Abstract
Organic biostimulators support wheat growth in unfavorable conditions; however, to date, multifactorial assessments of their role in the plant–pesticide–pathogen system have been poorly investigated. The goal of this study was to evaluate the changes in the metabolite profile (protein, carbohydrate, phenolic compounds, acid phosphatases, and amino acids) and the antioxidant potential (antioxidant enzymes) of wheat that is infested with F. culmorum and exposed to humic acids, nitrophenols, and six pesticides. Additionally, the concentration of the mycotoxins in the wheat grain and the dissipation time of the six pesticides in the wheat plants were determined. In this multifactorial experiment, we explored differentiated activities of humic acids and nitrophenols in wheat metabolism during fungal pathogenesis and pesticide protection. Nitrophenols decreased oxidative stress through induced catalase activity. In contrast, humic acids contributed to the highest enhancement of the total level of carbohydrates (27%) in the inoculated wheat. Both biostimulators reduced the mycotoxin concentration (DON, 3-AcDON, 15-AcDON, NIV) by 32% and nitrophenols increased the concentration of amino acids (13%). Unexpectedly, humic acids and nitrophenols shortened the degradation time (DT50) of spiroxamine by up to 60% in inoculated wheat. The overall results of this study provide novel information on the changes in wheat metabolites, antioxidant defense, and pesticide dissipation in the pesticide–biostimulator–pathogen system.
1. Introduction
The application of biostimulators is a promising solution in integrated wheat protection. They are used as agents for improving plant growth and yield quality, and for supporting chemical protection. Biostimulators are divided into compounds of organic (humic and fulvic acids, nitrophenols, plant hormones, amino acids, protein hydrolysates, seaweed extracts, and microorganisms) and inorganic (titanium, silicon, selenium, cobalt, or aluminum) origin [1]. Pesticides are chemicals that are commonly used in wheat protection to promote crop growth by destroying weeds and fungi. Basic chemical treatment in wheat cultivation includes herbicide (H) application [2]. In agricultural practice, phosphonoglycine, aryloxyalkanoic and benzoic acids, alkyl chlorophenoxy, and sulfonylurea herbicides are the most common, while fungicides (F) are used less frequently. Fungicide groups that are commonly applied to combat fungal diseases in wheat are strobilurins, triazoles, spiroketalamines, and benzimidazoles [2]. Fusarium spp.—especially F. culmorum, F. graminearum, F. avenaceum, F. poae, F. oxysporum, and F. equiseti—are common wheat pathogens and may lead to the development of wheat diseases, including seedling blight, foot rot, Fusarium head blight (FHB), and Fusarium crown rot (FCR). FHB and FCR are among the most significant wheat diseases worldwide [3]. They decrease yield, deteriorate wheat quality, and lead to grain contamination by mycotoxins—such as deoxynivalenol (DON) and its metabolites (3-AcDON, 15-AcDON), zearalenone (ZEA), nivalenol (NIV), fusarenone X (FusX), HT-2 toxin, T-2 toxin, and fumonisins (FUM)—which are one of the most toxic substances to humans and animals [4]. Despite the beneficial effects of biostimulators and pesticides in wheat protection, knowledge about their influence on plant metabolic status and physiological stress level, as well as their interactions with pathogenic fungi, remains insufficient. Shahzad et al. [5] indicated that pesticides contribute to changes in the concentration of selected metabolites and molecular signaling compounds. It has been reported that treatments based on butachlor (H), chlorpyrifos (I), and tricyclazole (F) modulate the carbohydrate, amino acid, and fatty acid metabolism [6], while the herbicides linuron, clomazone, and metribuzin cause an increase in polyphenol content [7]. Amiri et al. [8] determined a decrease in photosynthetic dyes and improvements in phenolic compounds, flavonoids, and carbohydrate levels in potato under exposure to different types of pesticides: abamectin (I), cymoxanil (F), and metribuzin (H). As agents supporting the health of the target plant, biostimulators can mitigate the adverse effects of oxidative stress [9]. An organic biostimulator based on Ascophyllum nodosum seaweed extract caused an increase in the level of photosynthetic dyes and carbohydrates in tomato leaves under drought stress [10]. Moreover, Garcia-Garcia et al. [11] noted an accumulation of phenolic compounds after the application of S-methylmethionine in maize that was subjected to low-temperature stress, while biostimulators based on selenium caused the accumulation of photosynthetic dyes in tomatoes that were exposed to cadmium stress [11]. A fluoride biostimulator increased the concentration of chlorophyll and reduced lipid peroxidation in barley under aluminum stress [12]. Moreover, Campos et al. [13] indicated that a biostimulator consisting of silicon can increase cell membrane integrity and photosynthetic efficiency while decreasing reactive oxygen species formation in maize that is under salinity stress. Most studies using biostimulators focus on environmental factors and the impact of heavy metals on plant biochemistry, while reports on the impact of pesticides on plant metabolism are scarce. The effect of biostimulators on the behavior of pesticides is especially poorly documented, and the studies there are mainly concern the soil. Biostimulators can extend or shorten the degradation time (DT50) of the compound, which is very important to the calculation of the grace period. Amin et al. [14] indicated a shortened dissipation time of chlorpyrifos (I) in soil that was amended with a urea biostimulator. Baćmaga et al. [15] investigated tebuconazole (F) degradation in soil when compost based on green waste and bird droppings was applied. Carpio et al. [16] noticed a shortened dissipation of chlorotoluron (H) and flufenacet (H) in soil that was enriched with biostimulators of green waste and spent mushroom substrate, while an improved degradation of terbuthylazine (H) was determined in soil enriched with biostimulators based on humic acids [17]. The insufficiently described effects of biostimulator–pesticide–pathogen crosstalk was the primary motivating factor for undertaking this study. The goal of this three-stage research was to comprehensively evaluate the influence of Fusarium culmorum, two organic biostimulators, one herbicide, and five fungicides that are commonly used in plant protection (and which were applied on wheat as a model system). The first stage was to evaluate the activities of the antioxidant enzymes in wheat leaves, the second focused on the behavior of pesticides in wheat plants, and the third concerned the evaluation of the metabolic and mycotoxin profiles in wheat grain.
2. Materials and Methods
2.1. Chemicals and Reagents
Pesticide analytical standards (sulfosulfuron, propiconazole, cyproconazole, spiroxamine, tebuconazole, triadimenol, purity > 98%) were purchased from the Dr. Ehrenstorfer Laboratory (Augsburg, Germany). Analytical-grade solvents for the chromatographic analysis (ammonium formate, acetonitrile) and formic acid were obtained from Sigma-Aldrich (Steinheim, Germany). QuEChERS sorbents (magnesium sulfate, sodium chloride, sodium citrate dihydrate, di-sodium hydrogen citrate 1.5-hydrate) and clean-up salts (graphitized carbon, primary-secondary amine, magnesium sulfate (GCB/PSA/MgSO4)) were procured from UCT (Bristol, PA, USA). The plant protection products for the phytotron experiment—Apyros 75 WG (sulfosulfuron—75%); Artea 330 EC (propiconazole (22.40%) + cyproconazole (7.16%)); and Falcon 460 EC (spiroxamine (25.25%) + tebuconazole (16.87%) + triadimenol (4.34%))—were purchased from Monsanto (Creve Coeur, USA), Syngenta (Basel, Switzerland), and Bayer (Leverkusen, Germany), respectively. The humic biostimulator Florahumus (humic and fulvic acids (>95%), C, N, P2O5, K2O, Cu, Zn, Mn, and Ni (<5%)) was obtained from Sieniawa Lubuska, Poland. The Asahi SL biostimulator (0.3% sodium para-nitrophenolate, 0.2% sodium ortho-nitrophenolate, and 0.1% sodium 5-nitroguaiacolate) was purchased from Adama (Warsaw, Poland). The potato dextrose broth (PDB) and potato dextrose agar (PDA) media for F. culmorum cultures were obtained from Oxoid Limited (Basingstoke, UK). Reagents for analysis of the wheat metabolites and antioxidants (e.g., methanol, NaOH, sulfuric acid 95%, phenol solution 10%, ethanol, Folin–Ciocalteu reagent, riboflavin, NADH, methionine, and sodium phosphate) were obtained from Sigma-Aldrich (Steinheim, Germany). A total of 20 amino acid standards (alanine, arginine, asparagine, aspartic acid, cystine, glutamic acid, glutamine, glycine, histidine, isoleucine, leucine, lysine, methionine, phenylalanine, proline, serine, threonine, tryptophan, tyrosine, and valine) at >99% were obtained from Sigma-Aldrich. In addition, 13 mycotoxin standards (zearalenone (ZEN), deoxynivalenol (DON) and its acetylated form (3-AcDON, 15-AcDON), diacetoxyscirpenol (DAS), nivalenol (NIV), fusarenone X (FusX), T-2 toxin, neosolaniol (NEO), HT-2 toxin, and fumonisins (FUM B1, FUM B2, FUM B3)) at 99–99.5% were purchased from LGC (Wasel, Germany).
2.2. Design of Experiment under Controlled Conditions
Common wheat (Triticum aestivum L.) seeds of the Telimena cultivar were purchased from Danko (Choryń, Poland). The seeds were sown in experimental pots with soil (60 × 20 × 15 cm with 3 repetitions per each treatment and control, and 50 seeds per pot according to the sowing standard) in a phytotron (Pol-Eko KK 1450 TCP+). The main soil components were as follows: 0.63 mg g−1 P2O5, 0.087 mg g−1 K2O, 0.076 mg g−1 Mg, and pH 6.2. The pots were positioned with 30 cm of interspace under controlled growth conditions of 16 °C/12 °C and 12 h/12 h light/dark intervals. The average humidity was 80%. Plants were watered once a week with 1 L of water per pot. The F. culmorum was obtained from the Bank of Plant Pathogens at the Institute of Plant Protection-National Research Institute (Poznan, Poland). It was stored in a glycerol–PDB stock (1:2, v/v) at −80 °C. Next, the F. culmorum was cultured in a PDA medium for 7 days at 23 °C. Then, 20 mL of the PDB medium was poured onto the mycelium, and it was scraped to obtain a spore suspension. This was adjusted to a 5.0 × 108 colony forming unit (CFU) and was then sprayed onto the plants. Inoculation was carried out once, 7 days before the application of the biostimulators (BBCH 30). The following biostimulators were applied: a commercial humic biostimulator (humic and fulvic acids (>95%), C, N, P2O5, K2O, Cu, Zn, Mn, Ni (<5%), and 200 mL ha−1) and a commercial nitrophenolic biostimulator (sodium para-nitrophenolate, sodium ortho-nitrophenolate, sodium 5-nitroguaiacolate, and 600 mL ha−1). The biostimulators were applied three times, one day before each pesticide. The following plant protection products were used: commercial herbicide (sulfosulfuron applied at BBCH 31; 26.5 g ha−1), commercial fungicide 1 (propiconazole + cyproconazole applied at BBCH 32; 200 mL ha−1), and commercial fungicide 2 (spiroxamine + tebuconazole + triadimenol applied at BBCH 65; 600 mL ha−1) (Figure 1). The plants were removed from the phytotron during the treatments. The inoculation and application of the biostimulators and pesticides were carried out using a compressed air backpack sprayer with 2 nozzles (XR Tee Jet 110 02 XR and 03 XR) at a liquid flow rate of 10 mL m−2. Each treatment was performed in triplicate. For the determination of the sulfosulfuron herbicide dissipation, the wheat plants were collected on days 1, 2, 5, and 8 after pesticide application. For the determination of fungicide dissipation (propiconazole, cyproconazole, spiroxamine, tebuconazole, triadimenol), wheat plants were collected on days 1, 3, 5, 8, 15, 22, and 28 after pesticide application. The plants were milled using a laboratory mill (Waring Commercial, Torrington, CT, USA) and stored at −20 °C until further use. Harvested and milled grain was stored at −20 °C for the analysis of wheat metabolites and mycotoxins. The leaves for the determination of antioxidant enzyme activity were stored at −80 °C and ground in a mortar just before analysis. Analysis of each examined parameter was performed in triplicate.
Figure 1.
Details of treatments and examined parameters in wheat.
2.3. Determination of the Activity of Antioxidant Enzymes in Wheat Leaves
The activities of antioxidant enzymes in wheat leaves were determined after the application of commercial herbicide (sulfosulfuron and commercial fungicide 1: propiconazole + cyproconazole (in BBCH 31-39)). Since the late recommended application date for commercial fungicide 2 (BBCH 65) was characterized by the absence of green leaves on wheat at this stage, the activities of antioxidant enzymes were not determined after the application of fungicide 2. The activities of catalase (CAT), NADH-dependent peroxidase (POD), and superoxide dismutase (SOD) were assessed in wheat leaves on days 1, 5, and 8 after the application of sulfosulfuron and propiconazole + cyproconazole, to evaluate the stress level during pesticide dissipation and development of F. culmorum infestation. Enzyme activities were expressed as the U of enzyme per mg of protein. CAT activity was determined in 0.5 g of wheat leaves. They were ground in a chilled mortar with phosphate buffer (pH 7). Samples were centrifuged at 17,500 g for 15 min at 4 °C. The supernatant (100 µL) was mixed with 1.9 mL of phosphate buffer (pH 7) and 0.01% H2O2 (1 mL). Enzyme activity was determined using a spectrophotometer (Implen, Duren, Germany) at a wavelength of 240 nm [18]. POD activity was determined in 0.5 g of leaves. They were ground in a chilled mortar with phosphate buffer (pH 7), and samples were centrifuged at 17,500 g for 15 min at 4 °C. The supernatant (100 µL) was mixed with 2.7 mL of phosphate buffer (pH 7), followed by 0.04% MnCl2 (20 µL) and 0.14% NADH solutions (150 µL). Enzyme activity was determined using a spectrophotometer (Implen, Duren, Germany) at a wavelength of 340 nm [18]. For the determination of the SOD activity, leaves (0.5 g) were ground in a chilled mortar with phosphate buffer (pH 7.8). Samples were centrifuged at 17,500 g for 15 min at 4 °C. The supernatant (50 µL) was mixed with 2.2 mL of phosphate buffer (pH 7.8) and 0.006% riboflavin (250 µL), followed by 0.0023% methionine (250 µL) and 0.06% NBT solutions (250 µL). Enzyme activity was determined using a spectrophotometer (Implen, Duren, Germany) at a wavelength of 560 nm [18].
2.4. Pesticide Extraction in Wheat Plants Using the QuEChERS Technique and a Validation of the LC-MS/MS Method
The pesticides were extracted from the milled wheat plants (5 g) via the QuEChERS method, according to Iwaniuk and Łozowicka [19]. The plant material was mixed with the following buffering sorbents: MgSO4 (4 g), NaCl (1 g), Na3C6H5O7 × 2H2O (1 g), and Na2HC6H5O7 × 1.5H2O (0.5 g). This was followed by clean-up sorbents: GCB/PSA/MgSO4 (2.5/25/150 mg). A liquid chromatography system (Eksigent Ultra LC-100, Eksigent Technologies, Dublin, OH, USA) coupled with tandem mass spectrometry (MS/MS 6500 QTRAP, AB Sciex Instruments, Foster City, CA, USA) was used for the sulfosulfuron, propiconazole, cyproconazole, spiroxamine, tebuconazole, and triadimenol determination at a flow rate of 0.5 mL min−1, without split, with a KINETEX XB C18 1.7 μm, 2.1 × 50 mm (Phenomenex) column at 40 °C [20]. The chromatographic method was validated according to pesticide-free wheat samples [21]. The recovery, precision, linearity, matrix effect, and limits of detection (LOD) and quantification (LOQ) were evaluated. Calibration curves for the pesticide solutions in a blank wheat matrix were prepared for final concentrations: 2.0, 1.0, 0.5, 0.1, 0.05, and 0.001 µg g−1 fresh weight (FW). Linearity was constructed based on the coefficients of determination (R2). Relative standard deviation (RSD) was calculated based on the recovery data obtained from three concentration levels of the matrix. The LODs were established using a three-time signal-to-noise ratio (3 S/N). The LOQs were indicated with high accuracy and precision. The details are listed in Table S1.
2.5. Dissipation Kinetics under Controlled Conditions in Wheat Plants
First-order kinetics were calculated to determine the pesticide concentration over time according to Łozowicka et al. [20]. Kinetics were calculated based on the following equation: Ct = C0∙e−kt, where Ct is the concentration at the time of t (µg g−1 FW); C0 is the concentration at the time zero t = 0 (µg g−1 FW) for the initial deposits; t is the time; and k is the constant degradation rate in days. The half-life was indicated based on the k values of the experiments t (0.5) = ln2 k−1.
2.6. Determination of Wheat Metabolites in Grain
Protein was extracted from milled wheat grain (100 mg) with 2.5 mL of 1 M NaOH. Folin–Ciocalteu reagent was used for the protein determination, according to Lowry et al. [22]. Protein absorption was measured at a wavelength of 750 nm, according to the albumin calibration curve, with a spectrophotometer (Implen, Duren, Germany). The results are presented in mg g−1 dry weight (DW). The total soluble carbohydrates (TSC) were determined with the modified phenol-sulfuric acid method. Milled grain (100 mg) was briefly extracted with 5 mL of 80% ethanol. Phenol solution (0.5 mL, 2%) was added to the extracts, followed by sulfuric acid (1.25 mL, 96%). TSC absorption was measured at a wavelength of 490 nm, according to the glucose/fructose/galactose (1:1:1, v/v/v) calibration curve, with a spectrophotometer (Implen, Duren, Germany) [23]. The results are presented in mg g−1 DW. Phenolic compounds were extracted from milled wheat grain (100 mg) and incubated for 1 h in distilled water (5 mL) at 40 °C. The level of phenolic compounds was assessed according to Alvarez et al. [24] at a wavelength of 765 nm, according to the gallic acid calibration curve, with a spectrophotometer (Implen, Duren, Germany). The results are presented in µg g−1 DW. The activities of acid phosphatases (APases) were assessed according to Ciereszko et al. [25]. Milled grain samples (50 mg) were mixed with 2.5 mL of acetate buffer (50 mM, pH 5) with 1 mM DTT. Next, the samples were mixed with acetate buffer (100 mM, pH 5) and 6 mM p-nitrophenyl phosphate, followed by incubation with 4 M NaOH. The APases’ activities were measured spectrophotometrically at a wavelength of 405 nm (Implen, Duren, Germany). Enzyme activity was determined in μM of p-nitrophenol (p-NP) h−1 g−1 DW. Twenty amino acids (alanine, arginine, asparagine, aspartic acid, cysteine, glutamic acid, glutamine, glycine, histidine, isoleucine, leucine, lysine, methionine, phenylalanine, proline, serine, threonine, tryptophan, tyrosine, and valine) were determined from milled wheat grain (1 g). The plant material was mixed with 10 mL of water–methanol solution (8:2, v/v) and 0.1% formic acid. The extracts (1 mL) were filtered through a 0.22 µm hydrophilic PTFE filter, transferred into the chromatographic vial, and analyzed via LC (Eksigent Ultra LC-100, Eksigent Technologies, Dublin, OH, USA). This process was coupled with tandem mass spectrometry (MS/MS 6500 QTRAP, AB Sciex Instruments, Foster City, CA, USA), according to Iwaniuk et al. [26]. To ensure the reliability of the results, a validation based on the SANTE guide was carried out [21]. The concentrations of the 20 examined amino acids are presented in µg kg−1 DW.
2.7. Determination of Mycotoxins in Wheat Grain
Thirteen mycotoxins (ZEN, DON, 3-AcDON, 15-AcDON, DAS, NIV, FusX, T-2 toxin, NEO, HT-2 toxin, FUM B1, FUM B2 and FUM B3) were determined from milled grain samples (5 g). The samples were extracted with 10 mL of 1% formic acid in acetonitrile (1:1, v/v), according to Łozowicka et al. [2]. The final extract (1 mL) was analyzed via LC (Eksigent Ultra LC-100) coupled with tandem mass spectrometry (MS/MS 6500 QTRAP). A total of 4 spiking levels (1, 50, 200 and 500 µg g−1) were prepared for the recovery experiments in 3 replicates. Validation was carried out according to SANTE/12089/2016 [27]. The concentrations of mycotoxins are presented in µg g−1 DW.
2.8. Determination of Thousand Kernel Weight (TKW)
The thousand kernel weight (TKW) was determined by weighing all of the grains from one pot and by counting them using a seed counter (Drello, Nuremberg, Germany).
2.9. Determination of the Antifungal Activities of Biostimulators, Fusarium Head Blight Severity, and Morphological Parameters of Wheat
A minimal inhibitory concentration (MIC) of biostimulators, based on humic acids and nitrophenols, was performed. Spore suspensions were adjusted with a 0.5 × PDB medium to a 5.6 × 108 CFU. The volume of the 100 μL of biostimulator solution (1000 mg L−1) was precisely and serially diluted 2-fold in 100 μL of a 2 × concentrated PDB medium in a U-shaped, 96-well microtiter plate. Next, 100 μL of spore suspension was added to each well and the plates were incubated at 23 °C for 7 days. The MIC values were visually determined in an aqueous medium at the lowest concentration of biostimulator in the last well with no fungal growth observed visually. Analyses were performed in triplicate. Wheat plant height, ear length, and Fusarium head blight severity were assessed at the 89 BBCH stage from 25 randomly collected plants from each pot. The disease severity was performed according to the EPPO (European and Mediterranean Plant Protection Organization) scale. Low severity was determined as <20%, moderate as 20–40%, and high as >40%. The results were then averaged.
2.10. Statistical Analysis
Statistical analysis of the individual characteristics was performed using analysis of variance (ANOVA), followed by Fisher’s test (p ≤ 0.05). All parameters were determined in triplicate (n = 3), and the standard deviation was calculated. The means were used in the Figures and Tables. The same lowercase letter indicates no statistically significant differences between the treatments, while the same uppercase letter indicates no statistically significant differences between the pesticide concentrations (at the time of dissipation). The examined data were analyzed using Pearson’s correlation coefficient (r) for p ≤ 0.05. Principal component analysis (PCA) between variables was performed. The obtained correlation matrix was visualized as a heatmap, and agglomerative hierarchical clustering was carried out. All data were analyzed with Statistica 12 software (StatSoft, Tulsa, OK, USA).
3. Results
3.1. Activities of Antioxidant Enzymes in Wheat Leaves
The activities of the antioxidant enzymes in the wheat leaves were determined after the application of commercial herbicide (sulfosulfuron) and commercial fungicide 1 (propiconazole + cyproconazole) in BBCH 31-39.
The present study indicated a diversified impact of humic and nitrophenolic biostimulators combined with pesticides on the activities of the following antioxidant enzymes in wheat leaves: catalase (CAT), NADH-dependent peroxidase (POD), and superoxide dismutase (SOD) (Figure 2). After the application of the sulfosulfuron and humic or nitrophenolic biostimulators, the enhanced activity of CAT in inoculated plants was determined (up to 1.22 U mg−1 protein on day 5, for T7). Non-inoculated treatments with sulfosulfuron and biostimulators (T4, T6) had a lower CAT activity; generally, however, enhanced POD (up to 0.107 U mg−1 protein for T6) and SOD (up to 31.09 U mg−1 protein for T6) levels were found when compared to the inoculated treatments that were conducted with sulfosulfuron and biostimulators (T5, T7). Notably, the application of propiconazole + cyproconazole (T2–T7) generally caused intensified activities of POD and SOD compared to the treatments conducted with sulfosulfuron (Figure 2). Nitrophenols combined with fungicides caused enhanced activity of CAT in inoculated wheat on day 8 (1.64 U mg−1 protein). The POD and SOD levels were significantly lower in inoculated plants (T3, T5, T7) when compared to the non-inoculated wheat (T2, T4, T6). In contrast to the treatment with propiconazole + cyproconazole only (T2), supplementation with biostimulators (T4, T6) induced POD activity, which was most efficient in the case of humic acids on day 8 (0.129 U mg−1 protein). After the application of fungicides, SOD activity was the highest on day 1 (T2, 43.73 U mg−1 protein) (Figure 2).

Figure 2.
Antioxidant enzyme activities in wheat leaves under the influence of diversified treatments. (a) Catalase; (b) NADH—dependent peroxidase; (c) Superoxide dismutase. T0—control; T1—F. culmorum; T2—herbicide/fungicide 1; T3—herbicide/fungicide 1 + F. culmorum; T4—herbicide/fungicide 1 + humic acids; T5—herbicide/fungicide 1 + humic acids + F. culmorum; T6—herbicide/fungicide 1 + nitrophenols; and T7—herbicide/fungicide 1 + nitrophenols + F. culmorum. The vertical lines in each bar indicate the standard deviation (n = 3). The same lowercase letter indicates no statistically significant differences between treatments (p ≥ 0.05). The same uppercase letter indicates no statistically significant differences between pesticide concentrations (time of dissipation), determined with ANOVA followed by Fisher’s test.
3.2. Dissipation of Pesticides in Wheat Plants under the Influence of Biostimulators and Validation of the LC-MS/MS Technique
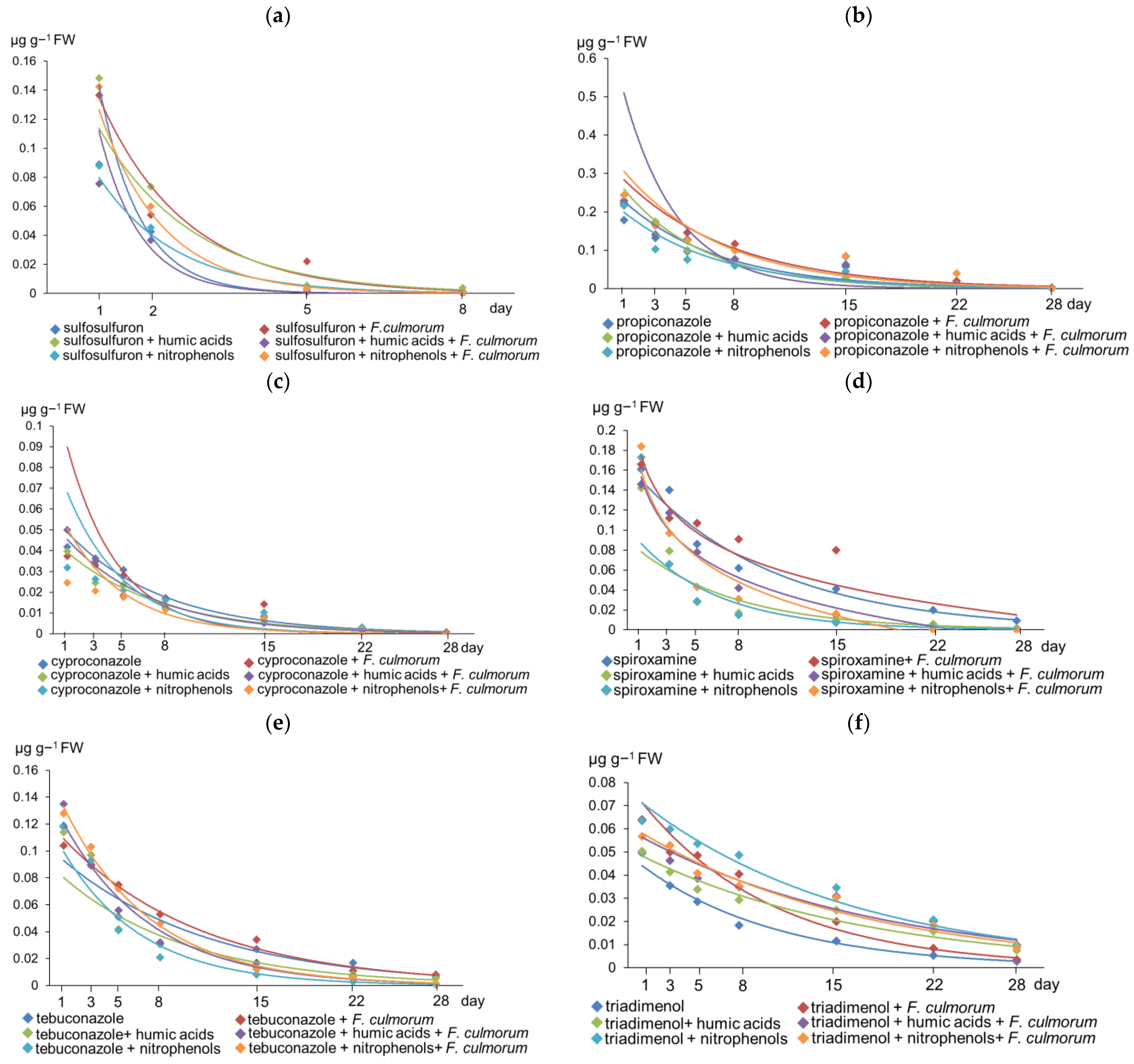
Table 1 lists the values of pesticide degradation time in wheat. The concentrations of the pesticides decreased at different rates according to the first-order kinetic equation (Ct = C0∙e−kt) (Figure 3). The coefficients of determination were in the acceptable range (R2 = 0.8634–0.9996). The inoculated wheat plants exhibited a prolonged degradation of sulfosulfuron (DT50 = 1.15, DT99 = 5.33) and propiconazole (DT50 = 4.85, DT99 = 24.41) compared to the non-inoculated plants (DT50 = 0.54 and DT50 = 4.23, respectively). For other pesticides, except tebuconazole, a shortened dissipation time was noticed in the inoculated samples (up to 72% for spiroxamine). Interestingly, in the case of inoculated plants treated with humic acids and nitrophenols, there occurred a greater shortening of dissipation time for sulfosulfuron (DT50 = 0.54, 0.84, respectively) and spiroxamine (DT50 = 1.70, 1.77, respectively) when compared to the non-inoculated treatments that had these pesticides combined with biostimulators (Figure 3; Table 1). Among the pesticides exclusively applied in the non-inoculated plants, the shortest half-life was determined for sulfosulfuron (DT50 = 0.54, DT99 = 3.07) and the longest for triadimenol (DT50 = 6.83, DT99 = 19.88). In the non-inoculated wheat, the application of humic acids and nitrophenols resulted in a shortened degradation of propiconazole (15%), cyproconazole (50%), spiroxamine (35%), and tebuconazole (35%) when compared to the treatments based on fungicides being applied exclusively. The half-life of sulfosulfuron and triadimenol was prolonged when exposed to biostimulators (by 135% and 65%, respectively) in the non-inoculated wheat (Table 1). The analytical procedure was validated in accordance with the guidelines concerning accuracy (expressed as recovery), precision, limit of quantification (LOQ), linearity, matrix effects, and uncertainty. The optimal linearity of the method was obtained within the concentration range of the pesticides (2.0–0.001 µg g−1), with a correlation coefficient of R2 > 0.998. The limit of detection (LOD) for propiconazole, cyproconazole, and tebuconazole was 0.001 µg g−1, whereas for sulfosulfuron, spiroxamine, and triadimenol it was 0.002 µg g−1 FW. The LOQs were calculated with acceptable accuracy (recovery > 70%) and precision (RSD < 20%) at the level of 0.005 µg g−1 FW for all examined pesticides. The average recoveries were 96%, 87%, 79%, 92%, 83%, and 87% for sulfosulfuron, propiconazole, cyproconazole, spiroxamine, tebuconazole and triadimenol, respectively. The matrix effect (−12–13%) did not affect the signal attenuation or amplification (Table S1).
Table 1.
Equations of pesticide dissipation (y = a × e−bx), coefficient of determination (R2) and degradation time (DT50, DT99) in wheat plants.
Figure 3.
Dissipation kinetics of the pesticides in wheat plants (a) sulfosulfuron; (b) propiconazole; (c) cyproconazole; (d) spiroxamine; € tebuconazole; (f) triadimenol.
3.3. Wheat Metabolites, TKW, and Mycotoxins in the Grain under the Influence of Biostimulators
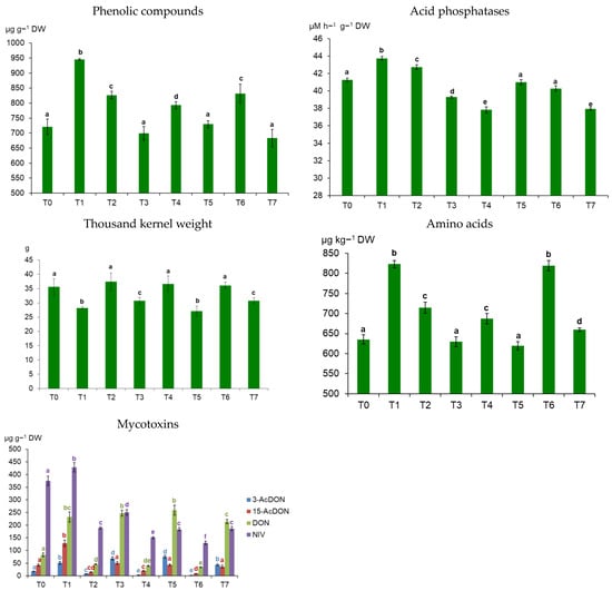
This study indicated that humic acids and nitrophenols caused diversified effects in the inoculated wheat that was treated with chemical protection (herbicide sulfosulfuron and fungicides propiconazole, cyproconazole, spiroxamine, tebuconazole, and triadimenol)—on the concentrations of protein, total carbohydrates, phenolic compounds, activities of APases, TKW, amino acids, and mycotoxins. Compared to non-inoculated plants (T2, T4), biotic stress resulted in a protein increase in the cases of pesticidal treatment (T3) and pesticidal treatment with humic acids (T5) (Figure 4). Nonetheless, the nitrophenolic biostimulator caused the most significant reduction in protein (60.90 mg g−1 DW in T7) when compared to humic acids (91.02 mg g−1 DW in T5) and the exclusive application of pesticides (108.71 mg g−1 DW in T3) in inoculated plants. In the group of inoculated plants, the most significant enhancement of total carbohydrate level occurred in the case of humic acids (T5, 40.95 mg g−1 DW), while nitrophenols caused an effect comparable to that of an exclusive application of pesticides (30.25 mg g−1 DW in T7 and 29.75 mg g−1 DW in T3). Non-inoculated wheat (T2, T6) had a greater concentration of carbohydrates (35.50 mg g−1 DW and 42.45 mg g−1 DW, respectively) compared to the analogous treatments in inoculated plants (T3 and T7) (Figure 4). The highest concentration of total carbohydrates was noted in the control (T0, 42.75 mg g−1 DW). The phenolic compound level was reduced in the inoculated samples, except in the case of treatment T1 (Figure 4). The effect of biostimulators in the plants exposed to biotic stress (T5, T7) was comparable to that of pesticidal protection (T3); however, the greatest reduction was determined for nitrophenols (T7, 683.68 µg g−1 DW). Among all chemical treatments, the highest concentration of phenolic compounds was determined for the non-inoculated plants supplemented with nitrophenols (T6, 831.93 µg g−1 DW). The activity of acid phosphatases (APases) was lower in the inoculated samples treated by pesticides, except for those supplemented with humic acids (Figure 4). The most significant decrease in the group of inoculated wheat occurred in the case of plants enriched with nitrophenols (T7, 37.93 µM h−1 g−1 DW), which reflected their improved phosphorus nutrition. The addition of humic acids intensified the activity of APases (T5, 41.00 µM h−1 g−1 DW), compared to the analogous treatment in the non-inoculated wheat (T4). The greatest activity of APases was noted in the inoculated wheat that did not have any protection (T1, 43.74 µM h−1 g−1 DW). The thousand kernel weight of wheat (TKW) was reduced in all inoculated treatments. The highest TKW losses were noted for plants supplemented with humic acids (T5, 27.10 g). The TKW in the inoculated plants was comparable between the chemical treatment (T3, 30.72 g) and the enrichment with nitrophenols (T7, 30.77 g). Non-inoculated samples had significantly higher TKW values, which were also comparable to one another (Figure 4). The levels of amino acids decreased in the inoculated plants (T3, T5, T7) when compared to the non-inoculated ones (Figure 4; Table S2). Compared to humic acids, supplementation with nitrophenols (T7) was reflected by higher concentration value (T7, 659.90 µg kg−1 DW) among inoculated plants exposed to pesticides. The lowest amounts of amino acids were determined in the plants to which humic acids were applied (T5, 619.90 µg kg−1 DW); in contrast, the highest amounts were found in the inoculated wheat without any protection (T1, 823.20 µg kg−1 DW) and in the non-inoculated plants exposed to pesticides and nitrophenols (T6, 819 µg kg−1 DW). Thus, out of all the amino acids, aspartic acid and tryptophan were determined in the highest amount in the non-inoculated plants (up to 274.40 µg kg−1 DW and 139.70 µg kg−1 DW for T6, respectively), while the lowest concentrations of cystine and methionine were found in the inoculated wheat (0.60 µg kg−1 DW for T7 and 0.80 µg kg−1 DW for T5, respectively) (Table S2). The chromatogram of the detected amino acids is shown in Figure S1. Among the thirteen examined mycotoxins, four (3-AcDON, 15-AcDON, DON and NIV) were detected in all treatments (Figure 4). The inoculated plants had a greater level of mycotoxins (up to 841.37 µg g−1 DW for T1). It was determined that the most effective reduction in mycotoxins in the inoculated wheat occurred in the case of nitrophenolic treatment (T7, 480.86 µg g−1 DW). Among the examined mycotoxins, the highest amounts of DON and NIV were detected in the inoculated wheat, which were up to 258.93 µg g−1 DW for T5 and 428.92 µg g−1 DW for T1, respectively. The mycotoxins 3-AcDON or 15-AcDON occurred in the lowest concentrations, especially in the non-inoculated wheat (2.20 µg g−1 DW and 9.73 µg g−1 DW, respectively, for T6). The chromatogram of the detected mycotoxins is shown in Figure S2.

Figure 4.
Wheat metabolites, thousand kernel weight, and mycotoxins in the grain under the influence of diversified treatments. T0—control; T1—F. culmorum; T2—herbicide + fungicide 1 + fungicide 2; T3—herbicide + fungicide 1 + fungicide 2 + F. culmorum; T4—herbicide + fungicide 1 + fungicide 2 + humic acids; T5—herbicide + fungicide 1 + fungicide 2 + humic acids + F. culmorum; T6—herbicide + fungicide 1 + fungicide 2 + nitrophenols; and T7—herbicide + fungicide 1 + fungicide 2 + nitrophenols + F. culmorum. The vertical lines in each bar indicate the standard deviation (n = 3). The same letter indicates that there were no statistically significant differences between the treatments (p ≥ 0.05), determined with ANOVA followed by Fisher’s test.
3.4. Antifungal Activity of Biostimulators, Fusarium Head Blight Severity, and Morphological Parameters of Wheat
This study revealed that biostimulators inhibited the F. culmorum spores’ germination and, consequently, the fungal growth in in vitro conditions. The minimal inhibitory concentration (MIC) for the biostimulator based on humic acids was 250 mg L−1, while the MIC for the nitrophenolic biostimulator was 180 mg L−1 (Figure S3). The highest degree of Fusarium head blight severity was indicated in the inoculated plants (up to 43% in T1). Pesticidal protection reduced the disease severity to 7% in T2 and 28% in T3. The biostimulators contributed to a reduction in disease severity to 5% (T6) in non-inoculated plants and to 24% (T7) in inoculated wheat (Table S3). The tallest plants were achieved in the T6 treatment (68 cm). Inoculated plants (T1, T3, T5, and T7) had lower values of plant height (63–66 cm) compared to non-inoculated treatments (65–68 cm). A similar situation was observed in the case of ear length (Table S3). However, humic acids caused an inefficient effect in the non-inoculated (T4) and inoculated (T5) plants (whereby the lengths of the ears were 8 cm). However, due to the non-significant differences between most of the treatments, the results of the morphological parameters and the degrees of Fusarium head blight severity were not included in the chemometric analysis.
3.5. Chemometric Analysis
The influence of humic and nitrophenolic biostimulators, supplemented with chemical protection, on the examined grain parameters, mycotoxins, and the antioxidant enzyme profiles in the wheat leaves explained 73.34% of the total variability, which was determined via principal component analysis (Figure 5a). The correlations between variables were determined through the exposures to different treatments (Figure 5b). A significant positive correlation was noticed between the total carbohydrates and the APases’ activity (r = 0.77); amino acids and TKW, POD, and SOD (r = 0.85, r = 0.74, r = 0.74, respectively). Furthermore, the TKW was positively correlated with POD and SOD (r = 0.51, r = 0.83). There occurred a high mutual relationship between the mycotoxins, as well as between the NIV and phenolic compounds (r = 0.52). On the other hand, this study also revealed the significant negative correlations between the examined compounds (Figure 5b). Protein was negatively correlated with POD (r = −0.75), CAT with total carbohydrates, phenolic compounds, APases’ activity, and NIV (r = −0.50, r = −0.78, r = −0.62, r = −0.51, respectively), while SOD was negatively correlated with DON (r = −0.73). All detected mycotoxins were negatively correlated with the sum of amino acids and TKW (up to r = −0.82 and r = −0.89, respectively). Moreover, it was indicated that the treatments based on pesticides, biostimulators, and F. culmorum affected changes of the highest extent in terms of CAT and POD activities, total carbohydrate concentration, APases’ activity, TKW, and SOD activity (Figure 5c). For all examined compounds, the hierarchical relationships indicated a similarity between the treatments of the inoculated group (T3, T5, T7) and the non-inoculated group (T2, T4, T6), which was reflected by the shortest bond distance (Figure 5d).
Figure 5.
(a) The principal component analysis (PCA) of the influence of humic acids and nitrophenols combined with pesticides and fungi on the examined parameters in wheat. (b) Pearson’s correlation coefficients visualized as a heatmap. (c) Clustering of the examined parameters obtained from treatments T0–T7. (d) Hierarchical clustering diagrams, based on all examined parameters, defining the similarity level between treatments.
4. Discussion
This study indicated diversified effects of humic and nitrophenolic biostimulators when applied to inoculated wheat that is treated with the herbicide sulfosulfuron, as well as with spiroketalamine and triazole fungicides, on the concentrations of the examined compounds. A scheme summarizing the study’s major findings is shown in Figure 6. The effects of pesticidal protection and their combination with humic acids on selected grain parameters in non-inoculated wheat were previously reported [28]. However, this study presents a full spectrum analysis of wheat–pesticide–biostimulator crosstalk under inoculation conditions. Besides humic acids, nitrophenols were used in this study, and the profile of the examined compounds was expanded to include the evaluation of pesticide dissipation and the activities of antioxidant enzymes (CAT, POD, and SOD) in wheat.
Figure 6.
Relative values of wheat metabolites, antioxidant enzymes’ activities, TKW, mycotoxins, and individual amino acids in seven diversified treatments. T0—control; T1—F. culmorum, T2—herbicide + fungicide 1 + fungicide 2; T3—herbicide + fungicide 1 + fungicide 2 + F. culmorum, T4—herbicide + fungicide 1 + fungicide 2 + humic acids; T5—herbicide + fungicide 1 + fungicide 2 + humic acids + F. culmorum; T6—herbicide + fungicide 1 + fungicide 2 + nitrophenols; and T7—herbicide + fungicide 1 + fungicide 2 + nitrophenols + F. culmorum.
4.1. Influence of Humic Acids and Nitrophenols on the Activities of Antioxidant Enzymes in Wheat Leaves
Plants react to environmental stress conditions, including pesticides or infection, by triggering defenses, as is reflected by antioxidant enzymes [29,30,31]. Biotic stress that is induced by F. culmorum is alleviated mainly by CAT activity. Humic acids and nitrophenols caused the most effective mitigating effect of CAT against biotic stress, which is reflected by their greater activities and crosstalk with pesticides. The reduction in POD and SOD activities in the inoculated plants indicated insufficient antioxidant protection of these enzymes against biotic stress in wheat. Singh et al. [32] determined greater activities of CAT and POD during fungal infection development in Arabidopsis thaliana. However, individual antioxidant enzymes were most active in various phases of infection, and their activities depend on the plant organs, the plant species, and the species variety [33]. Our findings show that the increased activities of antioxidant enzymes vary during the dissipation of pesticides. Moreover, their enhanced activities under exposure to humic and nitrophenolic biostimulators indicated a mitigation of the toxicity caused by pesticides. As noted by Singh and Prasad [34], inorganic fertilizers induced antioxidant enzyme activity. Moreover, biostimulators based on silymarin caused an increase in glutathione, ascorbate, and antioxidant enzyme levels in maize leaves under cadmium stress [35]. An inorganic biostimulator based on selenium mitigated the cadmium toxicity that was expressed due to the enhanced activity of antioxidant enzymes in tomatoes [36]. Previously, humic acids were found to mitigate environmental abiotic stress, which is caused by high salinity, drought, and heavy metals [37]. This study reveals that plant-growth-promoting compounds also alleviate oxidative disorders that are induced by pesticides and phytopathogens and develop tolerance to environmental stress conditions. However, studies showing the effects of overlapping stress factors on plant metabolism are scarce [38]. Sulfosulfuron applied individually or combined with biostimulators resulted in lower activities of POD and SOD when compared to the protection that consists of triazoles. Moreover, despite the intensified toxicity caused by several pesticides, the humic acids and nitrophenols alleviated oxidative damage, which was reflected by the enhanced activities of CAT, POD, and SOD under their exposures to sulfosulfuron, spiroketalamine, and triazoles in the non-inoculated plants. In contrast to this study, Shakir et al. [39] indicated low activities of CAT, POD, and SOD under exposure to the insecticides emamectin, cypermethrin, and imidacloprid.
4.2. Dissipation of Pesticides in Wheat Plants under the Influence of Humic Acids and Nitrophenols
Biostimulators promote plant growth during environmental stress conditions. Current studies have determined that biostimulators or fertilizers affect the degradation of selected pesticides in soil in various ways. Amin et al. [14] indicated the accelerated dissipation of the insecticides cypermethrin and chlorpyrifos in soil that was amended with urea and manure, while Garcia-Delgado et al. [40] reported a prolonged degradation of sulfosulfuron and prosulfocarb in soil that was enriched with green compost. Most studies relate to the differences in the degradation processes of pesticides in soil [15,41,42], while there are no complex studies describing the effects of biostimulators on the times of pesticide degradations in plants. However, the estimation of DT50 in plants treated with biostimulators is important due to the grace period and the possibility of modifying the date of pesticide application to increase the effectiveness of chemical protection. The present research indicated that the application of biostimulators before chemical protection markedly impacted spiroketalamine and triazole degradation in wheat, and also alleviated the toxicity caused by pesticides in plants. For propiconazole, cyproconazole, spiroxamine, and tebuconazole, up to a 50% shorter degradation was indicated after exposure to humic acids and nitrophenols. Moreover, the ability of selected saprophytic microorganisms to degrade pesticides was previously described. Kaczyński et al. [43] indicated a shorter degradation time of glyphosate due to the Pseudomonas fluorescens and microorganisms that are present in sewage sludge. Łozowicka et al. [44] determined that there is an improved degradation of the herbicides MCPA and sulfosulfuron in wheat that is exposed to Bacillus cereus and Pseudomonas fluorescens. Moreover, Bhatt et al. [45] noticed an improved degradation in the insecticide allethrin by Fusarium proliferatum in soil. However, this study showed that the pathogenic fungi F. culmorum were also capable of shortening the degradation time of cyproconazole, spiroxamine, and triadimenol by up to 72% in wheat. As reported by Jamiołkowska et al. [46], fungi degrade pollutants by hydrolysis, oxidation, reduction and addition, and through engagement with the enzymatic system, which includes transferases, isomerases, hydrolases, and ligases. Furthermore, inoculated treatments enriched by humic acids and nitrophenols result in an intensified reduction in the dissipation time of sulfosulfuron, propiconazole, cyproconazole, spiroxamine, and tebuconazole when compared to non-inoculated plants. In soil, this finding was found to be due to the adsorption of selected polar pesticides that is induced by humic acids through hydrogen bonding and ionic and charge transfer processes [47]. Based on this study, it can be assumed that this mechanism is also active in plants. It indicates specific pesticide–biostimulator–fungi crosstalk and enhanced pesticide transformation in less toxic metabolites, as well as the alleviation of overlapped pesticidal toxicity and biotic (F. culmorum) stress.
4.3. Influence of Humic Acids and Nitrophenols on Wheat Metabolites and Mycotoxins in Grain
Lower concentrations of protein in wheat after herbicide, fungicide, and biostimulator applications compared to the control treatment (T0) imply that protein biosynthesis is inhibited, most likely due to pesticides binding to the large ribosomal subunit and by protein complexation or degradation [48]. Humic acids contributed to increased protein content through induced auxin metabolism [49], while nitrophenols caused a higher level of protein in the wheat exposed to herbicides dicamba and triasulfuron [50]. Moreover, Spanic et al. [51] determined a lower level of protein in the barley infected by F. graminearum. Nosenko et al. [52] indicated that the enhanced level of protein in infected plants is due to the biosynthesis of pathogenesis-related (PR) proteins, antimicrobial peptides (AMPs), and kinases, which alleviate the effects of biotic stress. However, based on our results, these processes were not effective in the wheat exposed to nitrophenols. The protein-related plant response in the plant–pesticide–fungi system requires more in-depth research, including proteomic profile analysis. The humic acid biostimulator intensified the synthesis of carbohydrates in inoculated wheat when compared to the exclusive application of pesticides in infected plants. It was noticed that humic acids slightly reduced the carbohydrate levels in non-inoculated plants [28], while nitrophenols alleviated pesticide toxicity at the carbohydrate level. However, nitrophenols alleviated pesticide toxicity at the carbohydrate level, possibly through their involvement in auxin biosynthesis and the side effect of auxin metabolism [53]. Sidhu et al. [54] determined that a lower synthesis of carbohydrates in plants treated with pesticides results from the inhibition of the enzymes required for the Calvin cycle. Moreover, similar to treatments T3 and T7, Manes et al. [55] indicated a reduced level of carbohydrates as a result of the involvement of sugars in the biosynthesis of PAMP (pathogen-associated molecular patterns), DAMP (damage-associated molecular pattern), and MAMP (microbe-associated molecular pattern) sugar-like compounds, which are part of the defense mechanism against pathogens, as well as the involvement of carbohydrates in fungal growth and development. Some phenolic compounds in plants exhibit defense activities against environmental abiotic and biotic stresses. However, humic acids and nitrophenols had no significant effect on stress mitigation in inoculated and non-inoculated wheat. Since they belong to the fraction of phenolic compounds, their application in plants inhibits the formation of enzymes in the phenol biosynthesis pathway (e.g., chalcone synthase) [56]. It was also determined that biostimulators based on kaolin intensified the phenolic compound biosynthesis in olive leaves, due to the upregulation of the gene transcription encoding chalcone synthase [57]. Wallis and Galarneau [58] indicated that plants infected by fungi have a higher concentration of phenolic compounds. Despite the proven antifungal activity of phenolic compounds [59], F. culmorum contributed to their significant reduction in the plants treated with pesticides. This result indicated that the overlapping of additional biotic stress inhibits wheat antioxidant response at the level of phenolic compounds when compared to abiotic (pesticidal) stress conditions. Moreover, phenolic compound synthesis is an energy-consuming process; as such, other cost-effective antioxidant mechanisms, including the enhanced expression of antioxidant enzymes, are engaged in the process of plant defense when subjected to the combined occurrences of biotic and abiotic stresses [60]. The activity of acid phosphatases (APases) was significantly lower in inoculated wheat after the application of pesticides and supplementation with nitrophenols. Reduction in APases’ activity was determined in the non-inoculated plants supplemented with humic acids, which is in line with another study [28] and reflects an improvement in phosphorus nutrition.However, this effect was also indicated for nitrophenols. It was determined that APases decompose spare organic phosphates and improve their assimilation in inorganic form [25]. Therefore, this study confirmed that humic acids and nitrophenols improve phosphorus nutrition. The mineralization of organic phosphorus into inorganic forms and phosphorus uptake was previously determined for arbuscular fungi [61]. However, this investigation indicated that it is also an effective mechanism in response to biotic stress, resulting in reductions in APases’ activity.
As indicated by Hoelscher et al. [62], the significantly lower level of amino acids under infection conditions is related to the synthesis of antimicrobial peptides (AMP) and their engagement in the defense mechanisms of biotic stress mitigation. In this study, the nitrophenolic biostimulator, as a phenolic derivate, alleviated physiological stress via intensified amino acid biosynthesis in the inoculated and non-inoculated wheat. Compared to the control, the enhanced level of free amino acids in non-inoculated plants treated with pesticides and biostimulators was noted. Vaccaro et al. [63] determined a similar effect in maize as a result of the improved nitrogen metabolism caused by treatment with phenolic derivates. As indicated by Lushchak et al. [64], fluctuation in amino acid content is the result of the detoxification mechanism based on the conjugation of amino acids with pesticides. Interestingly, the level of amino acids was lower in wheat that was cultivated in field conditions after the application of sulfonylurea herbicide, as well as spiroketalamine and triazole fungicides [26]. This occurred as a result of uneven rainfall and environmental abiotic stresses caused by drought periods, which reduced amino acid concentration. Mycotoxin content was increased in the inoculated plants, while the humic and nitrophenolic biostimulators reduced the levels of 3-AcDON, 15-AcDON, DON, and NIV in both inoculated and non-inoculated wheat. As indicated by Mao et al. [65], selected organic compounds based on montmorillonite, hexadecyltrimethylammonium bromide, cetylpyridinium chloride, and chitosan can adsorb aflatoxin B1, trichotecens, and zearalenone. Maguey-Gonzalez et al. [66] indicated that humic and fulvic acids can bind aflatoxins, thus reducing their toxicity. The results of this study indicated that organic compounds based on humic acids and nitrophenols can also bind trichothecenes. It was determined that biostimulators from brown algae and chitosan reduced the levels of mycotoxins in wheat [67]. Moreover, mycotoxins are bound in less toxic complexes with plant monosaccharides, disaccharides, and malonyl-glucosides as a part of the detoxification process [68], thus leading to a reduction in their concentration. Therefore, humic acids and nitrophenols reduce the mycotoxin contamination of wheat grain that is intended for human and animal consumption.
5. Conclusions
This study proved that humic acids and nitrophenols develop tolerance to environmental stress conditions, which is reflected in the induced activities of antioxidant enzymes. Moreover, it was proven that biotic stress is mainly alleviated by CAT activity. Organic biostimulators in inoculated wheat shorten the dissipation time of sulfosulfuron, propiconazole, cyproconazole, spiroxamine, and tebuconazole. At the level of total carbohydrates, the physiological stress that occurs in inoculated wheat was most effectively alleviated by humic acids and, at the level of amino acids, by nitrophenols. Humic acids and nitrophenols alleviated pesticide toxicity and biotic (F. culmorum) stress by inducing an enhanced accumulation of wheat metabolites, improved phosphorus nutrition, and decreased mycotoxin contamination in grain. Due to the beneficial effects of organic biostimulators on wheat metabolites and their influence on the dissipation time of pesticides, this research lays the groundwork for modifying the date of pesticide application or reducing the dose of pesticides in order to increase the effectiveness of chemical protection in agricultural practice.
Supplementary Materials
The following supporting information can be downloaded at: https://www.mdpi.com/article/10.3390/agronomy13051378/s1, Figure S1: An example of an LC-MS/MS chromatogram of 20 determined amino acids in the wheat grain; Figure S2: An example of an LC-MS/MS chromatogram of determined mycotoxins (DON, 3-AcDON, 15-AcDON, NIV, and ZON) in the wheat grain; Figure S3: Minimal inhibitory concentration (MIC) of the biostimulators on F. culmorum spores’ germination; Table S1: Details of the LC-MS/MS parameters for the analyzed pesticides in the wheat plants; Table S2: Detailed concentration of all the amino acids examined in the wheat grain (µg kg−1 DW); Table S3: Morphological parameters of the wheat and Fusarium head blight severity.
Author Contributions
Conceptualization, methodology, formal analysis, validation, visualization, writing—original draft: P.I.; investigation, data curation, resources: S.Ł.; methodology, formal analysis, validation: P.K.; conceptualization, supervision, project administration, writing—review and editing: B.Ł. All authors have read and agreed to the published version of the manuscript.
Funding
This study was partially funded by the Ministry of Education and Science in Poland, grant number SIB-03.
Data Availability Statement
The data for this study are included in the main document.
Acknowledgments
The authors are thankful to Rafał Konecki and Marta Czerwińska for their technical assistance in conducting the analyses, and to the Bank of Plant Pathogens at the Institute of Plant Protection—National Research Institute, for providing the F. culmorum strain.
Conflicts of Interest
The authors declare no conflict of interest.
References
- Franzoni, G.; Cocetta, G.; Prinsi, B.; Ferrante, A.; Espen, L. Biostimulants on crops: Their impact under abiotic stress conditions. Horticulturae 2022, 8, 189. [Google Scholar] [CrossRef]
- Łozowicka, B.; Iwaniuk, P.; Konecki, R.; Kaczyński, P.; Kuldybayev, N.; Dutbayev, Y. Impact of diversified chemical and biostimulator protection on yield, health status, mycotoxin level, and economic profitability in spring wheat (Triticum aestivum L.) cultivation. Agronomy 2022, 12, 258. [Google Scholar] [CrossRef]
- Karlsson, I.; Persson, P.; Friberg, H. Fusarium head blight from a microbiome perspective. Front. Microbiol. 2021, 12, 628373. [Google Scholar] [CrossRef]
- Spanic, V.; Maricevic, M.; Ikic, I.; Sulyok, M.; Sarcevic, H. Three-year survey of Fusarium multi-metabolites/mycotoxins contamination in wheat samples in potentially epidemic FHB conditions. Agronomy 2023, 13, 805. [Google Scholar] [CrossRef]
- Shahzad, B.; Tanveer, M.; Che, Z.; Rehman, A.; Cheema, S.A.; Sharma, A.; Song, H.; Ur Rehman, S.; Zhaorong, D. Role of 24-epibrassinolide (EBL) in mediating heavy metal and pesticide induced oxidative stress in plants: A review. Ecotoxicol. Environ. Saf. 2018, 147, 935–944. [Google Scholar] [CrossRef]
- Liu, N.; Zhu, L. Metabolomic and transcriptomic investigation of metabolic perturbations in Oryza sativa L. triggered by three pesticides. Environ. Sci. Technol. 2020, 54, 6115–6124. [Google Scholar] [CrossRef]
- Zarzecka, K.; Gugala, M.; Sikorska, A.; Mystkowska, I.; Baranowska, A.; Nieweglowski, M.; Dolega, H. The effect of herbicides and biostimulants on polyphenol content of potato (Solanum tuberosum L.) tubers and leaves. J. Saudi Soc. Agric. Sci. 2019, 18, 102–106. [Google Scholar] [CrossRef]
- Amiri, O.; Nemmiche, S.; Hennia, A.; Bentamra, Z.; Benhachem, I.; Benkhelifa, M. Effect of the pesticide treatment dose on the biochemical response of the potato plants (Solanum tuberosum L.). Plant Arch. 2022, 22, 261–267. [Google Scholar] [CrossRef]
- Clement, J.; Delisle-Houde, M.; Nguyen, T.T.A.; Dorais, M.; Tweddell, R.J. Effect of biostimulants on leafy vegetables (baby leaf lettuce and batavia lettuce) exposed to abiotic or biotic stress under two different growing systems. Agronomy 2023, 13, 879. [Google Scholar] [CrossRef]
- Goni, O.; Quille, P.; O’Connell, S. Ascophyllum nodosum extract biostimulants and their role in enhancing tolerance to drought stress in tomato plants. Plant Physiol. Biochem. 2018, 126, 63–73. [Google Scholar] [CrossRef]
- Garcia-Garcia, A.L.; Garcia-Machado, F.J.; Borges, A.A.; Morales-Sierra, S.; Boto, A.; Jimenez-Arias, D. Pure organic active compounds against abiotic stress: A biostimulant overview. Front. Plant. Sci. 2020, 11, 575829. [Google Scholar] [CrossRef]
- Dawood, M.F.A.; Tahjib-Ul-Arif, M.; Sohag, A.A.M.; Latef, A.A.H.A. Fluoride mitigates aluminum-toxicity in barley: Morpho-physiological responses and biochemical mechanisms. BMC Plant Biol. 2022, 22, 287. [Google Scholar] [CrossRef]
- Campos, C.N.S.; da Silva Junior, G.B.; de Prado, R.M.; de David, C.H.O.; de Souza Junior, J.P.; Teodoro, P.E. Silicon mitigates ammonium toxicity in plants. Agron. J. 2020, 112, 635–647. [Google Scholar] [CrossRef]
- Amin, M.; Gurmani, A.R.; Rafique, M.; Khan, S.U.; Mehmood, A.; Muhammad, D.; Syed, J.H. Investigating the degradation behavior of cypermethrin (CYP) and chlorpyrifos (CPP) in peach orchard soils using organic/inorganic amendments. Saudi J. Biol. Sci. 2021, 28, 5890–5896. [Google Scholar] [CrossRef] [PubMed]
- Baćmaga, M.; Wyszkowska, J.; Kucharski, J. Biostimulation as a process aiding tebuconazole degradation in soil. J. Soils Sediments 2019, 19, 3728–3741. [Google Scholar] [CrossRef]
- Carpio, M.J.; Marin-Benito, J.M.; Sanchez-Marin, M.J.; Rodriguez-Cruz, M.S. Accelerated dissipation of two herbicides after repeated application in field experiments with organically-amended soil. Agronomy 2021, 11, 1125. [Google Scholar] [CrossRef]
- Baćmaga, M.; Wyszkowska, J.; Kucharski, J.; Borowik, A.; Kaczyński, P. Possibilities of restoring homeostasis of soil exposed to terbuthylazine by its supplementation with HumiAgra preparation. Appl. Soil Ecol. 2022, 178, 104582. [Google Scholar] [CrossRef]
- Iwaniuk, P.; Borusiewicz, A.; Łozowicka, B. Fluazinam and its mixtures induce diversified changes of crucial biochemical and antioxidant profile in leafy vegetable. Sci. Hortic. 2022, 298, 110988. [Google Scholar] [CrossRef]
- Iwaniuk, P.; Łozowicka, B. Biochemical compounds and stress markers in lettuce upon exposure to pathogenic Botrytis cinerea and fungicides inhibiting oxidative phosphorylation. Planta 2022, 255, 61. [Google Scholar] [CrossRef]
- Łozowicka, B.; Mojsak, P.; Kaczyński, P.; Konecki, R.; Borusiewicz, A. The fate of spirotetramat and dissipation metabolites in Apiaceae and Brassicaceae leaf-root and soil system under greenhouse conditions estimated by modified QuEChERS/LC–MS/MS. Sci. Total Environ. 2017, 603, 178–184. [Google Scholar] [CrossRef]
- SANTE. Document No. SANTE/12682/2019. Analytical quality Control and Method Validation Procedures for Pesticide Residues Analysis in Food and Feed. 2019. Available online: https://www.eurlpesticides.eu/userfiles/file/EurlALL/AqcGuidance_SANTE_2019_12682.pdf (accessed on 8 December 2021).
- Lowry, O.H.; Rosebrough, N.J.; Farr, A.L.; Randall, R.J. Protein measurement with the Folin phenol reagent. J. Biol. Chem. 1951, 193, 265–275. [Google Scholar] [CrossRef]
- Jain, V.M.; Karibasappa, G.N.; Dodamani, A.S.; Mali, G.V. Estimating the carbohydrate content of various forms of tobacco by phenol-sulfuric acid method. J. Educ. Health Prom. 2017, 6, 90. [Google Scholar] [CrossRef]
- Alvarez, R.; Araya, H.; Navarro-Lisboa, R.; de Dicastillo, C.L. Evaluation of polyphenol content and antioxidant capacity of fruits and vegetables using a modified enzymatic extraction. Food Technol. Biotechnol. 2016, 54, 462–467. [Google Scholar] [CrossRef]
- Ciereszko, I.; Balwicka, H.; Zebrowska, E. Acid phosphatases activity and growth of barley, oat, rye and wheat plants as affected by Pi deficiency. Open Plant Sci. J. 2017, 10, 110–122. [Google Scholar] [CrossRef]
- Iwaniuk, P.; Konecki, R.; Kaczyński, R.; Rysbekova, A.; Łozowicka, B. Influence of seven levels of chemical/biostimulator protection on amino acid profile and yield traits in wheat. Crop J. 2022, 10, 1198–1206. [Google Scholar] [CrossRef]
- SANTE. Document No. SANTE/12089 /2016. Guidance Document on Identification of Mycotoxins in Food and Feed. 2016. Available online: https://ec.europa.eu/food/system/files/2017-05/cs_contaminants_sampling_guid-doc-ident-mycotoxins.pdf (accessed on 8 December 2021).
- Iwaniuk, P.; Łozowicka, B.; Kaczyński, P.; Konecki, R. Multifactorial wheat response under Fusarium culmorum, herbicidal, fungicidal and biostimulator treatments on the biochemical and mycotoxins status of wheat. J. Saudi Soc. Agric. Sci. 2021, 20, 443–453. [Google Scholar] [CrossRef]
- Yu, G.-B.; Chen, R.-N.; Chen, Q.-S.; Chen, F.-Q.; Liu, H.-L.; Ren, C.-Y.; Zhang, Y.-X.; Yang, F.-J.; Wei, J.-P. Jasmonic acid promotes glutathione assisted degradation of chlorothalonil during tomato growth. Ecotoxicol. Environ. Saf. 2022, 233, 113296. [Google Scholar] [CrossRef]
- Li, X.; Riaz, M.; Song, B.; Liang, X.; Liu, H. Exogenous salicylic acid alleviates fomesafen toxicity by improving photosynthetic characteristics and antioxidant defense system in sugar beet. Ecotoxicol. Environ. Saf. 2022, 238, 113587. [Google Scholar] [CrossRef]
- Marsik, P.; Zunova, T.; Vanek, T.; Podlipna, R. Metazachlor effect on poplar—Pioneer plant species for riparian buffers. Chemosphere 2021, 274, 129711. [Google Scholar] [CrossRef] [PubMed]
- Singh, Y.; Nair, A.M.; Verma, P.K. Surviving the odds: From perception to survival of fungal phytopathogens under host-generated oxidative burst. Plant Commun. 2021, 2, 100142. [Google Scholar] [CrossRef] [PubMed]
- Matic, M.; Vukovic, R.; Vrandecic, K.; Camagajevac, I.S.; Cosic, J.; Vukovic, A.; Sabljic, K.; Sabo, N.; Dvojkovic, K.; Novoselovic, D. Oxidative status and antioxidative response to fusarium attack and different nitrogen levels in winter wheat varieties. Plants 2021, 10, 611. [Google Scholar] [CrossRef]
- Singh, P.; Prasad, S.M. Antioxidant enzyme responses to the oxidative stress due to chlorpyrifos, dimethoate and dieldrin stress in palak (Spinacia oleracea L.) and their toxicity alleviation by soil amendments in tropical croplands. Sci. Total Environ. 2018, 630, 839–848. [Google Scholar] [CrossRef] [PubMed]
- Alharby, H.F.; Al-Zahrani, H.S.; Hakeem, K.R.; Alsamadany, H.; El Desoky, S.M.; Rady, M.M. Silymarin-enriched biostimulant foliar application minimizes the toxicity of cadmium in maize by suppressing oxidative stress and elevating antioxidant gene expression. Biomolecules 2021, 11, 465. [Google Scholar] [CrossRef] [PubMed]
- Alyemeni, M.N.; Ahanger, M.A.; Wijaya, L.; Alam, P.; Bhardwaj, R.; Ahmad, P. Selenium mitigates cadmium-induced oxidative stress in tomato (Solanum lycopersicum L.) plants by modulating chlorophyll fluorescence, osmolyte accumulation, and antioxidant system. Protoplasma 2018, 255, 459–469. [Google Scholar] [CrossRef]
- Baia, D.C.; Olivares, F.L.; Zandonadi, D.B.; Soares, C.P.; Spaccini, R.; Canellas, L.P. Humic acids trigger the weak acids stress response in maize seedlings. Chem. Biol. Technol. Agric. 2020, 7, 31. [Google Scholar] [CrossRef]
- Foyer, C.H.; Rasool, B.; Davey, J.W.; Hancock, R.D. Cross-tolerance to biotic and abiotic stresses in plants: A focus on resistance to aphid infestation. J. Exp. Bot. 2016, 67, 2025–2037. [Google Scholar] [CrossRef]
- Shakir, S.K.; Irfan, S.; Akhtar, B.; Rehman, S.U.; Daud, M.K.; Taimur, N.; Azizullah, A. Pesticide-induced oxidative stress and antioxidant responses in tomato (Solanum lycopersicum) seedlings. Ecotoxicology 2018, 27, 919–935. [Google Scholar] [CrossRef]
- Garcia-Delgado, C.; Barba-Vicente, V.; Marin-Benito, J.M.; Igual, J.M.; Sanchez-Martin, M.J.; Rodriguez-Cruz, M.S. Influence of different agricultural management practices on soil microbial community over dissipation time of two herbicides. Sci. Total Environ. 2018, 646, 1478–1488. [Google Scholar] [CrossRef]
- Yavari, S.; Sapari, N.B.; Malakahmad, A.; Yavari, S. Degradation of imazapic and imazapyr herbicides in the presence of optimized oil palm empty fruit bunch and rice husk biochars in soil. J. Hazard. Mater. 2019, 366, 636–642. [Google Scholar] [CrossRef]
- Tang, F.; Xu, Z.; Gao, M.; Li, L.; Li, H.; Cheng, H.; Tian, G. The dissipation of cyazofamid and its main metabolite in soil response oppositely to biochar application. Chemosphere 2019, 218, 26–35. [Google Scholar] [CrossRef] [PubMed]
- Kaczyński, P.; Łozowicka, B.; Wołejko, E.; Iwaniuk, P.; Konecki, R.; Drągowski, W.; Łozowicki, J.; Amanbek, N.; Rusiłowska, J.; Pietraszko, A. Complex study of glyphosate and metabolites influence on enzymatic activity and microorganisms association in soil enriched with Pseudomonas fluorescens and sewage sludge. J. Hazard. Mater. 2020, 393, 122443. [Google Scholar] [CrossRef]
- Łozowicka, B.; Wołejko, E.; Kaczyński, P.; Konecki, R.; Iwaniuk, P.; Drągowski, W.; Łozowicki, J.; Tujtebajeva, G.; Wydro, U.; Jabłońska-Trypuć, A. Effect of microorganism on behavior of two commonly used herbicides in wheat/soil system. Appl. Soil Ecol. 2021, 162, 103879. [Google Scholar] [CrossRef]
- Bhatt, P.; Zhang, W.; Lin, Z.; Pang, S.; Huang, Y.; Chen, S. Biodegradation of allethrin by a novel fungus Fusarium proliferatum strain CF2, isolated from contaminated soils. Microorganisms 2020, 8, 593. [Google Scholar] [CrossRef] [PubMed]
- Jamiołkowska, A.; Skwaryło-Bednarz, B.; Mielniczuk, E.; Bisceglie, F.; Pelosi, G.; Degola, F.; Galazka, A.; Grzeda, E. Effect of thiosemicarbazone derivatives and Fusarium culmorum (Wm.G. Sm.) Sacc. infection of winter wheat seedlings on their health status and soil biological activity. Agronomy 2022, 12, 116. [Google Scholar] [CrossRef]
- Ćwieląg-Piasecka, I.; Medyńska-Juraszek, A.; Jerzykiewicz, M.; Dębicka, M.; Bekier, J.; Jamroz, E.; Kawałko, D. Humic acid and biochar as specific sorbents of pesticides. J. Soils Sediments 2018, 18, 2692–2702. [Google Scholar] [CrossRef]
- Bhat, S.A.; Bhat, W.F.; Bano, B. Spectroscopic evaluation of the interaction between pesticides and chickpea cystatin: Comparative binding and toxicity analyses. Environ. Sci. Process. Impacts 2016, 18, 872–881. [Google Scholar] [CrossRef] [PubMed]
- Ampong, K.; Thilakaranthna, M.S.; Gorim, L.Y. Understanding the role of humic acids on crop performance and soil health. Front. Agron. 2022, 4, 848621. [Google Scholar] [CrossRef]
- Matysiak, K.; Miziniak, W.; Kaczmarek, S.; Kierzek, R. Herbicides with natural and synthetic biostimulants in spring wheat. Cienc. Rural 2018, 48, e20180405. [Google Scholar] [CrossRef]
- Spanic, V.; Horvat, D.; Drezner, G.; Zdunic, Z. Changes in protein composition in the grain and malt after fusarium infection dependently of wheat resistance. Pathogens 2019, 8, 112. [Google Scholar] [CrossRef]
- Nosenko, T.; Hanke-Uhe, M.; Heine, P.A.; Shahid, A.; Dübel, S.; Rennenberg, H.; Schumacher, J.; Winkler, J.B.; Schnitzler, J.-P.; Hänsch, R.; et al. Plant defense proteins as potential markers for early detection of forest damage and diseases. Front. For. Glob. Chang. 2021, 4, 654032. [Google Scholar] [CrossRef]
- Fukui, K.; Hayashi, K. Manipulation and sensing of auxin metabolism, transport and signaling. Plant Cell Physiol. 2018, 59, 1500–1510. [Google Scholar] [CrossRef] [PubMed]
- Sidhu, G.K.; Singh, S.; Kumar, V.; Dhanjal, D.S.; Datta, S.; Singh, J. Toxicity, monitoring and biodegradation of organophosphate pesticides: A review. Crit. Revi. Environ. Sci. Technol. 2019, 49, 1135–1187. [Google Scholar] [CrossRef]
- Manes, N.; Brauer, E.K.; Hepworth, S.; Subramaniam, R. MAMP and DAMP signaling contributes resistance to Fusarium graminearum in Arabidopsis. J. Exp. Bot. 2021, 72, 6628–6639. [Google Scholar] [CrossRef]
- Sharma, A.; Shahzad, B.; Rehman, A.; Bhardwaj, R.; Landi, M.; Zheng, B. Response of phenylpropanoid pathway and the role of polyphenols in plants under abiotic stress. Molecules 2019, 24, 2452. [Google Scholar] [CrossRef]
- Graziani, G.; Cirillo, A.; Giannini, P.; Conti, S.; El-Nakhael, C.; Rouphael, Y.; Ritieni, A.; di Vaio, C. Biostimulants improve plant growth and bioactive compounds of young olive trees under abiotic stress conditions. Agriculture 2022, 12, 227. [Google Scholar] [CrossRef]
- Wallis, C.M.; Galarneau, E.R.A. Phenolic compound induction in plant-microbe and plant-insect interactions: A meta-analysis. Front. Plant Sci. 2020, 11, 580753. [Google Scholar] [CrossRef]
- Silva, B.; Souza, M.M.; Badiale-Furlong, E. Antioxidant and antifungal activity of phenolic compounds and their relation to aflatoxin B1 occurrence in soybeans (Glycine max L.). J. Sci. Food Agric. 2020, 100, 1256–1264. [Google Scholar] [CrossRef] [PubMed]
- Pastuszak, J.; Szczerba, A.; Dziurka, M.; Hornyak, M.; Kopec, P.; Szklarczyk, M.; Plazek, A. Physiological and biochemical response to Fusarium culmorum infection in three durum wheat genotypes at seedling and full anthesis stage. Int. J. Mol. Sci. 2021, 22, 7433. [Google Scholar] [CrossRef]
- Zhang, L.; Feng, G.; Declerck, S. Signal beyond nutrient, fructose, exuded by an arbuscular mycorrhizal fungus triggers phytate mineralization by a phosphate solubilizing bacterium. ISME J. 2018, 12, 2339–2351. [Google Scholar] [CrossRef]
- Hoelscher, M.P.; Forner, J.; Calderone, S.; Kramer, C.; Taylor, Z.; Loiacono, F.V.; Agrawal, S.; Karcher, D.; Moratti, F.; Kroop, X.; et al. Expression strategies for the efficient synthesis of antimicrobial peptides in plastids. Nat. Commun. 2022, 13, 5856. [Google Scholar] [CrossRef]
- Vaccaro, S.; Ertani, A.; Nebbioso, A.; Muscolo, A.; Quaggiotti, S.; Piccolo, A.; Nardi, S. Humic substances stimulate maize nitrogen assimilation and amino acid metabolism at physiological and molecular level. Chem. Biol. Technol. Agric. 2015, 2, 5. [Google Scholar] [CrossRef]
- Lushchak, V.I.; Matviishyn, T.M.; Husak, V.V.; Storey, J.M.; Storey, K.B. Pesticide toxicity: A mechanistic approach. Excli J. 2018, 17, 1101–1136. [Google Scholar] [CrossRef] [PubMed]
- Mao, J.; Zhou, Y.; Lv, G.; Zhou, R. Simultaneous detoxification of aflatoxin B1, zearalenone and deoxynivalenol by modified montmorillonites. Molecules 2022, 27, 315. [Google Scholar] [CrossRef]
- Maguey-González, J.A.; Nava-Ramírez, M.d.J.; Gómez-Rosales, S.; Ángeles, M.d.L.; Solís-Cruz, B.; Hernández-Patlán, D.; Merino-Guzmán, R.; Hernández-Velasco, X.; Figueroa-Cárdenas, J.d.D.; Vázquez-Durán, A.; et al. Humic Acids preparation, characterization, and their potential adsorption capacity for aflatoxin B1 in an in vitro poultry digestive model. Toxins 2023, 15, 83. [Google Scholar] [CrossRef]
- Gunupuru, L.R.; Patel, J.S.; Sumarah, M.W.; Renaud, J.B.; Mantin, E.G.; Prithiviraj, B. A plant biostimulant made from the marine brown algae Ascophyllum nodosum and chitosan reduced Fusarium head blight and mycotoxin contamination in wheat. PLoS ONE 2019, 14, e0220562. [Google Scholar] [CrossRef] [PubMed]
- Zhang, Z.; Nie, D.; Fan, K.; Yang, J.; Guo, W.; Meng, J.; Zhao, Z.; Han, Z. A systematic review of plant-conjugated masked mycotoxins: Occurrence, toxicology, and metabolism. Crit. Rev. Food Sci. Nutr. 2020, 60, 1523–1537. [Google Scholar] [CrossRef] [PubMed]
Disclaimer/Publisher’s Note: The statements, opinions and data contained in all publications are solely those of the individual author(s) and contributor(s) and not of MDPI and/or the editor(s). MDPI and/or the editor(s) disclaim responsibility for any injury to people or property resulting from any ideas, methods, instructions or products referred to in the content. |
© 2023 by the authors. Licensee MDPI, Basel, Switzerland. This article is an open access article distributed under the terms and conditions of the Creative Commons Attribution (CC BY) license (https://creativecommons.org/licenses/by/4.0/).