Abstract
Thermal comfort in cities is an influential factor for citizens’ wellbeing and life quality. Urban microclimate studies have gained popularity following increasing urbanization trends and global climate change in recent years. Urban fabric and morphology in traditional cities represent a unique pattern both spatially and climatically. However, few studies have investigated traditional cities’ urban thermal comfort conditions. Therefore, this study aimed to assess the thermal comfort in different subspaces of Algiers Casbah’s historic urban fabric, which falls in the hot Mediterranean climate (Csa). This research evaluated the human thermal sensation by applying the physiological equivalent temperature (PET) index. The methodology used was a mixed approach, including field measurements, calculations, and a survey questionnaire. The results indicate the presence of a high-stress level during the measurement periods, and notable differences between the subspaces in January (ΔPETMax.Jan = 3.7 °C) and August (ΔPETMax.Aug = 2.2 °C). The highest discomfort was recorded in spaces with collapsed buildings, especially during the hot hours of the day. The findings also highlight a strong impact of the sky view factor on the mean radiant temperature (Tmrt) and the physiological equivalent temperature (PET). The study discusses recommendations and ways to improve the design of outdoor spaces and relieve heat stress in the streets of traditional cities. Finally, this work helps urban managers and heritage conservators in urban rehabilitation policies concerning outdoor microclimate improvement.
1. Introduction
According to the Intergovernmental Panel on Climate Change (IPCC) [1,2], urbanization and global climate change are two significant factors affecting cities’ climates. Indeed, today’s world is experiencing a considerable acceleration in terms of urbanization; more than 50% of the world’s population lives in an urban area, and this proportion is expected to increase. By 2050, 70% of the population will live in towns and cities [3]. Through different mechanisms, these climatic changes affect human health, tourism, and outdoor activities [4,5]. Several studies have investigated the impacts of urbanization on the urban climate and human thermal comfort [6,7,8]. Therefore, ensuring wellbeing and comfort in the city is an essential indicator for Sustainable Development Goal 11 [9] regarding sustainable cities and human settlements, established by the United Nations General Assembly in 2015.
Air temperature, relative humidity, and solar radiation affect thermal comfort in urban climates [10]. The study by Nikolopoulou [11] revealed that air temperature, wind speed, and sunshine are the most critical parameters for outdoor comfort and influence thermal sensation. More recent research defines outdoor pedestrian thermal comfort by both meteorological (air temperature, relative humidity, wind speed, and mean radiant temperature) and personal factors (clothing type and activity level) [12]. Urban geometry, defined by the aspect ratio, sky view factor, street orientation, and neighborhood configuration, greatly impacts outdoor thermal comfort [13,14].
Several studies [15,16] entailing field measurements and simulations have highlighted the influence of urban morphology on the thermal comfort of inhabitants. These studies can be classified into two main groups. First, some studies have investigated the effect of urban morphology on the outdoor microclimate in contemporary and modern urban cities. Second, other studies have investigated the influence of urban morphology on the outdoor microclimate in historic urban cities.
Most of the studies that have evaluated outdoor thermal comfort have been carried out in modern cities. Modern cities mean the modern compact city is identified as a high-density and mixed-use pattern [17], with fragmented and discontinuous morphology. Historically, the development of transportation pushes cities beyond their limits and hinders a fragmented and discontinuous urban fabric [18]. Modern cities are presented as a patchwork of very diverse urban forms and are known as the postliberal model, such as Paris, Barcelona, Vienna, and Amsterdam. Some cities are a result of the urban planning of the CIAM, such as Brasilia, and some have skyscrapers in the central business district, such as Singapore, Toronto, and Chicago.
Several studies have been carried out on modern urban typologies [19,20,21,22,23,24]. Table A1 presents the research investigating the correlation between outdoor thermal comfort and urban morphology in modern cities. Givoni investigated the urban design effects on the urban climate and the impact of green areas. Similarly, Ratti studied solar radiation and its height-to-width ratio (H/W). The findings showed that large courtyards are environmentally adequate in cold climates. Steemers [25] proposed six archetypal generic urban forms for London and compared the incidence of solar radiation, built potential, and daylight admission. Johanssen [20] meanwhile, investigated the influence of urban geometry on outdoor thermal comfort in Fez, Morroco. Taleghani [26] evaluated the outdoor thermal comfort within five different urban forms using the physiological equivalent temperature (PET) based on real models as well as simulation (Rayman, ENVI-met).
In life quality studies, Kruger [13] studied the impact of urban geometry on outdoor thermal comfort and air quality through the sky view factor, PET, and Tmrt. Jamei [12] explored the impact of urban geometry and pedestrian level greening on outdoor thermal comfort. The findings showed that the main pedestrian level green infrastructures are urban geometry, street trees, and city parks. Venhari and He [27,28] studied the significant relationship between the sky view factor and outdoor thermal comfort in Isfahan, Iran, and Beijing, China. Lai [29] investigated the mitigating strategies to improve thermal comfort in urban outdoor spaces. The findings demonstrated that urban geometry changes the radiative and convective heat transfer in outdoor areas. Other studies [30,31,32] have explored specific climatic parameters, such as the oasis effect or the wind cooling potential on outdoor thermal comfort. These studies have dealt with the link between the urban morphology of modern cities and different climate parameters, indexes, and mitigation strategies. At the same time, they highlighted their impact on outdoor thermal comfort.
On the other hand, few studies have addressed the issue of outdoor thermal comfort in traditional urban morphologies. Table A2 summarizes the studies on outdoor thermal comfort in traditional urban morphologies, which are characterized by narrow and shallow street corridors, resulting in closer public interactions and closed private spaces [33]. The urban morphology of these cities consists of an assemblage of houses’ courtyards (patios) linked by a hierarchical street network [34]. The form was almost completely homogeneous, organized by a system of open spaces and pathways present at all scales [35]. The main characteristics of traditional urban fabric are inward planning, the use of local materials, and the low H/W ratio [36]. Historic centers have mostly undergone reconfigurations at the city limits, thus making this part of the traditional fabric “hybrid” [37].
Some studies have been carried out on the impact of urban morphology on these traditional urban fabrics. Ali-Toudert et al. [38,39] first investigated the old desert city of Gherdaia, Algeria, and outdoor thermal comfort in a hot and dry climate in relation to urban geometry. At the same time, they studied the development of comfortable street-scale microclimates through design, aspect ratio (H/W), and solar orientation. These studies demonstrated that building materials associated with deep streets play a decisive role in mitigating heat stress in the daytime. In addition, traditional constructions’ high and heavy walls provide more shading and more heat storage, leading to lower surface temperatures. Johansson and Achour [40,41] studied the street canyon microclimate in traditional neighborhoods in Fez, Morocco, and Tunis, Tunisia, located in the Mediterranean climate, where they found that the large mass of the traditional fabric contributes to a more stable outdoor thermal comfort.
In his studies on the city of Cairo, Egypt, Elnabawy [42,43] evaluated the microclimate of the traditional urban form of Fatimid city through measurements and simulation to develop a micro-scale numerical model. Matallah and Sharmin [14,44] studied the variation in microclimatic conditions in Biskra, Algeria, and Dhaka, Bangladesh. Within several urban fabrics (traditional and new geometries) using ENVI-met software and different weather datasets, Lucchi [45] carried out a cluster analysis, describing the influence of climatic parameters on the design of city morphology and building envelopes. Benchekroun [46] investigated the parameters that influence the microclimate of houses in the Casbah of Algiers. Other studies [47,48,49] have investigated attenuation and mitigation strategies in historical urban canyons. In this sense, the bioclimatic aspect and the impact of innovative materials on outdoor thermal comfort have been studied in Porto, Portugal, and Rome, Italy.
Although there have been studies that dealt with the morphological and bioclimatic specificities of traditional urban fabrics and outdoor thermal comfort, their number remains low compared to studies on contemporary cities, as demonstrated in Figure 1. Nevertheless, several studies [38,41,50] have quantified outdoor thermal comfort in traditional urban morphologies, specifically in the Mediterranean climate, following an empirical approach using PET and Tmrt.
Figure 1.
Review of the literature on outdoor thermal comfort in traditional and modern cities. Studies in traditional cities: 1—Porto, Portugal, [47], 2—Rome, Italy, [48], 3—Beni Isguen, Algeria, [39], 4—M’zab, Algeria, [38], 5—Biskra, Algeria, [44], 6—Cairo, Egypt, [42], 7—Alexendria, Egypt, [43], 8—Tunis, Tunisia, [41], 9—Fez, Morocco, [40], 10—Dhaka, Bengladesh, [14]. Studies in modern cities: 11—Colombo, Sri Lanka, [7], 12—Goteborg, Sweden, [24], 13—Rotterdam, Netherlands, [26], 14—Arnhem, Netherlands, [26], 15—De Bilt, country, [26], 16—Curitiba, Brasil, [13], 17—Ardebil, Iran, [31], 18—Gordan, country, [31], 19—Tolga, Algeria, [30], 20—Tinos, Greece, [51], 21—Annaba, Algeria, [52], 22—Constantine, Algeria, [23], 23—Sydney, Australia, [53], 24—Athenes, Greece, [54], 25—Crete, Greece, [55], 26—Rome, Italy, [56], 27—Athens, Greece, [57], 28—Lisbon, Portugal, [58], 29—Melbourne, Australia, [59], 30—Victoria, Australia, [60], 31—Santa Maria, Brasil, [13], 32—Perugia, Italy, [50], 33—Konya, Turkiye, [61].
This study was motivated by the limited knowledge regarding microclimate characterization in historical urban fabrics. This study investigated outdoor urban comfort through a validated empirical mixed approach to shed light on the microclimatic specificities of these urban fabrics. More specifically, the study examined the outdoor thermal comfort conditions in the subspaces of a complex urban morphology in a Mediterranean climate. The results of this research are significant because they are a part of an incremental effort to bridge the knowledge gap regarding the influence of traditional urban morphology on thermal comfort. This work could serve as a basis to aid urban designers and urban managers to obtain answers for future environmental strategies to be adopted to renovate and rehabilitate their cities’ fabrics.
Evaluating the existing outdoor thermal comfort is imperative for the characterization of this morphological typology. This study aimed to quantify the microclimate in different subspaces of the Casbah of Algiers. More specifically, the following questions were answered:
- What are the thermal comfort levels in the historical urban fabric?
- How much do the subspaces of historical urban fabrics affect the subjective and objective effects of microclimatic thermal comfort?
- To what extent does the sky view factor affect the outdoor thermal comfort within the Casbah of Algiers?
- What is the effect of the sea breeze on the outdoor thermal comfort inside a historical urban fabric?
In this context, our study was developed to characterize the traditional urban space and characterize the study area as the first step in urban rehabilitation. This approach can be generalized to other cities with similar traditional urban morphology, including Fatimid Cairo (Egypt), Aleppo center (Syria), Sidon historic center (Lebanon), Medina of Tunis (Tunisia), and Medina of Fez (Morocco).
The second benefit of this work is its role in improving the occupants’ quality of life. Indeed, the characterization of the outdoor thermal comfort and the thermal stress range will allow for identifying the hotspots in traditional cities. Consequently, different urban managerial strategies can improve human interaction and revive public spaces. Achieving thermal comfort in outdoor spaces will encourage leisure activities, such as restaurants, cafeterias, and hotels. In addition, local citizens will benefit from outdoor activities and an overall improved quality of life in the traditional built environment.
This research makes it possible to highlight the thermal comfort in a specific urban morphology. Indeed, a literature review revealed a scarcity of existing knowledge regarding traditional cities. It is necessary to evaluate the current state of the streets by following an empirical approach to propose targeted solutions. This study can serve as an input for urban planning decision-making and guide urban designers and managers of traditional fabrics.
2. Materials and Methods
A conceptual framework was developed that summarizes and visualizes the research methodology of this study. As shown in Figure 2, the conceptual study framework is based on three methods, combining a literature review, in situ measurement of microclimatic data, and a calculation process to assess the thermal comfort levels in the urban fabric. Each step is described in detail in Section 2.1, Section 2.2 and Section 2.3.
Figure 2.
Study conceptual framework.
2.1. Literature Review
The literature review included recent publications whose purpose is to evaluate the outdoor thermal comfort zone; however, it was focused on the most relevant publications regarding the Mediterranean climate. The review was based on the Scopus Web of Science and Google scholar, resulting in more than 60 publications. The literature review section included three mains concepts—outdoor thermal comfort, assessment methods, and the Mediterranean climate. This article is mainly focused on studies that have been carried out using objective measurements through instrumentation (meteorological monitoring) from 2010 to 2022 and subjective analysis through a questionnaire. Other studies that have been carried out with different approaches have been excluded. The results of the literature review are presented in Section 2.
2.2. Characteristics of the Old Neighborhood of the Casbah of Algiers
2.2.1. Site Criteria
The study was conducted in the Casbah of Algiers, situated in the north of Algeria (36°47′00″ N, 3°03′37″ E) at an elevation of 107 m (Figure 3). The Casbah is the historic center of the city of Algiers and a historic neighborhood listed as a world heritage site by UNESCO (United Nations Educational, Scientific and Cultural Organization) since 1992. It represents a type of morphology of traditional Islamic architecture construction. The building materials are generally local (terracotta, lime) [62,63]. The upper part of the Casbah overlooks the sea; the buildings are dense and the streets winding. There are residential areas with local shops and oratories. The lower part is adjacent to the coast [64], and the layout of the roads is more regular, following an orderly route. Its proximity to the city gates favors the concentration of its economic, spiritual, political, and administrative functions. The urban space is subdivided into several subspaces, which is one of the characteristics of the traditional urban space (Figure 3). For this study, the Permanent Plan for the Safeguarding and Enhancing Safeguarded Sectors PPSMVSS) for the Casbah was consulted at the National Office for the Management and Exploitation of Protected Cultural Assets (OGEBC) and several google maps and satellite images. Our study was focused on the residential area of the Upper Casbah.
Figure 3.
Location of the historic urban fabric studied in the territory of the city of Algiers.
Based on the climatic classification found in the literature [65], Algeria has five climate zones according to the Koppen classification [66] and seven climatic zones according to the heating and cooling degree days classification approach [67]. According to the meteorological station “Algiers 603900” the estimated number of heating degree days during the last 30 years is 1440 HDD, and the number of cooling degree days is 956 CDD. The average high temperature registered is 35 °C on hot days, with temperatures soaring up to 42 °C, and the lowest is 6 °C, with temperatures on cold nights reaching 0 °C. For climatic classification, according to Köppen–Geiger, Algiers is of the Mediterranean climate type (Csa, hot summer).
2.2.2. Morphological Characteristics of the Conducted Stations
Several measurement points were taken to assess outdoor thermal comfort and determine the impact of the sky view factor on comfort. First, several visits to the site were made to investigate the urban fabric and screen the neighborhood’s subspaces, where about forty points were measured. Then, the 14 most representative and significant subspaces were measured (Figure 4), depending on the street type, width, length, and orientation. The urban morphological details are explained in Table 1 and summarized in Figure 4. The methodology followed for the in situ measurements is explained in Section 2.2.3, Section 2.2.4, Section 2.3.1, Section 2.3.2, Section 2.3.3 and Section 2.3.4.
Figure 4.
Map of the selected points in the Upper Casbah.
Table 1.
Morphological characteristics of sites and measurement points.
2.2.3. Morphological Characteristics of the Conducted Stations
The collected data were obtained from in situ measurements and a field survey. The in situ measurement protocol was designed to measure microclimate variables, including air temperature (Ta), relative humidity (RH), wind speed (Ws), and surface temperature (TS); this last one was necessary to calculate the Tmrt. The measurements were taken using the Testo 175H1, a reliable and validated instrument for data acquisition (Table 2). All the instruments used were newly acquired, mainly for the study.
Table 2.
Instruments used for the study: (a) fish-eye camera; (b) Testo 175H1 temperature/humidity data logger; (c) PEAKMETER Anemometer; (d) Testo 830 Infrared Thermometer.
Sensors were kept at a 1.40 m height from the ground to avoid the effect of surface contact [68]. The Testo 830 Infrared Thermometer was used for surface temperature measurements (ground and walls). Table 2 lists the names, ranges, and accuracy of the instruments used in the monitoring study. Meteorological measurements were conducted for a period of 7 days twice a year, once in winter (26 January to 1 February) and the other in summer (5 to 11 August). The measurements took place every two hours, from 6 a.m. to 8 p.m. Fish-eye images were taken to measure the degree of openness to the sky. Processing of the photos and the calculation of the SVF will be done by Rayman software.
2.2.4. Survey Questionnaire
A survey was carried out for the inhabitants and visitors of the Casbah to determine the subjective feeling of comfort. Our questionnaire was carried out during the January period on a sample of 60 people, including 44 men and 16 women, 40 residents, and 20 tourists visiting the Casbah. It was adapted according to various studies conducted on outdoor thermal comfort (Table 3). The field survey was performed in the same periods as the meteorological measurements. First, the participants were asked personal questions about their age, height, and weight, as well as the state of their health and their clothing. Then, they were asked questions about the meteorological parameters that influence their daily comfort, with a 5-point scale of importance. They were asked about their satisfaction regarding different parameters (air temperature, relative humidity, wind, solar radiation, and shading) in the subspaces, with an ASHRAE 7-point scale for pleasantness. Finally, they classified the proposed outdoor spaces from the most to the least comfortable. The survey is accessible in the dataset [69].
Table 3.
List of studies that engaged subjective thermal perception with a questionnaire.
2.3. Calculation of Comfort
In this section, we describe the steps in the data processing to calculate the PET index and the Tmrt for the quantification of thermal comfort.
2.3.1. Measured Data
The shared dataset [74] gathered meteorological data measured during the referenced weeks. Figure A1 shows the distribution of the average daily air temperature in the measurement points. Table 4 is an example of the measured data summarized in the figure. Fish-eye images used in the data inputs to calculate the sky view factor, taken by Canon EOS 1100D cameras, are summarized in Figure 5 according to the order of the measurement points.
Table 4.
Example of measured meteorological data.
Figure 5.
Fisheye images at different measurement points.
2.3.2. Calculation Process (Rayman Model)
Rayman pro 3.1 Beta software is a micro-scale radiation model developed at the Chair for Meteorology and Climatology [75,76]. The program was used to calculate the mean radiant temperature (Tmrt) and the physiologically equivalent temperature (PET) at the fourteen selected points. The Tmrt was calculated by using the surface temperature and the air temperature in Rayman. For the SVF calculation, it was necessary to process the fish-eye images with GNU Image Manipulation Program (GIMP) 2.10 on a square shape with high resolution (300 dpi) and transfer it into the Rayman software [30].
To proceed with the calculation in Rayman, it was necessary to select the day and time for the start of the in situ measurements. The main input parameters were air temperature (TA), relative humidity (RH), wind speed (Ws), and surface temperature (Ts). Rayman then automatically determined the mean radiant temperature (Tmrt) and proceeded to the calculation of the PET values. Personal metabolism data were based on the standard case described by Taleghani [26] for a normal 35-year old male person with a height of 1.75 m, weight of 75 kg, and a metabolic rate of 80 Watt. An activity level of 80 W arises when a normal person is walking at 1.2 m/s.
All meteorological parameters and SVF were inserted as input data in the Rayman model to calculate the physiologically equivalent temperature (PET). The geographical data, (36°47′00″ N, 3°03′37″ E) and an elevation of 107 m, were also used in the study.
2.3.3. Calculation of Tmrt
The mean radiant temperature (Tmrt) is an essential meteorological input parameter for the human energy balance. Therefore, the most substantial influence is on thermo-physiologically significant indexes such as the physiological equivalent temperature (PET) [77]. In this study, a globe temperature sensor was not used. According to the Rayman model, the mean radiant temperature was calculated through metrological and site-specific parameters, as described by Matzarakis [78].
The mean radiant temperature was calculated by Rayman software using the following parameters: air temperature, relative humidity, and surface temperature, as well as fish-eye images. This was done based on the meteorological parameters and the location of interest. The validation of the results of the Rayman calculation is in agreement with similar results obtained from experimental studies [75]. This is why Rayman software, as described in all papers by Matzarakis, does not use the globe temperature for calculating the mean radiant temperature.
2.3.4. Calculation of PET Index
The most critical factors of PET are the mean radiant temperature (Tmrt) (°C) [79], wind speed (m/s), and air temperature (°C) [78]. The relative humidity RH (%) only shows a very weak impact on PET [80]. The thermal impact of the actual environment on PET was assessed through the human energy balance, as shown in Equation (1), based on the MEMI model “Munich Energy Balance Model for Individuals” [81].
- M: metabolic heat production
- ESK: latent heat (skin)
- W: mechanical work
- ERE: latent heat (respiratory system)
- R: fluxes of radiation
- ESW: latent heat sweating
- C: sensible heat
- S: heat storage
The PET results were classified into nine classes of thermal perception (very cold, cold, cool, slightly cool, comfortable, slightly warm, warm, hot, and very hot).
3. Results
3.1. Thermal Comfort and Heat Stress Level Assessment
The assessment of the PET shows that during the studied period, there were seven different thermal comfort zones (Table 5 and Table 6), including cool, slightly cool, neutral, slightly warm, warm, hot, and very hot, based on the PET ranges for the Mediterranean climate [82] (Table 7). Table 5 shows almost a similar evolution for all measuring points. In January, the PET temperatures were stable from 6:00 a.m. to 8:00 a.m., and from 6:00 p.m. to 8:00 p.m. The PET values increased during the daytime from 8:00 a.m. to 12:00 p.m. After midday, from 1:00 p.m. to 6:00 p.m., the PET temperatures decreased, with values in the neutral zone of thermal comfort, as well as some values of slightly warm (26–28 °C) and warm values (>28 °C), creating slight and moderate heat stress (points 2, 3, 6, 7, and 10) at 12:00 p.m.
Table 5.
Assessment of the outdoor thermal comfort level stress via PET index in the 14 study cases in January 2021.
Table 6.
Assessment of the outdoor thermal comfort level stress via PET index in the 14 study cases in August 2021.
Table 7.
PET range for Middle/Western Europe and the adjusted PET for the Mediterranean climate.
The assessment of the PET shows extremely low temperatures at points 8 (14.9 °C) and 12 (14.5 °C) at 8:00 p.m. and at point 6 (14.8 °C) from 6:00 a.m. to 8:00 a.m. and 6:00 p.m. to 8:00 p.m., creating a period of discomfort called moderate cold stress. Measurement point 6 was in the zones of thermal stress most of the time and the most affected by temperature variations.
Table 6 shows two phases in the variations of PET in August’s values and an overall similarity. From 6:00 a.m. to 12:00 a.m. there was an increase in the values at all points, and from 2:00 p.m. to 8:00 p.m., a decrease in the PET. There was an apparent period of discomfort (>28 °C) throughout the day (from 8:00 a.m. to 8:00 p.m.), with only measurement point 6 at 6:00 a.m. (24.8 °C) being in the neutral thermal comfort zone.
The results demonstrate an extreme heat stress level (>36 °C) from 10:00 a.m. to 4:00 p.m. at all points studied. The peak zone of over 40 °C was reached at midday hours (12:00 p.m. to 2:00 p.m.), except for the measurement points 5, 9, and 13. It should be noted that the extreme temperatures are in measurement point 6 with the lowest temperature (24.8 °C at 6:00 a.m.) and the peak temperature (42.7 °C at 12:00 p.m.).
3.2. Assessment of Comfort in Historical Cities
3.2.1. Assessment of Tmrt Values
The Tmrt values are very sensitive to solar radiation hours. Figure 6 shows the mean radiant temperature in January and August in the 14 measurement points. In January, three phases are observed in the graph. First, there were stable temperatures during sunrise and sunset (6:00 a.m. to 8:00 a.m.; 6:00 p.m. to 8:00 p.m.), then an increase in Tmrt values all morning long (8:00 a.m. to 12:00 p.m.). Lastly, there was a drop in temperature during the afternoon (2:00 p.m. to 6:00 p.m.). However, in August, the graph shows two phases—an increase in temperature from 6:00 a.m. to 12:00 p.m. and a decrease from 2:00 p.m. to 8:00 p.m. The highest values in January (35 °C) were recorded at points 2 and 6 at 12:00 p.m. and at point 7 at 2:00 p.m. In August, extreme values (>50 °C) were recorded at points 6 and 12.
Figure 6.
The average daily mean radiant temperature distribution at the 14 points studied in January (a,b) and August (c,d) 2021.
In January, the curves of the measured points are parallel with a maximum interval of 3 °C. Curve 6 presents the specific variations strongly affected by the daylight hours, going from the coldest point (12 °C) at 6:00 a.m., to the hottest point (35.5 °C) at 12:00 p.m. For August, all the curves show the same development, except for points 6 and 12, which recorded the highest temperatures during the day (8:00 a.m. to 6:00 p.m.). Figure 6 shows that point 6 is the least comfortable in January, with extremely low temperatures, and in August, with temperatures above average by ≈4 °C.
3.2.2. Subjective Comfort
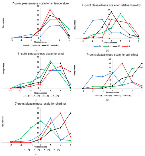
According to our observations and based on 60 respondents, the air temperature and humidity have the most significant impact on daily comfort (Figure A2). Figure A3 shows the point pleasantness scale in the subspaces for different parameters (air temperature, humidity, wind speed, shading, and sun effect). Point 5 stands out with the most positive votes on the pleasantness scale. Figure 7 shows the users’ preferences for subspaces. As stated by the results of the votes, the subspaces are distributed into three categories—the most comfortable (ranging from 1 to 2), moderately comfortable (ranging from 3 to 6), and the least comfortable (7 to 9).
Figure 7.
Users’ feeling of comfort according to the type of space in Casbah of Algiers.
Spaces that emerged to be the most comfortable were the points with a low sky view factor (5, 7, and 9), with more than 15 votes ranking 1/9 or 2/9. On the other hand, the measurement points 6 and 10, with large openings to the sky, were the most uncomfortable for the users, with the lowest ranking (over 25 votes for each at the last position).
3.3. Sky View Factor Effect on PET and Tmrt
The assessment of PET and Tmrt depending on the SVF during different day hours is illustrated in Figure 8. In January, the PET values were higher than the Tmrt values during sunrise (6:00 a.m. to 8:00 a.m.). During daylight (10:00 a.m. to 4:00 p.m.), the Tmrt values were greater than those of the PET (°C). The curves remain parallel despite a significant difference (8 °C), which was recorded at midday (12:00 p.m.–2:00 p.m.) (Figure A4). Thus, the mean radiant temperature is very impacted by the sun since its values increase significantly during daylight.

Figure 8.
Assessment of PET and Tmrt levels at 14 studied points during January (a,c,e,g,i,k,m,o) and August 2021 (b,d,f,h,j,l,n,p) from 6:00 a.m. to 8 p.m.
In August, the assessment represents two distinct thermal periods of the day. The first period was observed during sunrise and sunset (6:00 a.m. and 8:00 p.m.), and the second was during daylight (8:00 a.m. to 6:00 p.m.). The PET and Tmrt values were too close in the first period (6:00 a.m. and 8:00 p.m.), as seen in Figure A4 In the middle of the day (from 8:00 a.m. to 6:00 p.m.), the values of Tmrt were much higher than those of the PET (±7 °C), but the curves are parallel, which demonstrates a stable difference throughout the day but with an increasingly significant variation in the middle of the day (12:00 p.m. and 2:00 p.m.).
3.4. Effect of the Sea Breeze on Outdoor Thermal Levels
This section reports on the impact of wind and relative humidity on overall comfort in the Casbah of Algiers. According to the shared dataset [74], very low wind speed measurements were noticed inside the study site, with averages of <0.5 m/s in almost all of the subspaces. Given the proximity of the sea, a strong impact on relative humidity is highlighted, with values reaching more than 70% in January and almost 80% in August.
A correlation analysis was conducted to examine the significance of the impact of relative humidity on outdoor thermal comfort (PET) under different combinations of external meteorological conditions and urban morphological configurations (14 measurement points). According to Figure 9, there was a very important correlation rate between the values of the relative humidity and the PET, with R2 = 0.81 in January, where we noticed a gradual decrease in the relative humidity with the increase in temperature at midday.
Figure 9.
Overall correlation between relative humidity and PET at the 14 points studied in January (a) and August (b).
In August, the correlation was R2 = 0.79, with relative humidity values of more than 75%, recorded mainly at the beginning of the day (6:00 a.m.) and in the evening (8:00 p.m.), with a drop in humidity values at midday at the points measured.
4. Discussion
The present study was conducted to assess the outdoor thermal comfort in the historic fabric of the Casbah of Algiers and the impact of the urban subspaces on microclimates in Mediterranean climatic conditions. The study was focused on investigating the thermal comfort parameters and values at 14 measurement points during January and August.
4.1. Major Findings and Recommendations
Our study dealt with the existing microclimatic variations in the subspaces of the Casbah of Algiers. Firstly, covered passages and streets with low SVF present the best performances of thermal comfort across all the measurement periods. Indeed, in the two subspaces, solar radiation control played a decisive role in mitigating and protecting from heat perception in hot seasons. Indeed, the high level of shade and the punctual winds made it possible to reduce the temperature by up to 2 °C more than the other subspaces. During cold periods, covered passages store heat by the destratification of the air, allowing these subspaces to have warmer temperatures. In fact, a difference that reached ΔPETMax.Jan = 3.7 °C was recorded between covered passages and other subspaces. These findings align with the work of Ali-Toudert [38], Andreou [51], and Elnabawy [43] on the influence of the urban morphology of traditional cities in creating urban microclimates.
Secondly, the measurement points 6 and 12 (see Figure 4) present the most uncomfortable points during January and August (PETJan.P6 = 19.1 °C, PETJan.P12 = 18.8 °C) (PETAug.P6 = 35.6 °C, PETAug.P12 = 36.1 °C). Indeed, for point 6, these significant variations are justified by the size of the square. The wide opening to the sky in this space is a result of the collapse of buildings, which induces strong solar radiation during the day and increases the place’s temperature considerably. The rehabilitation of collapsed houses in this space is strongly recommended to avoid these high-temperature variations and thus, find a comfortable microclimate in this area. For point 12, the north–south orientation benefits from the sun all day long. In addition, the high sky view factor of the street and its multiple intersections increase the sunshine of the street canyon throughout the day. A suspended vegetation cover is recommended in this type of street to increase its shade and, thus, reduce the perceived temperature.
Thirdly, the values of the mean radiant temperature are related to the sky view factor; in January, a negative correlation exists (r = −0.96). Points with a low opening to the sky, such as at points 4, 11, and 14, had the highest temperatures and are, therefore, comfortable in winter (TmrtP4 = 23.7 °C, TmrtP11 = 23.7 °C, TmrtP14 = 24.0 °C). At the same time, the points with a high opening to the sky, such as points 6, 12, and 13, had the lowest temperatures (TmrtP6 = 20.5 °C, TmrtP12 = 22.1 °C, TmrtP13 = 22.5 °C). Indeed, this is explained because the points with a low sky view factor store heat and emit it in cold weather. According to [84], when the correlation is negative, this means that during this time, surfaces start to release the heat back into the atmosphere. In August, the existing correlation is positive (r = 0.82). The higher the SVF, the higher the mean radiant temperature is. In summer, the solar radiations are longer and, therefore, as was also demonstrated in the study of [85], the more open an area is will result in receiving more solar radiation. This results in a higher Tmrt (i.e., TmrtP6 = 40.7 °C, TmrtP12 = 41.2 °C, TmrtP7 = 39.6 °C). On the contrary, areas with a low sky view factor can maintain temperatures in August at a cool level (TmrtP1 = 37.9 °C, TmrtP4 = 37.8 °C, TmrtP5 = 37.7 °C). According to [86], shading is the most important factor in providing a cooler temperature. These findings align with the work of Wang and Venhari [27,87] on the role of the sky view factor in human thermal comfort and heat stress. We recommend increasing shading in areas with a high sky view factor by rehabilitating deteriorated areas or by introducing specific shading strategies to improve the inhabitants’ urban thermal comfort.
Fourthly, we refer to the insignificant effect of the sea breeze despite the proximity between the Casbah of Algiers and the sea. Indeed, the wind values recorded during the two measurement campaigns remained relatively low, which induced the concentration of a high rate of humidity in the measured streets, except for the PET values of measurement points 12 and 13. Although the streets are adjacent, with a similar height and width ratio (H/WP12 = 1.82, H/WP13 = 1.89), the ΔPET between them is 2.2 °C. The value is linked to the orientation (point 12: north–south, point 13: east–west) and to the average wind velocity (WsAvg.P12 = 0.20 m/s; WsAvg.P13 = 0.48 m/s), as well as to the presence of suspended vegetation in the entrances of the street at point 13. We recommend conducting a more in-depth study of the impact of traditional urban morphology on wind flows.
Finally, the results of our survey campaign are consistent with the outdoor thermal comfort calculations. Figure A2 shows that relative humidity is the parameter that most influences the comfort of the inhabitants. In addition, according to the survey, measurement points 6 and 10 are the most uncomfortable subspaces, as indicated in the PET comfort results (PETAUG.P6 = 42.7 °C; PETAUG.P10 = 42.2 °C). The survey questionnaire was able to bring out the subjective feelings of residents and visitors.
4.2. Strength and Limitations of the Study
One of the specificities of this study is its empirical and comparative approach to assessing the outdoor thermal comfort in historical urban fabrics [38,50]. A mixed approach was adopted, involving in situ measurements, the calculation of two indexes, the mean radiant temperature (Tmrt) and the physiological equivalent temperature (PET), and subjective questionnaires for inhabitants.
The durations of in situ measurements in similar studies have been from two to three days [52,88]. However, in this study, the period of in situ measurements was extended to 7 days in January and August. The reason for the extension was to have more precise results during these periods. Therefore, the study can shed light on a different urban morphology that has not been commonly investigated in the mainstream literature. The Casbah of Algiers displays a H/W ratio different from the classical modern cities [89], with pedestrian traffic inside the historical site. The absence of trees and vegetation within the historic fabric means that specific mitigation strategies must be developed [90].
Finally, this study allows scientists to understand the outdoor conditions in historic cities better. Knowledge collected through this study can indeed be exported to similar urban fabrics worldwide. Since our survey sample included only 60 people, a larger number of respondents could be explored in future studies to have more precise answers regarding the perception and sensation of subjective comfort [55,58], and thus, make it possible to conduct a complete study on TSV in Mediterranean climates [52,56].
4.3. Implication on Practice and Future Work
Planners should consider mitigation strategies for cases of extreme heat stress to improve the comfort of the inhabitants in traditional urban cities, as well as for visitors to the Casbah of Algiers, a UNESCO World Heritage Site, making it a very attractive region for tourists [91] and economic activities.
One of the strategies that can be developed is the introduction of vegetation [92] in the streets to reduce exposure to the sun [93] and, thus, the heat stress level. Future studies may have longer measurement periods to study the outdoor thermal behavior of the urban fabric over a whole season and then over a full year. Then, the creation of local urban climate model-based measured climatic parameters can improve the overall evaluation accuracy. This can be done by placing a climatic station in the historic fabrics, thus taking measurements over long periods and characterizing the outdoor thermal comfort [94]. Next, interventions at the urban scale can be carried out to improve users’ comfort by testing and implementing adaptation and mitigation strategies. The introduction of vegetation into the subspaces of the urban fabric and optimization of the solar reflectance index (SRI) of the façade can play a major role.
Finally, one of the interesting research projects to investigate is the likelihood of discomfort in the future under climate change [95]. This refers to long-term shifts in temperature and weather patterns, which could greatly influence outdoor thermal comfort. This study can be carried out by coupling current measurements with future climate scenarios, using software such as ENVI-met or Rayman. This research may have significant implications for advising decision-makers in similar Mediterranean environmental contexts to improve the existing urban fabric, contributing to more livability and vitality in outdoor areas.
5. Conclusions
The present study evaluated the microclimatic comfort conditions in the historical urban fabrics in the Mediterranean environment of the Casbah of Algiers. To this end, an empirical investigation was performed in 14 subspaces. In the present study, the research scale was limited to the most significant subspaces in the historical city to evaluate the thermal comfort conditions within their microclimates. The measured data (air temperature, relative humidity, wind velocity, surface temperature, and fish-eye images.) were taken between 26 January–1 February and 5–11 August, several times in the day (from 6 a.m. to 8 p.m., every 2 h).
The outdoor comfort indexes of the physiologically equivalent temperature (PET) and the mean radiant temperature (Tmrt), as well as the sky view factor (SVF), were evaluated through the Rayman tool at the 14 reference points, by which modeling and calculations were performed to identify the heat stress level. In January, it emerged that the PETJan was in the “no thermal stress” zone for 38.4% of the daytime. The cold stress percentage was 49.1% and was recorded mainly at sunrise and sunset, while a 12.5% rate of heat stress was present at midday. In August, heat stress was almost permanent. In fact, 52.67% of the time, the PETAug was in strong or extreme heat stress, while the rest of the daytime was in slight heat stress. The impact of the SVF on the Tmrt has been demonstrated in the various subspaces of the Casbah, with the most significant temperature variations occurring in vacant spaces following collapses. Additionally, the “sea breeze effect” on the outdoor thermal comfort was insignificant (during the study period). Future studies should investigate to expand our knowledge on heat stress and sea breeze with both in situ and station measurements for various climatic parameters during all months and seasons in historic cities.
Author Contributions
Conceptualization, F.H.A., D.K., A.A.-F. and S.A.; methodology, F.H.A., D.K, A.A.-F., M.T., M.E.M. and S.A.; software, F.H.A. and M.E.M.; validation, F.H.A., D.K., A.A.-F. and S.A.; formal analysis, F.H.A.; investigation, F.H.A., D.K. and A.A.-F.; resources, F.H.A., D.K., A.A.-F. and S.A.; data curation, F.H.A.; writing—original draft preparation, F.H.A.; writing—review and editing, F.H.A., D.K., M.E.M., M.T., A.A.-F. and S.A.; visualization, F.H.A.; supervision, D.K., A.A.-F. and S.A. All authors have read and agreed to the published version of the manuscript.
Funding
The authors acknowledge the Sustainable Building Design (SBD) Lab for the funding of the article processing charges, and the Directorate General for Scientific Research and Technological Development (DGRSDT) for providing necessary resources for the completion of this work.
Acknowledgments
We would like to acknowledge the DGRSDT-Algeria, the ETAP Laboratory, University of Blida 1, and the Sustainable Building Design (SBD) Laboratory at the University of Liege, Belgium for use of the monitoring equipment in this research and for valuable support during the experiments and data analysis. This publication is part of the research project 2021–2022: Project: MIMOSA = MicroclIMate OasiS Algeria. The authors would also like to thank the University of Blida 1, Algeria, and the University of Liege, Belgium for their assistance in administrative procedures. We would also like to acknowledge Professor Andreas Matzarakis for his contribution and help with the Rayman model.
Conflicts of Interest
The authors declare no conflict of interest.
Appendix A
Table A1.
Studies on outdoor thermal comfort and corresponding modern cities.
Table A1.
Studies on outdoor thermal comfort and corresponding modern cities.
| City (Country) | Köppen Classification | Investigation | Index | Reference |
|---|---|---|---|---|
| Colombo (Sri Lanka) | Af | Urban design; outdoor thermal comfort | PET | Johansson et al., 2006 |
| Gothenburg (Sweden) | Cfb | Urban geometry; climate change; outdoor thermal comfort | PET | Thorsson et al., 2010 |
| Curitiba (Brazil) | Cfb | Urban geometry; outdoor thermal comfort; air quality | Ta- NOx | Kruger et al., 2011 |
| Rotterdam, Arnhem (Netherlands) | Cfb | Urban heat Island urban morphology | PET | Steeneveld et al., 2011 |
| Tinos (Greece) | Csa | Thermal comfort; urban canyon | PET | Andreou et al., 2013 |
| De Bilt (Netherlands) | Cfb | Urban forms; outdoor thermal comfort | PET | Taleghani et al., 2015 |
| Several cities | Several climates | Urban geometry; level greening; outdoor thermal comfort | - | Jameiet al., 2016 |
| Tolga (Algeria) | BWh | Outdoor thermal comfort in oases settlements | PET | Matallah et al., 2018 |
| Sydney (Australia) | Cfa | Urban morphology; urban ventilation; urban heat island; sea breeze | PET | He et al., 2020 |
| Ardebi, Bandar Abbas, Gorgan, Shiraz (Iran) | Csb, BWh, Csa, BSh | Wind cooling potential | PET | Roshan et al., 2020 |
Table A2.
Studies on outdoor thermal comfort in traditional cities.
Table A2.
Studies on outdoor thermal comfort in traditional cities.
| City (Country) | Köppen Classification | Investigation | Index | Reference |
|---|---|---|---|---|
| Beni-Isguen (Algeria) | Bwh | Outdoor thermal comfort | PET | Ali-Toudert et al., 2006 |
| Gherdaia (Algeria) | Bwh | Aspect ratio and orientation | PET | Ali-Toudert et al., 2006 |
| Fez (Morocco) | BSk | Outdoor urban environments | PET, OUT_SET | Johansson et al., 2006 |
| Tunis (Tunisia) | Csa | Outdoor Thermal Comfort- Geometry | UTCI | Younsi et al., 2013 |
| Dhaka (Bengladesh) | Aw | Mediterranean climate- vernacular architecture | - | Sharmin et al., 2017 |
| Alexandria (Egypt) | Csa | Microclimate- human comfort | Tmrt | Ragheb et al., 2016 |
| Rome (Italy) | Csa | Innovative materials- outdoor thermal | MOCI- PMV | Rosso et al., 2018 |
| Cairo (Egypt) | Bwh | microclimate of an outdoor urban form | Tmrt | Elnabawi et al., 2019 |
| Biskra (Algeria) | BWh | Outdoor Thermal Comfort | PET | Matallah et al., 2021 |
Figure A1.
Distribution of the average daily air temperature at the 14 points studied in January (a,b) and August (c,d).
Figure A2.
Parameters influencing daily comfort of people questioned in the Casbah of Algiers on a scale of 1 to 5.
Figure A3.
The 7-point pleasantness scale of climatic parameters at points with different sky view factors. Air temperature (a), relative humidity (b), wind (c), sun effect (d), shading (e).

Figure A4.
Variations between PET and Tmrt at the 14 studied points depending on the SVF in January (a,c,e,g,i,k,m,o) and August (b,d,f,h,j,l,n,p) from 6:00 a.m. to 8:00 p.m.
References
- Georgescu, M.; Morefield, P.E.; Bierwagen, B.G.; Weaver, C.P. Urban adaptation can roll back warming of emerging megapolitan regions. Proc. Natl. Acad. Sci. USA 2014, 111, 2909–2914. [Google Scholar] [CrossRef] [PubMed]
- Wang, Y.; Chan, A.; Lau, G.N.; Li, Q.; Yang, Y.; Yim, S.H.L. Effects of urbanization and global climate change on regional climate in the Pearl River Delta and thermal comfort implications. Int. J. Climatol. 2019, 39, 2984–2997. [Google Scholar] [CrossRef]
- World Health Organization. Urbanization and health. Bull. World Health Organ. 2010, 88, 245–246. [Google Scholar] [CrossRef]
- McMichael, A.J.; Lindgren, E. Climate change: Present and future risks to health, and necessary responses: Review: Climate change and health. J. Intern. Med. 2011, 270, 401–413. [Google Scholar] [CrossRef]
- Hein, L.; Metzger, M.J.; Moreno, A. Potential impacts of climate change on tourism; a case study for Spain. Curr. Opin. Environ. Sustain. 2009, 1, 170–178. [Google Scholar] [CrossRef]
- Morris, K.I.; Chan, A.; Morris, K.J.K.; Ooi, M.C.G.; Oozeer, M.Y.; Abakr, Y.A.; Nadzir, M.S.M.; Mohammed, I.Y.; Al-Qrimli, H.F. Impact of urbanization level on the interactions of urban area, the urban climate, and human thermal comfort. Appl. Geogr. 2017, 79, 50–72. [Google Scholar] [CrossRef]
- Emmanuel, R. Thermal comfort implications of urbanization in a warm-humid city: The Colombo Metropolitan Region (CMR), Sri Lanka. Build. Environ. 2005, 40, 1591–1601. [Google Scholar] [CrossRef]
- Mahmoud, S.H.; Gan, T.Y. Long-term impact of rapid urbanization on urban climate and human thermal comfort in hot-arid environment. Build. Environ. 2018, 142, 83–100. [Google Scholar] [CrossRef]
- United Nations Development Program. Sustainable Development Goals. United Nations, 2015. Available online: https://www.undp.org/content/undp/en/home/sustainable-development-goals.html (accessed on 4 March 2022).
- Jin, H.; Liu, S.; Kang, J. Gender differences in thermal comfort on pedestrian streets in cold and transitional seasons in severe cold regions in China. Build. Environ. 2020, 168, 106488. [Google Scholar] [CrossRef]
- Nikolopoulou, M. Outdoor Comfort. In Environmental Diversity in Architecture; Spon Press: London, UK, 2004; pp. 101–120. [Google Scholar]
- Jamei, E.; Rajagopalan, P.; Seyedmahmoudian, M.; Jamei, Y. Review on the impact of urban geometry and pedestrian level greening on outdoor thermal comfort. Renew. Sustain. Energy Rev. 2016, 54, 1002–1017. [Google Scholar] [CrossRef]
- Krüger, E.L.; Minella, F.O.; Rasia, F. Impact of urban geometry on outdoor thermal comfort and air quality from field measurements in Curitiba, Brazil. Build. Environ. 2011, 46, 621–634. [Google Scholar] [CrossRef]
- Sharmin, T.; Steemers, K.; Matzarakis, A. Microclimatic modelling in assessing the impact of urban geometry on urban thermal environment. Sustain. Cities Soc. 2017, 34, 293–308. [Google Scholar] [CrossRef]
- Santamouris, M. Energy and Climate in the Urban Built Environment, 1st ed.; Routledge: London, UK, 2013; ISBN 978-1-134-25790-4. Available online: https://www.taylorfrancis.com/books/9781134257904 (accessed on 24 February 2022).
- Rodríguez Algeciras, J.A.; Gómez Consuegra, L.; Matzarakis, A. Spatial-temporal study on the effects of urban street configurations on human thermal comfort in the world heritage city of Camagüey-Cuba. Build. Environ. 2016, 101, 85–101. [Google Scholar] [CrossRef]
- Russo, A.; Cirella, G. Modern Compact Cities: How Much Greenery Do We Need? Int. J. Environ. Res. Public. Health 2018, 15, 2180. [Google Scholar] [CrossRef] [PubMed]
- de Roo, G.; Miller, D. Compact Cities and Sustainable Urban Development: A Critical Assessment of Policies and Plans from an International Perspective; Routledge: London, UK, 2020; ISBN 978-1-138-73052-6. [Google Scholar]
- Givoni, B. Climate Considerations in Building and Urban Design; Wiley: Hoboken, NJ, USA, 1998. [Google Scholar]
- Johansson, E. Influence of urban geometry on outdoor thermal comfort in a hot dry climate: A study in Fez, Morocco. Build. Environ. 2006, 41, 1326–1338. [Google Scholar] [CrossRef]
- Johansson, E.; Emmanuel, R. The influence of urban design on outdoor thermal comfort in the hot, humid city of Colombo, Sri Lanka. Int. J. Biometeorol. 2006, 51, 119–133. [Google Scholar] [CrossRef] [PubMed]
- Ratti, C.; Baker, N.; Steemers, K. Energy consumption and urban texture. Energy Build. 2005, 37, 762–776. [Google Scholar] [CrossRef]
- Bourbia, F.; Boucheriba, F. Impact of street design on urban microclimate for semi arid climate (Constantine). Renew. Energy 2010, 35, 343–347. [Google Scholar] [CrossRef]
- Thorsson, S.; Lindberg, F.; Björklund, J.; Holmer, B.; Rayner, D. Potential changes in outdoor thermal comfort conditions in Gothenburg, Sweden due to climate change: The influence of urban geometry. Int. J. Climatol. 2011, 31, 324–335. [Google Scholar] [CrossRef]
- Salat, S. Les Villes et les Formes: Sur l’Urbanisme Durable; Hermann: Paris, France, 2011. [Google Scholar]
- Taleghani, M.; Kleerekoper, L.; Tenpierik, M.; van den Dobbelsteen, A. Outdoor thermal comfort within five different urban forms in The Netherlands. Build. Environ. 2015, 83, 65–78. [Google Scholar] [CrossRef]
- Ahmadi Venhari, A.; Tenpierik, M.; Taleghani, M. The role of sky view factor and urban street greenery in human thermal comfort and heat stress in a desert climate. J. Arid Environ. 2019, 166, 68–76. [Google Scholar] [CrossRef]
- He, X.; Miao, S.; Shen, S.; Li, J.; Zhang, B.; Zhang, Z.; Chen, X. Influence of sky view factor on outdoor thermal environment and physiological equivalent temperature. Int. J. Biometeorol. 2015, 59, 285–297. [Google Scholar] [CrossRef] [PubMed]
- Lai, D.; Liu, W.; Gan, T.; Liu, K.; Chen, Q. A review of mitigating strategies to improve the thermal environment and thermal comfort in urban outdoor spaces. Sci. Total Environ. 2019, 661, 337–353. [Google Scholar] [CrossRef]
- Matallah, M.E.; Alkama, D.; Ahriz, A.; Attia, S. Assessment of the Outdoor Thermal Comfort in Oases Settlements. Atmosphere 2020, 11, 185. [Google Scholar] [CrossRef]
- Roshan, G.; Moghbel, M.; Attia, S. Evaluating the wind cooling potential on outdoor thermal comfort in selected Iranian climate types. J. Therm. Biol. 2020, 92, 102660. [Google Scholar] [CrossRef] [PubMed]
- Belpoliti, V.; Altan, H.; Alsebai, H.; Melahfci, O. Shaping the microclimate: CFD-assisted design optimization to enhance the outdoor comfort of a recreational complex in the UAE. Procedia Manuf. 2020, 44, 84–91. [Google Scholar] [CrossRef]
- Dhingra, M.; Chattopadhyay, S. Advancing smartness of traditional settlements-case analysis of Indian and Arab old cities. Int. J. Sustain. Built Environ. 2016, 5, 549–563. [Google Scholar] [CrossRef]
- Ben Salem, S.; Lahmar, C.; Simon, M.; Szilágyi, K. Green System Development in the Medinas of Tunis and Marrakesh—Green Heritage and Urban Livability. Earth 2021, 2, 809–825. [Google Scholar] [CrossRef]
- Kiet, A. Arab Culture and Urban Form. Focus 2011, 8. [Google Scholar] [CrossRef][Green Version]
- Berkani, Y. Urban Morphology and Pedestrian Movement of Traditional Marketplace in Casbah Algiers; Teknologi Malaysia: Johor Bahru, Malaysia, 2013. [Google Scholar]
- Alsayyad, N. From vernacularism to globalism: The temporal reality of traditional settlements. Tradit. Dwell. Settl. Rev. 1995, 7, 13–24. [Google Scholar]
- Ali-Toudert, F.; Mayer, H. Numerical study on the effects of aspect ratio and orientation of an urban street canyon on outdoor thermal comfort in hot and dry climate. Build. Environ. 2006, 41, 94–108. [Google Scholar] [CrossRef]
- Ali-Toudert, F.; Djenane, M.; Bensalem, R.; Mayer, H. Outdoor thermal comfort in the old desert city of Beni-Isguen, Algeria. Clim. Res. 2005, 28, 243–256. [Google Scholar] [CrossRef]
- Johansson, E.; Grundström, K.; Rosenlund, H. Street canyon microclimate in traditional and modern neighbourhoods in a hot dry climate—a case study in Fez, Morocco. In Proceedings of the 18th International Conference on Passive and Low Energy Architecture (PLEA), Hong Kong, China, 10–12 December 2018. [Google Scholar]
- Achour-Younsi, S.; Kharrat, F. Outdoor Thermal Comfort: Impact of the Geometry of an Urban Street Canyon in a Mediterranean Subtropical Climate—Case Study Tunis, Tunisia. Procedia Soc. Behav. Sci. 2016, 216, 689–700. [Google Scholar] [CrossRef]
- Elnabawi, M.H.; Hamza, N.; Dudek, S. Numerical modelling evaluation for the microclimate of an outdoor urban form in Cairo, Egypt. HBRC J. 2015, 11, 246–251. [Google Scholar] [CrossRef]
- Elnabawi, M.H.; Neveen, H.; Dudek, S. Use and evaluation of the envi-met model for two different urban forms in Cairo, Egypt: Measurements and model simulations 2013. In Proceedings of the 13th Conference of International Building Performance Simulation Association, Chambery, France, 25–28 August 2013. [Google Scholar]
- Matallah, M.E.; Alkama, D.; Teller, J.; Ahriz, A.; Attia, S. Quantification of the Outdoor Thermal Comfort within Different Oases Urban Fabrics. Sustainability 2021, 13, 3051. [Google Scholar] [CrossRef]
- Lucchi, E.; D’Alonzo, V.; Exner, D.; Zambelli, P.; Garegnani, G. A Density-Based Spatial Cluster Analysis Supporting The Building Stock Analysis In Historical Towns. In Proceedings of the Building Simulation, Rome, Italy, 2–4 September 2019; pp. 3831–3838. Available online: http://www.ibpsa.org/proceedings/BS2019/BS2019_210346.pdf (accessed on 4 March 2022).
- Benchekroun, M.; Chergui, S.; Ruggiero, F.; Di Turi, S. Indoor Microclimate Conditions and the Impact of Transformations on Hygrothermal Comfort in the Old Ottoman Houses in Algiers. Int. J. Archit. Herit. 2020, 14, 1296–1319. [Google Scholar] [CrossRef]
- Cortesão, J.; Alves, B. Alternative (bioclimatic) urban design for compact urban fabrics. In Proceedings of the CITTA 3rd Annual Conference on Planning Research Bringing City Form Back Into Planning, Porto, Portugal, 14 May 2010. [Google Scholar]
- Rosso, F.; Golasi, I.; Castaldo, V.L.; Piselli, C.; Pisello, A.L.; Salata, F.; Ferrero, M.; Cotana, F.; de Lieto Vollaro, A. On the impact of innovative materials on outdoor thermal comfort of pedestrians in historical urban canyons. Renew. Energy 2018, 118, 825–839. [Google Scholar] [CrossRef]
- Makropoulou, M. Microclimate Improvement of Inner-City Urban Areas in a Mediterranean Coastal City. Sustainability 2017, 9, 882. [Google Scholar] [CrossRef]
- Castaldo, V.L.; Pisello, A.L.; Pigliautile, I.; Piselli, C.; Cotana, F. Microclimate and air quality investigation in historic hilly urban areas: Experimental and numerical investigation in central Italy. Sustain. Cities Soc. 2017, 33, 27–44. [Google Scholar] [CrossRef]
- Andreou, E.; Axarli, K. Investigation of urban canyon microclimate in traditional and contemporary environment. Experimental investigation and parametric analysis. Renew. Energy 2012, 43, 354–363. [Google Scholar] [CrossRef]
- Labdaoui, K.; Mazouz, S.; Reiter, S.; Teller, J. Thermal perception in outdoor urban spaces under the Mediterranean climate of Annaba, Algeria. Urban Clim. 2021, 39, 100970. [Google Scholar] [CrossRef]
- Sharifi, E.; Sivam, A.; Boland, J. Spatial and Activity Preferences During Heat Stress Conditions in Adelaide: Towards Increased Adaptation Capacity of the Built Environment. Procedia Eng. 2017, 180, 955–965. [Google Scholar] [CrossRef]
- Tseliou, A.; Tsiros, I.X.; Lykoudis, S.; Nikolopoulou, M. An evaluation of three biometeorological indices for human thermal comfort in urban outdoor areas under real climatic conditions. Build. Environ. 2010, 45, 1346–1352. [Google Scholar] [CrossRef]
- Tsitoura, M.; Tsoutsos, T.; Daras, T. Evaluation of comfort conditions in urban open spaces. Application in the island of Crete. Energy Convers. Manag. 2014, 86, 250–258. [Google Scholar] [CrossRef]
- Salata, F.; Golasi, I.; de Lieto Vollaro, R.; de Lieto Vollaro, A. Outdoor thermal comfort in the Mediterranean area. A transversal study in Rome, Italy. Build. Environ. 2016, 96, 46–61. [Google Scholar] [CrossRef]
- Nikolopoulou, M.; Lykoudis, S. Use of outdoor spaces and microclimate in a Mediterranean urban area. Build. Environ. 2007, 42, 3691–3707. [Google Scholar] [CrossRef]
- Andrade, H.; Alcoforado, M.-J.; Oliveira, S. Perception of temperature and wind by users of public outdoor spaces: Relationships with weather parameters and personal characteristics. Int. J. Biometeorol. 2011, 55, 665–680. [Google Scholar] [CrossRef]
- Shooshtarian, S.; Rajagopalan, P. Study of thermal satisfaction in an Australian educational precinct. Build. Environ. 2017, 123, 119–132. [Google Scholar] [CrossRef]
- Kenawy, I.; ElKadi, H. Diversity and Thermal Comfort in Outdoor Places. Int. J. Divers. Organ. Communities Nations Annu. Rev. 2011, 11, 237–248. [Google Scholar] [CrossRef]
- Canan, F.; Golasi, I.; Falasca, S.; Salata, F. Outdoor thermal perception and comfort conditions in the Köppen-Geiger climate category BSk. One-year field survey and measurement campaign in Konya, Turkey. Sci. Total Environ. 2020, 738, 140295. [Google Scholar] [CrossRef]
- Abdessemed-Foufa, A. Le Manuel de Réhabilitation Comme Outil de Conservation dans le cadre du Plan Permanent de Sauvegarde de la Casbah d’Alger; RehabiMed: Barcelona, Spain, 2011. [Google Scholar]
- Arrar, H.F.; Abdessemed Foufa, A.; Kaoula, D. Comparative study of the influence of traditional walls with different typologies and constructive techniques on the energy performance of the traditional dwellings of the Casbah of Algiers. In Solutions for Sustainable Development; Szita Tóthné, K., Jármai, K., Voith, K., Eds.; CRC Press: Boca Raton, FL, USA, 2019; pp. 187–195. ISBN 978-0-367-82403-7. Available online: https://www.taylorfrancis.com/books/9781000759440/chapters/10.1201/9780367824037-24 (accessed on 4 March 2022).
- Haedo, D. Topographie et histoire générale d’Alger, la vie à Alger au seizième siècle. Alger. In Alger Livre Editions; Collection Histoire: Paris, France, 2004. [Google Scholar]
- Semahi, S.; Benbouras, M.A.; Mahar, W.A.; Zemmouri, N.; Attia, S. Development of Spatial Distribution Maps for Energy Demand and Thermal Comfort Estimation in Algeria. Sustainability 2020, 12, 6066. [Google Scholar] [CrossRef]
- Beck, H.E.; Zimmermann, N.E.; McVicar, T.R.; Vergopolan, N.; Berg, A.; Wood, E.F. Present and future Köppen-Geiger climate classification maps at 1-km resolution. Sci. Data 2018, 5, 180214. [Google Scholar] [CrossRef] [PubMed]
- Ghedamsi, R.; Settou, N.; Gouareh, A.; Khamouli, A.; Saifi, N.; Recioui, B.; Dokkar, B. Modeling and forecasting energy consumption for residential buildings in Algeria using bottom-up approach. Energy Build. 2016, 121, 309–317. [Google Scholar] [CrossRef]
- Ali-Toudert, F.; Mayer, H. Effects of asymmetry, galleries, overhanging façades and vegetation on thermal comfort in urban street canyons. Sol. Energy 2007, 81, 742–754. [Google Scholar] [CrossRef]
- Arrar, F.H.; Kaoula, D.; Attia, S. Thermal Comfort Sentation Survey—In the Casbah of Algiers. Harvard Dataverse, 2022. Available online: https://dataverse.harvard.edu/citation?persistentId=doi:10.7910/DVN/JGBSLY (accessed on 2 March 2022).
- Lam, C.K.C.; Gallant, A.J.E.; Tapper, N.J. Short-term changes in thermal perception associated with heatwave conditions in Melbourne, Australia. Theor. Appl. Climatol. 2019, 136, 651–660. [Google Scholar] [CrossRef]
- Pantavou, K.; Santamouris, M.; Asimakopoulos, D.; Theoharatos, G. Empirical calibration of thermal indices in an urban outdoor Mediterranean environment. Build. Environ. 2014, 80, 283–292. [Google Scholar] [CrossRef]
- de Freitas, C.R.; Grigorieva, E.A. A comprehensive catalogue and classification of human thermal climate indices. Int. J. Biometeorol. 2015, 59, 109–120. [Google Scholar] [CrossRef] [PubMed]
- Ramos, G.; Lamberts, R.; Abrahão, K.C.F.J.; Bandeira, F.B.; Barbosa Teixeira, C.F.; Brito de Lima, M.; Broday, E.E.; Castro, A.P.A.S.; de Queiroz Leal, L.; De Vecchi, R.; et al. Adaptive behaviour and air conditioning use in Brazilian residential buildings. Build. Res. Inf. 2021, 49, 496–511. [Google Scholar] [CrossRef]
- Arrar, F.H.; Attia, S.; Kaoula, D. Measured Comfort Data—Casbah 2022. Harvard Dataverse, 2022. Available online: https://dataverse.harvard.edu/citation?persistentId=doi:10.7910/DVN/R0AYI7 (accessed on 7 February 2022).
- Matzarakis, A.; Rutz, F.; Mayer, H. Modelling radiation fluxes in simple and complex environments—application of the RayMan model. Int. J. Biometeorol. 2007, 51, 323–334. [Google Scholar] [CrossRef] [PubMed]
- Matzarakis, A.; Rutz, F.; Mayer, H. Modelling radiation fluxes in simple and complex environments: Basics of the RayMan model. Int. J. Biometeorol. 2010, 54, 131–139. [Google Scholar] [CrossRef] [PubMed]
- Matzarakis, A.; Mayer, H. Atmospheric Conditions and Human Thermal Comfort in Urban Areas. Available online: https://www.academia.edu/22149633/Atmospheric_conditions_and_human_thermal_comfort_in_urban_areas (accessed on 4 March 2022).
- Matzarakis, A. RayMan Pro—A tool for Applied Climatology: Modelling of Mean Radiant Temperature and Thermal Indices. Available online: https://www.urbanclimate.net/rayman/RayManManual.pdf (accessed on 4 March 2022).
- Chen, Y.-C.; Matzarakis, A. Modification of physiologically equivalent temperature. Theor. Appl. Climatol. 2018, 132, 1275–1289. [Google Scholar] [CrossRef]
- Fröhlich, D.; Matzarakis, A. A quantitative sensitivity analysis on the behaviour of common thermal indices under hot and windy conditions in Doha, Qatar. Theor. Appl. Climatol. 2016, 124, 179–187. [Google Scholar] [CrossRef]
- Höppe, P.R. The physiological equivalent temperature—a universal index for the biometeorological assessment of the thermal environment. Int. J. Biometeorol. 1999, 43, 71–75. [Google Scholar] [CrossRef] [PubMed]
- Potchter, O.; Cohen, P.; Lin, T.-P.; Matzarakis, A. Outdoor human thermal perception in various climates: A comprehensive review of approaches, methods and quantification. Sci. Total Environ. 2018, 631–632, 390–406. [Google Scholar] [CrossRef]
- Matzarakis, A.; Mayer, H.; Iziomon, M.G. Applications of a universal thermal index: Physiological equivalent temperature. Int. J. Biometeorol. 1999, 43, 76–84. [Google Scholar] [CrossRef] [PubMed]
- Hien, W.N.; Jusuf, S.K. Air Temperature Distribution and the Influence of Sky View Factor in a Green Singapore Estate. J. Urban Plan. Dev. 2010, 136, 261–272. [Google Scholar] [CrossRef]
- Wang, Y.; Berardi, U.; Akbari, H. Comparing the effects of urban heat island mitigation strategies for Toronto, Canada. Energy Build. 2016, 114, 2–19. [Google Scholar] [CrossRef]
- Oke, T.R.; East, C. The urban boundary layer in Montreal. Bound.-Layer Meteorol. 1971, 1, 411–437. [Google Scholar] [CrossRef]
- Hwang, R.-L.; Lin, T.-P.; Matzarakis, A. Seasonal effects of urban street shading on long-term outdoor thermal comfort. Build. Environ. 2011, 46, 863–870. [Google Scholar] [CrossRef]
- Ketterer, C.; Matzarakis, A. Comparison of different methods for the assessment of the urban heat island in Stuttgart, Germany. Int. J. Biometeorol. 2015, 59, 1299–1309. [Google Scholar] [CrossRef] [PubMed]
- Chatzidimitriou, A.; Yannas, S. Street canyon design and improvement potential for urban open spaces; the influence of canyon aspect ratio and orientation on microclimate and outdoor comfort. Sustain. Cities Soc. 2017, 33, 85–101. [Google Scholar] [CrossRef]
- Laureti, F.; Martinelli, L.; Battisti, A. Assessment and Mitigation Strategies to Counteract Overheating in Urban Historical Areas in Rome. Climate 2018, 6, 18. [Google Scholar] [CrossRef]
- Nasrollahi, N.; Hatami, Z.; Taleghani, M. Development of outdoor thermal comfort model for tourists in urban historical areas; A case study in Isfahan. Build. Environ. 2017, 125, 356–372. [Google Scholar] [CrossRef]
- Fahmy, M.; Mahdy, M.; Mahmoud, S.; Abdelalim, M.; Ezzeldin, S.; Attia, S. Influence of urban canopy green coverage and future climate change scenarios on energy consumption of new sub-urban residential developments using coupled simulation techniques: A case study in Alexandria, Egypt. Energy Rep. 2020, 6, 638–645. [Google Scholar] [CrossRef]
- Lin, T.-P.; Matzarakis, A.; Hwang, R.-L. Shading effect on long-term outdoor thermal comfort. Build. Environ. 2010, 45, 213–221. [Google Scholar] [CrossRef]
- Roshan, G.; Saleh Almomenin, H.; da Silveira Hirashima, S.Q.; Attia, S. Estimate of outdoor thermal comfort zones for different climatic regions of Iran. Urban Clim. 2019, 27, 8–23. [Google Scholar] [CrossRef]
- Früh, B.; Becker, P.; Deutschländer, T.; Hessel, J.-D.; Kossmann, M.; Mieskes, I.; Namyslo, J.; Roos, M.; Sievers, U.; Steigerwald, T.; et al. Estimation of Climate-Change Impacts on the Urban Heat Load Using an Urban Climate Model and Regional Climate Projections. J. Appl. Meteorol. Climatol. 2011, 50, 167–184. [Google Scholar] [CrossRef]
Publisher’s Note: MDPI stays neutral with regard to jurisdictional claims in published maps and institutional affiliations. |
© 2022 by the authors. Licensee MDPI, Basel, Switzerland. This article is an open access article distributed under the terms and conditions of the Creative Commons Attribution (CC BY) license (https://creativecommons.org/licenses/by/4.0/).
