, W.; Jiao, L.; Zhao, S.; Liu, A. Modeling air quality prediction using a deep learning approach: Method optimization and evaluation. Sustain. Cities Soc. 2021, 65, 102567. [Google Scholar] [CrossRef]
- Liu, Y.; Wang, H.; Jing, S.; Peng, Y.; Gao, Y.; Yan, R.; Wang, Q.; Lou, S.; Cheng, T.; Huang, C. Strong regional transport of volatile organic compounds (VOCs) during wintertime in Shanghai megacity of China. Atmos. Environ. 2021, 244, 117940. [Google Scholar] [CrossRef]
- Xu, H.; Li, Y.; Feng, R.; He, K.; Ho, S.S.H.; Wang, Z.; Ho, K.F.; Sun, J.; Chen, J.; Wang, Y.; et al. Comprehensive characterization and health assessment of occupational exposures to volatile organic compounds (VOCs) in Xi’an, a major city of Northwestern China. Atmos. Environ. 2021, 246, 118085. [Google Scholar] [CrossRef]
- Harrison, R.M.; Allan, J.; Carruthers, D.; Heal, M.R.; Lewis, A.C.; Marner, B.; Murrells, T.; Williams, A. Non-exhaust vehicle emissions of particulate matter and voc from road traffic: A review. Atmos. Environ. 2021, 262, 118592. [Google Scholar] [CrossRef]
- Gao, Y.; Li, M.; Wan, X.; Zhao, X.; Wu, Y.; Liu, X.; Li, X. Important contributions of alkenes and aromatics to VOCs emissions, chemistry and secondary pollutants formation at an industrial site of central Eastern China. Atmos. Environ. 2021, 244, 117927. [Google Scholar] [CrossRef]
- Andrade, M.F.; Kumar, P.; Freitas, E.D.; Ynoue, R.Y.; Martins, J.; Martins, L.D.; Nogueira, T.; Perez-Martinez, P.; Miranda, R.M.; Albuquerque, T.; et al. Air quality in the megacity of São Paulo: Evolution over the last 30 years and future perspectives. Atmos. Environ. 2017, 159, 66–82. [Google Scholar] [CrossRef]
- Bali, K.; Kumar, A.; Chourasiya, S. Emission estimates of trace gases (VOCs and NOx) and their reactivity during biomass burning period (2003–2017) over Northeast India. J. Atmos. Chem. 2021, 78, 17–34. [Google Scholar] [CrossRef]
- World Health Organization. Air Quality Guidelines: Particulate Matter (PM2.5 and PM10), Ozone, Nitrogen Dioxide, Sulfur Dioxide and Carbon Monoxide. 2021. Available online: https://apps.who.int/iris/handle/10665/345329 (accessed on 20 November 2022).
- Lee, S.C.; Chiu, M.Y.; Ho, K.F.; Zou, S.C.; Wang, X. Volatile organic compounds (VOCs) in Urban atmosphere of Hong Kong. Chemosphere 2002, 48, 375–382. [Google Scholar] [CrossRef] [PubMed]
- Tiwari, V.; Hanai, Y.; Masunaga, S. Ambient levels of volatile organic compounds in the vicinity of petrochemical industrial area of Yokohama, Japan. Air Qual. Atmos. Health 2010, 3, 65–75. [Google Scholar] [CrossRef]
- Leuchner, M.; Rappenglück, B. VOC Source-receptor relationships in Houston during TexAQS-II. Atmos. Environ. 2010, 44, 4056–4067. [Google Scholar] [CrossRef]
- Sergio Chiarelli, P.; Amador Pereira, L.A.; Nascimento Saldiva, P.H.d.; Ferreira Filho, C.; Bueno Garcia, M.L.; Ferreira Braga, A.L.; Conceição Martins, L. The association between air pollution and blood pressure in traffic controllers in Santo Andre, São Paulo, Brazil. Environ. Res. 2011, 111, 650–655. [Google Scholar] [CrossRef]
- Zaccarelli-Marino, M.A. Chronic autoimmune thyroiditis in industrial areas in Brazil: A 15-year survey. J. Clin. Immunol. 2012, 32, 1012–1018. [Google Scholar] [CrossRef]
- Zaccarelli-Marino, M.A.; André, C.D.S.; Singer, J.M. Overt primary hypothyroidism in an industrial area in São Paulo, Brazil: The impact of public disclosure. Int. J. Environ. Res. Public Health 2016, 13, 1161. [Google Scholar] [CrossRef]
- Zaccarelli-Marino, M.A.; Alessi, R.; Balderi, T.Z.; Martins, M.A.G. Association between the occurrence of primary hypothyroidism and the exposure of the population near to industrial pollutants in São Paulo State, Brazil. Int. J. Environ. Res. Public Health 2019, 16, 3464. [Google Scholar] [CrossRef] [PubMed]
- United States Environmental Protection Agency. Air Quality Dispersion Modeling—Preferred and Recommended Models. Available online: https://www.epa.gov/scram/air-quality-dispersion-modeling-preferred-and-recommended-models#aermod (accessed on 9 August 2022).
- United States Environmental Protection Agency. Air Quality Dispersion Modeling—Alternative Models. Available online: https://www.epa.gov/scram/air-quality-dispersion-modeling-alternative-models#calpuff (accessed on 28 September 2022).
- Pisso, I.; Sollum, E.; Grythe, H.; Kristiansen, N.I.; Cassiani, M.; Eckhardt, S.; Arnold, D.; Morton, D.; Thompson, R.L.; Groot Zwaaftink, C.D.; et al. The lagrangian particle dispersion model FLEXPART version 10.4. Geosci. Model Dev. 2019, 12, 4955–4997. [Google Scholar] [CrossRef]
- United States Environmental Protection Agency. CMAQ: Community Multiscale Air Quality Modeling System. Available online: https://www.epa.gov/cmaq/frequent-cmaq-questions (accessed on 25 October 2022).
- Bihałowicz, J.S.; Rogula-Kozłowska, W.; Krasuski, A. Contribution of landfill fires to air pollution—An assessment methodology. Waste Manag. 2021, 125, 182–191. [Google Scholar] [CrossRef]
- Venkatram, A.; Brode, R.; Cimorelli, A.; Lee, R.; Paine, R.; Perry, S.; Peters, W.; Weil, J.; Wilson, R. A complex terrain dispersion model for regulatory applications. Atmos. Environ. 2001, 35, 4211–4221. [Google Scholar] [CrossRef]
- Cerqueira, J.S.; de Albuquerque, H.N.; Sousa, F.A.S. Atmospheric pollutants: Modeling with Aermod software. Air Qual. Atmos. Health 2018, 12, 21–32. [Google Scholar] [CrossRef]
- Macêdo, M.F.M.; Ramos, A.L.D. Vehicle atmospheric pollution evaluation using AERMOD. Model at avenue in a Brazilian capital city. Air Qual. Atmos. Health 2020, 13, 309–320. [Google Scholar] [CrossRef]
- Kelleghan, D.B.; Hayes, E.T.; Everard, M.; Curran, T.P. Predicting atmospheric ammonia dispersion and potential ecological effects using monitored emission rates from an intensive laying hen facility in Ireland. Atmos. Environ. 2021, 247, 118214. [Google Scholar] [CrossRef]
- Pirhalla, M.; Heist, D.; Perry, S.; Tang, W.; Brouwer, L. Simulations of dispersion through an irregular urban building array. Atmos. Environ. 2021, 258, 118500. [Google Scholar] [CrossRef]
- Tyovenda, A.A.; Ayua, T.J.; Sombo, T. Modeling of gaseous pollutants (CO and NO2) emission from an industrial stack in Kano City, Northwestern Nigeria. Atmos. Environ. 2021, 253, 118356. [Google Scholar] [CrossRef]
- Pecha, P.; Tichý, O.; Pechová, E. Determination of radiological background fields designated for inverse modelling during atypical low wind speed meteorological episode. Atmos. Environ. 2021, 246, 118105. [Google Scholar] [CrossRef]
- Cimorelli, A.J.; Perry, S.G.; Venkatram, A.; Weil, J.C.; Paine, R.B.; Wilson, R.B.; Russell, R.L.; Peters, W.D.; Brode, R.W. AERMOD: A dispersion model for industrial source applications. part I: General model formulation and boundary layer characterization. J. Appl. Meteorol. Climatol. 2005, 44, 682–693. [Google Scholar] [CrossRef]
- Motalebi Damuchali, A.; Guo, H. Developing an odour emission factor for an oil refinery plant using reverse dispersion modeling. Atmos. Environ. 2020, 222, 117167. [Google Scholar] [CrossRef]
- Hennig, T.A.; Kretsch, J.L.; Pessagno, C.J.; Salamonowicz, P.H.; Stein, W.L. The shuttle radar topography mission. In Digital Earth Moving. Lecture Notes in Computer Science; Westort, C.Y., Ed.; Springer: Berlin/Heidelberg, Germany, 2001; Volume 2181, pp. 65–77. [Google Scholar] [CrossRef]
- Carslaw, D.C.; Ropkins, K. Openair—An r package for air quality data analysis. Environ. Model. Softw. 2012, 27–28, 52–61. [Google Scholar] [CrossRef]
- Cui, Y.; Ji, D.; He, J.; Kong, S.; Wang, Y. In situ continuous observation of hourly elements in PM2.5 in urban Beijing, China: Occurrence levels, temporal variation, potential source regions and health risks. Atmos. Environ. 2020, 222, 117164. [Google Scholar] [CrossRef]
- Kamara, A.A.; Harrison, R.M. Analysis of the air pollution climate of a central urban roadside supersite: London, marylebone road. Atmos. Environ. 2021, 258, 118479. [Google Scholar] [CrossRef]
- Squizzato, R.; Nogueira, T.; Martins, L.D.; Martins, J.A.; Astolfo, R.; Machado, C.B.; Andrade, M.d.F.; Freitas, E.D.d. Beyond megacities: Tracking air pollution from urban areas and biomass burning in Brazil. Clim. Atmos. Sci. 2021, 4, s41612–s41621. [Google Scholar] [CrossRef]
- Vestenius, M.; Hopke, P.K.; Lehtipalo, K.; Petäjä, T.; Hakola, H.; Hellén, H. Assessing volatile organic compound sources in a boreal forest using positive matrix factorization (PMF). Atmos. Environ. 2021, 259, 118503. [Google Scholar] [CrossRef]
- Dominutti, P.A.; Nogueira, T.; Borbon, A.; Andrade, M.d.F.; Fornaro, A. One-year of NMHCs hourly observations in São Paulo Megacity: Meteorological and traffic emissions effects in a large ethanol burning context. Atmos. Environ. 2016, 142, 371–382. [Google Scholar] [CrossRef]
- Chang, J.C.; Hanna, S.R. Air quality model performance evaluation. Meteorol. Atmos. Phys. 2004, 87, 167–196. [Google Scholar] [CrossRef]
- Parrish, D.D.; Trainer, M.; Young, V.; Goldan, P.D.; Kuster, W.C.; Jobson, B.T.; Fehsenfeld, F.C.; Lonneman, W.A.; Zika, R.D.; Farmer, C.T.; et al. Internal consistency tests for evaluation of measurements of anthropogenic hydrocarbons in the troposphere. J. Geophys. Res. 1998, 103, 339–359. [Google Scholar] [CrossRef]
- Carvalho, V.S.B.; Freitas, E.D.; Martins, L.D.; Martins, J.A.; Mazzoli, C.R.; Andrade, M.d.F. Air quality status and trends over the metropolitan area of São Paulo, Brazil as a result of emission control policies. Environ. Sci. Policy 2015, 47, 68–79. [Google Scholar] [CrossRef]
- Valverde, M.C.; Coelho, L.H.; de Oliveira Cardoso, A.; Paiva Junior, H.; Brambila, R.; Boian, C.; Martinelli, P.C.; Valdambrini, N.M. Urban climate assessment in the ABC Paulista Region of São Paulo, Brazil. Sci. Total Environ. 2020, 735, 139303. [Google Scholar] [CrossRef] [PubMed]
- Jiang, Z.; Grosselin, B.; Daële, V.; Mellouki, A.; Mu, Y. Seasonal and diurnal variations of BTEX compounds in the semi-urban environment of Orleans, France. Sci. Total Environ. 2017, 574, 1659–1664. [Google Scholar] [CrossRef] [PubMed]
- Simpson, I.J.; Blake, N.J.; Barletta, B.; Diskin, G.S.; Fuelberg, H.E.; Gorham, K.; Huey, L.G.; Meinardi, S.; Rowland, F.S.; Vay, S.A.; et al. Characterization of trace gases measured over alberta oil sands mining operations: 76 speciated C2-C10 volatile organic compounds (VOCs), CO2, CH4, CO, NO, NO2, NOy, O3 and SO2. Atmos. Chem. Phys. 2010, 10, 11931–11954. [Google Scholar] [CrossRef]
- Ragothaman, A.; Anderson, W.A. Air quality impacts of petroleum refining and petrochemical industries. Environment 2017, 4, 66. [Google Scholar] [CrossRef]
- Atkinson, R.; Arey, J. Atmospheric degradation of volatile organic compounds atmospheric degradation of volatile organic compounds. Chem. Rev. 2003, 103, 4605–4638. [Google Scholar] [CrossRef]
- Braskem. Busca de Produtos. Available online: http://www.braskem.com/busca-de-produtos (accessed on 13 August 2020).
- ABC DO ABC. Available online: https://www.abcdoabc.com.br/abc/noticia/atuacao-braskem-polo-petroquimico-grande-abc-50400 (accessed on 14 August 2020).
- ABC, D.d.G. Moradores Vizinhos Relatam Aumento Da Poluição Do Ar. Available online: https://www.dgabc.com.br/Noticia/3679176/moradores-vizinhos-relatam-aumento-da-poluicao-do-ar (accessed on 16 February 2021).
- Johnson, M.R.; Devillers, R.W.; Thomson, K.A. Quantitative field measurement of soot emission from a large gas flare using sky-LOSA. Environ. Sci. Technol. 2011, 45, 345–350. [Google Scholar] [CrossRef]
- McEwen, J.D.N.; Johnson, M.R. Black carbon particulate matter emission factors for buoyancy-driven associated gas flares. J. Air Waste Manag. Assoc. 2012, 62, 307–321. [Google Scholar] [CrossRef]
- CETESB. Poluição Do Ar: Gerenciamento e Controle de Fontes. Conform. Ambient. Com Requisitos Técnicos E Legais 2017, 2, 254. [Google Scholar]
- Gutiérrez, M.C.; Hernández-Ceballos, M.A.; Márquez, P.; Chica, A.F.; Martín, M.A. Identification and simulation of atmospheric dispersion patterns of odour and VOCs generated by a waste treatment plant. Atmos. Pollut. Res. 2023, 14, 101636. [Google Scholar] [CrossRef]
- Lin, Y.C.; Lai, C.Y.; Chu, C.P. Air Pollution diffusion simulation and seasonal spatial risk analysis for industrial areas. Environ. Res. 2021, 194, 110693. [Google Scholar] [CrossRef] [PubMed]
- Parveen, N.; Siddiqui, L.; Sarif, N.; Islam, S.; Khanam, N.; Mohibul, S. Industries in Delhi: Air pollution versus respiratory morbidities. Process. Saf. Environ. Prot. 2021, 152, 495–512. [Google Scholar] [CrossRef]
- Arulprakasajothi, M.; Chandrasekhar, U.; Yuvarajan, D.; Teja, M.B. An analysis of the implications of air pollutants in Chennai. Int. J. Ambient. Energy 2020, 41, 209–213. [Google Scholar] [CrossRef]
- Bergstra, A.D.; Brunekreef, B.; Burdorf, A. The Influence of Industry-Related Air Pollution on Birth Outcomes in an Industrialized Area. Environ. Pollut. 2021, 269, 115741. [Google Scholar] [CrossRef] [PubMed]
- Michalik, J.; Machaczka, O.; Jirik, V.; Heryan, T.; Janout, V. Air pollutants over industrial and non-industrial areas: Historical concentration estimates. Atmosphere 2022, 13, 455. [Google Scholar] [CrossRef]
- Tadano, Y.S.; Mazza, R.A.; Tomaz, E. Modelagem Da Dispersão De Poluentes Atmosféricos No Município De Paulínia (Brasil) Empregando O Iscst3. Mecánica Comput. 2010, XXIX, 8125–8148. [Google Scholar]
- Kawashima, A.B.; Martins, L.D.; Rafee, S.A.A.; Rudke, A.P.; de Morais, M.V.; Martins, J.A. Development of a spatialized atmospheric emission inventory for the main industrial sources in Brazil. Environ. Sci. Pollut. Res. 2020, 27, 35941–35951. [Google Scholar] [CrossRef]








Disclaimer/Publisher’s Note: The statements, opinions and data contained in all publications are solely those of the individual author(s) and contributor(s) and not of MDPI and/or the editor(s). MDPI and/or the editor(s) disclaim responsibility for any injury to people or property resulting from any ideas, methods, instructions or products referred to in the content. |
© 2023 by the authors. Licensee MDPI, Basel, Switzerland. This article is an open access article distributed under the terms and conditions of the Creative Commons Attribution (CC BY) license (https://creativecommons.org/licenses/by/4.0/).
Share and Cite
Coelho, M.S.; Zacharias, D.C.; de Paulo, T.S.; Ynoue, R.Y.; Fornaro, A. Air Quality Impact Estimation Due to Uncontrolled Emissions from Capuava Petrochemical Complex in the Metropolitan Area of São Paulo (MASP), Brazil. Atmosphere 2023, 14, 577. https://doi.org/10.3390/atmos14030577
Coelho MS, Zacharias DC, de Paulo TS, Ynoue RY, Fornaro A. Air Quality Impact Estimation Due to Uncontrolled Emissions from Capuava Petrochemical Complex in the Metropolitan Area of São Paulo (MASP), Brazil. Atmosphere. 2023; 14(3):577. https://doi.org/10.3390/atmos14030577
Chicago/Turabian StyleCoelho, Monique Silva, Daniel Constantino Zacharias, Tayná Silva de Paulo, Rita Yuri Ynoue, and Adalgiza Fornaro. 2023. "Air Quality Impact Estimation Due to Uncontrolled Emissions from Capuava Petrochemical Complex in the Metropolitan Area of São Paulo (MASP), Brazil" Atmosphere 14, no. 3: 577. https://doi.org/10.3390/atmos14030577
APA StyleCoelho, M. S., Zacharias, D. C., de Paulo, T. S., Ynoue, R. Y., & Fornaro, A. (2023). Air Quality Impact Estimation Due to Uncontrolled Emissions from Capuava Petrochemical Complex in the Metropolitan Area of São Paulo (MASP), Brazil. Atmosphere, 14(3), 577. https://doi.org/10.3390/atmos14030577

