Next Article in Journal / Special Issue
Flame Retardancy of PA6 Using a Guanidine Sulfamate/Melamine Polyphosphate Mixture
Previous Article in Journal
Active Peptide-Conjugated Chitosan Matrices as an Artificial Basement Membrane
Previous Article in Special Issue
Development of a Halogen Free Flame Retardant Masterbatch for Polypropylene Fibers
 
 
Font Type:
Arial Georgia Verdana
Font Size:
Aa Aa Aa
Line Spacing:
Column Width:
Background:
Article

Flame Retardance and Physical Properties of Novel Cured Blends of Unsaturated Polyester and Furan Resins

by
Baljinder Kaur Kandola
1,*,
John Russell Ebdon
1 and
Kawser Parveen Chowdhury
1,2
1
Fire Materials Group, Institute for Materials Research and Innovation, University of Bolton, Deane Road, Bolton BL3 5AB, UK
2
Faculty of Textile Chemical Processing Engineering & Applied Science, Bangladesh University of Textiles, 92 Shaheed Tajuddin Ahmed Avenue, Tejgaon, Dhaka-1208, Bangladesh
*
Author to whom correspondence should be addressed.
Polymers 2015, 7(2), 298-315; https://doi.org/10.3390/polym7020298
Submission received: 15 December 2014 / Accepted: 4 February 2015 / Published: 11 February 2015
(This article belongs to the Special Issue Advances in Flame Retardant Polymers)

Abstract

:
Novel blends of two furan resins with an unsaturated polyester have been prepared and cured by parallel free radical (for the unsaturated polyester) and acid-catalysed crosslinking (for the furan resin) to give co-cured composite materials. Although these materials have inferior physical properties, such as low Tg and low storage modulus compared with those of unsaturated polyester and furan resins alone, they show markedly improved flame retardance compared with that of the normally highly flammable unsaturated polyester. This increased flame retardance arises from a condensed phase mechanism in which the furanic component forms a semi-protective char, reducing rates of thermal degradation and total heat release and heat of combustion. The blends also burn with reduced smoke output compared with that from unsaturated polyester alone.

Graphical Abstract

1. Introduction

Fibre-reinforced composites based on thermosetting polymeric resins (thermosets) are becoming popular alternatives to conventional metals in structural applications owing to their good mechanical properties combined with light weight and corrosion resistance [1]. Thermosetting resins, composed of a resin, a curing agent, a catalyst or initiator, and sometimes a solvent can be easily tailored to provide high cross-linking densities for desired ultimate properties such as high modulus, strength, durability, and thermal and chemical resistances [2]. However, the organic nature of the polymeric resins makes them, and composites made using them, flammable; however, their flammability depends upon the resin type. Of the commonly used thermosets, namely unsaturated polyester (UP), vinyl ester (VE), epoxy (EP) and phenolic (PH) resins, UP and VE are the most flammable. For curing both UP and VE, styrene is used as a cross-linking agent, leading to a highly cross-linked structure with good mechanical properties. However, while these resins are thermally stable up to ~250 °C, above this temperature depolymerization occurs, producing styrene and other volatiles, which burn with heavy smoke and soot [3,4]. The depolymerization in these resins is close to 100%, leaving little char residue at the end of burning. Despite this drawback and because of other favourable properties, these two resins dominate the ship- and boat-building market and hence solutions to address the problem of their flammability need to be sought. One solution is for UP and VE resins to be compounded with halogen- and/or phosphorus-containing flame-retardant (FR) additives. However, these often have to be used at concentrations of 20 wt% or above to ensure efficacy, with deleterious effects on physical and mechanical properties [1]. Alternatively, for UP resins, the backbone may be chemically modified with FR groups (a reactive strategy) [5], or be crosslinked using an FR monomer in partial replacement of the styrene [6,7], but either strategy significantly increases cost. We have adopted an alternative approach of blending and co-curing these resins with other less flammable, char-forming resins [8].
It is well known that the char-forming tendency of a polymer is a measure of its fire retardancy [9] as char is formed at the expense of the formation of combustible volatiles. Since flaming combustion is a gas-phase process, any combustible material needs first to degrade to yield combustible volatiles to fuel the conflagration. Polymers that cross-link during degradation produce less volatile material but more cross-linked char, and as a consequence are less flammable than those that undergo primarily chain scission or chain stripping to produce more volatile fragments, most of which will be flammable. Within organic matrix resins, PHs are inherently more char-forming than EP, UP and VE resins [10], and hence have lower flammability [4,11,12,13]. Other char-forming resins of interest are melamine-formaldehyde and furan resins, both of which are less flammable than UP [12] and VE. Furan resins have particular advantages in that they are derived from bio-sources and are based on furfuryl alcohol, which is less toxic than the formaldehyde used for synthesis of PH resins. Hence, furans have the potential to replace phenolic resins for applications where the fire performance criterion of composites is high [14]. Most of the furan resins are either unmodified furfuryl alcohol polymers or aldehyde modified furfuryl alcohol polymers, and are cured using an acid catalyst [14,15]. Phenolic and furan resins have some commonalities in that both cross-link by polycondensation with the elimination of water [8,16]. However, the release of water vapour at high temperatures causes some voids, which reduces the strength of composites in which these resins are used as matrices [15]. This problem is particularly acute in conventional thick composites, cured by conventional thermal processes. Hence, these resins are not suitable for use in marine structural composites.
In our recent research at Bolton we have taken advantage of the char-forming ability of PH resins by blending them with UP resin and co-curing the blended resin to produce systems with improved flame retardancy, but that still have good physical and mechanical properties [4,8,11,12,13]. We have published extensively on the use of PH resoles [4,11,13] which, being liquids, are easy to use in this capacity. However, although the incorporation of PH resoles reduced the flammability of the UP, these blends needed much higher curing temperatures than UP (~200 °C compared to room temperature curing followed by post curing at 80 °C in UP) and longer curing times. To address this, we explore here the use of furan resins as alternatives to PH, since furan resins can be cured at room temperature. Like PH resins, furan resins are relatively thermally stable and are char-forming, and have established uses, for example as binders for foundry sands and as components of sealants and mortars [17]. More recently they have been used as intermediates for the manufacture of carbon-carbon composites [18].

2. Experimental Section

2.1. Materials

Unsaturated polyester (UP) resin: Crystic 2-406PA (Scott Bader, Wellingborough, UK): a pre-accelerated, thixotropic condensate of phthalic anhydride, propan-1,2-diol and maleic anhydride containing 35–40 wt% styrene and 0.2 wt% cobalt octoate accelerant.
Free radical initiator for UP curing: Catalyst M (Scott-Bader, Wellingborough, UK): a solution of methyl ethyl ketone (MEK) peroxide in MEK.
Furan resins: Furolite (TransFurans Chemicals, Geel, Belgium): a furfuryl alcohol prepolymer with methylol end-groups having a molecular weight of 500–700. Furobond HO (TransFurans Chemicals, Belgium): a furfuryl alcohol prepolymer of structure similar to Furolite but with a molecular weight of ca. 2000.
Catalyst for furan resin curing: p-toluene sulfonic acid monohydrate (Tokyo Chemical Industry Co. Ltd., Tokyo, Japan).

2.2. Preparation of Cured Resin Plaques

Unsaturated polyester: Twelve grams of UP resin and 0.24 g of catalyst M (i.e., 2 wt% w.r.t. resin) were mixed by continuous hand stirring for around 5 min in a 100 mL beaker. Samples of mixed resin were poured into round moulds (5 cm diameter, 3 mm depth), allowed to cure at room temperature for 24 h, and then post cured at 80 °C for a further 6 h in an oven. These curing conditions used for UP are similar to those reported in our previous publications [4,9].
The curing/post curing conditions of both furan resins and their blends with UP discussed below were established by differential scanning calorimetry (DSC), discussed in a later section.
Furolite: Both Furolite (FL) and Furobond HO (FB) are too viscous to be cast without pre-dissolution in a small volume of solvent. Hence 70 g of FU and 30 mL of methanol solvent were mixed and stirred with a mechanical stirrer for 2 h in a 100 mL beaker giving, following some slight evaporation of the solvent, 96 g of dissolved resin. Twelve grams of this dissolved resin was mixed with 0.087 g (1 wt% w.r.t. resin, excluding the added solvent) of p-toluene sulfonic acid monohydrate, pre-dissolved in a small amount of methanol, and samples poured into round moulds as for UP. These cast samples were cured using the same thermal regime as for UP except that the postcuring at 80 °C was carried out for 24 h.
Furobond HO (FB): Twenty grams of FB and 15 mL of furfuryl alcohol as solvent were mixed and stirred for around 3 h in a 100 mL beaker giving 33.3 g of dissolved resin. Twelve grams of this dissolved resin and 0.12 g (1 wt% w.r.t. resin) of p-toluene sulfonic acid monohydrate catalyst were measured into two separate beakers. A small amount of THF was used to dissolve the solid acid monohydrate (methanol cannot be used in this case as it is not miscible with FB), which was then stirred into the resin for around 5 min. Samples of this mixed FB resin were then poured into round moulds and cured at room temp for 24 h followed by post-curing at 80 °C for another 48 h in an oven. Some samples were subjected also to a second post-curing at 100 °C for 4 h.
UP/FL blends: Blends of UP with FL were prepared with 50/50 ratios and a 70/30 ratios by weight of UP and FL. After mixing the resin components, 2 wt% w.r.t. UP of catalyst M was added to the mixture together with 1 wt% w.r.t. FL of p-toluene sulfonic acid monohydrate. Samples of these blends were cured in round pans following the same curing regime as for the pure FL samples.
UP/FB blends: Blends of UP with FB were prepared also with 50/50 and 70/30 ratios by weight of UP and FB following procedures similar to those adopted for the UP/FL blends, except that a small amount of THF rather than methanol was used to solubilize the p-toluene sulfonic acid monohydrate in the resin mixture. The 50/50 blend was cured using the same temperature regime as for pure FB whilst for the 70/30 blend, the second post-curing at 100 °C was omitted.
In all resin samples mentioned above, prior to adding curing agent, the resin mixtures were degassed in a vacuum oven to remove any trapped gases including moisture. This is in line with the procedure used commercially.

2.3. Differential Scanning Calorimetry (DSC)

Resins are cured commercially at the lowest practicable temperature for a long period of time rather than at higher temperatures for shorter times in order to achieve maximum cross-linking, resulting in good mechanical properties. These curing conditions are established by running DSC experiments on small samples at very low heating rates (3–5 °C/min). Thus, in this work a DSC (Polymer Laboratory Thermal Sciences Division) was used to monitor the curing of resins and resin blends. About ten milligrams of an uncured resin or resin blend containing the appropriate amount(s) of curing agent(s) was placed in a standard aluminium pan fitted with a lid that had been pierced with a pin to introduce a small hole through which any volatiles could escape and then heated from 30 to 300 °C, at 5 °C/min under N2 at a gas flow rate of 100 mL/min. From the onset and maximum temperatures of curing peaks, appropriate curing and post-curing temperatures were estimated. These temperatures were then used in the curing of small samples of resin for further experiments. DSC was then run again on the cured resin samples to check that they were fully cured (indicated by the absence of any further curing exotherm) or whether further post-curing was required.

2.4. Dynamical Mechanical Thermal Analysis (DMTA)

A DMTA instrument (Polymer Laboratory Thermal Sciences Division) was used to measure glass transition temperatures (Tg), to study resin compatibility and to assess likely mechanical properties, using a single cantilevered clamp bending geometry at a frequency of 1 Hz, an RMS strain of 0.1%, over a temperature range of room temperature to 300 °C at a heating rate of 5 °C/min.

2.5. Thermo Gravimetric Analysis (TGA)

TGA (TA Instruments) was performed on 8–10 mg samples of cured resins and resin blends at a heating rate of 10 °C/min under air at a flow rate of 100 mL/min between 40 and 900 °C. Mass losses during heating were recorded.

2.6. Limiting Oxygen Index (LOI)

Measurements of LOI (Fire Testing Technology, West Sussex, UK) were carried out according to a standard method (BS 2782) on samples of each cured resin and resin blend specimens of 50 mm length, 10 mm thickness and 3.6 mm thickness.

2.7. Cone Calorimetry

A Cone Calorimeter (Fire Testing Technology, UK) was used to measure standard flammability parameters on circular plaques of cured resin and resin blends measuring 50 mm in diameter and 3.6 mm in thickness, in the horizontal mode with an ignition source at an applied heat flux of 50 kW/m2. Before testing, the bottom surfaces and the edges of the samples were wrapped with aluminium foil to ensure that only the top surfaces would be directly exposed to the heat source. A minimum of three tests were performed for each formulation.
The sample size used here is smaller than the normal 100 mm × 100 mm sizes as outlined in ISO 5660 and ASTM E 1354. Previously in our laboratories, a comparative study of the cone calorimetric behaviour of round and standard square (10 cm × 10 cm) samples was undertaken in order to understand the effect of geometry on flammability properties of polymeric materials [19]. Circular specimens with a four-fold reduction in area produced similar results for the peak heat release rates (PHRR), total heat release (THR) and effective heat of combustion (EHC).

3. Results and Discussion

3.1. Physical Appearances of Cured Resins and Resin Blends

Digital images of uncured, optimally cured and postcured samples of resins and resin blends are shown in Figure 1a–g, with the image on the left in each pair being of the uncured sample, and that on the right being of the cured and postcured sample.
All three pure resins cured to produce plaques of homogeneous appearance and with smooth, glossy surfaces. In the case of FL and FB, as can be seen from the photographs, there was considerable darkening on curing suggesting that some conjugated unsaturation arises during curing.
Figure 1. Digital images of uncured and cured samples of (a) UP; (b) FL; (c) FB; (d) 50/50 UP/FL; (e) 70/30 UP/FL; (f) 50/50 UP/FB and (g) 70/30 UP/FB.
Figure 1. Digital images of uncured and cured samples of (a) UP; (b) FL; (c) FB; (d) 50/50 UP/FL; (e) 70/30 UP/FL; (f) 50/50 UP/FB and (g) 70/30 UP/FB.
Polymers 07 00298 g001
The crosslinking mechanism of UP with styrene is well understood and involves copolymerization of styrene with the multiple maleate C=C double bonds in the unsaturated polyester chains [20]. Hydrolysis of the crosslinked structure to break the polyester chains of a typical unsaturated polyester and release the oligostyrene crosslinks, separation of these fragments by size exclusion chromatography and characterization of them by Carbon-13 NMR spectroscopy have shown that the lengths of the styrene crosslinking sequences typically range from one to three units, depending on the styrene to unsaturated polyester ratio, assuming that short crosslinks are formed early in the crosslinking process when the system is reasonably mobile and longer crosslinks when the system has become more viscous (i.e., later in the crosslinking process, when the mobility of the polyester chains is much reduced) [21]. The crosslinking of an unsaturated polyester with styrene is illustrated in Scheme 1.
Scheme 1. An early stage in the crosslinking of an unsaturated polyester (UP), based on the condensation of maleic anhydride and phthalic anhydride with propylene glycol, via a free-radical chain reaction of the maleate double bonds in the UP with styrene. R• represents a primary radical arising from the decomposition of the free-radical initiator (in this work, MEK peroxide). Note that phthalate units are not involved in the crosslinking reaction and therefore are not shown in the interests of clarity.
Scheme 1. An early stage in the crosslinking of an unsaturated polyester (UP), based on the condensation of maleic anhydride and phthalic anhydride with propylene glycol, via a free-radical chain reaction of the maleate double bonds in the UP with styrene. R• represents a primary radical arising from the decomposition of the free-radical initiator (in this work, MEK peroxide). Note that phthalate units are not involved in the crosslinking reaction and therefore are not shown in the interests of clarity.
Polymers 07 00298 g009
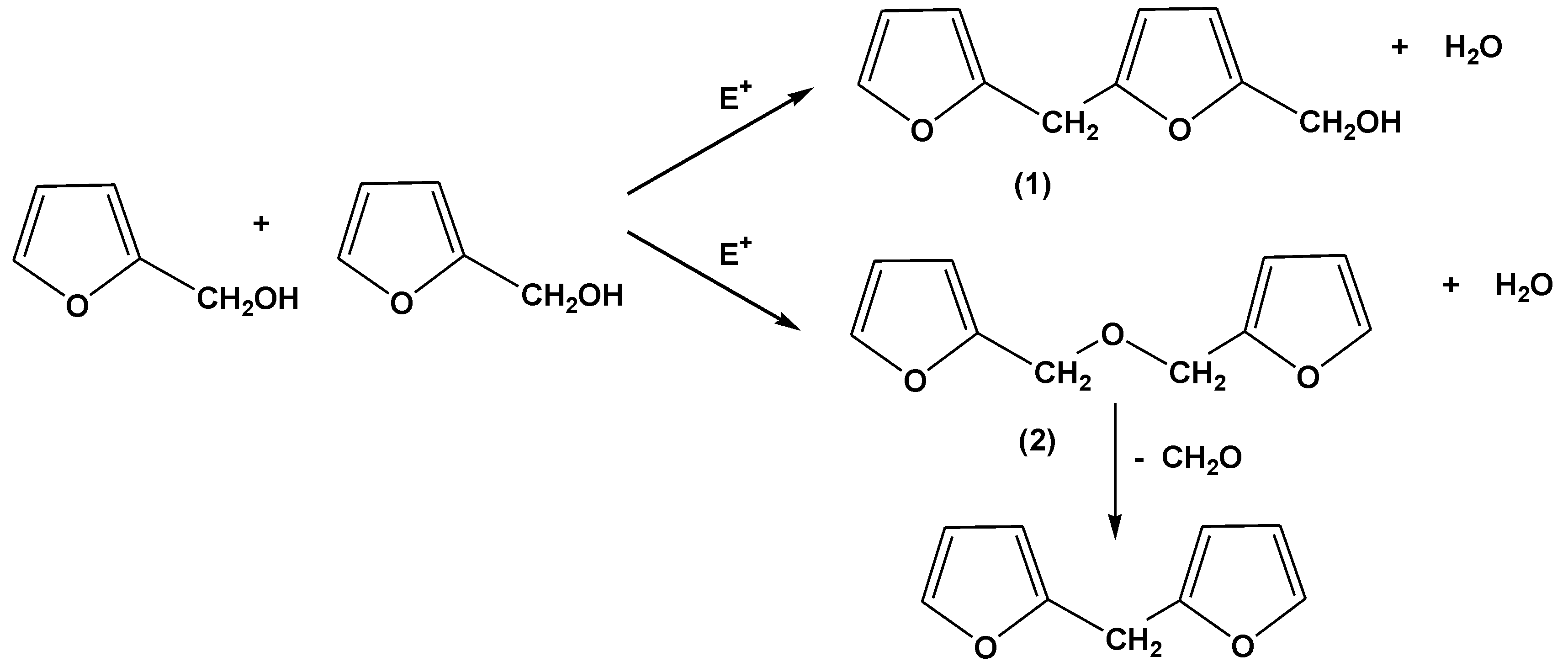
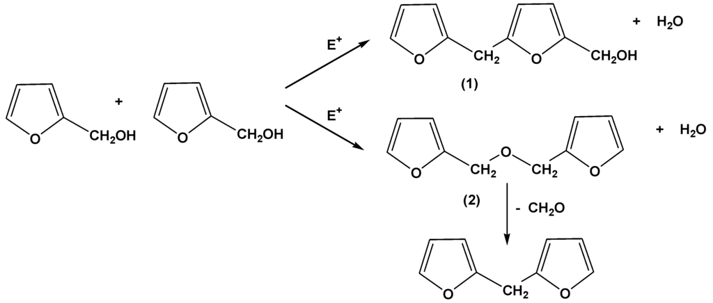
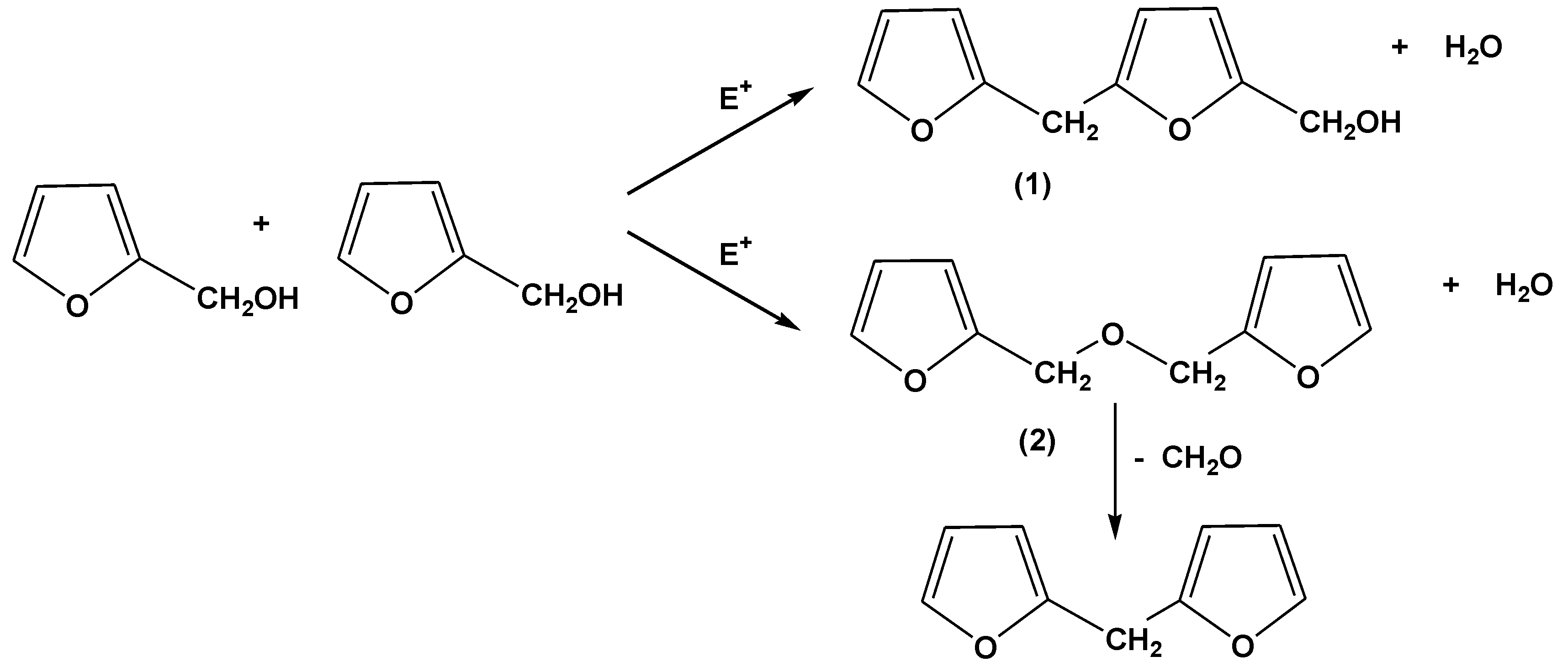
It is generally accepted that the principal reactions involved in the acid-catalyzed polymerization of furfuryl alcohol (and by analogy the acid-catalyzed chain extension of –CH2OH ended furfuryl alcohol oligomers) are those originally proposed by Dunlop and Peters [22], namely reaction of methylol groups with the C5 carbon of a neighbouring furfuryl alcohol moiety (Reaction (1) in Scheme 2) to produce methylene linked species, plus mutual reaction of methylol groups to produce methylene ether links (Reaction (2) in Scheme 2), in both cases with the elimination of water. Methylene ether linkages are not particularly stable, but decompose with the elimination of formaldehyde to produce methylene links, especially at the high temperatures employed in our curing of FL and FB based resins (see also Scheme 2).
Scheme 2. Reactions proposed for the polymerization and chain extension of furfuryl alcohol resins in the presence of acids and other electrophiles (adapted from [22]).
Scheme 2. Reactions proposed for the polymerization and chain extension of furfuryl alcohol resins in the presence of acids and other electrophiles (adapted from [22]).
Polymers 07 00298 g010
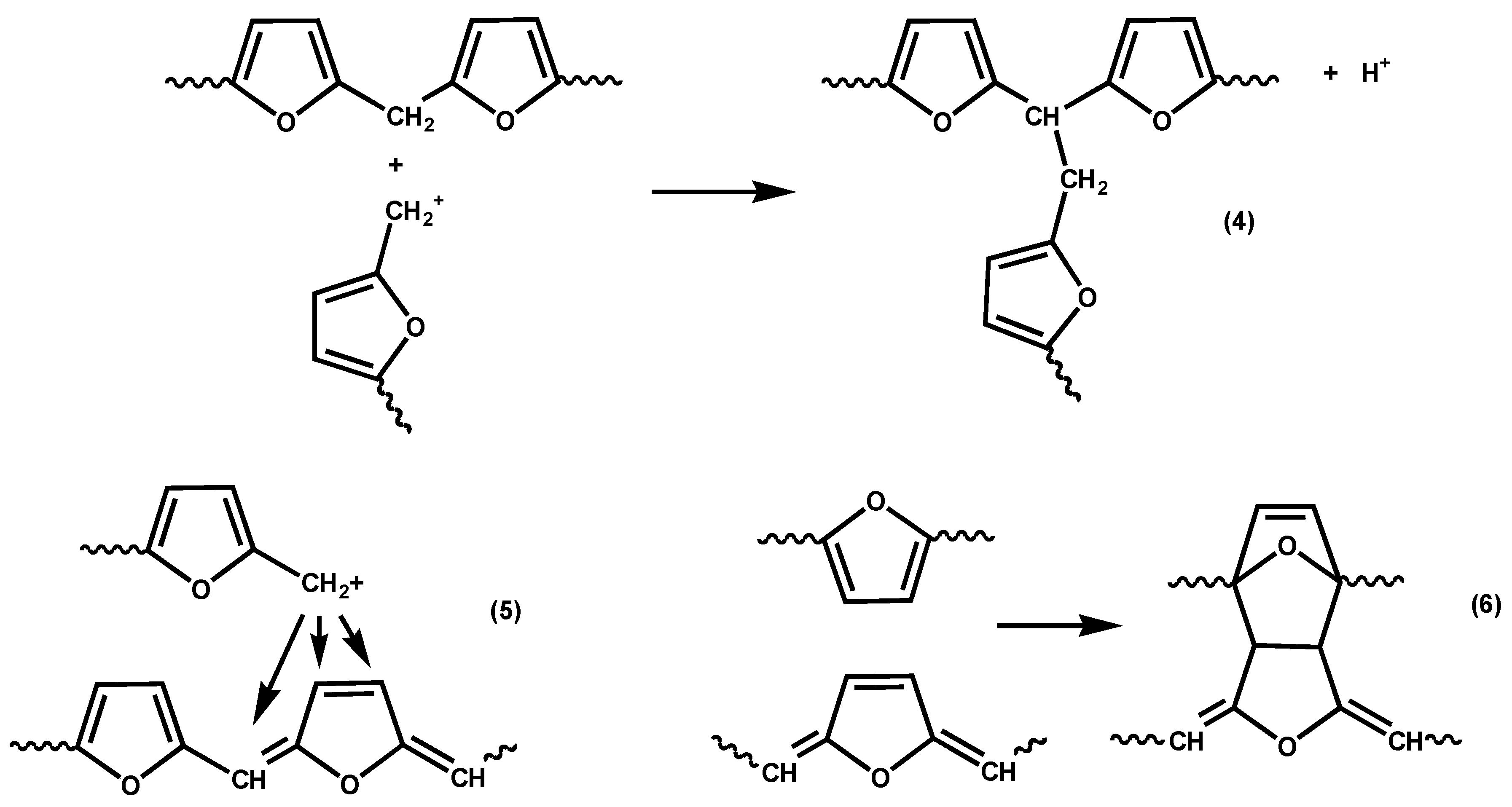
The simple reactions shown in Scheme 1 result only in linear structures and do not explain the highly coloured and crosslinked materials obtained when polyfurfuryl alcohol is fully cured. The colour can only be explained by the development of intra- and/or inter-chain conjugation. Choura et al. have published the most extensive investigation of both colour formation and crosslinking based on studies of reactions of model compounds [23]. Their proposed reactions for the development of conjugation are shown, in simplified form, in Scheme 3, Reaction (3). It will be seen that this scheme involves successive hydride ion and proton eliminations. However, whilst this proposal seems reasonable for reactions catalyzed by reagents such as Ph3CAsF6 in aprotic organic solvents in which the Ph3C+ ion can act as a hydride acceptor, in our systems, which are catalyzed by p-toluene sulfonic acid with eliminations of water, no such hydride acceptor is present, unless one considers possible hydride abstractions from one chain by a carbocationic centre on another.
Scheme 3. Reaction suggested for the development of conjugated unsaturation, and hence colour, in polyfurfuryl alcohols [23].
Scheme 3. Reaction suggested for the development of conjugated unsaturation, and hence colour, in polyfurfuryl alcohols [23].
Polymers 07 00298 g011
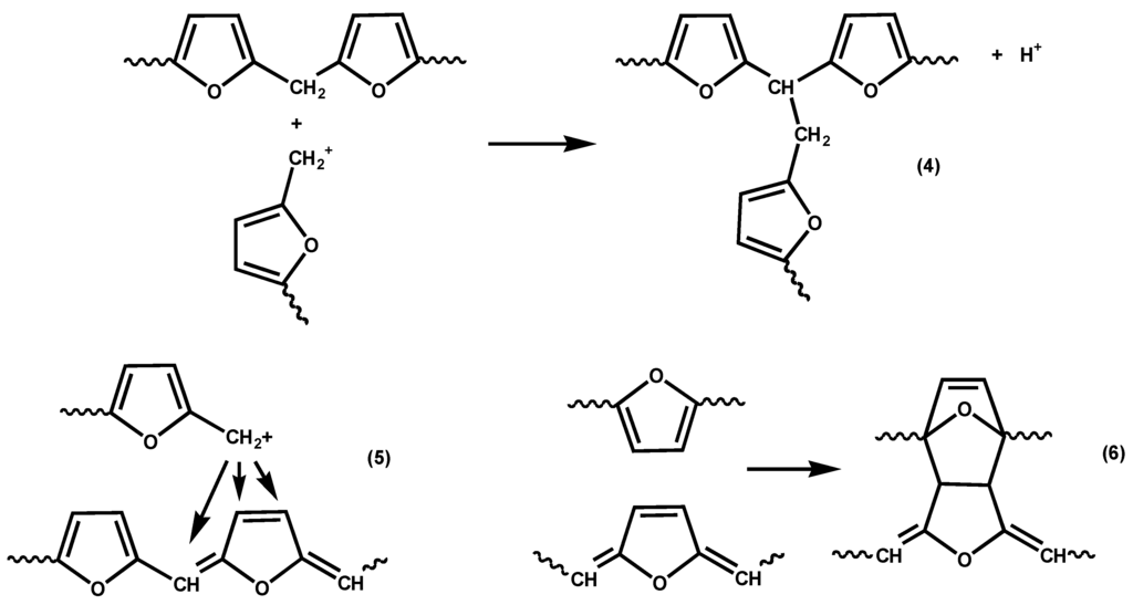
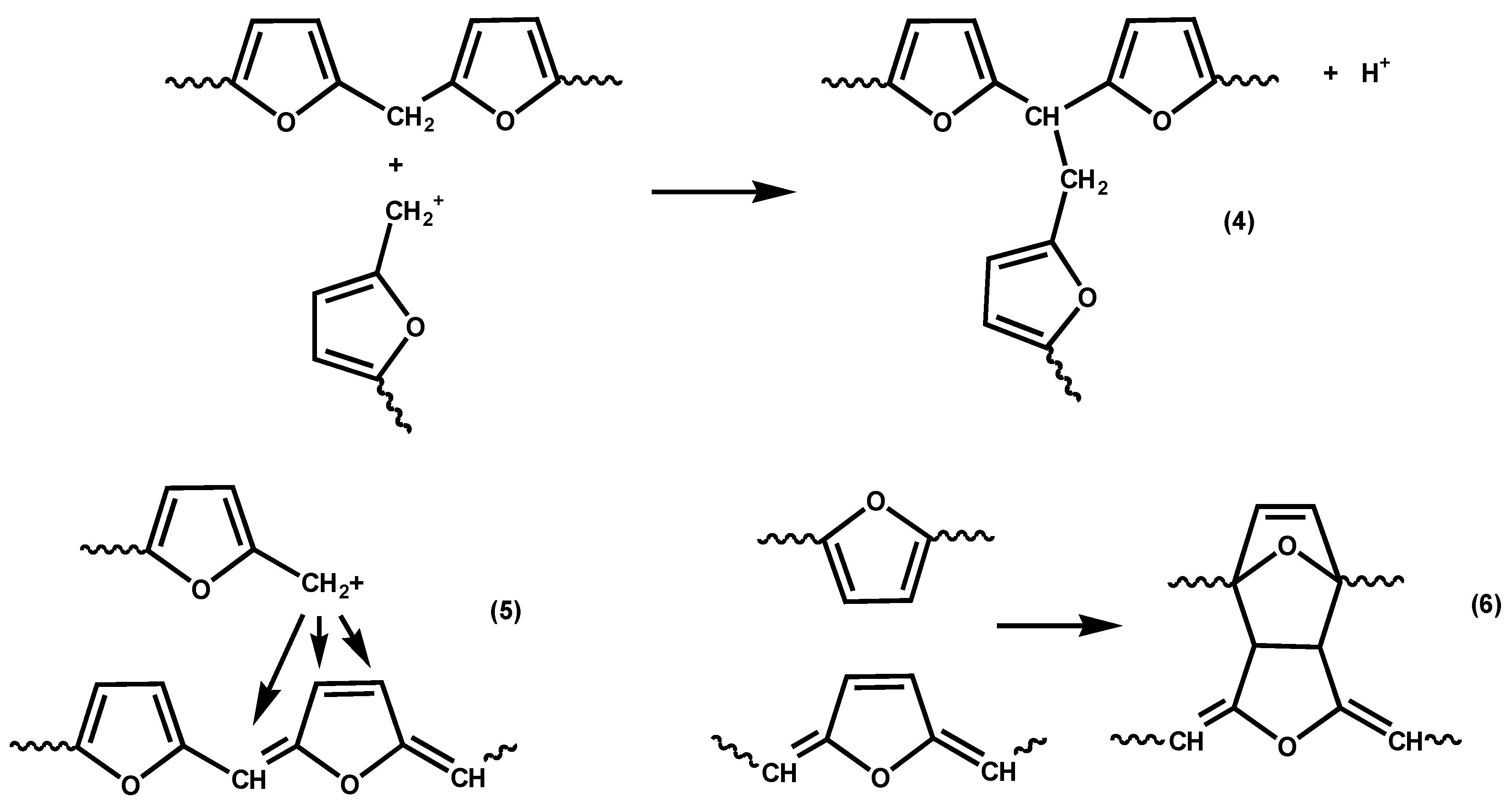
Various reactions have been proposed for the crosslinking of fufuryl alcohol resins [24,25,26], including reaction of carbocationic chain ends with preformed methylene links; see Scheme 4, Reaction (4). However, Choura et al. found no evidence for Reaction (4) when tested with model compounds. Instead they suggested Reactions (5) and (6), also shown in Scheme 4. Of these various reactions, we believe Reaction (6) to be the least likely contributor to crosslinking since, being a Diels-Alder reaction, it would be thermally reversible (unless followed by some sort of rearrangement or elimination) and there is no evidence of thermoreversibility in the crosslinking of furfuryl alcohol resins. However, crosslinking in furfuryl alcohol polymerization is clearly a topic that would reward further investigation.
Scheme 4. Reactions suggested for the crosslinking of furfuryl alcohol resins [24,25,26].
Scheme 4. Reactions suggested for the crosslinking of furfuryl alcohol resins [24,25,26].
Polymers 07 00298 g012
Although appearances (clear viscous liquids of uniform appearance) suggest that the blends are homogeneous mixtures prior to curing, after curing and postcuring the samples are at best translucent and have rough surfaces, suggesting that some slight phase separation has taken place, or that curing has not been uniform throughout the samples (see, for example, Figure 1f,g). SEM and/or TEM examinations of some of these samples might be informative in any future work, provided of course that phase separation gives rise to domains of at least micron dimensions.

3.2. Curing Behaviour of Resins and Resin Blends Investigated by DSC

UP: DSC traces recorded at a heating rate of 5 °C/min on a sample of uncured UP and a sample cured following the curing and postcuring procedure outlined for UP above are shown in Figure 2a. The run on uncured UP shows a pronounced exotherm between ca. 40 and 140 °C with a maximum at about 80 °C arising from the thermal curing of the sample. The run on the cured and postcured sample gives essentially a flat trace, indicating that cure was complete.
FL: The DSC trace recorded on uncured FL, Figure 2b, shows an exothermic transition starting from room temperature, which is then masked by a sharp endothermic peak between ca. 120 and 150 °C. Furan resins cure with the release of water (Scheme 1) and we assume that the endotherm observed here arises from evaporation of this water, possibly with evaporation of residual methanol solvent. The curing was conducted at room temperature for 24 h, followed by post curing at 80 °C for 24 h. The DSC trace of the cured and postcured sample, like that of cured UP, is featureless, indicating that cure was complete.
FB: The DSC traces for FB before and after curing and postcuring, Figure 2c, are similar to those for FL except in that the shallow curing exotherm between ca. 60 and 180 °C is masked by an endotherm for the uncured sample.
UP/FL and UP/FB blends: The DSC traces for 50/50 and 70/30 blends of UP with FL and FB, before and after curing and postcuring, are given in Figure 2d–g. The traces for the uncured blends are essentially combinations of those for the separate uncured components, as might be expected, except that for the 50/50 compositions more than one endothermic peak is observed, possibly indicating release of several volatile species during cure, or delayed release of some volatiles caused by the rapidly increasing viscosity of the curing system because the UP network cures first during the DSC runs (40–140 °C) ahead of the furan resin network (120–150 °C). For all blends, the DSC traces of the cured and postcured samples show no endotherms or exotherms, indicating that the curing of both components was complete.
Figure 2. DSC traces for uncured and cured samples of (a) UP; (b) FL; (c) FB; (d) 50/50 UP/FL; (e) 70/30 UP/FL; (f) 50/50 UP/FL and (g) 70/30 UP/FB recorded at 5 °C/min under N2.
Figure 2. DSC traces for uncured and cured samples of (a) UP; (b) FL; (c) FB; (d) 50/50 UP/FL; (e) 70/30 UP/FL; (f) 50/50 UP/FL and (g) 70/30 UP/FB recorded at 5 °C/min under N2.
Polymers 07 00298 g002

3.3. DMTA Analysis of Cured Resins and Resin Blends

Plots of tanδ for cured samples of UP, FL, FB and blends of UP with FL and FB are given in Figure 3a,b. For all samples, including the blends, single tanδ maxima are observed, indicating that all samples are homogeneous materials displaying single α transitions (Tg). The values of Tg obtained from the figures are given in Table 1. Also included in the table are values of the loss and storage moduli at RT (i.e., below Tg) The notable feature is that Tgs of the cured blends are lower than those of the separately cured components, as are the storage moduli below Tg, whereas the loss moduli of the blends are greater than those of either of the pure components below Tg. This finding is disappointing in that it provides no evidence of mutual reinforcement of the networks formed by the two resins in the blends, but rather that network formation is less complete (looser) in both the components in the cured blends than it is in the cured pure components. The significance of this is that high temperature mechanical properties of the cured blends are likely to be poorer than those of the cured individual resins.
Figure 3. Tanδ vs. T for (a) cured UP, FL and UP/FL blends and (b) for cured UP, FB and UP/FB blends.
Figure 3. Tanδ vs. T for (a) cured UP, FL and UP/FL blends and (b) for cured UP, FB and UP/FB blends.
Polymers 07 00298 g003
Table 1. Tg and moduli for cured resins and resin blends.
Table 1. Tg and moduli for cured resins and resin blends.
ResinTg/°CStorage modulus at RT/MPaLoss modulus at RT/MPa
UP1002200100
70/30 UP/FL65600180
50/50 UP/FL61500120
FL144140080
70/30 UP/FB68600210
50/50 UP/FB68800220
FB94120080
Note: RT = room temperature.

3.4. Thermal Degradation of Cured Resins and Resin Blends Studied by TGA

The TGA traces for UP, FL, FB and blends of UP with FL and FB are given in Figure 4a,b. UP and the resin blends are seen to degrade in two main stages, with the first complete at about 500 °C. Above this temperature, more stable intermediate products are formed (chars) which proceed to oxidize above about 600 °C, leaving no residue at 800 °C and beyond. The thermal degradation behaviours of FL and FB are rather more complex with probably more than two stages involved, although for these resins too, there appear to be initial stages corresponding to pyrolysis followed by a char oxidation stage. In all significant respects, the TGA traces for the UP/FL and UP/FB blends are intermediate in character between those of the pure resin components in that, like FL, UP/FL blends are initially less thermally stable than UP, whereas above about 400 °C, the blends are more thermally stable than UP. The same pattern of behaviour is observed also for the UP/FB blends. Salient details of degradation behaviour extracted for the TGA traces are listed in Table 2.
Figure 4. TGA traces for (a) cured UP, FL and UP/FL blends and (b) cured UP, FB and UP/FBblends.
Figure 4. TGA traces for (a) cured UP, FL and UP/FL blends and (b) cured UP, FB and UP/FBblends.
Polymers 07 00298 g004
Table 2. Some parameters of degradation extracted from the TGA data plotted in Figure 4.
Table 2. Some parameters of degradation extracted from the TGA data plotted in Figure 4.
ResinOnset T of degradation (°C)Mass remaining at 600 °C (wt%)Calculated mass remaining at 600 °C (wt%) *
UP16510-
70/30 UP/FL902025
50/50 UP/FL1103735
FL8560-
70/30 UP/FB1202827
50/50 UP/FB1254339
FB8567-
* Calculated assuming that char yields in blends are mass averages of those of component resins.
The onset temperatures of thermal degradation listed in Table 2 would be expected to have some bearing on the time to ignition of the polymers; this aspect is discussed later, as is the bearing that char yields (mass remaining at 600 °C) might have upon total heat released in cone calorimetry experiments. We have taken the char yield to be the mass remaining at 600 °C, which is the temperature at which there is a point of inflection in the mass loss curves and beyond which char oxidation becomes significant. Table 2 also lists mass average residual masses at 600 °C calculated from the residual masses of the pure components at this temperature. For example, for a 50/50 UP/FL blend, the mass average residual mass at 600 °C is calculated as 50% of residual mass of UP at 600 °C plus 50% of residual mass of FL at 600 °C. It can be seen that for the UP/FL and UP/FB blends, the calculated residual masses at 600 °C are similar to those measured, indicating that from the pyrolysis point of view, both blends behave very much like simple mixtures of UP and FL or FB and that there is probably no chemical interaction between them leading to changes in pyrolysis mechanism.

3.5. Limiting Oxygen Index (LOI) of Cured Resins and Resin Blends

Measurements of LOI for the various resins and resin blends are given in Table 3. LOI is a rather crude measure of flammability (more a measure of ignitability) but can be a useful guide to likely performance in more sophisticated fire tests and in real-world fire performance. As expected, given the greater char-forming potential of FL and FB than UP, the LOIs of FL and FB are both greater than that of UP. Also, the LOIs of the blends are intermediate between those of the resin components and increase as the amount of FL or FB is increased, as would be expected.
Table 3. LOIs of cured resin and resin blends.
Table 3. LOIs of cured resin and resin blends.
ResinLOI/vol% O2 *
UP18.4
70/30 UP/FL18.8
50/50 UP/FL19.0
FL22.7
70/30 UP/FB18.5
50/50 UP/FB18.9
FB23.1
* Probable error in LOI = ±0.1.

3.6. Cone Calorimetry

Plots of heat release rate (HRR) vs. time (t) for the various cured resins and resin blends are given in Figure 5a,b, whilst Figure 5c,d show plots of rate of smoke release (RSR) vs. t, and Figure 5e,f plots of mass vs. t.
It can be seen from Figure 5a,b that the total heat released (THR) from FL and FB (areas under the HRR vs. t curves) are both less than that released from UP, but that times to ignition (TTI) are shorter. The cured blends show behaviors in these respects intermediate between those of the pure components with no obvious signs of any synergistic or antagonistic behaviour between the components in the blends. Smoke production is significantly less for FB and FL than for UP, with the blends again showing behaviours intermediate between those of the component resins, Figure 5c,d. The mass vs. t curves also indicate the earlier ignition of FL, FB and the blends compared with UP and also that char formation in FL and FB and UP/FL and UP/FB blends is significant, whereas UP alone produces very little char, Figure 5e,f. Cone calorimetric data are summarized in Table 4.
Table 4. Cone calorimetric data for cured resins and resin blends *.
Table 4. Cone calorimetric data for cured resins and resin blends *.
ResinTTI/sFO/sPHRR (kW m−2)THR (MJ m−2)EHC (MJ kg−1)TSR (m2 m−2)Char (wt%)
UP281489677819.346600.8
70/30 UP/FL171427967119.435259.8
50/50 UP/FL161179115716.8252013.6
FL191038543216.09538.0
70/30 UP/FB191019796718.931407.0
50/50 UP/FB181029933918.1233020.2
FB251189813917.329044.2
* Probable errors in data: TTI = ±1; FO = ±2; PHRR = ±5–10; THR = ±1; EHC = ±1; RSR = ±20; Char = ±0.1.
Figure 5. HRR vs. time for (a) UP/FL cured resins and resin blends and (b) for UP/FB cured resins and resin blends; (c) and (d) are RSR vs. time plots for the same systems and (e) and (f) plots of mass vs. time plots obtained by cone calorimetry.
Figure 5. HRR vs. time for (a) UP/FL cured resins and resin blends and (b) for UP/FB cured resins and resin blends; (c) and (d) are RSR vs. time plots for the same systems and (e) and (f) plots of mass vs. time plots obtained by cone calorimetry.
Polymers 07 00298 g005
It is clear from these data that whilst not as flame retardant as cured FL and cured FB, cured blends of UP with both FL and FB are significantly more flame retardant than UP alone. Of particular note is that although times to ignition for the blends are shorter than for UP, duration of flaming combustion (FO–TTI) is also shorter, whilst although PHR is little altered, both THR and EHC are significantly reduced. The increased char yields for the blends together with no increase in smoke (in fact smoke output is reduced), indicate that the effects of FL and FB in increasing the flame retardance of UP/FL and UP/FB blends compared with UP alone arise from a condensed phase mechanism in which both FL and FB contribute to significantly increased char formation. The structures of these chars have not been investigated in detail but appear to be largely carbonaceous.
It is interesting to investigate to what extent the thermal degradation behaviors of these polymers (i.e., the TGA data) are consistent with the fire performance as assessed by cone calorimetry. For example, one would expect the temperature of onset of thermal degradation, Tonset (i.e., temperature at which volatiles begin to be released) to have a bearing on the time to ignition, TTI. These data are plotted in Figure 6.
Figure 6. Plot of Tonset from TGA data vs. TTI from cone calorimetric data for cured resins and resin blends.
Figure 6. Plot of Tonset from TGA data vs. TTI from cone calorimetric data for cured resins and resin blends.
Polymers 07 00298 g006
With the exception of the data for FL and FB, it can be seen from Figure 7 that the correlation between Tonset and TTI is reasonable, with those resins that have low Tonset having low TTI and vice versa. It is possible that both Tonset and TTI are low for FL and FB owing to the presence of some occluded solvent left over from the mixing and curing stage. Another correlation between TGA and cone calorimetric data that might be expected is one between mass of material degraded prior to the char formation and oxidation stage (i.e., mass loss below 600 °C) and total heat released. A plot of these parameters is shown in Figure 7.
Figure 7. THR vs. mass loss below 600 °C for cured resins and resin blends.
Figure 7. THR vs. mass loss below 600 °C for cured resins and resin blends.
Polymers 07 00298 g007
The correlation between THR and TGA mass loss below 600 °C is a good indication that the majority of the gases released during the pyrolysis of the polymers are flammable fragments and not non-combustible species such as CO and CO2. In future work these gases will be quantitatively characterized by TGA-FTIR and Pyrolysis-GCMS. Although no plots are shown here, it is worth noting that, as expected, there is a reasonable correlation between char yields obtained in the TGA experiments (i.e., mass remaining at 600 °C) and final char yields in the cone calorimetric tests (see Table 2 and Table 4).

4. Conclusions

The addition of both FL and FB to UP leads to a significant increase in flame retardance in the resulting cured blends compared with that of cured UP alone. There is little to choose between the UP/FL and UP/FB systems in terms of their fire performance, with parameters such as LOI, PHRR, THR, RSR and char yield being similar for blends of equivalent composition. The mechanism of flame retardance is a condensed phase one in which the introduction of the furan resin leads to increased char formation. However, this char almost certainly arises from the furan component alone, with no increased contribution from UP, as can be seen from the near linear plots of char yield from the cone calorimetric experiments vs. resin composition for both the UP/FL and UP/FB systems (see Figure 8).
Although the cured blended resins appear to have single Tgs, it is doubtful that they are completely homogeneous or that network formation is complete, especially for the furanic component, given that Tgs are lower than for the pure cured components and that storage moduli below Tg are poor. Sub-optimal network formation might be expected for the furanic component given that temperatures of cure for the furan resins are higher than for UP as indicated by the DSC experiments, thus furan resin chains might become isolated in a matrix of cured UP before they can fully crosslink. It is possible that these blended UP/FL and UP/FB resins might perform more satisfactorily from the mechanical point of view when used as the matrix material in a fiber- or particulate-reinforced composite. Alternatively, such blended resins might have applications as FR coatings, in which mechanical properties are less important.
Figure 8. Plots of char yield from cone calorimetric experiments vs. resin composition for UP/FL resins ( ) and UP/FB resins ( ).
Figure 8. Plots of char yield from cone calorimetric experiments vs. resin composition for UP/FL resins ( ) and UP/FB resins ( ).
Polymers 07 00298 g008

Acknowledgments

We thank the UK Engineering and Physical Sciences Research Council (EPSRC) for their financial support of this work (Grant No. EP/H020675/1), Scott-Bader and TransFurans Chemicals for the provision of materials, and Dean Bugg and Hans Hoydonckx of the aforementioned companies for technical advice.

Author Contributions

Kawser Parveen Chowdhury performed the experimental work, Baljinder Kandola directed and supervised the research, and John Ebdon analyzed and interpreted much of the data.

Conflicts of Interest

The authors declare no conflict of interest.

References

  1. Kandola, B.K.; Kandare, E. Composites having improved fire resistance. In Advances in Fire Retardant Materials; Horrocks, A.R., Price, D., Eds.; Woodhead Publishing: Cambridge, UK, 2008; Chapter 5; pp. 398–442. [Google Scholar]
  2. Feldman, D. Composites, thermosetting polymers. In Polymeric Materials Encyclopedia; Salamone, J.C., Ed.; CRC Press: Boca Raton, FL, USA, 1996; pp. 277–278. [Google Scholar]
  3. Irvine, D.J.; McCluskey, J.A.; Robinson, I.M. Fire hazards and some common polymers. Polym. Deg. Stab. 2000, 67, 383–396. [Google Scholar] [CrossRef]
  4. Kandola, B.K.; Krishnan, L.; Deli, D.; Ebdon, J.R. Blends of unsaturated polyester and phenolic resins for application as fire-resistant matrices in fibre-reinforced composites. Part 2: Effects of resin structure, compatibility and composition on fire performance. Polym. Degard. Stab. 2014, 2014. [Google Scholar] [CrossRef]
  5. Zhang, C.; Huang, J.Y.; Liu, S.M.; Zhao, J.Q. The synthesis and properties of a reactive flame-retardant unsaturated polyester resin from a phosphorus-containing diacid. Polym. Adv. Technol. 2011, 22, 1768–1777. [Google Scholar] [CrossRef]
  6. Froehling, P.E. Crosslinking of unsaturated polyester resins by combinations of vinyl esters and methacrylates. J. Appl. Polym. Sci. 1982, 27, 3577–3584. [Google Scholar] [CrossRef]
  7. La Scala, J.J.; Sands, J.M.; Orlicki, J.A.; Robinette, E.J.; Palmese, G.R. Fatty acid-based monomers as styrene replacements for liquid molding resins. Polymer 2004, 45, 7729–7737. [Google Scholar]
  8. Kandola, B.K.; Deli, D.; Ebdon, J.R. Compatibilised Polymer Blends. UK Patent Application GB1222468.9, 21 August 2013. [Google Scholar]
  9. Van Krevelen, D.W. Some basic aspects of flame resistance of polymeric materials. Polymer 1975, 16, 615–620. [Google Scholar] [CrossRef]
  10. Kandola, B.K.; Horrocks, A.R.; Myler, P.; Blair, D. Thermal characterisation of thermoset matrix resins. In Fire and Polymers; ACS Symposium Series; Nelson, G.L., Wilkie, C.A., Eds.; American Chemical Society: Washington, DC, USA, 2001; pp. 344–360. [Google Scholar]
  11. Deli, D.; Kandola, B.K.; Ebdon, J.R.; Krishnan, L. Blends of unsaturated polyester and phenolic resins for application as fire-resistant matrices in fibre-reinforced composites. Part 1: Identifying compatible, co-curable resins. J. Mater. Sci. 2013, 48, 6929–6942. [Google Scholar] [CrossRef]
  12. Kandola, B.K.; Krishnan, L. Fire performance evaluation of different resins for potential application in fire resistant structural marine composites. In Proceedings of the 11th International Symposium on Fire Safety Science (IAFSS), Christchurch, New Zealand, 10–14 February 2014.
  13. Kandola, B.K.; Krishnan, L.; Deli, D.; Ebdon, J.R. Blends of unsaturated polyester and phenolic resins for application as fire-resistant matrices in fibre-reinforced composites: Effects of added flame retardants. Polym. Degard. Stab. 2014, 106, 129–137. [Google Scholar] [CrossRef]
  14. Rivero, G.; Pettarin, V.; Vázquez, A.; Manfredi, L.B. Curing kinetics of a furan resin and its nanocomposites. Thermochim. Acta 2011, 516, 79–87. [Google Scholar] [CrossRef]
  15. De Vergara, U.L.; Sarrionandia, M.; Gondra, K.; Aurrekoetxea, J. Impact behaviour of basalt fibre reinforced furan composites cured under microwave and thermal conditions. Compos. Part B Eng. 2014, 66, 156–161. [Google Scholar] [CrossRef]
  16. Guigo, N.; Mija, A.; Vincent, L.; Sbirrazzuoli, N. Eco-friendly composite resins based on renewable biomass resources: Polyfurfuryl alcohol/lignin thermosets. Eur. Polym. J. 2010, 46, 1016–1023. [Google Scholar] [CrossRef]
  17. Zeitsch, K.J. The Chemistry and Technology of Furfural and Its Many By-Products; Elsevier: Amsterdam, The Netherlands, 2000. [Google Scholar]
  18. Thomas, C.R. Essentials of Carbon-Carbon Composites; Royal Society of Chemistry: Cambridge, UK, 1993. [Google Scholar]
  19. Katsoulis, C.; Kandare, E.; Kandola, B.K. The combined effect of epoxy nanocomposites and phosphorus flame retardant additives on thermal and fire reaction properties of fiber-reinforced composites. J. Fire Sci. 2011, 29, 361–383. [Google Scholar] [CrossRef]
  20. Feldman, D.; Barbalata, A. Synthetic Polymers: Technology, Properties, Applications; Chapman and Hall: London, UK, 1996; pp. 202–211. [Google Scholar]
  21. Birley, A.W.; Dawkins, J.V.; Kyriacos, D.; Bunn, A. Unsaturated polyesters based on terephthalic acid. 4. Sequence distribution of crosslinks in styrene cured resins. Polymer 1981, 22, 812–817. [Google Scholar] [CrossRef]
  22. Dunlop, A.P.; Peters, F.N. The Furans; Reinhold Publishing Co.: New York, NY, USA, 1953. [Google Scholar]
  23. Choura, M.; Belgacem, N.M.; Gandini, A. Acid-catalyzed polycondensation of furfuryl alcohol:  Mechanisms of chromophore formation and cross-linking. Macromolecules 1996, 29, 3839–3850. [Google Scholar] [CrossRef]
  24. Chuang, I.S.; Maciel, G.E.; Meyers, G.E. Carbon-13 NMR study of curing in furfuryl alcohol resins. Macromolecules 1984, 17, 1087–1090. [Google Scholar] [CrossRef]
  25. Principe, M.; Ortiz, P.; Martinez, R. An NMR study of poly(furfuryl alcohol) prepared with p-toluenesulphonic acid. Polym. Int. 1999, 48, 637–641. [Google Scholar] [CrossRef]
  26. Gonzalez, R.; Figueroa, J.M.; Gonzalez, H. Furfuryl alcohol polymerisation by iodine in methylene chloride. Eur. Polym. J. 2002, 38, 287–297. [Google Scholar] [CrossRef]

Share and Cite

MDPI and ACS Style

Kandola, B.K.; Ebdon, J.R.; Chowdhury, K.P. Flame Retardance and Physical Properties of Novel Cured Blends of Unsaturated Polyester and Furan Resins. Polymers 2015, 7, 298-315. https://doi.org/10.3390/polym7020298

AMA Style

Kandola BK, Ebdon JR, Chowdhury KP. Flame Retardance and Physical Properties of Novel Cured Blends of Unsaturated Polyester and Furan Resins. Polymers. 2015; 7(2):298-315. https://doi.org/10.3390/polym7020298

Chicago/Turabian Style

Kandola, Baljinder Kaur, John Russell Ebdon, and Kawser Parveen Chowdhury. 2015. "Flame Retardance and Physical Properties of Novel Cured Blends of Unsaturated Polyester and Furan Resins" Polymers 7, no. 2: 298-315. https://doi.org/10.3390/polym7020298

APA Style

Kandola, B. K., Ebdon, J. R., & Chowdhury, K. P. (2015). Flame Retardance and Physical Properties of Novel Cured Blends of Unsaturated Polyester and Furan Resins. Polymers, 7(2), 298-315. https://doi.org/10.3390/polym7020298

Article Metrics

Back to TopTop