A Method of Constructing Models for Estimating Proportions of Citrus Fruit Size Grade Using Polynomial Regression
Abstract
1. Introduction
2. Materials and Methods
2.1. Material, Experimental Site, and Methods of Constructing Datasets
2.2. Construction of Models
2.3. Evaluation of Models
2.4. Validation of Models
2.5. Validation of the Number of Trees
2.6. Validation of Models in Farmer’s Orchards
3. Results
3.1. Construction and Evaluation of Models
3.2. Validation of Models
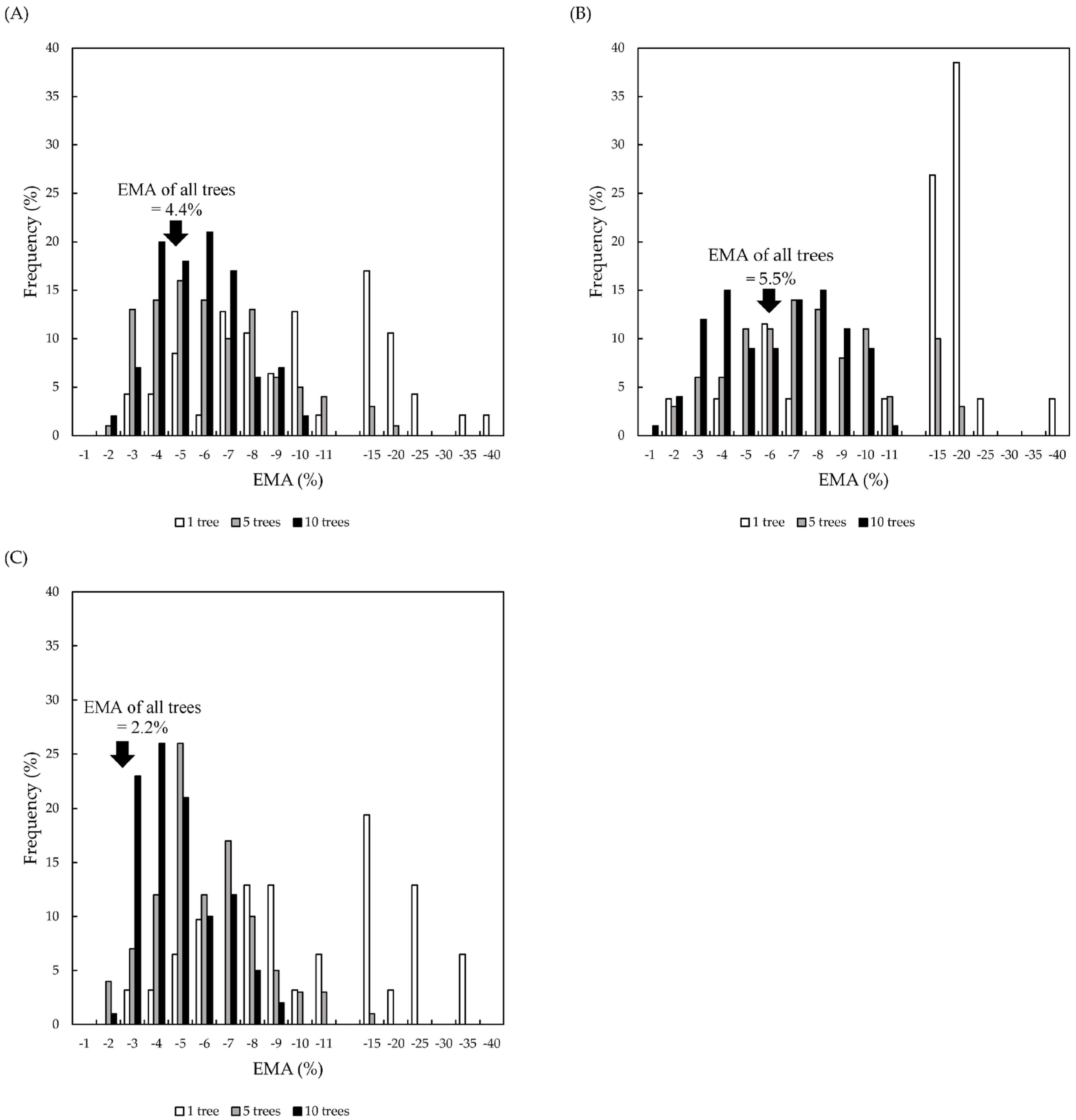
3.3. Validation of the Number of Trees
3.4. Validation of Models in Farmer’s Orchards
4. Discussion
5. Conclusions
Author Contributions
Funding
Data Availability Statement
Acknowledgments
Conflicts of Interest
References
- Stout, R.G. Estimating Citrus Production by Use of Frame Count Survey. J. Farm Econ. 1962, 44, 1037–1049. [Google Scholar] [CrossRef]
- United States Department of Agriculture. Evaluation of Procedures for Estimating Citrus Fruit Yield. Available online: https://www.nass.usda.gov/Education_and_Outreach/Reports,_Presentations_and_Conferences/Yield_Reports/Evaluation%20of%20Procedures%20for%20Estimating%20Citrus%20Fruit%20Yield.pdf (accessed on 5 January 2024).
- United States Department of Agriculture. Sampling for Objective Yields of Apples and Peaches. Available online: https://www.nass.usda.gov/Education_and_Outreach/Reports,_Presentations_and_Conferences/Yield_Reports/Sampling%20for%20Objective%20Yields%20of%20Apples%20and%20Oranges.pdf (accessed on 5 January 2024).
- Jessen, R.J. Determining the Fruit Count on a Tree by Randomized Branch Sampling. Biometrics 1955, 11, 99–109. [Google Scholar] [CrossRef]
- Gené-Mola, J.; Sanz-Cortiella, R.; Rosell-Polo, J.R.; Escolà, A.; Gregorio, E. In-field apple size estimation using photogrammetry-derived 3D point clouds: Comparison of 4 different methods considering fruit occlusions. Comput. Electron. Agric. 2021, 188, 106343. [Google Scholar] [CrossRef]
- Lu, S.; Chen, W.; Zhang, X.; Karkee, M. Canopy-attention-YOLOv4-based immature/mature apple fruit detection on dense-foliage tree architectures for early crop load estimation. Comput. Electron. Agric. 2022, 193, 106696. [Google Scholar] [CrossRef]
- Neupane, C.; Koirala, A.; Walsh, K.B. In-orchard sizing of mango fruit: 1. Comparison of machine vision based methods for on-the-go estimation. Horticulturae 2022, 8, 1223. [Google Scholar] [CrossRef]
- Zheng, B.; Sun, G.; Meng, Z.; Nan, R. Vegetable size measurement based on stereo camera and keypoints detection. Sensors 2022, 22, 1617. [Google Scholar] [CrossRef] [PubMed]
- Apolo-Apolo, O.E.; Martínez-Guanter, J.; Egea, G.; Raja, P.; Pérez-Ruiz, M. Deep Learning Techniques for Estimation of the Yield and Size of Citrus Fruits Using a UAV. Eur. J. Agron. 2020, 115, 126030. [Google Scholar] [CrossRef]
- Khurshid, T.; Braysher, B. Early Fruit Size Prediction Model Using Cubic Smoothing Splines for “Washington Navel” (Citrus sinensis L. Osbeck) Oranges in Australia. Int. J. Fruit Sci. 2009, 9, 394–408. [Google Scholar] [CrossRef]
- Zhang, J.; Thiele, G.F.; Rowe, R.N. Gala Apple Fruit Size Distribution. N. Z. J. Crop Hortic. Sci. 1995, 23, 85–88. [Google Scholar] [CrossRef][Green Version]
- McAneney, K.J.; Richardson, A.C.; Green, A.E. Kiwifruit Fruit Size Distributions. N. Z. J. Crop Hortic. Sci. 1989, 17, 297–299. [Google Scholar] [CrossRef]
- Marini, R.P.; Schupp, J.R.; Baugher, T.A.; Crassweller, R. Relationships between Fruit Weight and Diameter at 60 Days after Bloom and at Harvest for Three Apple Cultivars. HortScience 2019, 54, 86–91. [Google Scholar] [CrossRef]
- Marini, R.P.; Schupp, J.R.; Baugher, T.A.; Crassweller, R. Sampling Apple Trees to Accurately Estimate Mean Fruit Weight and Fruit Size Distribution. HortScience 2019, 54, 1017–1022. [Google Scholar] [CrossRef]
- Marini, R.P.; Schupp, J.R.; Baugher, T.A.; Crassweller, R. Estimating Apple Fruit Size Distribution from Early-Season Fruit Diameter Measurements. HortScience 2019, 54, 1947–1954. [Google Scholar] [CrossRef]
- Wulfsohn, D.; Aravena Zamora, F.; Potin, T.C.; Zamora, L.I.; García-Fiñana, M. Multilevel Systematic Sampling to Estimate Total Fruit Number for Yield Forecasts. Precis. Agric. 2012, 13, 256–275. [Google Scholar] [CrossRef]
- Webber, H.J. The Citrus Industry: History, World Distribution, Botany, and Varieties, 2nd ed.; University of California Press: Berkeley, CA, USA, 1967; pp. 389–390. [Google Scholar]
- Iwamasa, M. Citrus Cultivars in Japan. HortScience 1988, 23, 687–690. [Google Scholar] [CrossRef]
- Lan-Phi, N.T.; Shimamura, T.; Ukeda, H.; Sawamura, M. Chemical and aroma profiles of yuzu (Citrus junos) peel oils of different cultivars. Food Chem. 2009, 115, 1042–1047. [Google Scholar] [CrossRef]
- Hall, A.J.; McPherson, H.G.; Crawford, R.A.; Seager, N.G. Using early-season measurements to estimate fruit volume at harvest in kiwifruit. N. Z. J. Crop Hortic. Sci. 1996, 24, 379–391. [Google Scholar] [CrossRef]
- Amaral, M.H.; Walsh, K.B. In-Orchard sizing of mango fruit: 2. Forward estimation of size at harvest. Horticulturae 2023, 9, 54. [Google Scholar] [CrossRef]
- Khushbu, K.; Suniti, Y. Linear Regression Analysis Study. J. Pract. Cardiovasc. Sci. 2018, 4, 33–36. [Google Scholar] [CrossRef]
- Aishah Ahad, N.; Sin Yin, T.; Rahman Othman, A.; Rohani Yaacob, C. Sensitivity of Normality Tests to Non-Normal Data (Kepekaan Ujian Kenormalan Terhadap Data Tidak Normal). Sains Malays. 2011, 40, 637–641. [Google Scholar]
- Ghasemi, A.; Zahediasl, S. Normality Tests for Statistical Analysis: A Guide for Non-Statisticians. Int. J. Endocrinol. Metab. 2012, 10, 486–489. [Google Scholar] [CrossRef] [PubMed]
- Shapiro, S.S.; Wilk, M.B. An Analysis of Variance Test for Normality (Complete Samples). Biometrika 1965, 52, 591–611. [Google Scholar] [CrossRef]
- Judd, M.J.; Mcaneney, K.J. Advances in Irrigation; Academic Press: London, UK, 1987; Volume 4, pp. 307–330. [Google Scholar] [CrossRef]
- Uribeetxebarria, A.; Martínez-Casasnovas, J.A.; Tisseyre, B.; Guillaume, S.; Escolà, A.; Rosell-Polo, J.R.; Arnó, J. Assessing ranked set sampling and ancillary data to improve fruit load estimates in peach orchards. Comput. Electron. Agric. 2019, 164, 104931. [Google Scholar] [CrossRef]
- Yamamura, K.; Wada, T.; Urano, S. Random Median Sampling to Enhance the Precision of Population Estimates. Popul. Ecol. 2007, 49, 357–363. [Google Scholar] [CrossRef]
- Verreynne, J.S.; Rabe, E.; Theron, K.I. Effect of bearing position on fruit quality of mandarin types. S. Afr. J. Plant Soil 2004, 21, 1–7. [Google Scholar] [CrossRef]
- Suzuki, T.; Okamoto, S.; Seki, T. Effects of Micro-meteorological Elements and Positions in the Tree Crown on the Development of Shoots, Leaves and Fruits of Satsuma Mandarin. J. Jpn. Soc. Hortic. Sci. 1973, 42, 201–209. [Google Scholar] [CrossRef][Green Version]
- Vijayakumar, V.; Ampatzidis, Y.; Costa, L. Tree-Level Citrus Yield Prediction Utilizing Ground and Aerial Machine Vision and Machine Learning. Smart Agric. Technol. 2023, 3, 100077. [Google Scholar] [CrossRef]
- Zhang, W.; Wang, J.; Liu, Y.; Chen, K.; Li, H.; Duan, Y.; Wu, W.; Shi, Y.; Guo, W. Deep-Learning-Based in-Field Citrus Fruit Detection and Tracking. Hortic. Res. 2022, 9, uhac003. [Google Scholar] [CrossRef]








| Orchard Number | Research Year | Age of Trees | Number of Trees | Number of Fruits Set per Tree | |
|---|---|---|---|---|---|
| Average | Standard Deviation | ||||
| 1 | 2020 | 21–25 | 42 | 266.2 | 174.1 |
| 1 | 2021 | 22–26 | 47 | 452.5 | 193.1 |
| 2 | 2021 | 11–12 | 26 | 121.8 | 68.5 |
| 3 | 2022 | 20–21 | 31 | 129.5 | 70.0 |
| 4 | 2023 | 15 | 10 | 195.1 | 62.8 |
| 5 | 2023 | 10 | 10 | 119.5 | 15.7 |
| 6 | 2023 | 15 | 10 | 130.8 | 30.3 |
| 7 | 2023 | 9 | 10 | 303.3 | 63.6 |
| 8 | 2023 | Over 40 | 10 | 116.2 | 20.2 |
| Fruit Size Grade | S | M | L | 2L | 3L |
|---|---|---|---|---|---|
| Fruit diameter (mm) | 50.0–60.0 | 60.0–65.0 | 65.0–75.0 | 75.0–85.0 | 85.0–96.0 |
| Estimating the Proportion of Fruit Size Grade | Mean Fruit Diameter (mm) 1 | Model for Estimating the Proportion of Fruit Size Grade at Harvest |
|---|---|---|
| S, L, 2L, and 3L size grade 2,3 | Below 80.0 mm | 2415.2277 × A − 54.3715 × A2 + 0.5407 × A3 − 0.0020 × A4 − 40,023.9322 |
| Above 80.0 mm | 2014.4102 × A − 32.9240 × A2 + 0.2369 × A3 − 0.0006 × A4 − 45,699.0329 | |
| M size grade 2,3 | Below 62.5 mm | 720.3828 × A − 21.7491 × A2 + 0.2892 × A3 − 0.0014 × A4 − 8879.1156 |
| Above 62.5 mm | 796.6586 × A − 16.3870 × A2 + 0.1480 × A3 − 0.0005 × A4 − 14,303.4363 |
| Estimating the Proportion of Fruit Size Grade | Mean Fruit Diameter (mm) | Number of Data | Evaluation Index 1 | Function | Quartic Function | ||||
|---|---|---|---|---|---|---|---|---|---|
| Quadratic | Cubic | Quartic | Quintic | F Value 2 | W Value 2 | ||||
| 2L size grade | Below 80.0 mm | 54 | R2 | 0.96 | 0.97 | 0.98 | 0.98 | 610.62 ** | 0.974 NS |
| AIC | 312.02 | 288.65 | 270.36 | 272.32 | |||||
| Above 80.0 mm | 101 | R2 | 0.98 | 0.98 | 0.99 | 0.99 | 1626.64 ** | 0.970 * | |
| AIC | 531.38 | 533.20 | 502.38 | 503.87 | |||||
| M size grade | Below 62.5 mm | 114 | R2 | 0.92 | 0.95 | 0.96 | 0.96 | 718.50 ** | 0.984 NS |
| AIC | 604.98 | 556.17 | 546.23 | 546.25 | |||||
| Above 62.5 mm | 166 | R2 | 0.96 | 0.96 | 0.96 | 0.96 | 1159.15 ** | 0.980 * | |
| AIC | 759.65 | 760.73 | 738.87 | 732.99 | |||||
| Models | EMA 1 | p Value 2 | ||||||
|---|---|---|---|---|---|---|---|---|
| Orchard 1 (2020) | Orchard 1 (2021) | Orchard 2 | Orchard 3 | Orchard 1 (2020) | Orchard 1 (2021) | Orchard 2 | Orchard 3 | |
| Orchard 1 (2020) | 4.4% | 5.5% | 2.2% | 0.989 NS | 0.983 NS | 0.980 NS | ||
| Orchard 1 (2021) | 2.9% | 4.0% | 5.5% | 0.998 NS | 0.974 NS | 0.912 NS | ||
| Orchard 2 | 2.0% | 4.6% | 2.5% | 0.999 NS | 0.986 NS | 0.975 NS | ||
| Orchard 3 | 3.0% | 4.7% | 6.1% | 0.981 NS | 0.904 NS | 0.935 NS | ||
| Orchard 1 (2020) + Orchard 1 (2021) | 4.4% | 4.2% | 0.983 NS | 0.947 NS | ||||
| Orchard 1 (2021) + Orchard 2 | 2.7% | 4.8% | 0.998 NS | 0.930 NS | ||||
| Orchard 2 + Orchard 3 | 2.5% | 4.5% | 0.995 NS | 0.970 NS | ||||
| Orchard 1 (2020) + Orchard 2 | 4.3% | 2.2% | 0.989 NS | 0.979 NS | ||||
| Orchard 1 (2021) + Orchard 3 | 2.8% | 4.6% | 0.997 NS | 0.979 NS | ||||
| Orchard 1 (2020) + Orchard 3 | 4.3% | 5.4% | 0.980 NS | 0.982 NS | ||||
| Orchard 1 (2020) + Orchard 1 (2021) + Orchard 2 | 3.9% | 0.952 NS | ||||||
| Orchard 1 (2020) + Orchard 1 (2021) + Orchard 3 | 4.7% | 0.984 NS | ||||||
| Orchard 1 (2020) + Orchard 2 + Orchard 3 | 4.3% | 0.984 NS | ||||||
| Orchard 1 (2021) + Orchard 2 + Orchard 3 | 2.7% | 0.998 NS | ||||||
| Minimum | 2.0% | 4.3% | 4.0% | 2.2% | 0.981 | 0.904 | 0.935 | 0.912 |
| Maximum | 3.0% | 4.7% | 6.1% | 5.5% | 0.999 | 0.989 | 0.984 | 0.980 |
| Orchard Number | EMA 1 | p Value 2 | |
|---|---|---|---|
| Orchard 4 | 4.5% | 0.977 | NS |
| Orchard 5 | 11.3% | 0.788 | NS |
| Orchard 6 | 7.5% | 0.848 | NS |
| Orchard 7 | 11.3% | 0.330 | NS |
| Orchard 8 | 12.5% | 0.684 | NS |
| Fruit Size Grade | S | M | L | 2L | 3L | Total 1 | |
|---|---|---|---|---|---|---|---|
| Estimated value | Number of fruits | 25 | 60 | 709 | 1038 | 119 | 1951 |
| Proportions | 1.3% | 3.1% | 36.4% | 53.2% | 6.1% | ||
| Actual value | Number of fruits | 22 | 53 | 701 | 1081 | 92 | 1951 |
| Proportions | 1.1% | 2.7% | 35.9% | 55.4% | 4.7% | ||
| Differences 2 | Number of fruits | 3 | 7 | 8 | −43 | 27 | 0 |
| Proportions | 0.1% | 0.3% | 0.4% | −2.2% | 1.4% | ||
| Fruit Size Grade | S | M | L | 2L | 3L | Total 1 | |
|---|---|---|---|---|---|---|---|
| Estimated value | Number of fruits | 51 | 173 | 734 | 231 | 6 | 1195 |
| Proportions | 4.3% | 14.5% | 61.4% | 19.3% | 0.5% | ||
| Actual value | Number of fruits | 42 | 161 | 801 | 189 | 1 | 1195 |
| Proportions | 3.5% | 13.5% | 67.0% | 15.8% | 0.1% | ||
| Differences 2 | Number of fruits | 9 | 12 | −67 | 42 | 5 | 0 |
| Proportions | 0.8% | 1.0% | −5.6% | 3.5% | 0.4% | ||
| Fruit Size Grade | S | M | L | 2L | 3L | Total 1 | |
|---|---|---|---|---|---|---|---|
| Estimated value | Number of fruits | 30 | 145 | 776 | 341 | 16 | 1308 |
| Proportions | 2.3% | 11.1% | 59.3% | 26.1% | 1.2% | ||
| Actual value | Number of fruits | 47 | 167 | 732 | 350 | 10 | 1308 |
| Proportions | 3.6% | 12.8% | 56.0% | 26.8% | 0.8% | ||
| Differences 2 | Number of fruits | −17 | −22 | 44 | −9 | 6 | 0 |
| Proportions | −1.3% | −1.7% | 3.4% | −0.7% | 0.5% | ||
| Fruit Size Grade | S | M | L | 2L | 3L | Total 1 | |
|---|---|---|---|---|---|---|---|
| Estimated value | Number of fruits | 764 | 882 | 1266 | 121 | 0 | 3033 |
| Proportions | 25.2% | 29.1% | 41.7% | 4.0% | 0.0% | ||
| Actual value | Number of fruits | 657 | 995 | 1296 | 27 | 0 | 3033 |
| Proportions | 21.7% | 32.8% | 42.7% | 0.9% | 0.0% | ||
| Differences 2 | Number of fruits | 107 | −113 | −30 | 94 | 0 | 0 |
| Proportions | 3.5% | −3.7% | −1.0% | 3.1% | 0.0% | ||
| Fruit Size Grade | S | M | L | 2L | 3L | Total 1 | |
|---|---|---|---|---|---|---|---|
| Estimated value | Number of fruits | 45 | 141 | 648 | 314 | 15 | 1162 |
| Proportions | 3.9% | 12.1% | 55.8% | 27.0% | 1.3% | ||
| Actual value | Number of fruits | 31 | 136 | 721 | 270 | 4 | 1162 |
| Proportions | 2.7% | 11.7% | 62.0% | 23.2% | 0.3% | ||
| Differences 2 | Number of fruits | 14 | 5 | −73 | 44 | 11 | 0 |
| Proportions | 1.2% | 0.4% | −6.3% | 3.7% | 0.9% | ||
Disclaimer/Publisher’s Note: The statements, opinions and data contained in all publications are solely those of the individual author(s) and contributor(s) and not of MDPI and/or the editor(s). MDPI and/or the editor(s) disclaim responsibility for any injury to people or property resulting from any ideas, methods, instructions or products referred to in the content. |
© 2024 by the authors. Licensee MDPI, Basel, Switzerland. This article is an open access article distributed under the terms and conditions of the Creative Commons Attribution (CC BY) license (https://creativecommons.org/licenses/by/4.0/).
Share and Cite
Tanimoto, Y.; Yoshida, S. A Method of Constructing Models for Estimating Proportions of Citrus Fruit Size Grade Using Polynomial Regression. Agronomy 2024, 14, 174. https://doi.org/10.3390/agronomy14010174
Tanimoto Y, Yoshida S. A Method of Constructing Models for Estimating Proportions of Citrus Fruit Size Grade Using Polynomial Regression. Agronomy. 2024; 14(1):174. https://doi.org/10.3390/agronomy14010174
Chicago/Turabian StyleTanimoto, Yuu, and Shinichi Yoshida. 2024. "A Method of Constructing Models for Estimating Proportions of Citrus Fruit Size Grade Using Polynomial Regression" Agronomy 14, no. 1: 174. https://doi.org/10.3390/agronomy14010174
APA StyleTanimoto, Y., & Yoshida, S. (2024). A Method of Constructing Models for Estimating Proportions of Citrus Fruit Size Grade Using Polynomial Regression. Agronomy, 14(1), 174. https://doi.org/10.3390/agronomy14010174
