A Dual Valorization Strategy of Barley Straw for the Development of High-Performance Bio-Based Polyurethane Foams
Abstract
1. Introduction
2. Materials and Methods
2.1. Materials
2.2. Biomass Fractionation
2.3. Liquefaction
2.4. Bio-Polyol Characterization
2.5. LCNF Production
2.6. Quality Index of LCNF
2.7. PU Foams Synthesis
2.8. PU Foams Characterization
3. Results and Discussion
3.1. Liquefaction and Bio-Polyol Characterization
3.2. LCNF Quality Index
3.3. Polyurethane Foams Synthesis
3.4. Polyurethane Foams Characterization
3.4.1. Physicochemical and Morphological Characterization of PU Foams
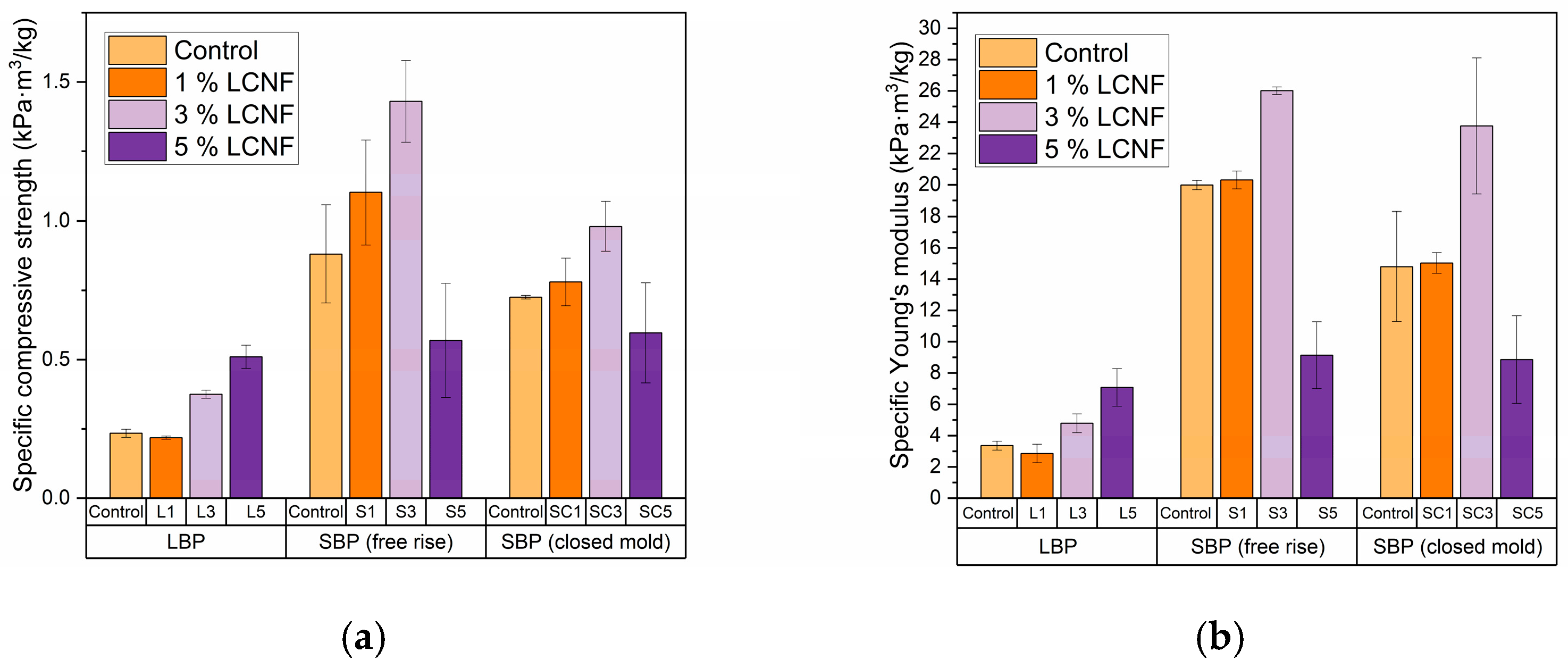
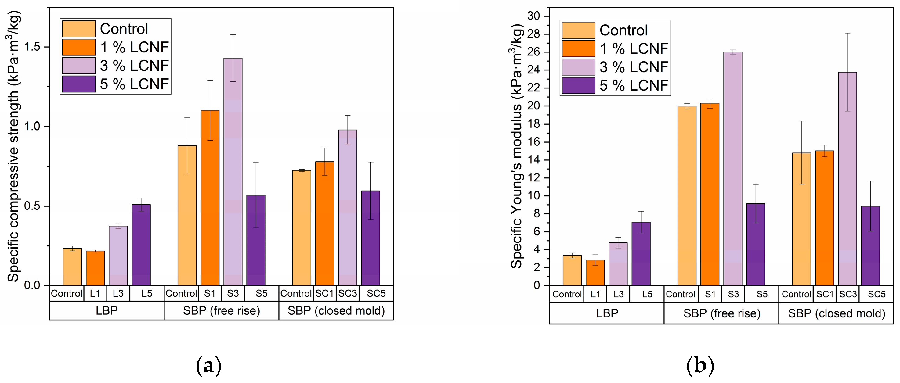
3.4.2. Mechanical Properties
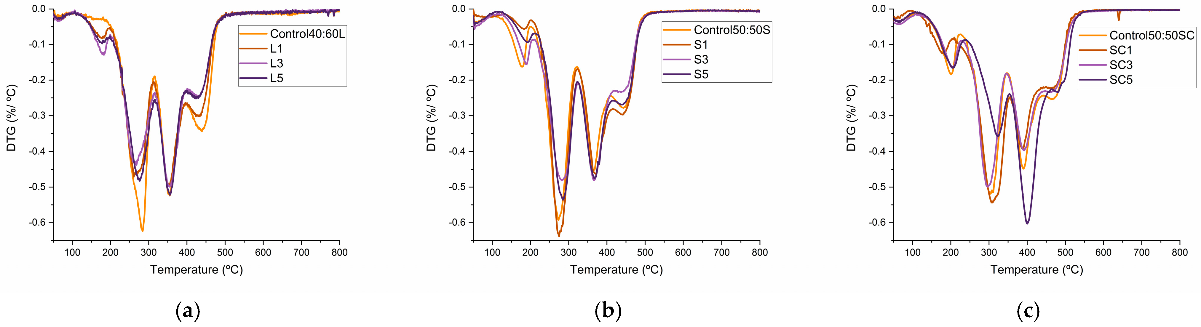
3.4.3. Thermal Properties
4. Conclusions
Supplementary Materials
Author Contributions
Funding
Institutional Review Board Statement
Data Availability Statement
Conflicts of Interest
Abbreviations
| LCNF | Lignin-containing cellulose nanofibers |
| PU | Polyurethane |
| CO | Castor oil |
| ASTM | American Society for Testing and Materials |
| TGA | Thermogravimetric analysis |
| TDI | Tolylene-2,4-diisocyanate |
| SEM | Scanning Electron Microscopy |
References
- Plastics Europe. Available online: https://plasticseurope.org/es/knowledge-hub/plastics-the-fast-facts-2024/ (accessed on 24 October 2025).
- Cafiero, L.M.; De Angelis, D.; Tuccinardi, L.; Tuffi, R. Current State of Chemical Recycling of Plastic Waste: A Focus on the Italian Experience. Sustainability 2025, 17, 1293. [Google Scholar] [CrossRef]
- Maamoun, A.A.; Arafa, M.; Esawi, A.M.K. Flexible Polyurethane Foam: Materials, Synthesis, Recycling, and Applications in Energy Harvesting—A Review. Mater. Adv. 2025, 6, 1842–1858. [Google Scholar] [CrossRef]
- Delavarde, A.; Savin, G.; Derkenne, P.; Boursier, M.; Morales-Cerrada, R.; Nottelet, B.; Pinaud, J.; Caillol, S. Sustainable Polyurethanes: Toward New Cutting-Edge Opportunities. Prog. Polym. Sci. 2024, 151, 101805. [Google Scholar] [CrossRef]
- Zhang, X.; Ding, S.; Wang, Z.; Wang, Z.; Xie, H. Thermally Stable Rigid Polyurethane Foam with Excellent Thermal Insulation and Mechanical Properties. Case Stud. Therm. Eng. 2025, 73, 106667. [Google Scholar] [CrossRef]
- Wu, S.; Ma, S.; Zhang, Q.; Yang, C. A Comprehensive Review of Polyurethane: Properties, Applications and Future Perspectives. Polymer 2025, 327, 128361. [Google Scholar] [CrossRef]
- Daimary, N.; Deb, B.; Roy, B.; Ranjan, R.K.; Mukherjee, A. Sustainable Biorefinery Approach for the Transformation of Biowaste into Biofuels and Chemicals for the Circular Economy: A Review. Sustain. Energy Technol. Assess. 2025, 82, 104457. [Google Scholar] [CrossRef]
- Liu, X.; Yu, D.; Luo, H.; Li, C.; Li, H. Efficient Reaction Systems for Lignocellulosic Biomass Conversion to Furan Derivatives: A Minireview. Polymers 2022, 14, 3671. [Google Scholar] [CrossRef]
- Kumar, B.; Adil, S.; Kim, J. Biomass-Derived Epoxy Resin and Its Application for High-Performance Natural Fiber Composites. J. Reinf. Plast. Compos. 2024, 07316844241275225. [Google Scholar] [CrossRef]
- Chakhtouna, H.; Benzeid, H.; Zari, N.; Qaiss, A.e.k.; Bouhfid, R. Recent Advances in Eco-Friendly Composites Derived from Lignocellulosic Biomass for Wastewater Treatment. Biomass Convers. Biorefin. 2024, 14, 12085–12111. [Google Scholar] [CrossRef]
- Liu, Z.; Shu, B.; Liu, Z.; Li, X.; Wu, T.; Xiang, Z.; Yang, S.; Yang, Z.; Hu, Y. Mussel-Inspired Synergistic Anticorrosive Coatings for Steel Substrate Prepared Basing on Fully Bio-Based Epoxy Resin and Biomass Modified Graphene Nanoparticles. Colloids Surf. A 2024, 693, 134038. [Google Scholar] [CrossRef]
- Yin, H.; Qiu, Y.; Fang, T.; Tian, Z.; Zhang, M.; Xu, Y.; Liu, J.; Wang, Y.; Gui, T.; Tan, X. Preparation and Properties of Biomass Castor Oil Polyurethane Films. Eur. Polym. J. 2024, 216, 113304. [Google Scholar] [CrossRef]
- Petrenko, D.; Klushin, V.; Petrenko, A.; Yatsenko, A.; Smirnova, N.; Ulyankina, A. Sustainable Polyurethanes from Biomass-Derived Furanic Polyols for Adhesive Applications. Iran. Polym. J. 2025, 34, 1829–1839. [Google Scholar] [CrossRef]
- Acurio-Cerda, K.; Keloth, R.; Obewhere, O.A.; Dishari, S.K. Lignin-Based Membranes for Health, Food Safety, Environmental, and Energy Applications: Current Trends and Future Directions. Curr. Opin. Chem. Eng. 2025, 47, 101098. [Google Scholar] [CrossRef]
- Jung, J.Y.; Yu, J.H.; Lee, E.Y. Completely Bio-Based Polyol Production from Sunflower Stalk Saccharification Lignin Residue via Solvothermal Liquefaction Using Biobutanediol Solvent and Application to Biopolyurethane Synthesis. J. Polym. Environ. 2018, 26, 3493–3501. [Google Scholar] [CrossRef]
- Khan, A.; Nair, V.; Colmenares, J.C.; Gläser, R. Lignin-Based Composite Materials for Photocatalysis and Photovoltaics. Top. Curr. Chem. 2018, 376, 20. [Google Scholar] [CrossRef]
- Bisen, D.; Chouhan, A.P.S.; Pant, M.; Chakma, S. Advancement of Thermochemical Conversion and the Potential of Biomasses for Production of Clean Energy: A Review. Renew. Sustain. Energy Rev. 2025, 208, 115016. [Google Scholar] [CrossRef]
- Kim, K.H.; Yu, J.H.; Lee, E.Y. Crude Glycerol-Mediated Liquefaction of Saccharification Residues of Sunflower Stalks for Production of Lignin Biopolyols. J. Ind. Eng. Chem. 2016, 38, 175–180. [Google Scholar] [CrossRef]
- Mahmood, N.; Yuan, Z.; Schmidt, J.; Xu, C. Depolymerization of Lignins and Their Applications for the Preparation of Polyols and Rigid Polyurethane Foams: A Review. Renew. Sustain. Energy Rev. 2016, 60, 317–329. [Google Scholar] [CrossRef]
- Niesiobędzka, J.; Datta, J. Challenges and Recent Advances in Bio-Based Isocyanate Production. Green Chem. 2023, 25, 2482–2504. [Google Scholar] [CrossRef]
- Carriço, C.S.; Fraga, T.; Carvalho, V.E.; Pasa, V.M.D. Polyurethane Foams for Thermal Insulation Uses Produced from Castor Oil and Crude Glycerol Biopolyols. Molecules 2017, 22, 1091. [Google Scholar] [CrossRef]
- Gurgel, D.; Bresolin, D.; Sayer, C.; Cardozo Filho, L.; Hermes de Araújo, P.H. Flexible Polyurethane Foams Produced from Industrial Residues and Castor Oil. Ind. Crops Prod. 2021, 164, 113377. [Google Scholar] [CrossRef]
- Kim, H.J.; Jin, X.; Choi, J.W. Investigation of Bio-Based Rigid Polyurethane Foams Synthesized with Lignin and Castor Oil. Sci. Rep. 2024, 14, 13490. [Google Scholar] [CrossRef] [PubMed]
- Alvarez Marin, L.; Naghizadeh Mahani, Z.; Peresin, M.S. Comparative Study of Bleached and Lignin-Containing Cellulose Nanofibrils as Reinforcements in Epoxy Composites. Wood Sci. Technol. 2025, 59, 98. [Google Scholar] [CrossRef]
- Su, T.Y.T.; Aguiar, R.; Sansone, N.D.; Hao, C.; Yan, N.; Lee, P.C. Green, Sustainable, and Melt-Compoundable PLA Composites Reinforced with Spray-Dried Lignocellulosic Nanofibrils for Enhanced Barrier and Mechanical Properties. Chem. Eng. J. 2025, 515, 163183. [Google Scholar] [CrossRef]
- Ribeiro, T.S.M.; Martins, C.C.N.; Scatolino, M.V.; Dias, M.C.; Mascarenhas, A.R.P.; Ferreira, C.B.; Bianchi, M.L.; Tonoli, G.H.D. Using Cellulose Nanofibril from Sugarcane Bagasse as an Eco-Friendly Ductile Reinforcement in Starch Films for Packaging. Sustainability 2025, 17, 4128. [Google Scholar] [CrossRef]
- Leng, W.; Li, J.; Cai, Z. Synthesis and Characterization of Cellulose Nanofibril-Reinforced Polyurethane Foam. Polymers 2017, 9, 597. [Google Scholar] [CrossRef]
- Bello, K.O.; Yan, N. Mechanical and Insulation Performance of Rigid Polyurethane Foam Reinforced with Lignin-Containing Nanocellulose Fibrils. Polymers 2024, 16, 2119. [Google Scholar] [CrossRef]
- Technical Association of the Pulp and Paper Industry (TAPPI) Standards: Regulation and Style Guidelines. Available online: https://www.tappi.org/publications-standards/standards-methods/standardsonline/ (accessed on 24 October 2025).
- Espinosa, E.; Rol, F.; Bras, J.; Rodríguez, A. Production of Lignocellulose Nanofibers from Wheat Straw by Different Fibrillation Methods. Comparison of Its Viability in Cardboard Recycling Process. J. Clean. Prod. 2019, 239, 118083. [Google Scholar] [CrossRef]
- Rincón, E. Multi-Product Biorefinery from Bay Tree Pruning for Advanced Materials Production and Application. Ph.D. Thesis, University of Córdoba, Córdoba, Spain, 16 January 2023. Helvia. Available online: https://helvia.uco.es/bitstream/handle/10396/24979/2023000002641.pdf?sequence=1&isAllowed=y (accessed on 24 October 2025).
- Desmaisons, J.; Boutonnet, E.; Rueff, M.; Dufresne, A.; Bras, J. A New Quality Index for Benchmarking of Different Cellulose Nanofibrils. Carbohydr. Polym. 2017, 174, 318–329. [Google Scholar] [CrossRef]
- Rincón, E.; Balu, A.M.; Luque, R.; Serrano, L. Insulating Rigid Polyurethane Foams from Laurel Tree Pruning Based Polyol. J. Appl. Polym. Sci. 2021, 138, 49789. [Google Scholar] [CrossRef]
- Hilmi, H.; Zainuddin, F.; Cheng, T.S.; Lan, D.N.U. Mechanical Properties of Palm Oil Based Bio-Polyurethane Foam of Free Rise and Various Densities. AIP Conf. Proc. 2017, 1901, 070002. [Google Scholar] [CrossRef]
- ASTM D1622-23; Standard Test Method for Apparent Density of Rigid Cellular Plastics. ASTM International: West Conshohocken, PA, USA, 2023.
- da Silva, S.H.F.; Dos Santos, P.S.B.; Gatto, D.A.; Andres, M.A.; Egüés, I. Liquefaction of Kraft Lignin at Atmospheric Pressure. J. Renew. Mater. 2019, 7, 527–534. [Google Scholar] [CrossRef]
- Jo, Y.J.; Ly, H.V.; Kim, J.; Kim, S.S.; Lee, E.Y. Preparation of Biopolyol by Liquefaction of Palm Kernel Cake Using PEG#400 Blended Glycerol. J. Ind. Eng. Chem. 2015, 29, 304–313. [Google Scholar] [CrossRef]
- Zhang, J.; Hori, N.; Takemura, A. Thermal and Time Regularities during Oilseed Rape Straw Liquefaction Process to Produce Bio-Polyol. J. Clean. Prod. 2020, 277, 124015. [Google Scholar] [CrossRef]
- Cateto, C.A.; Barreiro, M.F.; Rodrigues, A.E.; Belgacem, M.N. Optimization Study of Lignin Oxypropylation in View of the Preparation of Polyurethane Rigid Foams. Ind. Eng. Chem. Res. 2009, 48, 2583–2589. [Google Scholar] [CrossRef]
- Soares, B.; Gama, N.; Freire, C.; Barros-Timmons, A.; Brandão, I.; Silva, R.; Pascoal Neto, C.; Ferreira, A. Ecopolyol Production from Industrial Cork Powder via Acid Liquefaction Using Polyhydric Alcohols. ACS Sustain. Chem. Eng. 2014, 2, 846–854. [Google Scholar] [CrossRef]
- Çolakoğlu, F.; Akdoğan, E.; Erdem, M. Liquefaction Optimization of Grape Pulp Using Response Surface Methodology for Biopolyol Production and Bio-Based Polyurethane Foam Synthesis. Turk. J. Chem. 2024, 48, 568–581. [Google Scholar] [CrossRef] [PubMed]
- Erdem, M.; Akdogan, E.; Bekki, A. Optimization and Characterization Studies on Ecopolyol Production from Solvothermal Acid-Catalyzed Liquefaction of Sugar Beet Pulp Using Response Surface Methodology. Biomass Convers. Biorefin. 2023, 13, 6925–6940. [Google Scholar] [CrossRef]
- Espinosa, E.; Rol, F.; Bras, J.; Rodríguez, A. Use of Multi-Factorial Analysis to Determine the Quality of Cellulose Nanofibers: Effect of Nanofibrillation Treatment and Residual Lignin Content. Cellulose 2020, 27, 10689–10705. [Google Scholar] [CrossRef]
- Dias, M.C.; Belgacem, M.N.; de Resende, J.V.; Martins, M.A.; Damásio, R.A.P.; Tonoli, G.H.D.; Ferreira, S.R. Eco-Friendly Laccase and Cellulase Enzymes Pretreatment for Optimized Production of High Content Lignin-Cellulose Nanofibrils. Int. J. Biol. Macromol. 2022, 209, 413–425. [Google Scholar] [CrossRef]
- Khadraoui, M.; Khiari, R.; Bergaoui, L.; Mauret, E. Production of Lignin-Containing Cellulose Nanofibrils by the Combination of Different Mechanical Processes. Ind. Crops Prod. 2022, 183, 114991. [Google Scholar] [CrossRef]
- Borrero-López, A.M.; Valencia, C.; Franco, J.M. Rheology of Lignin-Based Chemical Oleogels Prepared Using Diisocyanate Crosslinkers: Effect of the Diisocyanate and Curing Kinetics. Eur. Polym. J. 2017, 89, 311–323. [Google Scholar] [CrossRef]
- Sun, N.; Di, M.; Liu, Y. Lignin-Containing Polyurethane Elastomers with Enhanced Mechanical Properties via Hydrogen Bond Interactions. Int. J. Biol. Macromol. 2021, 184, 1–8. [Google Scholar] [CrossRef] [PubMed]
- Leng, W.; Pan, B. Thermal Insulating and Mechanical Properties of Cellulose Nanofibrils Modified Polyurethane Foam Composite as Structural Insulated Material. Forests 2019, 10, 200. [Google Scholar] [CrossRef]
- Huang, X.; De Hoop, C.F.; Xie, J.; Wu, Q.; Boldor, D.; Qi, J. High Bio-Content Polyurethane (PU) Foam Made from Bio-Polyol and Cellulose Nanocrystals (CNCs) via Microwave Liquefaction. Mater. Des. 2018, 138, 11–20. [Google Scholar] [CrossRef]
- Amran, U.A.; Salleh, K.M.; Zakaria, S.; Roslan, R.; Chia, C.H.; Jaafar, S.N.S.; Sajab, M.S.; Mostapha, M. Production of Rigid Polyurethane Foams Using Polyol from Liquefied Oil Palm Biomass: Variation of Isocyanate Indexes. Polymers 2021, 13, 3072. [Google Scholar] [CrossRef]
- Ghasemi, S.; Amini, E.N.; Tajvidi, M.; Kiziltas, A.; Mielewski, D.F.; Gardner, D.J. Flexible Polyurethane Foams Reinforced with Organic and Inorganic Nanofillers. J. Appl. Polym. Sci. 2021, 138, 49983. [Google Scholar] [CrossRef]
- Zhang, D.; Chen, S. The Study of Palm-Oil-Based Bio-Polyol on the Morphological, Acoustic and Mechanical Properties of Flexible Polyurethane Foams. Polym. Int. 2020, 69, 257–264. [Google Scholar] [CrossRef]
- Park, J.H.; Jo, K.I.; Kim, I.J.; Kwon, T.; Yu, S.; Ko, J.W.; Lee, J.H. Optimizing the Preparation Parameters of Eco-Friendly Flexible Polyurethane Foams Derived from a Corn-Based Bio-Polyol. J. Appl. Polym. Sci. 2024, 141, e55554. [Google Scholar] [CrossRef]
- Zhou, X.; Sain, M.M.; Oksman, K. Semi-Rigid Biopolyurethane Foams Based on Palm-Oil Polyol and Reinforced with Cellulose Nanocrystals. Compos. Part A 2016, 83, 56–62. [Google Scholar] [CrossRef]
- Husainie, S.M.; Deng, X.; Ghalia, M.A.; Robinson, J.; Naguib, H.E. Natural Fillers as Reinforcement for Closed-Molded Polyurethane Foam Plaques: Mechanical, Morphological, and Thermal Properties. Mater. Today Commun. 2021, 27, 102187. [Google Scholar] [CrossRef]
- Saragih, S.W.; Wirjosentono, B.; Eddyanto; Meliana, Y. Thermal and Morphological Properties of Cellulose Nanofiber from Pseudo-Stem Fiber of Abaca (Musa Textilis). Macromol. Symp. 2020, 391, 2000020. [Google Scholar] [CrossRef]
- Ju, S.; Lee, A.; Shin, Y.; Jang, H.; Yi, J.W.; Oh, Y.; Jo, N.J.; Park, T. Preventing the Collapse Behavior of Polyurethane Foams with the Addition of Cellulose Nanofiber. Polymers 2023, 15, 1499. [Google Scholar] [CrossRef] [PubMed]
- Amran, U.A.; Zakaria, S.; Chia, C.H.; Roslan, R.; Jaafar, S.N.S.; Salleh, K.M. Polyols and Rigid Polyurethane Foams Derived from Liquefied Lignocellulosic and Cellulosic Biomass. Cellulose 2019, 26, 3231–3246. [Google Scholar] [CrossRef]






| Sample | Formulation (BP:CO) a | LCNF (g) | LBP b (g) | SBP c (g) | CO (g) | Catalyst d (g) | Blowing Agent e (g) | Silicone Oil (g) | TDI (g) | RNCO/OH | Foaming Reaction |
|---|---|---|---|---|---|---|---|---|---|---|---|
| Control 50:50 L | 50:50 | 0 | 10 | 0 | 10 | 0.4 | 0.4 | 0.4 | 11.5 | 0.66 | No |
| Control 40:60 L | 40:60 | 0 | 8 | 0 | 12 | 0.4 | 0.4 | 0.4 | 11.5 | 0.73 | Yes |
| L1 | 40:60 | 0.33 | 8 | 0 | 12 | 0.4 | 0.4 | 0.4 | 11.5 | 0.73 | Yes |
| L3 | 40:60 | 1.01 | 8 | 0 | 12 | 0.4 | 0.4 | 0.4 | 11.5 | 0.73 | Yes |
| L5 | 40:60 | 1.71 | 8 | 0 | 12 | 0.4 | 0.4 | 0.4 | 11.5 | 0.73 | Yes |
| L7 | 40:60 | 2.46 | 8 | 0 | 12 | 0.4 | 0.4 | 0.4 | 11.5 | 0.73 | No |
| Control 60:40 S | 60:40 | 0 | 0 | 12 | 8 | 0.4 | 0.4 | 0.4 | 11.5 | 0.65 | No |
| Control 50:50 S | 50:50 | 0 | 0 | 10 | 10 | 0.4 | 0.4 | 0.4 | 11.5 | 0.71 | Yes |
| S1 | 50:50 | 0.33 | 0 | 10 | 10 | 0.4 | 0.4 | 0.4 | 11.5 | 0.71 | Yes |
| S3 | 50:50 | 1.01 | 0 | 10 | 10 | 0.4 | 0.4 | 0.4 | 11.5 | 0.71 | Yes |
| S5 | 50:50 | 1.71 | 0 | 10 | 10 | 0.4 | 0.4 | 0.4 | 11.5 | 0.71 | Yes |
| S7 | 50:50 | 2.46 | 0 | 10 | 10 | 0.4 | 0.4 | 0.4 | 11.5 | 0.71 | No |
| Control 60:40 SC | 60:40 | 0 | 0 | 12 | 8 | 0.4 | 0.4 | 0.4 | 11.5 | 0.65 | No |
| Control 50:50 SC | 50:50 | 0 | 0 | 10 | 10 | 0.4 | 0.4 | 0.4 | 11.5 | 0.71 | Yes |
| SC1 | 50:50 | 0.33 | 0 | 10 | 10 | 0.4 | 0.4 | 0.4 | 11.5 | 0.71 | Yes |
| SC3 | 50:50 | 1.01 | 0 | 10 | 10 | 0.4 | 0.4 | 0.4 | 11.5 | 0.71 | Yes |
| SC5 | 50:50 | 1.71 | 0 | 10 | 10 | 0.4 | 0.4 | 0.4 | 11.5 | 0.71 | Yes |
| SC7 | 50:50 | 2.46 | 0 | 10 | 10 | 0.4 | 0.4 | 0.4 | 11.5 | 0.71 | No |
| Lignin Bio-Polyol | Barley Straw Bio-Polyol | ||
|---|---|---|---|
| pH | 2.80 ± 0.03 | 2.82 ± 0.05 | |
| Density (g/mL) | 1.43 ± 0.07 | 1.23 ± 0.05 | |
| IOH (mg KOH/g) | 710.9 ± 9.4 | 625.7 ± 5.2 | |
| Acid number (mg KOH/g) | 49.9 ± 8.3 | 22.8 ± 0.9 | |
| Viscosity (mPa·s) | 6026.5 ± 12.0 | 6738.5 ± 156.3 | |
| Molecular weight | MW (g/mol) | 21,348 | 25,436 |
| MN (g/mol) | 20,554 | 23,996 | |
| PD | 1.04 | 1.06 | |
| Parameters | |
|---|---|
| Consistency (%) | 0.93 ± 0.05 |
| Nanosized fraction (%) | 94.9 ± 6.4 |
| Turbidity (NTU) | 63.3 ± 2.6 |
| Young’s Modulus (GPa) | 9.3 ± 3.9 |
| Macroscopic size (µm2) | 9.4 |
| Quality Index (%) | 93.4 |
Disclaimer/Publisher’s Note: The statements, opinions and data contained in all publications are solely those of the individual author(s) and contributor(s) and not of MDPI and/or the editor(s). MDPI and/or the editor(s) disclaim responsibility for any injury to people or property resulting from any ideas, methods, instructions or products referred to in the content. |
© 2025 by the authors. Licensee MDPI, Basel, Switzerland. This article is an open access article distributed under the terms and conditions of the Creative Commons Attribution (CC BY) license (https://creativecommons.org/licenses/by/4.0/).
Share and Cite
Rodríguez-Aranda, M.; Rincón, E.; Pinillos, M.; Romero, P.E.; Serrano, L. A Dual Valorization Strategy of Barley Straw for the Development of High-Performance Bio-Based Polyurethane Foams. Polymers 2025, 17, 3142. https://doi.org/10.3390/polym17233142
Rodríguez-Aranda M, Rincón E, Pinillos M, Romero PE, Serrano L. A Dual Valorization Strategy of Barley Straw for the Development of High-Performance Bio-Based Polyurethane Foams. Polymers. 2025; 17(23):3142. https://doi.org/10.3390/polym17233142
Chicago/Turabian StyleRodríguez-Aranda, Marina, Esther Rincón, María Pinillos, Pablo E. Romero, and Luis Serrano. 2025. "A Dual Valorization Strategy of Barley Straw for the Development of High-Performance Bio-Based Polyurethane Foams" Polymers 17, no. 23: 3142. https://doi.org/10.3390/polym17233142
APA StyleRodríguez-Aranda, M., Rincón, E., Pinillos, M., Romero, P. E., & Serrano, L. (2025). A Dual Valorization Strategy of Barley Straw for the Development of High-Performance Bio-Based Polyurethane Foams. Polymers, 17(23), 3142. https://doi.org/10.3390/polym17233142

