Abstract
Supplemental irrigation under a ridge-furrow (RF) cropping system is a valuable cropping practice that balances resource efficiency and high crop yield. However, the effects of nitrogen management on crop growth, yield formation, and economic benefits under RF systems have not been clearly investigated. In this study, the experiment was designed with three experimental factorials, including three cropping systems (RF, RF cropping with 80 mm irrigation; TF1, traditional flat cropping with 200 mm irrigation; and TF2, traditional flat cropping with 80 mm irrigation), two nitrogen application rates (NL, 180 kg N ha−1; NH, 240 kg N ha−1), and two fertilizer application models (B, all nitrogen fertilizers were applied basally at the pre-sowing stage; BT, nitrogen fertilizer was applied at both the pre-sowing and jointing stages at a ratio of 1:1). A two-year field experiment was conducted to investigate the effects of nitrogen fertilizer management on wheat yield, water and nitrogen utilization, and economic benefits under the RF cropping system. The results showed that the RF system significantly increased the soil moisture content and improved the water productivity (WP) and grain yield of wheat. Nitrogen reduction (NL) under the RF system did not affect the water use of the wheat compared with traditional high nitrogen application (NH) but increased the nitrogen uptake and fertilizer productivity of the wheat. Although NL led to a reduction in aboveground dry matter accumulation, it did not significantly affect the yield of wheat but increased the net income of wheat cultivation. Under NL conditions, the BT nitrogen application model promoted nitrogen uptake in wheat and ameliorated the reduction in grain protein content due to plastic film mulching, and this model is an integrated planting practice that trades off wheat yield and quality. These findings suggest that NLBT is a promising and recommendable cropping practice under RF systems considering resource utilization, high yield and quality, and economic efficiency.
1. Introduction
Water is a significant resource for agricultural production but greatly limited by its uneven spatiotemporal distribution [1]. To save water resources and decrease water shortages in agricultural production, drought tolerance mechanisms in different crops have been extensively studied [2,3,4]. As a cropping practice to ensure the use of water in sustainable agricultural and efficient food production, water-saving cultivation techniques reduce the dependence of crop production on irrigation water by improving water productivity (WP) through the efficient use of precipitation and irrigation water [5,6,7]. It is significant for sustainable crop production to develop water-saving agricultural technologies and reduce irrigation water while maintaining higher crop yields.
In the dry farming areas of the Loess Plateau in China, the ridge-furrow (RF) cropping system, which can collect rainwater to ensure crop growth and food production, is widely used due to the shortage of irrigation resources [8,9]. In the RF cropping system, due to the hydrophobic characteristic of plastic film, the rainwater falling on the mulched ridge, especially in fine drops, flows easily to the furrow and infiltrates the soil, which increases the collection of rainwater under low-rainfall conditions [10,11]. Furthermore, the RF cropping system can significantly reduce soil water evaporation during early crop growth, and trapped water can make major contributions to subsequent crop growth and development [11]. Moreover, some studies have shown that since the RF cropping system can improve the efficiency of rainfall utilization, with a small amount of supplemental irrigation, it can further improve the yield potential of the crop [5,7,12].
Nitrogen (N) deficiency is one of the important limiting factors for crop productivity [13]. However, excessive nitrogen application can lead to negative environmental impacts such as nitrate leaching and N2O emissions [14,15]. Improving N use efficiency (NUE) is one of the most effective practices to improve crop productivity and reduce the environmental burden and production input [16]. Reducing the N fertilizer application rate with a high crop yield is considered to be an ideal N fertilizer management strategy and an environmentally friendly cropping practice [17]. Previous studies have shown that sufficient available soil water can promote fertilizer uptake and utilization by crops [6,18]. Moreover, it has been shown that soil N mineralization is accelerated under plastic film mulching [19]. However, Liu et al. [20] found that N losses were intensified under the RF cropping system. This suggests that the RF cropping system and irrigation amounts affect soil N metabolism and crop uptake. Furthermore, an appropriate increase in soil N content is beneficial to improve water productivity (WP) [21]. These results show that there is an interaction between water and N. Currently, studies on N metabolism under the RF cropping system have mainly focused on soil N morphology as well as nitrogen emissions from agricultural fields. It is unclear whether there is a reciprocal relationship between available water and the N fertilizer application rate and whether reducing irrigation and N application could maintain a high wheat yield by increasing WP and NUE under the RF cropping system.
Considering the good performance of the RF cropping system in terms of yield and environment [7,11,22], it is necessary to further investigate the response of wheat to nitrogen management under the RF cropping system in terms of crop yield, water and N use efficiency, and economic benefits. Therefore, we conducted a two-year field experiment with different cropping practices (RF, RF cropping with 80 mm irrigation; TF1, traditional flat cropping with 200 mm irrigation; and TF2, traditional flat cropping with 80 mm irrigation), N application rates (NL, 180 kg N ha−1; NH, 240 kg N ha−1) and N application models (B, all N fertilizers were applied basally at the pre-sowing stage; BT, N fertilizer was applied at both the pre-sowing and jointing stages at a ratio of 1:1). The objectives of this experiment were to investigate the effects of N management on wheat yield, quality, water, the efficiency of N use, and economic efficiency under the RF cropping system. This investigation also provides a reference for the feasibility and sustainability of wheat cultivation under the RF cropping system in the Loess Plateau and other drought areas.
2. Materials and Methods
2.1. Experimental Details
The field experiments were conducted at the Doukou Experimental Station of the Northwest Agriculture and Forestry University, Jing Yang County, Shaanxi Province, China (108°52′ E, 34°36′ N) in 2015–2016 and 2016–2017. The soil of the experimental field is a silty clay loam, in which the pre-sowing topsoil (0–20 cm) contained 12.6 g kg−1 organic matter, 93.5 mg kg−1 available N, 20.3 mg kg−1 available P, and 242.3 mg kg−1 available K. The soil analyses were performed according to the methods of Liu [7]. The available N was measured by the alkaline hydrolysis diffusion method, the available P was measured by the sodium bicarbonate-Mo-Sb colorimetry method, and available K was measured by the ammonium acetate-flame photometry method. The daily maximum/minimum temperatures and precipitation during the wheat-growing season are shown in Figure 1. The total amounts of precipitation in the wheat-growing period of the two-year experiments were 124 and 131 mm, respectively.
Figure 1.
The average temperature and precipitation during the winter wheat growing seasons in 2015–2016 (A) and 2016–2017 (B). The total precipitation during the wheat growing seasons was 124 mm in 2015–2016 and 131 mm in 2016–2017.
A three-factor split-plot experimental design was adopted for this study with three replications for each treatment. The main plot of the experiment was three cropping systems (RF, RF planting with 80 mm irrigation; TF1, traditional flat planting with 200 mm irrigation; and TF2, traditional flat planting with 80 mm irrigation). The split-plot received two N fertilizer application rates (NL, 180 kg N ha−1; NH, 240 kg N ha−1), and the re-split plot had two N application models (B, all N fertilizers were applied basally at the pre-sowing stage; BT, N fertilizer was applied at both the pre-sowing and jointing stages at a ratio of 1:1) (Table 1).
Table 1.
Irrigation amount and fertilization schedule of various treatments.
The irrigation in the three cropping systems was performed during the wintering and jointing periods. Field TF1 received 100 mm irrigation for each period, while RF and TF2 each received 40 mm for the wintering and jointing periods respectively.
The 200 mm amount of irrigation ensures high wheat yields even in drought years and represents local irrigation rates for high-yield wheat production, while the 80 mm irrigation is based on our previous study [7] and represents the appropriate amount of supplemental irrigation in the RF system. Irrigation was carried out utilizing micro spray strips, and water meters were employed to control the irrigation volume. For nitrogen fertilizer application, 240 kg N ha−1 represented the application rate widely used by farmers in local wheat production, and 180 kg nitrogen ha−1 represented the optimal nitrogen fertilizer application rate [22].
The two-year wheat was sown on 15 October in 2015 and 18 October in 2016. The Xinong 979 variety was used for the experiments. In the RF cropping system, the width of both the ridge and furrow were 30 cm, and the height of each ridge was 15 cm. Transparent plastic film (0.012 mm) was mulched on the ridges to collect rainwater. The row spacing of wheat in the three cropping systems was 30 cm and the sowing rate was 150 kg ha−1. Before sowing, 50 kg P2O5 ha−1 was applied in addition to nitrogen fertilizer (urea). High-yielding field management measures were also adopted for pest and weed control during the experimental period.
2.2. Measurements and Calculations
2.2.1. Plant Growth, Grain Yield, and Quality
The number of tillers in two 1 m-long rows was measured for each plot at the three-leaf (Zadoks 13), wintering (Zadoks 17), jointing (Zadoks 31), anthesis (Zadoks 65) and mature (Zadoks 94) stages. At the mature stage, the aboveground total biomass was determined after the samples were dried in an oven at 80 °C for 36 h. The harvest index (HI) was calculated as the total seed weight divided by the aboveground biomass.
For each plot, three 1 m2 sections of plants were harvested. The grain yield components, including the spike number per unit area, the grain number per spike, and the grain weight (the grain moisture content was measured and converted to 13.5%), were measured and the grain yield calculated. The grain samples were dried naturally for quality analysis. The grain protein concentration and wet gluten concentration of the dough were determined by a near-infrared grain analyzer (DA7250; Perten, Sweden).
2.2.2. Water Productivity
In the jointing and mature stages, the soil moisture was measured at 0.2 m intervals to a depth of 0–2 m. For the RF system, soil samples were taken in the middle of the ridge and furrow, and the average value of the ridge and furrow was used as the soil moisture content of the RF treatment. Soil samples were collected using a soil auger, and all soil samples from each soil layer were collected and weighed for subsequent calculations. The method employed was that described by Li et al. [23] The soil moisture content (g g−1) was calculated by drying the soil to a constant weight at 105 °C. Total soil water storage (SWS) from 0 to 200 cm was calculated as follows:
where n is the number of soil layers, (g·cm−3) is the total soil weight of each layer, and (g·g−1) is the gravimetric water content of each layer. The actual evapotranspiration (ETa) for the whole winter wheat growing season was determined as follows:
where P (mm) is the total precipitation during the wheat-growing period, SWD (soil water depletion, mm) is the SWS of the 0~200 cm at water balance, and I (mm) is the total amount of irrigation. Deep subsurface infiltration was ignored in the calculation of ETa because of the good water retention capacity of the soil in the experimental field. Irrigation water productivity (IWP) and precipitation water productivity (PWP) were calculated by dividing the wheat yield by the total amount of irrigation and the total precipitation during the wheat growing season, respectively. WP was calculated as the ratio of wheat yield (kg ha−1) to ETa (mm) during the growing season. The determination of ETa refers to Fernández et al. [24] and ETa consists of soil water evaporation and plant transpiration.
2.2.3. Nitrogen Use Efficiency
The total nitrogen concentration in aboveground plants at maturity was determined by using H2SO4–H2O2 digestion and automatic Kjeldahl nitrogen determination (FOSS8400, Switzerland). Nitrogen partial factor productivity (NfP) was calculated as follows [7]:
2.2.4. Cost-Benefit Analysis
In the current economic evaluation system, the net income is output minus inputs during wheat production. The output includes wheat yield and straw income, while the input includes material costs (including wheat seed, fertilizer, mulching, herbicides, pesticides, and irrigation water), labor costs (including land preparation, ridge-furrow construction, mulching, fertilizer application, seeding, herbicide and pesticide spraying, irrigation, and plastic film removal), and machinery applications (including tillage, harvesting, and irrigation systems). Input for labor included ridge–furrow making and plastic film mulching, fertilizer application, sowing, irrigation, and herbicide and pesticide spraying. Labor cost was calculated according to the local labor price, which is 8 CNY per person per hour. Materials included wheat seeds, fertilizer (N, P and K), plastic film, herbicide, pesticide, irrigational water, and irrigation pipes. Machinery application involved tillage and harvesting. The gross profit includes the revenue of wheat seeds and straw. Seeds were calculated based on wheat prices in the harvest year, which were 2 CNY kg−1 and 2.1 CNY kg−1 in 2016 and 2017, respectively. Straw was calculated based on the local recovery price of 450 CNY ha−1. The exchange rate of RMB against the U.S. dollar was 6.6 in 2016 and 6.8 in 2017.
2.3. Statistical Analyses
Data collection and organization were performed using Excel 2016. Statistical analysis was completed using SPSS 25. Analysis of variance (ANOVA) was used to determine the significance of the main effects and their interactions. Means of the data for each treatment were calculated by averaging the values for each plot. The graphs were plotted using the original 2021 student version. Significant differences between treatments were compared based on the least significant difference test (LSD 0.05).
3. Results
3.1. Grain Yield and Quality
Under the three cropping systems, the RF and TF1 systems obtained significantly higher yields than the TF2 system (Table 2). In 2015–2016, the production of RF and TF1 was 1.4 times and 1.6 times more than TF2, respectively. In 2016–2017, the production of RF and TF1 was 1.2 times and 1.1 times more than TF2, respectively. In both years of the experiments, the wheat yield of RF and TF1 was high and showed no significant difference between them (p > 0.05). Compared to that under NH treatment, the two-year average grain yield under NL treatment was reduced by 4.0%, 3.5% and 52.5% in the RF, TF1 and TF2 cropping systems, respectively (Table 2). In addition, compared with the B, the BT significantly increased wheat yield in the RF and TF1.
Table 2.
Grain yield and yield components of winter wheat for three planting patterns under different nitrogen treatments in the 2015–2016 and 2016–2017 growing seasons.
There were significant differences in the protein content, wet gluten content, development time, and stability time of the wheat among the three cropping systems. No significant difference was found in protein content between RF and TF2, but it was significantly higher than that of TF1 (Table 3). The protein content of RF was higher by 3.7% and 3.3% in 2015–2016 and 2016–2017, respectively, compared to TF1, indicating that the RF system was beneficial in maintaining high crop quality. In terms of wet gluten content, development time, and stability time, the performance of the three cropping systems was in the order of TF2 > RF > TF1. Reduced nitrogen (NL) cultivation significantly reduced the wet gluten content, development time, and stability time of seeds under each cropping system (Table 3). In contrast, BT increased the protein content, wet gluten content, development time and stability time of the seeds under each cropping system. These results suggest that the RF system improved wheat quality while maintaining high grain yields.
Table 3.
Grain quality of winter wheat for three planting patterns under different nitrogen treatment in the 2015–2016 and 2016–2017 growing seasons.
3.2. Crop Growth and Dry Matter Production
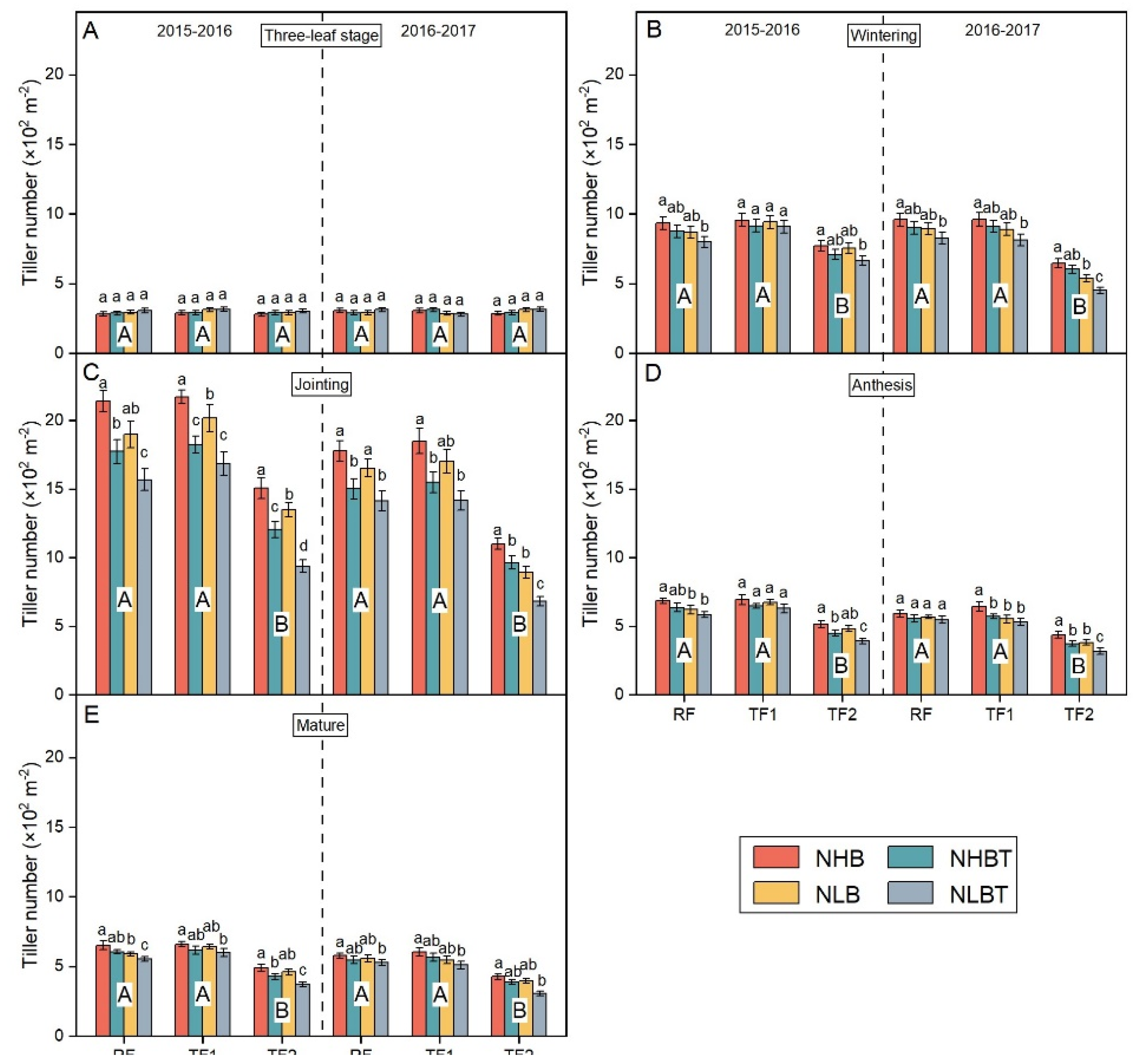
Both the RF system and different nitrogen fertilizer treatments significantly affected the tiller generation and the final effective spike number formation in wheat (Figure 2). The number of tillers was significantly higher in RF than in TF2 at the wintering, jointing, anthesis and mature stages but was not significantly different from that of TF1 (Figure 2B–E). The higher number of tillers and effective spikes resulted in significantly higher aboveground dry matter accumulation in RF and TF1 than in TF2 (Figure 3). The amount of nitrogen applied and the fertilization method significantly affected the number of tillers. Compared to NH, the tiller decreased by 10.0%, 7.7% and 19.2% (two-year average) under NL treatment in the three cropping systems (Figure 2C). Furthermore, the number of tillers was also significantly higher in the B treatment than in the BT treatment (Figure 2C). At maturity, the number of tillers in NLB and NLBT was 3% and 2% (two-year mean) lower in the RF system than in TF1, respectively (Figure 2E). Overall, the RF system promoted tiller occurrence and spike formation with reduced irrigation, but both NL and BT reduced the tiller occurrence and the final spike number to varying degrees.
Figure 2.
Tiller dynamics of winter wheat at different growth stages for three planting patterns under different nitrogen treatment in 2015–2016 and 2016–2017. Within a planting pattern for each year, means followed by the same lower-case letters are not significantly different according to LSD0.05 (n = 3). The different capital letters represent significant differences among the three cropping systems at the p = 0.05 level.
Figure 3.
Aboveground dry matter accumulation and the harvest index of winter wheat for three planting patterns under different nitrogen treatments in 2015–2016 and 2016–2017. Within a planting pattern for each year, means followed by the same lower-case letters are not significantly different according to LSD0.05 (n = 3). The different capital letters represent significant differences among the three cropping systems at the p = 0.05 level.
More tillers and effective spikes significantly increased the aboveground dry matter accumulation of RF and TF1, which increased by 146.6% and 147.9% more thanTF2, respectively (two-year average) (Figure 2C and Figure 3A). Under NL treatment, wheat aboveground dry matter accumulation decreased, but its harvest index increased. Moreover, BT did not significantly influence the aboveground dry matter accumulation and harvest index of the wheat.
3.3. Soil Moisture
Soil moisture was significantly different among the different cropping systems (Figure 4A,C and Figure 5A,C), while different nitrogen fertilizer treatments had little effect on soil moisture (Figure 4B,D and Figure 5B,D). Although the average soil moisture content of the 0–60 cm soil layer was RF > TF1 in 2015–2016 and TF1 > RF in 2016–2017, the average soil moisture content of the 0–60 cm soil layer in TF1 and RF was significantly higher than that of TF2 at jointing and maturity stages. For the different fertilizer application methods, neither nitrogen reduction nor nitrogen fertilizer setback had a significant effect on the tillage layer and deep soil moisture at the jointing and maturity stages.
Figure 4.
Profile of soil moisture (%) in the 0–200 cm soil layers with intervals of 20 cm at jointing stage of winter wheat during 2015–2017. Horizontal bars represent the LSD at p = 0.05. (n = 3). (A,B) are soil moisture changes for 2015–2016; (C,D) are soil moisture changes for 2016–2017. Data in (A,C) are mean values of soil moisture in the same planting pattern; (B,D) are mean values of soil moisture under the same nitrogen management practices.
Figure 5.
Profile of soil moisture (%) in the 0–200 cm soil layers with intervals of 20 cm at the maturity stage of winter wheat during 2015–2017. Horizontal bars represent the LSD at p = 0.05 (n = 3). (A,B) are soil moisture changes for 2015–2016; (C,D) are soil moisture changes for 2016–2017. Data in (A,C) are mean values of soil moisture in the same planting pattern; (B,D) are mean values of soil moisture under the same nitrogen management practices.
In water utilization, the cropping system and nitrogen application rate significantly affected the WP, IWP and PWP of wheat, while the fertilization method had no significant effect (Table 4). Compared to TF2, the WP, IWP and PWP of RF were higher by 46.7%, 107.5% and 30.6%, respectively (two-year average). Furthermore, the WP and IWP of RF were also 46.0% and 133.6% (two-year average) higher than TF1, respectively. Nitrogen reduction reduced the WP, IWP and PWP of wheat. Compared to NH, the WP of NL under RF, TF1 and TF2 decreased by 0.73%, 1.71% and 33.35%, respectively. IWP was lower by 0.74%, 1.79% and 33.29%, respectively. PWP was lower by 0.73%, 1.80% and 33.29% (two-year mean), respectively. The fertilizer application method did not significantly affect the water utilization of wheat.
Table 4.
Water productivity (WP), irrigation water productivity (IWP) and precipitation water productivity (PWP) of winter wheat for three planting patterns under different nitrogen treatments in 2015–2016 and 2016–2017.
3.4. Nitrogen Uptake and Utilization
In the two-year experiment, aboveground nitrogen uptake was significantly higher in the RFNHBT treatment than in the other treatments (Figure 6). Above-ground nitrogen uptake was higher in the BT treatment than in the B treatment at the same nitrogen level. Compared to the conventional cropping method (TF1NHB), the RFNLBT treatment decreased aboveground nitrogen uptake by 5.4% and 12.9%, respectively (p > 0.05), while the RFNLB treatment decreased by 15.5% and 16.4% (p < 0.05), respectively (Figure 6).
Figure 6.
Nitrogen uptake at maturity stage of winter wheat for three planting patterns under different nitrogen treatments in 2015–2016 and 2016–2017. Bars represent standard error (n = 3). Within each growing season, bars with different lowercase letters indicate significant differences among treatments at p < 0.05.
3.5. Economic Benefit Assessment
Compared with TF2, the RF system increased the total income of wheat production in two years (Table 5). However, due to the higher labor cost, the net income of the RF system was 28.1–29.4% lower than that of a conventional high-yield cropping system (TF1). For the RF system, the net income for the NL treatment was 1.0% and 7.8% higher than the NH treatment in the two-year trial, respectively, while in the TF1 system, the net income for the NL treatment was higher by 1.0% in 2015–2016 and lower by 0.7% in 2016–2017 compared to the NH treatment, suggesting that moderate nitrogen reduction may increase the net income in the RF system. Moreover, net income was higher in the BT treatment than in the B treatment under NH conditions in the RF system, but lower in the BT treatment than in the B treatment under NL conditions, suggesting that basal application of all nitrogen fertilizer under NL conditions in the RF system is beneficial in increasing net income from current wheat cultivation.
Table 5.
Input, output and net returns of wheat production under different treatments (US $ ha−1).
4. Discussion
4.1. Yield and Quality of Winter Wheat
As an important limitation to the economic income of wheat cultivation, yield and quality have been of great concern [25]. The RF cropping systems can improve soil hydrothermal conditions [10,26] and achieve high grain yields and a higher number of spikes per area and grains per spike [22]. In this study, more spikes per unit area, more grains per spike and a higher thousand-grain weight resulted in higher yields for the RF system than for the TF2 system (Table 2). In terms of wheat growth, the RF system increased the number of tillers and aboveground dry matter accumulation of wheat (Figure 2 and Figure 3), which made the RF planting pattern obtain a high yield close to that of traditional planting (TF1) with 60% less irrigation. These results show that RF can save irrigation water while fulfilling the goal of high crop yields.
In addition to water availability, nitrogen supply is an important factor that significantly affects the growth and yield performance of wheat [27,28]. Considering the increased costs and negative environmental effects associated with excessive nitrogen application, optimizing nitrogen application to reduce the amounts employed is an effective way to green production [6,25,29], such as reducing nitrogen application while ensuring plant demand and delaying application at different times. However, reducing nitrogen application reduces wheat grain yield by reducing the number of spikes per unit area and the number of grains per spike [30]. It has also been shown that the delayed application of nitrogen fertilizer can ensure high crop yield by maintaining high dry matter accumulation in wheat at flowering under equal nitrogen application conditions [17,31]. In the present study, the yield of the NL treatment under the RF system was slightly lower than that under traditional flat planting (TF1NHB), which could be explained by the relatively lower effective spike number per unit area and lower dry matter accumulation. Nevertheless, it is worth noting that the NL treatment under the RF system has more kernels per spike and a higher kernel weight than TF1NHB. These results showed that the RF system could maintain the high yield of wheat under the condition of nitrogen reduction. Zheng et al. [32] showed that a reasonable increase in density could improve the relatively low wheat yield under nitrogen reduction by increasing the number of panicles per unit area. In this study, wheat yield of the NL treatment under the RF system did not exceed traditional flat planting. However, it remains to be further investigated whether the high-yielding potential of wheat under the RF system can be further exploited under continuous optimization of nitrogen application and density improvement.
Yu et al. [33] found that there was a negative correlation between grain yield and protein content in wheat, which made it challenging to increase the two traits at the same time. Nitrogen application is widely recognized as an important factor in promoting protein storage and wheat grain quality [33,34]. Increased application of nitrogen fertilizer not only results in a high yield but also enhances the protein content of the wheat grain [28,34], which is one of the reasons for the frequent overfertilization in current wheat production. In this study, nitrogen reduction (NL) reduced the protein content in the three cropping systems by an average of 4.0% (RF), 1.5% (TF1), and 0.6% (TF2) in the two-year trial (Table 2). Nitrogen reduction in the two-year experiment resulted in a greater reduction in protein content in the RF system than in TF1, which may be caused by reduced post-flowering nitrogen uptake and re-transport in wheat under the RF system [28]. In addition to ensuring the nitrogen fertilizer application rate in RF systems, delaying the application of nitrogen fertilizer in different parts is also a measure that can improve grain quality. Moreover, it can also improve wheat grain quality by affecting protein content and dough rheological properties [35]. Our results also showed that BT treatment significantly increased the protein content and coarse gluten content of the grain, and the rate of increase in protein content was 47.3% (RF) and 108.7% (TF1) higher under NL than NH conditions, indicating that nitrogen fertilizer setback helps maintain grain quality under reduced nitrogen conditions. Although the BT treatment in the RF system did not make the grain protein content exceed that of traditional flat planting (TF1), our experiments showed that appropriate nitrogen management in the RF system could improve grain quality and promote the coordinated improvement of wheat yield and quality.
4.2. Water and Nitrogen Utilization
The RF system minimizes soil water consumption by efficiently collecting rainwater while reducing evaporation. Several studies have shown that RF can significantly reduce soil water evaporation and improve the utilization of rainfall resources [11,26,36]. Furthermore, it has been shown that the high yield potential of wheat can be further exploited through additional irrigation under an RF system [7,26]. In this study, although the RF system was irrigated with only 40% of the water volume of traditional flat planting, it obtained comparable yields to traditional flat planting (TF1) in a two-year experiment, which indicates that RF is feasible for the efficient use of irrigation water and conservation of agricultural water resources. Moreover, our results also showed that the RF system significantly increased both IWP and WP compared to the reduced irrigation treatment under flat crops and the traditional irrigated cropping system, which is consistent with previous findings [11,36]. It has been reported that there is an interaction between water and nitrogen use and that suitable nitrogen fertilization can promote water uptake [37,38,39]. However, the results of this experiment showed that the nitrogen application patterns we used did not significantly change the soil moisture content of the 0–200- layer cm of the experimental field, suggesting that the water use patterns of wheat may be similar under different fertilizer application patterns. We speculate that the similarity in crop water use under different nitrogen application patterns is due to the relative sufficiency of water for crop growth since most previous studies have conducted experiments under water-deficient conditions.
In addition to the effect of the nitrogen application rate, the water content is an important limiting factor for crop nitrogen absorption and utilization [40]. A sufficient water supply can promote nitrogen absorption and transport of crops. Supplementary irrigation at the jointing and flowering stages can improve grain yield and NUE [18]. A water deficit decreases soil urease and protease activities and reduces nutrient availability for plant growth [41]. In this study, the RF system improved the absorption of nitrogen, which may be attributed to the improvement of soil moisture during the whole growth period of the wheat, which also made the nitrogen productivity under NL in the RF system much higher than that under TF2. In addition, the fertilization mode of BT also promoted the nitrogen absorption of wheat. Nitrogen uptake in wheat was significantly lower under NL conditions than under NH conditions, but delaying nitrogen application (BT) alleviated the decline in the nitrogen absorption level. The improvement of nitrogen absorption by the fertilization application model provides the possibility for high yield and high-quality wheat [29,42,43]. In addition to the requirement for high crop yields, cropping arrangements based on reducing negative environmental effects are increasingly important as climate change proceeds. Since nitrogen application is the largest source of GHG emissions, reducing and delaying nitrogen application can reduce GHG emissions at the source [44,45]. Previous studies have shown that the RF system can reduce the carbon footprint of wheat production [45,46]. Moreover, the interception of water by plastic film mulching can reduce the leaching of nitrate nitrogen [18]. Overall, reduced nitrogen split application under RF may be a resource-efficient and environmentally friendly way to grow.
4.3. Economic Benefit Assessment
Whether the planting strategy can be accepted and applied by most farmers depends on whether it has advantages or potential in net profit. Our research shows that due to the high labor cost (46.9% of the total expenditure), the net income of the RF system is 28.1–29.4% lower than that of the TF1 system. Excessive labor costs are an important factor that limits the profitability of RF systems, which also provides the revenue potential of RF systems in the future, as mechanized applications can easily solve the labor input problem [47]. Currently, RF film mulching systems suitable for agricultural areas of the Loess Plateau have been applied in crop production [48]. Our group has also developed and patented an RF mulching planter suitable for wheat production (ZL201920166418.8). The research and improvement of these systems make the mechanization of ridge furrow film mulching planting technology feasible, which will significantly reduce the labor cost of RF planting and improve its net income. It is worth mentioning that the planting income of NL is not lower than that of NH but 4.4% higher than that of NH in the RF system, which offers the possibility of the practical application of nitrogen reduction under the RF system. These results are also consistent with previous research results, which reported that appropriate reductions in nitrogen application did not significantly reduce grain yield [5,29]. Another important point to note is that although delayed nitrogen application can improve wheat-grain quality, the labor cost of fertilizer application also limits the net benefit of current plantings. Recent studies have shown that slow-release fertilizer or controlled-release fertilizer can be used to replace topdressing fertilizer, which can achieve the effect of urea topdressing to reduce labor costs associated with fertilizer application [49]. The application of these innovative fertilizers not only provides convenience for nitrogen fertilizer management with high yield and high quality in wheat production but also reduces labor cost. It should be noted that the additional benefit from improved grain quality is not fully considered, as wheat grain is sold at a uniform local purchase price. In conclusion, with the use of mechanization and the application of slow-release fertilizers coupled with the additional benefits of quality improvement, NLBT treatment under an RF system would be a very profitable cropping practice.
The application of plastic film mulching technology has raised concerns about white pollution in agricultural fields [50]. Liquid films and degradable films can reduce the white pollution caused by plastic films, but their high price limits large-scale application in wheat production [51]. Brown et al. [52] found that the negative effects of plastic film on farm production were in fact not as severe as predicted. Due to the significant yield-increasing effect that cannot be ignored in the semiarid and semihumid drought-prone regions of Northwest China, the use of PF mulch in crop production is still maintained on a large scale [11,46]. Moreover, the degradation mechanisms of plastic films on farmland and alternatives to plastic films are currently under intensive research, making it possible to mitigate or solve the problem of agricultural white pollution caused by plastic film mulching [51]. In the future, it is important for the sustainable production of wheat in Northwest China to rationalize the use of plastic film mulching to increase yield and resource use efficiency while reducing white pollution.
5. Conclusions
Due to the increased soil moisture content, the RF planting system promoted wheat tiller formation and dry matter accumulation compared to traditional flat planting without plastic film mulching (TF2), which made it harvest the same high yield as TF2. Nitrogen reduction (NL) did not reduce the IWP and WP of wheat or the nitrogen partial factor productivity of wheat under the RF system compared to the traditional system with a high nitrogen application rate (NH). Moreover, NL maintained high wheat yields and increased net income under the RF system. Nitrogen uptake and grain quality can be improved by delayed nitrogen fertilizer application under the RF system. Although the net income of the RF systems was lower than that of TF1 systems under the experimental conditions, mechanized operations and the application of slow-release fertilizers add the potential for more profitability to this cropping system. Combining resource utilization, yield and quality performance, and the possible negative environmental effects of planting, RFNLBT is the recommended planting practice under the investigated conditions. It can supplement the recent knowledge utilizable in the agriculture of the irrigated fields on the Loess Plateau of China and other drought areas.
Author Contributions
Y.Y. and Y.L. (Yang Liu); Methodology, Y.Y., V.N., F.M., Y.L. (Yuncheng Liao) and Y.L. (Yang Liu); Software, Y.Y., Q.L. and B.L.; Formal analysis, Y.Y.; Investigation, Q.Q.; Data curation, Y.Y.; Writing—original draft, Y.Y. All authors have read and agreed to the published version of the manuscript.
Funding
This research was funded by The National Natural Science Foundation of China (31871567) and The Key Research and Development Program of Shaanxi (2021NY-083) The APC was funded by The National Natural Science Foundation of China (31871567) and The Key Research and Development Program of Shaanxi (2021NY-083).
Data Availability Statement
The data that support the findings of this study are available from the corresponding author upon reasonable request.
Acknowledgments
Thanks to Jian Luo for revising the English language.
Conflicts of Interest
The authors declare no conflict of interest.
References
- D’Odorico, P.; Chiarelli, D.D.; Rosa, L.; Bini, A.; Zilberman, D.; Rulli, M.C. The global value of water in agriculture. Proc. Natl. Acad. Sci. USA 2020, 117, 21985–21993. [Google Scholar] [CrossRef]
- Fleury, D.; Jefferies, S.; Kuchel, H.; Langridge, P. Genetic and genomic tools to improve drought tolerance in wheat. J. Exp. Bot. 2010, 61, 3211–3222. [Google Scholar] [CrossRef]
- Thapa, S.; Reddy, S.K.; Fuentealba, M.P.; Xue, Q.; Rudd, J.C.; Jessup, K.E.; Devkota, R.N.; Liu, S. Physiological responses to water stress and yield of winter wheat cultivars differing in drought tolerance. J. Agron. Crop Sci. 2018, 204, 347–358. [Google Scholar] [CrossRef]
- Wang, X.; Li, Q.; Xie, J.J.; Huang, M.; Cai, J.; Zhou, Q.; Dai, T.B.; Jiang, D. Abscisic acid and jasmonic acid are involved in drought priming-induced tolerance to drought in wheat. Crop J. 2021, 9, 120–132. [Google Scholar] [CrossRef]
- Gu, X.B.; Cai, H.J.; Chen, P.P.; Li, Y.P.; Fang, H.; Li, Y.N. Ridge-furrow film mulching improves water and nitrogen use efficiencies under reduced irrigation and nitrogen applications in wheat field. Field Crops Res. 2021, 270, 10. [Google Scholar] [CrossRef]
- Li, J.P.; Xu, X.X.; Lin, G.; Wang, Y.Q.; Liu, Y.; Zhang, M.; Zhou, J.Y.; Wang, Z.M.; Zhang, Y.H. Micro-irrigation improves grain yield and resource use efficiency by co-locating the roots and N-fertilizer distribution of winter wheat in the North China Plain. Sci. Total Environ. 2018, 643, 367–377. [Google Scholar] [CrossRef] [PubMed]
- Liu, Y.; Zhang, X.; Xi, L.; Liao, Y.; Han, J. Ridge-furrow planting promotes wheat grain yield and water productivity in the irrigated sub-humid region of China. Agric. Water Manag. 2020, 231, 105935. [Google Scholar] [CrossRef]
- Wei, T.; Dong, Z.Y.; Zhang, C.; Ali, S.; Chen, X.L.; Han, Q.F.; Zhang, F.C.; Jia, Z.K.; Zhang, P.; Ren, X.L. Effects of rainwater harvesting planting combined with deficiency irrigation on soil water use efficiency and winter wheat (Triticum aestivum L.) yield in a semiarid area. Field Crops Res. 2018, 218, 231–242. [Google Scholar] [CrossRef]
- Zhang, P.; Wei, T.; Han, Q.F.; Ren, X.L.; Jia, Z.K. Effects of different film mulching methods on soil water productivity and maize yield in a semiarid area of China. Agric. Water Manag. 2020, 241, 106382. [Google Scholar] [CrossRef]
- Gu, X.B.; Cai, H.J.; Zhang, Z.T.; Fang, H.; Chen, P.P.; Huang, P.; Li, Y.P.; Li, Y.N.; Zhang, L.; Zhou, J.M.; et al. Ridge-furrow full film mulching: An adaptive management strategy to reduce irrigation of dryland winter rapeseed (Brassica napus L.) in northwest China. Agric. For. Meteorol. 2019, 266, 119–128. [Google Scholar] [CrossRef]
- Li, C.J.; Wang, C.J.; Wen, X.X.; Qin, X.L.; Liu, Y.; Han, J.; Li, Y.J.; Liao, Y.C.; Wu, W. Ridge-furrow with plastic film mulching practice improves maize productivity and resource use efficiency under the wheat-maize double-cropping system in dry semi-humid areas. Field Crops Res. 2017, 203, 201–211. [Google Scholar] [CrossRef]
- Wu, Y.; Jia, Z.K.; Ren, X.L.; Zhang, Y.; Chen, X.; Bing, H.Y.; Zhang, P. Effects of ridge and furrow rainwater harvesting system combined with irrigation on improving water use efficiency of maize (Zea mays L.) in semi-humid area of China. Agric. Water Manag. 2015, 158, 1–9. [Google Scholar] [CrossRef]
- Cormier, F.; Foulkes, J.; Hirel, B.; Gouache, D.; Moenne-Loccoz, Y.; Le Gouis, J. Breeding for increased nitrogen-use efficiency: A review for wheat (T. aestivum L.). Plant Breed 2016, 135, 255–278. [Google Scholar] [CrossRef]
- Foulkes, M.J.; Hawkesford, M.J.; Barraclough, P.B.; Holdsworth, M.J.; Kerr, S.; Kightley, S.; Shewry, P.R. Identifying traits to improve the nitrogen economy of wheat: Recent advances and future prospects. Field Crops Res. 2009, 114, 329–342. [Google Scholar] [CrossRef]
- Zhou, M.H.; Butterbach-Bahl, K. Assessment of nitrate leaching loss on a yield-scaled basis from maize and wheat cropping systems. Plant Soil 2014, 374, 977–991. [Google Scholar] [CrossRef]
- Quan, Z.; Zhang, X.; Davidson, E.A.; Zhu, F.F.; Li, S.L.; Zhao, X.H.; Chen, X.; Zhang, L.M.; He, J.Z.; Wei, W.X.; et al. Fates and Use Efficiency of Nitrogen Fertilizer in Maize Cropping Systems and Their Responses to Technologies and Management Practices: A Global Analysis on Field N-15 Tracer Studies. Earth Future 2021, 9, 15. [Google Scholar] [CrossRef]
- Ravier, C.; Meynard, J.M.; Cohan, J.P.; Gate, P.; Jeuffroy, M.H. Early nitrogen deficiencies favor high yield, grain protein content and N use efficiency in wheat. Eur. J. Agron. 2017, 89, 16–24. [Google Scholar] [CrossRef]
- Guo, Z.J.; Zhang, Y.L.; Zhao, J.Y.; Shi, Y.; Yu, Z.W. Nitrogen use by winter wheat and changes in soil nitrate nitrogen levels with supplemental irrigation based on measurement of moisture content in various soil layers. Field Crops Res. 2014, 164, 117–125. [Google Scholar] [CrossRef]
- Hai, L.; Li, X.G.; Liu, X.E.; Jiang, X.J.; Guo, R.Y.; Jing, G.B.; Rengel, Z.; Li, F.M. Plastic Mulch Stimulates Nitrogen Mineralization in Urea-Amended Soils in a Semiarid Environment. Agron. J. 2015, 107, 921–930. [Google Scholar] [CrossRef]
- Liu, X.E.; Li, X.G.; Guo, R.Y.; Kuzyakov, Y.; Li, F.M. The effect of plastic mulch on the fate of urea-N in rain-fed maize production in a semiarid environment as assessed by N-15-labeling. Eur. J. Agron. 2015, 70, 71–77. [Google Scholar] [CrossRef]
- Wang, Y.; Zhang, X.Y.; Chen, J.; Chen, A.J.; Wang, L.Y.; Guo, X.Y.; Niu, Y.L.; Liu, S.R.; Mi, G.H.; Gao, Q. Reducing basal nitrogen rate to improve maize seedling growth, water and nitrogen use efficiencies under drought stress by optimizing root morphology and distribution. Agric. Water Manag. 2019, 212, 328–337. [Google Scholar] [CrossRef]
- Li, W.W.; Xiong, L.; Wang, C.J.; Liao, Y.C.; Wu, W. Optimized ridge-furrow with plastic film mulching system to use precipitation efficiently for winter wheat production in dry semi-humid areas. Agric. Water Manag. 2019, 218, 211–221. [Google Scholar] [CrossRef]
- Li, C.J.; Wen, X.X.; Wan, X.J.; Liu, Y.; Han, J.; Liao, Y.C.; Wu, W. Towards the highly effective use of precipitation by ridge-furrow with plastic film mulching instead of relying on irrigation resources in a dry semi-humid area. Field Crops Res. 2016, 188, 62–73. [Google Scholar] [CrossRef]
- Fernandez, J.E.; Alcon, F.; Diaz-Espejo, A.; Hernandez-Santana, V.; Cuevas, M.V. Water use indicators and economic analysis for on-farm irrigation decision: A case study of a super high density olive tree orchard. Agric. Water Manag. 2020, 237, 106074. [Google Scholar] [CrossRef]
- He, G.; Wang, Z.H.; Cao, H.B.; Dai, J.; Li, Q.; Xue, C. Year-round plastic film mulch to increase wheat yield and economic returns while reducing environmental risk in dryland of the Loess Plateau. Field Crops Res. 2018, 225, 1–8. [Google Scholar] [CrossRef]
- Gan, Y.T.; Siddique, K.H.M.; Turner, N.C.; Li, X.G.; Niu, J.Y.; Yang, C.; Liu, L.P.; Chai, Q. Ridge-Furrow Mulching Systems-An Innovative Technique for Boosting Crop Productivity in Semiarid Rain-Fed Environments. In Advances in Agronomy; Sparks, D.L., Ed.; Advances in Agronomy; Elsevier Academic Press Inc.: San Diego, CA, USA, 2013; Volume 118, pp. 429–476. [Google Scholar]
- Grant, C.A.; Wu, R.; Selles, F.; Harker, K.N.; Clayton, G.W.; Bittman, S.; Zebarth, B.J.; Lupwayi, N.Z. Crop yield and nitrogen concentration with controlled release urea and split applications of nitrogen as compared to non-coated urea applied at seeding. Field Crops Res. 2012, 127, 170–180. [Google Scholar] [CrossRef]
- Luo, L.C.; Wang, Z.H.; Huang, M.; Hui, X.L.; Wang, S.; Zhao, Y.; He, H.X.; Zhang, X.; Diao, C.P.; Cao, H.B.; et al. Plastic film mulch increased winter wheat grain yield but reduced its protein content in dryland of northwest China. Field Crops Res. 2018, 218, 69–77. [Google Scholar] [CrossRef]
- Du, Y.D.; Niu, W.Q.; Zhang, Q.; Cui, B.J.; Zhang, Z.H.; Wang, Z.; Sun, J. A synthetic analysis of the effect of water and nitrogen inputs on wheat yield and water- and nitrogen-use efficiencies in China. Field Crops Res. 2021, 265, 13. [Google Scholar] [CrossRef]
- Gastal, F.; Lemaire, G.; Durand, J.-L.; Louarn, G. Chapter 8—Quantifying crop responses to nitrogen and avenues to improve nitrogen-use efficiency. In Crop Physiology, 2nd ed.; Sadras, V.O., Calderini, D.F., Eds.; Academic Press: San Diego, CA, USA, 2015; pp. 161–206. [Google Scholar]
- Demotes-Mainard, S.; Jeuffroy, M.H. Effects of nitrogen and radiation on dry matter and nitrogen accumulation in the spike of winter wheat. Field Crops Res. 2004, 87, 221–233. [Google Scholar] [CrossRef]
- Zheng, B.Q.; Zhang, X.Q.; Wang, Q.; Li, W.Y.; Huang, M.; Zhou, Q.; Cai, J.; Wang, X.; Cao, W.X.; Dai, T.B.; et al. Increasing plant density improves grain yield, protein quality and nitrogen agronomic efficiency of soft wheat cultivars with reduced nitrogen rate. Field Crops Res. 2021, 267, 11. [Google Scholar] [CrossRef]
- Yu, Z.T.; Islam, S.; She, M.Y.; Diepeveen, D.; Zhang, Y.J.; Tang, G.X.; Zhang, J.J.; Juhasz, A.; Yang, R.C.; Ma, W.J. Wheat grain protein accumulation and polymerization mechanisms driven by nitrogen fertilization. Plant J. 2018, 96, 1160–1177. [Google Scholar] [CrossRef] [PubMed]
- Garrido-Lestache, E.; Lopez-Bellido, R.J.; Lopez-Bellido, L. Effect of N rate, timing and splitting and N type on bread-making quality in hard red spring wheat under rainfed Mediterranean conditions. Field Crops Res. 2004, 85, 213–236. [Google Scholar] [CrossRef]
- Tomaz, A.; Palma, J.F.; Ramos, T.; Costa, M.N.; Rosa, E.; Santos, M.; Boteta, L.; Dores, J.; Patanita, M. Yield, technological quality and water footprints of wheat under Mediterranean climate conditions: A field experiment to evaluate the effects of irrigation and nitrogen fertilization strategies. Agric. Water Manag. 2021, 258, 14. [Google Scholar] [CrossRef]
- Ali, S.; Ma, X.C.; Jia, Q.M.; Ahmad, I.; Ahmad, S.; Sha, Z.; Yun, B.; Muhammad, A.; Ren, X.L.; Shah, S.; et al. Supplemental irrigation strategy for improving grain filling, economic return, and production in winter wheat under the ridge and furrow rainwater harvesting system. Agric. Water Manag. 2019, 226, 10. [Google Scholar] [CrossRef]
- Morell, F.J.; Lampurlanes, J.; Alvaro-Fuentes, J.; Cantero-Martinez, C. Yield and water use efficiency of barley in a semiarid Mediterranean agroecosystem: Long-term effects of tillage and N fertilization. Soil Tillage Res. 2011, 117, 76–84. [Google Scholar] [CrossRef]
- Riar, A.; Gill, G.; McDonald, G. Effect of post-sowing nitrogen management on co-limitation of nitrogen and water in canola and mustard. Field Crops Res. 2016, 198, 23–31. [Google Scholar] [CrossRef]
- Wang, X.; Shi, Y.; Guo, Z.J.; Zhang, Y.L.; Yu, Z.W. Water use and soil nitrate nitrogen changes under supplemental irrigation with nitrogen application rate in wheat field. Field Crops Res. 2015, 183, 117–125. [Google Scholar] [CrossRef]
- Haefele, S.M.; Jabbar, S.M.A.; Siopongco, J.; Tirol-Padre, A.; Amarante, S.T.; Cruz, P.C.S.; Cosico, W.C. Nitrogen use efficiency in selected rice (Oryza sativa L.) genotypes under different water regimes and nitrogen levels. Field Crops Res. 2008, 107, 137–146. [Google Scholar] [CrossRef]
- Sardans, J.; Penuelas, J. Drought decreases soil enzyme activity in a Mediterranean Quercus ilex L. forest. Soil Biol. Biochem. 2005, 37, 455–461. [Google Scholar] [CrossRef]
- Saudy, H.S.; El-Metwally, I.M. Effect of Irrigation, Nitrogen Sources, and Metribuzin on Performance of Maize and Its Weeds. Commun. Soil Sci. Plant Anal. 2023, 54, 22–35. [Google Scholar] [CrossRef]
- Saudy, H.S.; Hamed, M.F.; Abd El-Momen, W.R.; Hussein, H. Nitrogen use Rationalization and Boosting Wheat Productivity by Applying Packages left-to-right markof Humic, Amino Acids, and Microorganisms. Commun. Soil Sci. Plant Anal. 2020, 51, 1036–1047. [Google Scholar] [CrossRef]
- Liu, D.T.; Song, C.C.; Fang, C.; Xin, Z.H.; Xi, J.; Lu, Y.Z. A recommended nitrogen application strategy for high crop yield and low environmental pollution at a basin scale. Sci. Total Environ. 2021, 792, 13. [Google Scholar] [CrossRef] [PubMed]
- Xiong, L.; Liang, C.; Ma, B.L.; Shah, F.; Wu, W. Carbon footprint and yield performance assessment under plastic film mulching for winter wheat production. J. Clean. Prod. 2020, 270, 10. [Google Scholar] [CrossRef]
- Wang, L.L.; Coulter, J.A.; Li, L.L.; Luo, Z.Z.; Chen, Y.L.; Deng, X.P.; Xie, J.H. Plastic mulching reduces nitrogen footprint of food crops in China: A meta-analysis. Sci. Total Environ. 2020, 748, 12. [Google Scholar] [CrossRef] [PubMed]
- Shaviv, A. Advances in controlled-release fertilizers. Adv. Agron. 2001, 71, 1–49. [Google Scholar]
- Zheng, J.; Fan, J.L.; Zhang, F.C.; Guo, J.J.; Yan, S.C.; Zhuang, Q.L.; Cui, N.B.; Guo, L. Interactive effects of mulching practice and nitrogen rate on grain yield, water productivity, fertilizer use efficiency and greenhouse gas emissions of rainfed summer maize in northwest China. Agric. Water Manag. 2021, 248, 15. [Google Scholar] [CrossRef]
- Ma, Q.; Wang, M.Y.; Zheng, G.L.; Yao, Y.; Tao, R.R.; Zhu, M.; Ding, J.F.; Li, C.Y.; Guo, W.S.; Zhu, X.K. Twice-split application of controlled-release nitrogen fertilizer met the nitrogen demand of winter wheat. Field Crops Res. 2021, 267, 9. [Google Scholar] [CrossRef]
- Liu, E.K.; He, W.Q.; Yan, C.R. ‘White revolution’ to ‘white pollution’—Agricultural plastic film mulch in China. Environ. Res. Lett. 2014, 9, 091001. [Google Scholar] [CrossRef]
- Shah, F.; Wu, W. Chapter Five—Use of plastic mulch in agriculture and strategies to mitigate the associated environmental concerns. In Advances in Agronomy; Sparks, D.L., Ed.; Academic Press: Cambridge, MA, USA, 2020; Volume 164, pp. 231–287. [Google Scholar]
- Brown, R.W.; Chadwick, D.R.; Thornton, H.; Marshall, M.R.; Bei, S.K.; Distaso, M.A.; Bargiela, R.; Marsden, K.A.; Clode, P.L.; Murphy, D.V.; et al. Field application of pure polyethylene microplastic has no significant short-term effect on soil biological quality and function. Soil Biol. Biochem. 2022, 165, 15. [Google Scholar] [CrossRef]
Disclaimer/Publisher’s Note: The statements, opinions and data contained in all publications are solely those of the individual author(s) and contributor(s) and not of MDPI and/or the editor(s). MDPI and/or the editor(s) disclaim responsibility for any injury to people or property resulting from any ideas, methods, instructions or products referred to in the content. |
© 2023 by the authors. Licensee MDPI, Basel, Switzerland. This article is an open access article distributed under the terms and conditions of the Creative Commons Attribution (CC BY) license (https://creativecommons.org/licenses/by/4.0/).





