Next Article in Journal
The Use of Natural Polymers in Tissue Engineering: A Focus on Electrospun Extracellular Matrix Analogues
Next Article in Special Issue
Preparation and Characterization of Insoluble Silk Fibroin/Chitosan Blend Films
Previous Article in Journal
Enhanced Photophysical Properties of Nanopatterned Titania Nanodots/Nanowires upon Hybridization with Silica via Block Copolymer Templated Sol-Gel Process
 
 
Font Type:
Arial Georgia Verdana
Font Size:
Aa Aa Aa
Line Spacing:
Column Width:
Background:
Article

Periodate Oxidation of Methylcellulose: Characterization and Properties of Oxidized Derivatives

by
Marguerite Rinaudo
Centre de Recherches sur les Macromolecules Végétales (CERMAV-CNRS) affiliated with Joseph Fourier University, BP53, 38041 Grenoble Cedex 9, France
Polymers 2010, 2(4), 505-521; https://doi.org/10.3390/polym2040505
Submission received: 23 August 2010 / Revised: 19 October 2010 / Accepted: 28 October 2010 / Published: 29 October 2010
(This article belongs to the Collection Polysaccharides)

Abstract

:
In this paper, the behavior of oxidized methylcelluloses is compared with that of the initial methylcellulose, an amphiphilic cellulose derivative. Methylcelluloses are important for many applications in the cosmetic and food industries. The mechanism of thermo-gelation of methylcellulose is briefly explained as well as the method of oxidation of polysaccharides. Then, our experiments involve the preparation of oxidized methylcelluloses: three degrees of oxidation are prepared and the new polymers are characterized by NMR, IR, SEC and rheology. Oxidation with periodate theoretically allows introduction of two aldehydic groups on C2–C3 glycol positions of anhydroglucose units. This reaction not only enhances the flexibility of the cellulosic backbone, but also causes a decrease in the molecular weight. In particular, the rheological behavior of methylcellulose and oxidized methylcellulose as a function of temperature is examined. The oxidized methylcelluloses prepared, being rich in aldehyde functions, become interesting intermediaries to prepare new cellulose derivatives. In this paper, three examples of reductive amination based on the reaction of modified methylcelluloses and −NH2 groups of different molecules are described: β-alanine produces a polyelectrolyte; chitosan and hyaluronan-ADH (derivative obtained with adipic dihydrazide allowing introduction of −NH2 functions on HA backbone) are crosslinked and give new biocompatible hydrogels.

Graphical Abstract

1. Introduction

Methylcelluloses are important cellulose ether derivatives which become water soluble in an intermediate range of substitution degree DS (with 1.4 < DS < 2.5) with an amphiphilic character and associative properties. The limits of water solubility depend on the distribution of methyl substituents along the cellulosic backbone on C-2, C-3 and C-6 positions [1]. Water soluble commercial samples are block-wise derivatives with an average DS in the range of 1.7 with highly methylated zones corresponding to the reaction of amorphous regions of cellulose in the heterogeneous conditions adopted by industry for methylation. The original behavior of such polymers is that a sol-gel transition is obtained when temperature increases (over around 60 °C) in relation to their microstructure [2], consisting of heterogeneous chains made of highly substituted zones which are hydrophobic, and less substituted zones rich in −OH groups yet still hydrophilic [1]. Methylcelluloses are mainly used as a food additive (under reference E461) or in cosmetics for their thickening and emulsifier properties. Nevertheless, in spite of their important applications, their mechanism of gelation was discussed for a long time in the literature [3,4] and our group participated in this debate [1,2,5,6,7]. For this purpose, methylcelluloses were prepared under homogeneous conditions (in dimethylacetamide DMAc/6% LiCl as solvent) with different degrees of methylation (with iodomethane) and compared to commercial samples having nearly the same average degree of methylation (DS) [1,8]. Their behavior is completely different when temperature varies, indicating the strong influence of methyl group distribution along the cellulosic backbone. This work allows us to draw the following conclusions: aqueous commercial methylcellulose solution presents an LCST-type phase separation and the phase diagram demonstrated a critical point at a temperature Tc = 29 ± 2 °C and a polymer concentration Cc = 45 ± 5 g/L with a Methocel A4C (DS = 1.7 and Mv = 149,000) [2] (Figure 1).
Figure 1. Phase diagram of an aqueous A4C methylcellulose solution (DS = 1.7 from Dow Chemical) including the cloud point curve (□) and the sol-gel line (■) determined from oscillatory measurements [2]. Reproduced from Polymer 1998, 39, 6251-6259. Copyright 2010, Elsevier.
Figure 1. Phase diagram of an aqueous A4C methylcellulose solution (DS = 1.7 from Dow Chemical) including the cloud point curve (□) and the sol-gel line (■) determined from oscillatory measurements [2]. Reproduced from Polymer 1998, 39, 6251-6259. Copyright 2010, Elsevier.
Polymers 02 00505 g001
At low temperature (T < 20 °C), these methylcelluloses are water soluble in a large range of concentration; then, when temperature increases (over 35 °C), a clear gel is formed with an hysteresis in the storage and loss moduli (G’ and G’’) on cooling down.
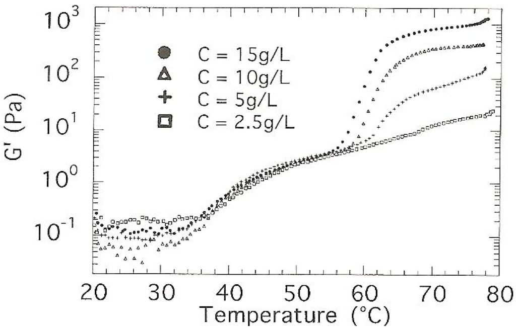
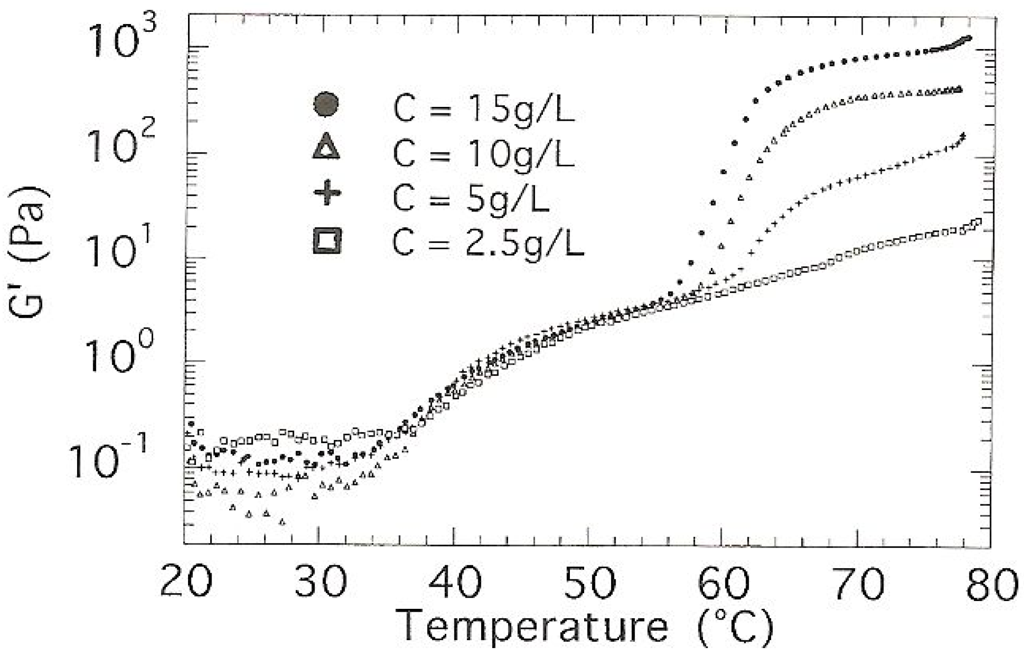
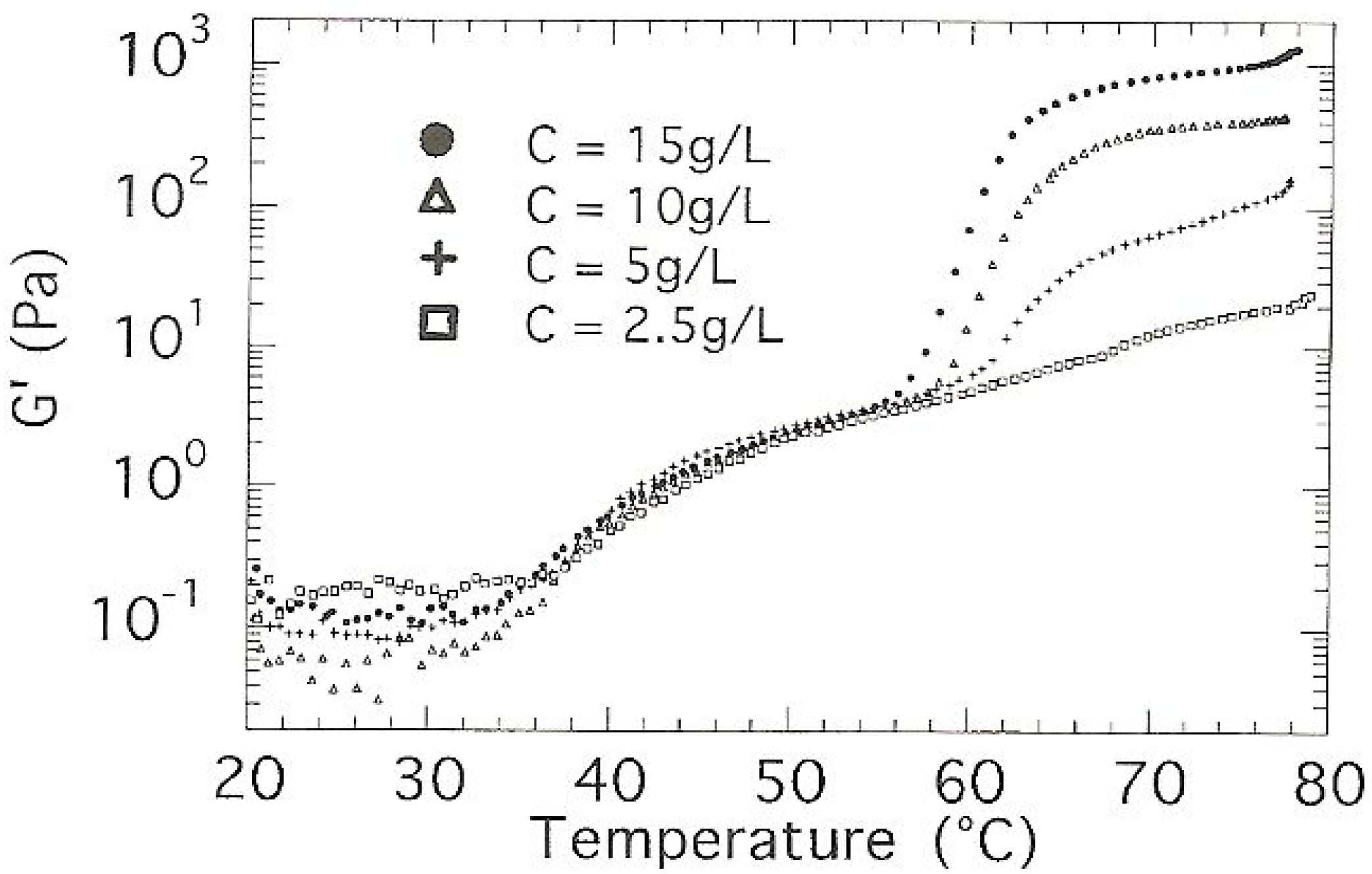
This first step is attributed to the highly methylated zones forming the junctions of the 3D structure in the polymeric system. It is perfectly absent for homogeneously modified cellulose in the same range of substitution. Over 60 °C, a turbid gel forms associated with a large increase of the storage modulus G’; this second step depends on the polymer concentration and on the external salt composition (see Figure 2) [2,8].
Figure 2. Influence of polymer concentration and temperature on the elastic modulus G’ (Pa at 1 Hz) of A4C solutions in water. Rate of temperature variation is 0.5 °/mn [2]. Reproduced from Polymer 1998, 39, 6251-6259. Copyright 2010, Elsevier.
Figure 2. Influence of polymer concentration and temperature on the elastic modulus G’ (Pa at 1 Hz) of A4C solutions in water. Rate of temperature variation is 0.5 °/mn [2]. Reproduced from Polymer 1998, 39, 6251-6259. Copyright 2010, Elsevier.
Polymers 02 00505 g002
It corresponds to the phase separation leading to dense aggregates and gives a large hysteresis on cooling. On the contrary, with homogeneous methylcelluloses at the same average DS, increase in G’ occurs progressively at higher temperature; only at DS = 2.2, a two steps mechanism is observed due to the presence of a large amount of trimethylated units (43% of the glucose units are trimethylated) [8]. It is necessary to specify that gelation is a time dependent and reversible phenomena, the redissolution being less favorable than gelation from an energetical point of view [2].
In addition to the amphiphilic and gelling properties, oxidation of methylcellulose may be an interesting reaction to introduce aldehydic groups along the cellulosic chain to perform new reactions such as grafting of different molecules having one primary amine [9,10] or crosslinking with different polyamines such as diamines or chitosan [11].
The objective of this paper is to prepare oxidized methylcelluloses with different degrees of oxidation, to characterize the new polymers obtained and to perform different reactions with amines using the well known reaction of reductive amination [12]. Especially, we intend to point out the influence of oxidation of methylcellulose on reactivity and physical properties of these oxidized methylcelluloses in relation to possible developments.

2. Experimental Section

Chitosan Kitomer provided by Marinard (Canada) was characterized by a degree of acetylation DA~0.2 and Mw = 500,000. Methylcellulose Methocel A15 Premium LV is produced by Dow Chemical (Mv~31500; DS~1.8); this sample was used for the study of oxidation by metaperiodate. HA-ADH was a gift from ARD company (Pomacle, France) and was prepared following a previously described method [13,14].The synthesis was performed in presence of EDC at ambient temperature and pH = 4.75; after reaction, the product is purified by diafiltration in dilute solution (1 g/L) and used directly; the initial weight-average molecular weight of HA is 300,000 g/mol.
Sodium metaperiodate, 3-aminopropionic acid (β-alanine; NH2-(CH2)2-COOH) and sodium cyanoborohydride (NaBH3CN) were obtained from Sigma-Aldrich.
Oxidation was performed following the conditions adopted previously for alginates [15]: 2 g of polysaccharide were dissolved in 150 mL water, in a dark bottle; then, 50 mL of aqueous solution containing 264 mg sodium periodate was added under stirring (molar ratio [glucose units]/[periodate]~10); assuming that one mole of periodate oxidizes one glucose unit, these conditions correspond to samples at 10% oxidation—or 10% of modified glucose units. The same reaction was performed with molar ratio equal to 10, 4 and 2 which corresponded to the predicted degrees of oxidation of 10, 25 and 50% (a maximum of one sugar unit was oxidized over two glucose units); the samples were also named ME 10, ME 25 and ME 50 respectively. This enabled studying the role of the degree of oxidation on the physical properties of the derivatives prepared. After 24 hours in dark at ambient temperature, the solutions of oxidized methylcelluloses (Me-ox) were dialyzed against pure distilled water, concentrated at 35 °C and freeze dried before characterization. Initial commercial methylcellulose was also purified in the same conditions. The degree of oxidation was controlled by infrared and NMR as discussed separately [11] and also determined quantitatively using the colorimetric technique with ferricyanide (yield in reducing groups using maltose to calibrate the response at 420 nm) [16].
Elemental analysis was used to determine the yield in nitrogen in the different derivatives prepared. Such analyses are realized at “Service Central d’Analyses” (CNRS, Solaize-France).
For reaction with different amines, a given amount of reactant was added into a 20 g/L oxidized methylcellulose aqueous solution (Me-ox); then, an excess of reducing agent (NaBH3CN at a molar concentration five times the –C=O content) was added to reduce the intermediate imine as shown previously to obtain a stable linkage X–NH–CH2–R (R–CH=O was used for the oxidized polysaccharide chain) [12]. After addition of the reducing agent (here NaBH3CN), pH was stabilized at a value around 6 and left under stirring during 24 hours before isolation and purification. To prepare 3D- networks, oxidized methylcelluloses were added in their solid form in a solution of chitosan or hyaluronan-ADH [11,13,14]. After complete dissolution, the reductive agent was added and the method used was the same as described for simple amine.
1H NMR experiments are performed using a Bruker DRX400 spectrometer operating at 400 MHz. 1D NMR spectra are collected at 30 °C using 32 K data points and 32 scans. Deuterium oxide (99.90% D) was provided by Euriso-top (France).
Molecular weight of methylcellulose and oxidized methylcelluloses was obtained by size exclusion chromatography (SEC) using a Waters Alliance GPCV2000 (U.S.) equipped with three detectors on line: a differential refractometer, a viscometric detector, and a multi angle laser light scattering (MALLS) detector from Wyatt (U.S.). The concentration of the sample injected was 5 g/L with an injection volume of 100 μL using two columns in series (Shodex OH-pack 802 and 803); before injection, the samples were filtrated on a 0.2 μm pore membrane (“Sartorius AG” cellulose acetate filter) in order to retain large aggregates. The eluent used was a 0.1 M NaNO3 aqueous solution, at 30 °C as elution temperature and a flow rate of 0.5 mL/min; the molecular weight distribution and weight-average molecular weight (Mw) were determined using refractive index increment dn/dc = 0.142.
Degree of swelling on chitosan-oxidized methylcellulose gels was calculated in different conditions from the ratio of weight of solvent engaged in the swollen material divided by the dry weight of the gel obtained after weight stabilization at 70 °C.
The rheological behavior of methylcelluloses and their derivatives in solution was determined using an AR 2000 rheometer from “TA Instruments” (U.S.) at 25 °C using a cone and plate geometry (4 cm diameter plate with 3.59° cone). Variable temperature runs, in a temperature range from 15 to 70 °C, were performed when needed at a temperature variation rate of 3°C/min; temperature was controlled with the use of a Peltier plane. Dynamic experiments were performed in the linear viscoelastic region where G’ and G’’ are independent on the frequency applied. Dynamic moduli (storage modulus G’ and loss modulus G” in Pa), as well as complex viscosity |η*|, were determined as a function of the angular frequency (ω) expressed in Hz. Steady state viscosity η (in Pa.s) was determined as a function of the shear rate γ (in s−1). Methylcellulose, oxidized methylcelluloses and loosely crosslinked HA were solubilized in water for rheology.

3. Results and Discussion

3.1. Introduction to Polysaccharide Oxidation

Oxidation of cellulose by sodium metaperiodate has been extensively investigated and was developed on many other polysaccharides; it produces a 2,3-dialdehyde along the chain allowing further chemical modification [17,18,19,20,21]. Other polysaccharides have been oxidized with metaperiodate, from which: (i) methylcellulose and hydroxyethyl cellulose [22,23,24,25] were produced for their hemostatic properties; (ii) guar and hydroxypropyl guar were oxidized to access the degree of substitution at secondary hydroxyls of hydroxypropyl guar [26]; (iii) alginates were oxidized at different rates and it was shown that the flexibility of the polysaccharide decreases in direct relationship of the opening of uronic acid [15,27,28]; (iv) dextran and scleroglucan were also oxidized with periodate [29,30,31]. It has been shown that only the unsubstituted glycol groups react with periodate in the same conditions, but other papers mentioned overoxidation of 2,3, 2,6 and 3,6-dimethylglucoses [22,32]. In all cases, random chain scission is demonstrated [15,22].
The presence of aldehydic groups on polysaccharides (cellulose and its ethers) rich in hydroxyl groups induces crosslinkage and formation of hydrogels by reaction of −OH groups existing on the same chain or on different chains [33,34].
It is also interesting to mention that other specific techniques may be used to oxidize polysaccharides such as TEMPO (2,2,6,6-tetramethyl-1-piperidinyloxy radical) [35,36] causing oxidation on the C6 position (up to the carboxylic function) or enzymes such as galactosidase used to oxidize galactomannan on the galactose unit [37].
Considering the interest in oxidation of polysaccharides, it can be considered as an intermediate form for specific chemical substitution on C2 and/or C3 positions of sugar units. Few examples are given in literature: (i) the aldehyde groups can react to label the polysaccharide [38,39]; (ii) aldehyde groups react with nucleophilic reactant such as hydroxylamine [19]; these authors showed that the two aldehydic groups react only with hydroxylamine; with other nucleophilic reagents, only half is modified; (iii) recently, oxidized methylcelluloses were used to crosslink chitosan [11], oxidized scleroglucan was crosslinked in presence of hexamethylenediamine [31] and oxidized dextran was crosslinked with adipic acid dihydrazide (30).
To conclude, oxidation of polysaccharides allows considerably modifying the physical behavior of the initial polymers and particularly their stiffness. The introduction of aldehyde groups also allows their derivatization and extends the possible applications in a controlled way.

3.2. Characterization and Properties of Oxidized Methylcelluloses

3.2.1. Characterization

First of all, the molecular weight distributions of initial methylcellulose and derivatives were determined by SEC and are shown in Figure 3.
Figure 3. Differential molecular weight distributions for methylcellulose and oxidized methylcelluloses (ME 10, ME 25, ME 50) obtained by steric exclusion chromatography (SEC).
Figure 3. Differential molecular weight distributions for methylcellulose and oxidized methylcelluloses (ME 10, ME 25, ME 50) obtained by steric exclusion chromatography (SEC).
Polymers 02 00505 g003
Depolymerization of methylcellulose during oxidation is clear; at 25 and 50% oxidation, molecular weights are low and in the same range of magnitude. The weight-average molecular weights and the intrinsic viscosity evolution are given in Figure 4. It is clear that the conditions for oxidation produce degradation of methylcellulose; similar results were obtained previously for the oxidation of alginates [15]. In addition, the stiffness of the molecule decreased due to the opening of anhydroglucose units; nevertheless, in our experimental conditions, the molecular weights are too low to permit a serious analysis of the persistence length as we did previously on alginates.
The second characteristic of these modified polysaccharides is the degree of oxidation. As discussed before, it is difficult to determine the exact number of reactive aldehydic groups due to secondary reactions in which aldehydes are engaged and first of all, various hydrated structures either intra- or intermolecularly [19,20,21]; nevertheless, using IRTF, it is shown that content in –C=O from aldehydic groups at 1,735 cm−1 increases linearly up to 25% oxidation and then levels slightly off due to the presence of methylated and unreactive –OH in the C-2 and C-3 positions [11]. It was previously determined that 40% of the glucose units are dimethylated in C2 and C3 positions in the initial methylcellulose used [8].
Figure 4. Influence of the degree of oxidation on the weight-average molecular weight (Mw) and on the intrinsic viscosity ([η] in mL/g) obtained by SEC with a multidetection.
Figure 4. Influence of the degree of oxidation on the weight-average molecular weight (Mw) and on the intrinsic viscosity ([η] in mL/g) obtained by SEC with a multidetection.
Polymers 02 00505 g004
The direct titration of aldehyde groups [11] follows the IRTF results and gives, respectively, 4.5, 13.4 and 19.4% of glucose units oxidized (assuming the presence of two C=O per oxidized sugar) [20]. This yield must correspond to the maximum of possible reaction between amine groups and –C=O. These characteristics of oxidized methylcelluloses were discussed in a previous paper [11].
1H NMR also allowed us to follow the reaction of oxidation as previously shown, but on aging in the dry state, a modification of the spectrum was observed: in particular, the thin signal at 3.95 ppm (attributed to H1 of oxidized units with opening of the cycle) disappeared, as did the signal at 3.4 ppm (attributed to the proton of methyl groups on C6 of the same type of units) and the spectrum went back to that of the initial methylcellulose (Figure 5).
The small signals at 8.47 and 9.32 ppm [see Figure 5(b)] were attributed to the proton of aldehydic sites [30]. At the same time, due to aging, partial insolubility occurs; solubility in water is recovered (at least partially) in presence of alkaline medium. In these conditions, the 1H NMR spectrum almost recovered its initial state [Figure 5(b,d)]. This phenomenon, observed at a certain period of time (here around six months), is important because it may reduce the reactivity of oxidized methylcellulose (especially in acidic conditions); the decrease in chain mobility and cross-linkage between chains have been described in the literature [33,34]. The samples dissolved in aqueous solution at basic pH but an increase of the apparent molecular weight and of the intrinsic viscosity were observed; both evolutions indicate some residual cross-linkage in these samples after aging. No such variation was observed on initial methylcellulose.
Figure 5. Influence of aging in solid state on the 1H NMR spectrum of oxidized methylcellulose. (a) initial methylcellulose; (b) direct spectrum of 25% oxidized methylcellulose; (c) 25% oxidized methylcellulose after aging; (d) the same sample dissolved in presence of NaOD. Solvent: D2O; temperature 30 °C. Two arrows indicate the specific signals of oxidized methylcellulose (see b and d).
Figure 5. Influence of aging in solid state on the 1H NMR spectrum of oxidized methylcellulose. (a) initial methylcellulose; (b) direct spectrum of 25% oxidized methylcellulose; (c) 25% oxidized methylcellulose after aging; (d) the same sample dissolved in presence of NaOD. Solvent: D2O; temperature 30 °C. Two arrows indicate the specific signals of oxidized methylcellulose (see b and d).
Polymers 02 00505 g005
As a conclusion, it is clear that a large depolymerization exists during metaperiodate oxidation as was obtained in our laboratory with alginates [15]; in addition, secondary condensation reactions occur during aging of the oxidized methylcellulose under solid state reducing water solubility and aldehyde reactivity. The conditions of storage of the samples seem to be important when they need to be used for further reactions.

3.2.2. Rheological Behavior of Methylcellulose.

Methylcellulose behavior in aqueous solution is characteristic of amphiphilic systems; they are recognized as LCST polymers with a critical temperature Tc~29 ± 2 °C [2]. They are soluble at low temperature (below 25 °C) but give a gel at higher temperature. For the specific methylcellulose sample used in this work and the experimental conditions adopted, the rheology is described in Figure 6; these data allow us to demonstrate the influence of oxidation on the rheological behavior of modified methylcelluloses.
At 20 °C, G’ is lower than G’’ in a large range of frequencies and the crossover point where G’ = G’’ is around 10 Hz; in this regime, the complex viscosity was constant and equal to 0.046 Pa.s. At 70 °C, a gel-like behavior was obtained with G’ > G’’ in the whole frequency range covered. In addition, G’ was very high (G’ = 1,450 Pa) as was the ratio G’/G’’ = ~33.
Figure 6. Dynamic moduli G’ (storage modulus, filled symbols) and G’’ (loss modulus, open symbols) (expressed in Pa) as a function of the frequency at 20 °C (solution:▼ and ▽) and 70 °C (turbid gel: ● and ○). Concentration: 30 g/L in water.
Figure 6. Dynamic moduli G’ (storage modulus, filled symbols) and G’’ (loss modulus, open symbols) (expressed in Pa) as a function of the frequency at 20 °C (solution:▼ and ▽) and 70 °C (turbid gel: ● and ○). Concentration: 30 g/L in water.
Polymers 02 00505 g006
At high temperature, the complex viscosity was strongly non-Newtonian with a slope −0.986; as an example, the complex viscosity equals 227.8 Pa.s at 1 Hz. The change in behavior for a temperature cycle from 20 °C up to 70 °C and return is given in Figure 7. When temperature increased, a cross point was obtained where G’ = G’’ (which may be considered in a first approach as a gel point) at a critical temperature Tg~29 °C, and G’ became larger than G’’ when entering in the domain of clear gel as introduced before [2]. On temperature decrease, a large hysteresis occurred and when the temperature reached 28 °C, G’ again became lower than G’’. Then, even for a relatively low molecular weight, on increasing the temperature, the two steps mechanism was observed as described in our previous work: A clear gel formed over 30 °C and became stable between 40 and 55 °C; over 55 °C, a sharp increase in G’ revealed the phase transition to a turbid gel.
Figure 7. G’ and G’’ at 1 Hz, as a function of the temperature. G’ (●), G’’ (○) on temperature increase from 20 to 70 °C; G’ (▼), G’’ (▽) on temperature decrease from 70 to 25 °C. Concentration of initial methylcellulose: 30 g/L in water. Temperature rate is 3 °/mn.
Figure 7. G’ and G’’ at 1 Hz, as a function of the temperature. G’ (●), G’’ (○) on temperature increase from 20 to 70 °C; G’ (▼), G’’ (▽) on temperature decrease from 70 to 25 °C. Concentration of initial methylcellulose: 30 g/L in water. Temperature rate is 3 °/mn.
Polymers 02 00505 g007

3.2.3. Rheological Behavior of Oxidized Methylcelluloses

All the experiments were performed at a polymer concentration of 30 g/L in water. The rate of temperature variation imposed remains 3 °/mn, which is rapid compared with some of our previous experiments (see Figure 2) and probably the values are not taken at equilibrium. Nevertheless our objective was only to compare the oxidized samples with the initial methylcellulose. At 15 °C, all samples had G’’ > G’ in the whole frequency range (sol behaviour) and the complex viscosity was Newtonian (Table 1).
Table 1. Dynamic rheology on 30 g/L methylcellulose and derivative solutions in water. G’ and G’’ moduli (expressed in Pa) are determined at 1 Hz.
Table 1. Dynamic rheology on 30 g/L methylcellulose and derivative solutions in water. G’ and G’’ moduli (expressed in Pa) are determined at 1 Hz.
G’ at 15 °CG’’ at 15 °CG’ at 70 °CG’’ at 70 °CG’/G’’ 70 °C
Me cell Initial0.0500.29015004732
ME 100.0210.11411510.511
ME 250.0320.12625*2.6*10
ME 500.0280.10024*2.8*8.5
* apparent values due to heterogeneity of the system.
At 70 °C, for all the samples, G’ > G’’ and the storage and loss moduli remained independent of the frequency (see Figure 8). From the values in Table 1, it is shown that a transition in the oxidized methylcellulose behavior occurred over 10% oxidation; again, the samples ME 25 and ME 50 were very similar as obtained for molecular weight distribution; in fact, at 70 °C, they formed macrogels at the polymer concentration used (and not a homogeneous continuous gel) in relation to their low molecular weights.
Figure 8. Dynamic rheology at 70 °C for initial methylcellulose and the oxidized samples at 30 g/L in water. ME 10 (10% ox); ME 25 (25% ox); ME 50 (50% ox). G’ (filled symbols) and G’’ (open symbols) expressed in Pa.
Figure 8. Dynamic rheology at 70 °C for initial methylcellulose and the oxidized samples at 30 g/L in water. ME 10 (10% ox); ME 25 (25% ox); ME 50 (50% ox). G’ (filled symbols) and G’’ (open symbols) expressed in Pa.
Polymers 02 00505 g008
Considering a temperature cycle, it is clear that the behavior of ME 10 looks like that of the initial methylcellulose even if the moduli are lower at a given temperature (see Figure 9); but for a higher degree of oxidation, the second step in gelation is no longer present and the system looks heterogeneous as previously discussed.
Figure 9. Influence of temperature on the storage modulus G’ (Pa) of methylcellulose and oxidized derivatives at 30 g/L in water. Filled symbols for increase of temperature; open symbols for decrease of temperature.
Figure 9. Influence of temperature on the storage modulus G’ (Pa) of methylcellulose and oxidized derivatives at 30 g/L in water. Filled symbols for increase of temperature; open symbols for decrease of temperature.
Polymers 02 00505 g009
Additionally, G’ around 50 °C (corresponding to the clear gel) was nearly independent of the degree of oxidation, which seems to indicate that the highly methylated zones were preserved during oxidation. Gelation was obtained even if the molecular weight was much reduced during oxidation; this result concurs with data obtained previously indicating that, for molecular weight variation from Mw = 150,000 to 410,000, G’ and G’’ as a function of temperature were nearly superposed [8].
This means that Mw did not have an essential role in the thermal rheological behavior which is mainly related to the chemical structure and methyl groups distribution along the cellulosic backbone. For all the samples, the G’ modulus was higher after a thermal cycle due to the kinetic process of dissociation mentioned previously.

3.3. Chemical Modification of Oxidized Methylcellulose

The first modification performed was to introduce ionic groups on oxidized methylcellulose. For this purpose, β-alanine was reacted with the different oxidized methylcelluloses in the conditions of reductive amination described in the experimental section. After the reaction, the ionic derivatives were isolated by ultrafiltration on a cutoff membrane of 1,000 (to eliminate the excess of unreacted alanine and added salt) and characterized by SEC, NMR and elemental analysis. From elemental analysis, the nitrogen content obtained for the reaction involving ME 50 was 1.14% (w/w) suggesting that 5.7% of the monomeric units were substituted on the C2 or C3 position. From 1H NMR analysis (Figure 10), the signal at 2.6 ppm was attributed to the proton of one −CH2– from β-alanine; compared with the signals between 3 and 4 ppm, corresponding to the methylcellulose protons (at exclusion of H-1), it comes 6.6 % of the methylated glucose units being modified.
Figure 10. 1H NMR spectrum of β-alanine grafted on ME 50 oxidized methylcellulose in D2O solution at 30 °C.
Figure 10. 1H NMR spectrum of β-alanine grafted on ME 50 oxidized methylcellulose in D2O solution at 30 °C.
Polymers 02 00505 g010
The agreement seems good but indicated a low reactivity of the aldehydic groups due to the secondary reaction mentioned previously. This result indicates the need to better control the conditions of reduction and possibly also the pH of the reaction. The solubility of this new derivative is good and SEC was successfully performed. The molecular weight of this derivative was nearly the same as that of the initial oxidized methylcellulose.

3.4. Crosslinking of Chitosan and Hyaluronan with Oxidized Methylcellulose

It was recently proposed to crosslink polysaccharides having –NH2 functions along the chain with polyaldehydic reactant; for that purpose, reductive amination was realized on chitosan reacting with different neutral oxidized polysaccharides (maltodextrins, galactomannan, and methylcellulose) [11].
We want to add complementary data upon application of this reaction on chitosan and on hyaluronan-ADH; this ADH derivative permits control of the −NH2 yield along the HA backbone; usually it is around 8% of groups per disaccharide repeat unit in our work [13,14].
The first reaction was performed with chitosan in the presence of methylcellulose with different degrees of oxidation. The characterization of the hydrogels obtained is given in Table 2.
From elemental analysis, it is shown that, in the conditions adopted, the gel contained around 65% chitosan in the different cases, with a very good reaction yield (more than 90% on the basis of total amount of polysaccharide introduced). The degree of swelling of the gels before any drying decreased when the degree of oxidation increased corresponding to a larger degree of crosslinkage. The gels are also rich in methylcellulose (around 35%w/w) giving some amphiphilic character and compatibility [40]. In addition, a syneresis occurs directly during the gel preparation indicating a significant degree of crosslinkage.
Another series of reactions was performed in the presence of a larger amount of oxidized methylcellulose (ME 25); a larger degree of crosslinkage was obtained with a lower degree of swelling in water (compare Table 2 and Table 3). Then, the degree of swelling was determined at different pH but in the presence of external salt: In acidic pH, the protonation of chitosan increased but the external salt screened the electrostatic repulsion between positively charged chains.
The results indicate a low sensitivity on charge density of the network in relation, probably, with the high degree of cross-linkage. The predominant effect of the salt concentration on screening is shown in connection with the larger swelling degree in water than in presence of salt.
Table 2. Characterization of chitosan crosslinked with oxidized methylcelluloses *.
Table 2. Characterization of chitosan crosslinked with oxidized methylcelluloses *.
Degree of oxidation% nitrogenInitial degree of swelling in water (g/g)% w/w chitosan in the gel **
ME 105.0920367
ME 255.4414665
ME 504.8810964
Initial chitosan7.56---
*Conditions: 10 mL chitosan solution (10 g/L) + 23 mg of oxidized methylcellulose; **Yield of reaction ~90% on the basis of total polysaccharide engaged.
Table 3. Swelling of chitosan-methylcellulose co-gel * at different pH.
Table 3. Swelling of chitosan-methylcellulose co-gel * at different pH.
MediumDegree of swelling (g/g)**
water35.5
PBS buffer pH = 7.430.2
Citrate-HCl buffer pH = 425.4
0.15M NaCl25.7
* Conditions: 10 mL chitosan solution at 12.5 g/L + 114 mg ME 25; final pH = 6.4; **without drying.
A similar type of experiment was developed on hyaluronan-ADH reacting with ME50; the initial solution was used as received at a low concentration (1 g/L) (26.9 mg of ME 50 added into 11 mL of solution). An example of experimental results is given in Figure 11, showing the viscosity as a function of the shear rate: at 1 s−1, the viscosity of the initial HA-ADH solution was 0.036 Pa.s but after reaction it became strongly non-Newtonian and equaled 37.3 Pa.s. In dynamic experiments, a loose gel behavior was demonstrated with a ratio G’/G’’~26 at 1 Hz. Nevertheless, HA was very loosely crosslinked, due to the low HA-ADH concentration used, and it was not possible to consider the gels in the dried state. More experiments are in progress to achieve stronger gels for new applications.
Figure 11. Influence of the crosslinkage on the viscosity measured as a function of the shear rate on HA –ME 50 copolymer. Solvent: water; temperature: 25 °C.
Figure 11. Influence of the crosslinkage on the viscosity measured as a function of the shear rate on HA –ME 50 copolymer. Solvent: water; temperature: 25 °C.
Polymers 02 00505 g011

4. Conclusions

New oxidized methylcelluloses were prepared and characterized; all the experiments were performed on a low molecular weight initial methylcellulose (Mw~31,500) with the objective to reduce the viscosity of polymer mixtures when needed especially for crosslinking experiments. Different degrees of oxidation were prepared and characterized; it is clear that a large degradation occurs in the experimental conditions adopted especially for a degree of oxidation greater than 10%. Whatever the degree of oxidation, the thermo-sensitive amphiphilic character remained (in relation to the stability of zones rich in highly methylated glucose units). A modification of the oxidized methylcelluloses during aging in the solid state at ambient temperature was demonstrated by 1H NMR, which also modifies the water solubility. This is an important new piece of evidence which may have a role for further reaction. These new polyaldehydic derivatives are able to react by reductive amination in mild conditions (aqueous solution at pH~6) with molecules having −NH2 functions. Few examples are given: (i) the reaction of β-alanine to obtain a negatively charged polyelectrolyte with good solubility; (ii) crosslinkage of polysaccharides rich in −NH2 such as chitosan and hyaluronan-ADH to produce hydrogels.
These new systems open the way to extend application of natural polysaccharides; especially, the biocompatibility and biodegradability of the networks prepared associated with an amphiphilic character can be well adapted for pharmaceutical, biomedical or cosmetic applications.

Acknowledgements

A. Bresin from ARD Cy (Pomacle, France) is acknowledged for the gift of HA and HA-ADH samples. The author thanks I. Jeacomine for technical assistance in NMR experiments

References

  1. Hirrien, M.; Desbrieres, J.; Rinaudo, M. Physical properties of methylcelluloses in relation with the conditions for cellulose modification. Carbohydr. Polym. 1996, 31, 243–252. [Google Scholar]
  2. Hirrien, M.; Chevillard, C.; Desbrieres, J.; Axelos, M.A.; Rinaudo, M. Thermogelation of methylcelluloses: new evidence for understanding the gelation mechanism. Polymer 1998, 39, 6251–6259. [Google Scholar] [CrossRef]
  3. Heymann, E. Sol-gel transformation.I.The inverse sol-gel transformation of methylcellulose in water. Trans. Faraday Soc. 1935, 31, 846–864. [Google Scholar] [CrossRef]
  4. Arisz, P.W.; Kauw, H.J.J.; Boon, J.J. Substitution distribution along the cellulose backbone in O-methylceluloses using GC and FAB-MS for monomer and oligomer analysis. Carbohydr. Res. 1995, 271, 1–14. [Google Scholar] [CrossRef]
  5. Vigouret, M.; Rinaudo, M.; Desbrieres, J. Thermogelation of methylcellulose in aqueous solutions. J. Chim. Phys. 1996, 93, 858–869. [Google Scholar]
  6. Desbrieres, J.; Hirrien, M.; Rinaudo, M. A calorimetric study of methylcellulose gelation. Carbohydr. Polym. 1998, 37, 145–152. [Google Scholar] [CrossRef]
  7. Desbrieres, J.; Hirrien, M.; Rinaudo, M. Relation between the conditions of modification and the properties of cellulose derivatives: thermogelation of methylcellulose. In Cellulose Derivatives: Modification, Characterization, and Nanostructures; Heinze, T., Glasser, W.G., Eds.; ACS Symp. Series 688; American Chemical Society: Washington, DC, USA, 1998; pp. 332–348. [Google Scholar]
  8. Hirrien, M. Comportement des Méthylcelluloses en Relation avec Leur Structure. Ph.D. Thesis, Grenoble University I, Grenoble, France, 1996. [Google Scholar]
  9. Yalpani, M.; Hall, L.D. Some chemical and analytical aspects of polysaccharide modifications. 3. Formation of branched-chain, soluble chitosan derivatives. Macromolecules 1984, 17, 272–281. [Google Scholar]
  10. Hall, L.D.; Holme, K.R. Tailored rheology : chitosan derivatives with branched pendant sugar chain. J. Chem. Soc. Chem. Commun. 1986, 3, 217–218. [Google Scholar] [CrossRef]
  11. Rinaudo, M. New way to crosslink chitosan in aqueous solution. Eur. Polym. J. 2010, 46, 1537–1544. [Google Scholar] [CrossRef]
  12. Hutchins, R.O.; Natale, N.R. Cyanoborohydride. Utility and applications in organic synthesis. A review. Org Prep. Proced. Int. 1979, 11, 201–246. [Google Scholar] [CrossRef]
  13. Creuzet, C.; Kadi, S.; Rinaudo, M.; Auzely Velty, R. New associative systems based on alkylated hyaluronic acid. Synthesis and aqueous solution properties. Polymer 2006, 47, 2706–2713. [Google Scholar] [CrossRef]
  14. Rinaudo, M.; Auzely, R.; Kadi, S.; Bresin, A.; Kubik, E. New Derivatives of Hyaluronic Acid, Their Preparation Process and Their Uses. Patent No. WO2007059890, 2007. [Google Scholar]
  15. Gomez, C.G.; Rinaudo, M.; Villar, M.A. Oxidation of sodium alginate and characterization of the oxidized derivatives. Carbohydr. Polym. 2007, 67, 296–304. [Google Scholar] [CrossRef]
  16. Kidby, D.K.; Davidson, D.J. Convenient ferricyanide estimation of reducing sugars in the nanomole range. Anal. Biochem. 1973, 55, 321–325. [Google Scholar]
  17. Varma, A.J.; Kulkarni, M.P. Oxidation of cellulose under controlled conditions. Polym. Degrad. Stab. 2002, 77, 25–27. [Google Scholar] [CrossRef]
  18. Maekawa, E.; Koshijima, T. Properties of 2,3-dicarboxy cellulose combined with various metallic ions. J. Appl. Polym. Sci. 1984, 29, 2289–2297. [Google Scholar] [CrossRef]
  19. Sarymsakova, A.A.; Nadzhimutdinov, Sh.; Tashpulatov, Yu.T. Chemical transformations in the chains of cellulose dialdehydes and cellulose ethers. Chem. Nat. Compd. 1998, 34, 170–174. [Google Scholar] [CrossRef]
  20. Roberts, H.J. Nondegradative reactions of starch. In Starch: Chemistry and Technology; Whistler, R.L., Paschall, E.F., Eds.; Academic Press: London, UK, 1965; Volume 1, pp. 470–472. [Google Scholar]
  21. Whistler, R.L.; Daniel, J.R. Molecular structure of starch. In Starch: Chemistry and Technology, 2nd ed.; Whistler, R.L., BeMiller, J.N., Paschall, E.F., Eds.; Academic Press: San Diego, CA, USA, 1984; pp. 174–177. [Google Scholar]
  22. Gibbons, G.C. Periodate oxidation of water-soluble methylcellulose and its constituent methylglucoses. J. Textile Inst. Trans. 1956, 47, T511–T529. [Google Scholar] [CrossRef]
  23. Pendharkar, S.; Guo, J.X. Biodegradable Hemostatic Wound Dressings Containing Hemostatic Fabrics and Oxidized Polysaccharides. EP 1481694 A1 20041201, 2004. [Google Scholar]
  24. Pendharkar, S.M.; Wissing, W.K. Wound Dressing Containing Aldehyde-Modified Regenerated Polysaccharide. U.S. Pat. Appl. Publ. US 2004101547 A1 20040527, 2004. [Google Scholar]
  25. Wiseman, D.M.; Saferstein, L.; Wolf, S. Bioabsorbable Medical Devices from Oxidized Polysaccharides. U.S. Pat. Appl. Publ. US 2003073663 A1 20030417, 2003. [Google Scholar]
  26. Ye, Y.Q.; Ding, B.; Wang, K.; He, J.P.; Cui, J.J.; Jiang, B. Determination of the degree of substitution at secondary hydroxyls of hydroxypropyl guar gum by periodate oxidation. Gaodeng Xuexiao Huaxue Xuebao 2009, 30, 835–840. [Google Scholar]
  27. Lee, K.Y.; Bouhadir, K.H. Mooney DJ, Evaluation of chain stiffness of partially oxidized polyguluronate. Biomacromolecules 2002, 3, 1129–1134. [Google Scholar] [CrossRef] [PubMed]
  28. Andresen, I.L.; Painter, T.; Smidsrod, O. Concerning the effect of periodate oxidation upon the intrinsic viscosity of alginate. Carbohydr. Res. 1977, 59, 563–566. [Google Scholar] [CrossRef]
  29. Cohen, J.D.; Chenault, H.K.; Schiffino, R.S. Preparation of Polysaccharide Dialdehydes Having High Purity. PCT Int. Appl. WO 2008133847 A1 20081106, 2008. [Google Scholar]
  30. Maia, J.; Ferreira, L.; Carvalho, R.; Ramos, M.A.; Gil, M.H. Synthesis and characterization of new injectable and degradable dextran-based hydrogels. Polymer 2005, 46, 9604–9614. [Google Scholar] [CrossRef]
  31. Maeda, H.; Rambone, G.; Coviello, T.; Yuguchi, Y.; Urakawa, H.; Alhaique, F.; Kajiwara, K. Low-degree oxidized scleroglucan and its hydrogel. Int. J. Biol. Macromol. 2001, 28, 351–358. [Google Scholar] [CrossRef] [PubMed]
  32. Nadzhimutdinov, S.; Sarymsakov, A.A.; Usmanov, K.U. Regularities in the synthesis of cellulose dialdehyde and its ethers. Cellul. Chem. Technol. 1981, 15, 613–628. [Google Scholar]
  33. Perplies, E. Production of Temporarily Crosslinked Cellulose Ethers by Selective Oxidation of Hydroxyl Groups and Subsequent Crosslinking. PCT Int. Appl. WO 2003097700 A1 20031127, 2003. [Google Scholar]
  34. Sarymsakov, A.A.; Nadzhimutdinov, S.; Usmanov, K.U. Crosslinking of oxidized cellulose. Uzb. Khim. Zh. 1975, 19, 45–48. [Google Scholar]
  35. Sierakowski, M.R.; Milas, M.; Desbrieres, J.; Rinaudo, M. Specific modifications of galactomannans. Carbohydr. Polym. 2000, 42, 51–57. [Google Scholar] [CrossRef]
  36. Jiang, B.; Drouet, E.; Milas, M.; Rinaudo, M. Study on TEMPO-mediated selective oxidation of hyaluronan and the effects of salt on the reaction kinetics. Carbohydr. Res. 2000, 327, 455–461. [Google Scholar] [CrossRef] [PubMed]
  37. Frollini, E.; Reed, W.F.; Milas, M.; Rinaudo, M. Polyelectrolytes from polysaccharides: selective oxidation of guar gum—A revisited reaction. Carbohydr. Polym. 1995, 27, 129–135. [Google Scholar] [CrossRef]
  38. Hall, L.D.; Yalpani, M. Synthesis of luminescent probe-sugar conjugates of either protected or unprotected sugars. Carbohydr. Res. 1980, 78, C4–C6. [Google Scholar] [CrossRef]
  39. Christiansen, K.A.; Balance, S.; Potthast, A.; Chistensen, B.E. An evaluation of tritium and fluorescence labelling combined with multi-detector SEC for the detection of carbonyl groups in polysaccharides. Carbohydr. Polym. 2009, 76, 196–205. [Google Scholar] [CrossRef]
  40. Rinaudo, M. Main properties and current applications of some polysaccharides as biomaterials. Polym. Int. 2008, 57, 397–430. [Google Scholar] [CrossRef]

Share and Cite

MDPI and ACS Style

Rinaudo, M. Periodate Oxidation of Methylcellulose: Characterization and Properties of Oxidized Derivatives. Polymers 2010, 2, 505-521. https://doi.org/10.3390/polym2040505

AMA Style

Rinaudo M. Periodate Oxidation of Methylcellulose: Characterization and Properties of Oxidized Derivatives. Polymers. 2010; 2(4):505-521. https://doi.org/10.3390/polym2040505

Chicago/Turabian Style

Rinaudo, Marguerite. 2010. "Periodate Oxidation of Methylcellulose: Characterization and Properties of Oxidized Derivatives" Polymers 2, no. 4: 505-521. https://doi.org/10.3390/polym2040505

APA Style

Rinaudo, M. (2010). Periodate Oxidation of Methylcellulose: Characterization and Properties of Oxidized Derivatives. Polymers, 2(4), 505-521. https://doi.org/10.3390/polym2040505

Article Metrics

Back to TopTop