Abstract
An extensive magnetization study in pulsed fields up to 62 T and at temperatures down to ~0.7 K has been performed on the single crystals of hexagonal manganite HoMnO3. For magnetic fields (H) applied along the c-axis, successive magnetic transitions below 10 T and a step-like transition at ~41 T are observed. The phase diagram for H//c is very complex and new phase boundaries are explored below 6 K. This phase diagram is compared with the early results derived from dielectric constant and neutron scattering measurements. For H//a, two magnetic transitions are found below 3 T dome-shaped and the phase diagram is reported for the first time. The variety of magnetic symmetries of the field-induced magnetic phases is discussed.
1. Introduction
Field-induced magnetic phase transition, characterized as a change in magnetization, is a long-standing issue of magnetic materials [1]. Of particular interest are the highly frustrated hexagonal (h-) manganites RMnO3 (R = Ho-Lu, Y, Sc), which exhibit phase transitions at low temperature (T) and in the applied magnetic field (H) [2]. Among them, h-HoMnO3 is the most studied compound due to its multiferroic property and rich H-T phase diagram [2,3,4]. Figure 1a shows the crystallographic structure of h-HoMnO3 with magnetic ions of Mn3+ and Ho3+. The Mn3+ ions form triangular layers stacked along the c-axis, whereas the Ho3+ ions are situated at two different sites 2a and 4b between the layers. As T is lowered, h-HoMnO3 undergoes three phase transitions at TN = 76 K, TSR = 32.8 K, and THo = 5.4 K, respectively [2]. The phase diagram of h-HoMnO3 for H along the c-axis is extremely complex for H < 8 T. Three magnetic ordered phases (HT1, HT2, and INT) were identified above 5 K, whereas below this temperature more phases and phase boundaries were explored by means of different experimental techniques [5,6,7,8,9,10,11]. Through dielectric constant measurements, Yen et al. observed two dome-shaped phases (LT1, LT2) and additional boundaries in the INT phase [6]. Similar results were obtained by measurements of susceptibility, specific heat, microwave, and ultrasonic velocity [7,8,9]. However, the neutron scattering experiments revealed different phase diagrams in the ranges of 0–5 K and 0–2 T; four boundaries merge into a multicritical point (7 K, 1.4 T) and no LT1 phase was observed [10,11]. On the other hand, the determination of the magnetic structures of these phases is challenging because of the large unit cell and the complexity of this spin system. By optical second harmonic generation (SHG), Fiebig et al. studied the change in symmetry of the Mn3+ ions above 5 K [12,13]. However, magnetic symmetries of the LT1, LT2 phases, as well as the magnetic ground state still remain puzzling [2,14]. In addition, the variety of symmetries of the Ho3+ ions, which orient along the c-axis, is rarely studied [15]. These controversial results and questions motivate a reinvestigation of the field-induced magnetic transitions and phase diagram of h-HoMnO3 using other experimental techniques.
Figure 1.
(a) Crystallographic geometry of the Mn3+ and Ho3+ ions in the h-HoMnO3. Two nonequivalent Ho3+ ions 2a and 4b are shown in different colors. (b) The orientation of the crystal surface using X-ray scattering analysis for the (002) plane. Inset of Figure 2 shows a picture of the as-grown h-HoMnO3 single crystal by the optical floating-zone furnace.
Magnetization (M) measurement using a non-destructive pulsed magnet can explore phase transition in a sufficiently high magnetic field. Due to its fast field-sweeping rate (> 1 kT/s) and high-speed (60 MS/s) data collection system, this induction method using a compensated pickup coil is also utilized to detect weak magnetic transition, which is not clearly shown in a steady field. In this work, we measure the magnetization of h-HoMnO3 in a pulsed-field up to 62 T and explore a new transition at ~41 T for H//c. The pulsed duration is shorter and the sensitivity of the coil is higher. By using a short-pulsed field of ~4 ms and measurement down to ~0.7 K, we reinvestigate the c-axis magnetic transitions and phase diagram below 5 T. Possible magnetic structures and symmetries of the Ho3+ ions are proposed for the field-induced magnetic phases. For H//a, two new magnetic transitions are observed below 5 T and the phase diagram is reported.
2. Experimental Details
Single crystals of h-HoMnO3 were grown by the floating zone method. First, the polycrystalline powder of h-HoMnO3 was synthesized by the conventional solid-state reaction. Stoichiometric mixtures of Ho2O3 and Mn2O3 powders were ground and sintered in air at 1120 °C for 24 h. This process was repeated for several times to ensure fully reaction of the starting materials. Then the product was pressed into ~10 cm long rods under a 50 MPa hydrostatic pressure. The rods were sintered at 1120 °C for 20 h and used as feed rod and seed rod. The single crystal growth was then carried out using an optical floating-zone furnace (FZ-T-10000-H, Crystal System Incorporation of Japan). The experimental conditions are almost the same as those in Ref. [16]. The inset of Figure 1b shows the as-grown h-HoMnO3 single crystal with a diameter of ~7 mm. The crystal was oriented by the X-ray single-crystal diffractometer (XtaLAB miniTM II, Rigaku, Japan), examined by an X-ray powder diffractometer (XRD, Philips X’pert pro, Japan) as shown in Figure 1b and found to have good quality.
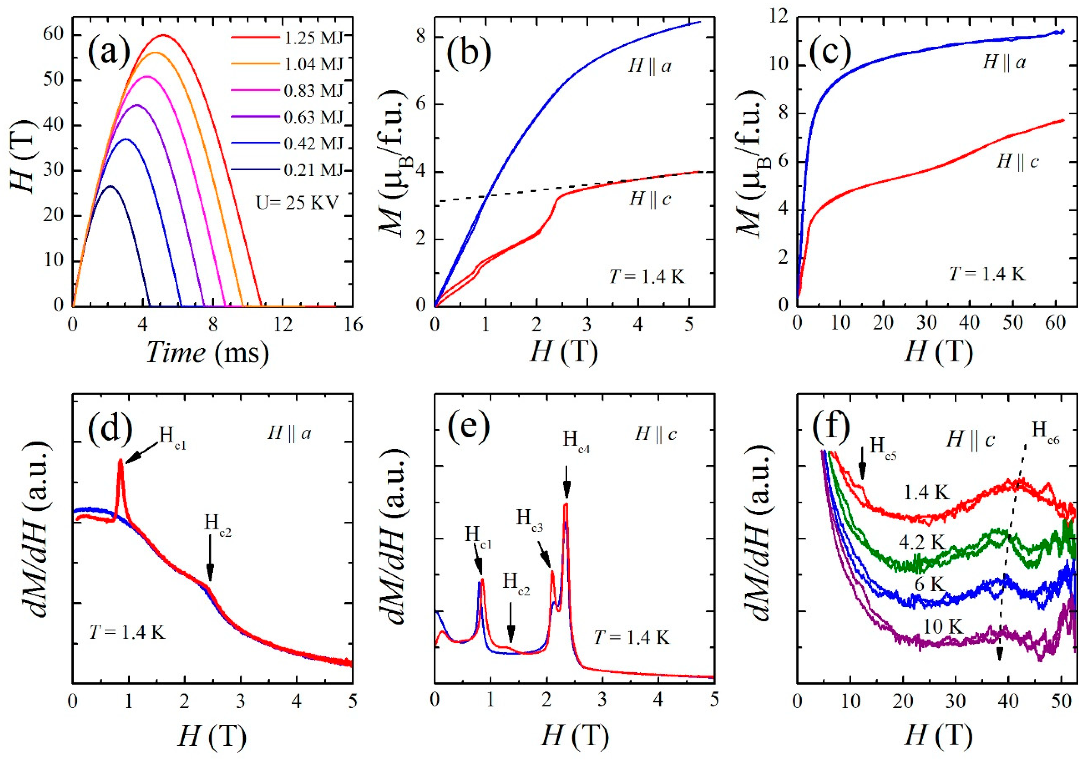
Magnetization measurement was performed in Wuhan National High Magnetic Field Center using a 65 T pulsed magnet. Figure 2a shows the pulsed fields with a discharge voltage of 25 kV driven by different capacitor banks. The pulse duration can be controlled from ~4 ms to 11 ms with peak field changing from 25 to 60 T. In the experiment, two pulse shots with sample-in and sample-out were carried out to subtract the spurious dB/dt signals induced by the pulsed fields. dM/dt signals from the sample were then collected and integrated as a function of magnetic fields. The absolute value of the magnetization was obtained by a comparison with the data measured by a commercial superconducting quantum interference device (SQUID, Quantum Design). He-3 cryogenic system was employed for the measurements down to ~0.7 K.
Figure 2.
(a) Waveforms of pulsed fields driven by various capacitor banks. To generate an 11 ms/62 T pulsed field, a 1.25 MJ capacitor bank with a discharge voltage 25 kV is applied. While the 0.21 MJ capacitor bank is used to generate a ~4 ms short-pulsed field. (b) Magnetization data measured at 1.4 K for H//a and H//c, respectively. The data were measured using a ~4 ms short-pulsed field. The dashed line shows linearly extrapolating the magnetization data to zero fields. (c) A comparison between the a- and c-axis magnetizations in fields up to 62 T. (d,e) The derivative dM/dH of the data in (b). The red (blue) curve denotes the field-increasing (-decreasing) process. (f) The derivative dM/dH of the data in (c). The arrows in (d–f) indicate the field-induced magnetic phase transitions.
3. Results and Discussion
Figure 2b shows the magnetization processes of h-HoMnO3 at 1.4 K and in a pulsed-field up to 5 T. For H//a, the M increases monotonously with a bend in the vicinity of 3 T. From the derivative dM/dH shown in Figure 2d, we distinguish two magnetic transitions at Hc1 = 1 T and Hc2 = 2.5 T. The Hc1 transition was not detected in the previous work [17], probably due to the relatively slow field-sweeping rate. A hysteresis is seen around Hc1, indicating the nature of a first-order transition. For H//c, clear magnetization jumps are seen at ~1 T and ~2.5 T. The dM/dH data in Figure 2e show four successive magnetic transitions at Hc1 = 0.8 T, Hc2 = 1.4 T, Hc3 = 2 T, and Hc4 = 2.4 T, in agreement with the result in Ref. [18]. Because the Hc2 transition is of the first-order type [18], it gives rise to the hysteresis in a pulsed field below 1.5 T. In higher magnetic fields up to 62 T [Figure 2c], the magnetization for H//c shows a change of slope at ~10 T followed by another step-like transition at ~41 T. These two anomalies (Hc5, Hc6) are also visible in dM/dH curves, as shown in Figure 2f. While for H//a, no transition is observed and the magnetization almost saturates above 10 T.
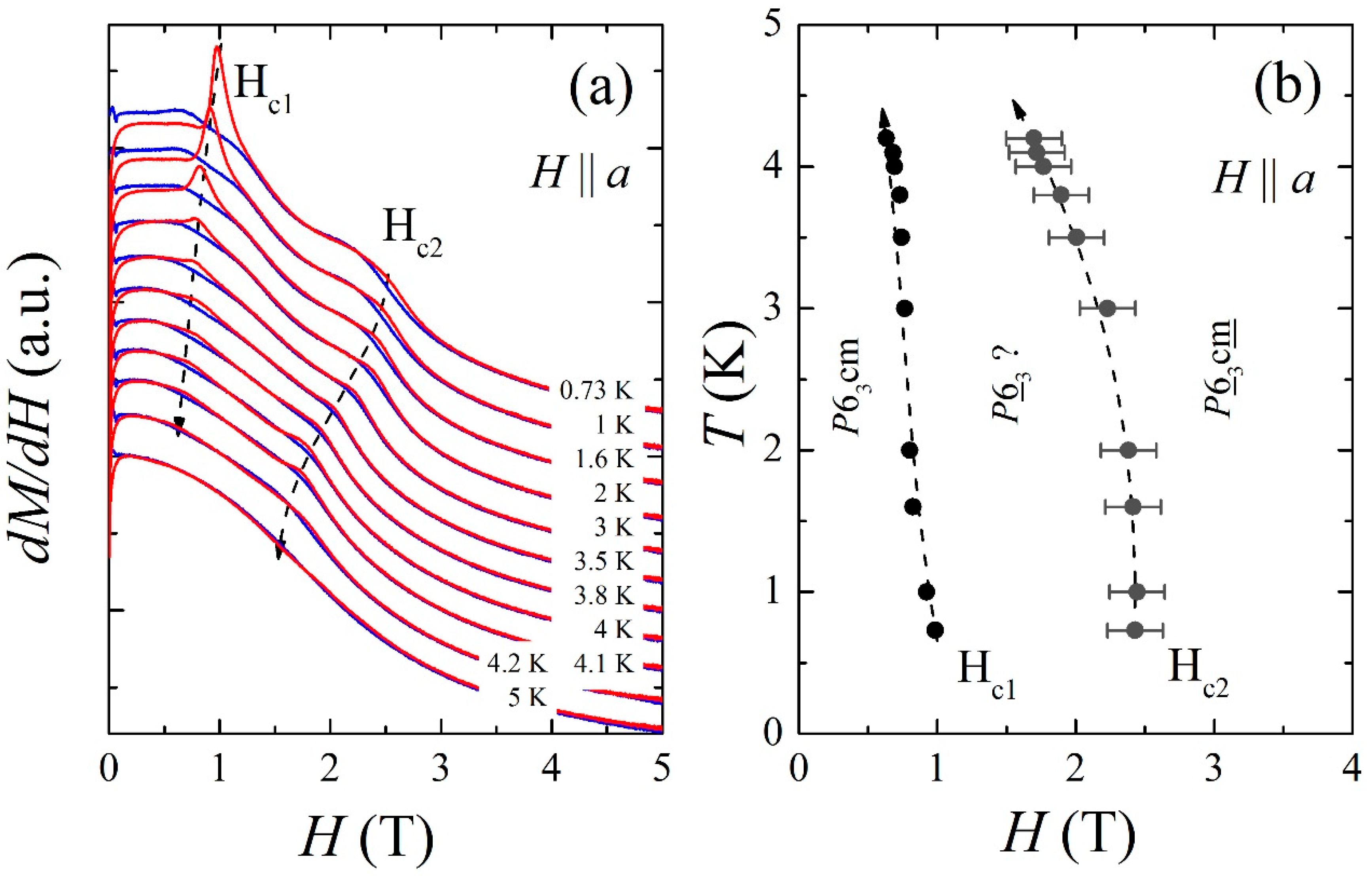
We first study the magnetic transitions for H//a. Figure 3a shows the dM/dH curves from 0.73 to 5 K. It is found that both Hc1 and Hc2 develop well with the temperature and almost disappear at 5 K. The corresponding phase boundaries are shown in the phase diagram of Figure 3b, which was not reported previously. When T is further increased, the two boundaries seem to end at the transition temperature of THo (5.4 K) at H = 0 T because the other two transitions (TSR and TN) appear at much higher temperatures of 32.8 and 76 K, respectively. It is known that the Mn3+ spins strictly orient in the ab plane, whereas the Ho3+ spins are mainly aligned along the c-axis due to a strong uniaxial anisotropy [2,13]. Therefore, we attribute the two transitions in Figure 3a to the magnetic reorientation of the Mn3+ spins in applied a-axis fields. As determined by the SHG experiment [13], magnetic symmetries of the two phases above and below THo are P63cm (Γ3) and P63cm (Γ1), respectively. Since no other transition is observed above THo by our magnetization data, the symmetry of the high-field phase should be the same as the high-temperature phase, i.e., P63cm. For the middle phase between Hc1 and Hc2, however, the magnetic symmetry is not clear at the moment. Interestingly, we find that the two transition fields are approximate to those of the magnetization jumps for H//c. Whether it is an intermediate phase (P63) or not as observed for H//c needs further investigation.
Figure 3.
(a) dM/dH curves measured from 5 to 0.73 K for H//a. The red (blue) curve is for the increasing (decreasing) field. (b) H-T phase diagram for H//a. The error bar indicates the broad peak at Hc2. The dashed lines are guided for eyes.
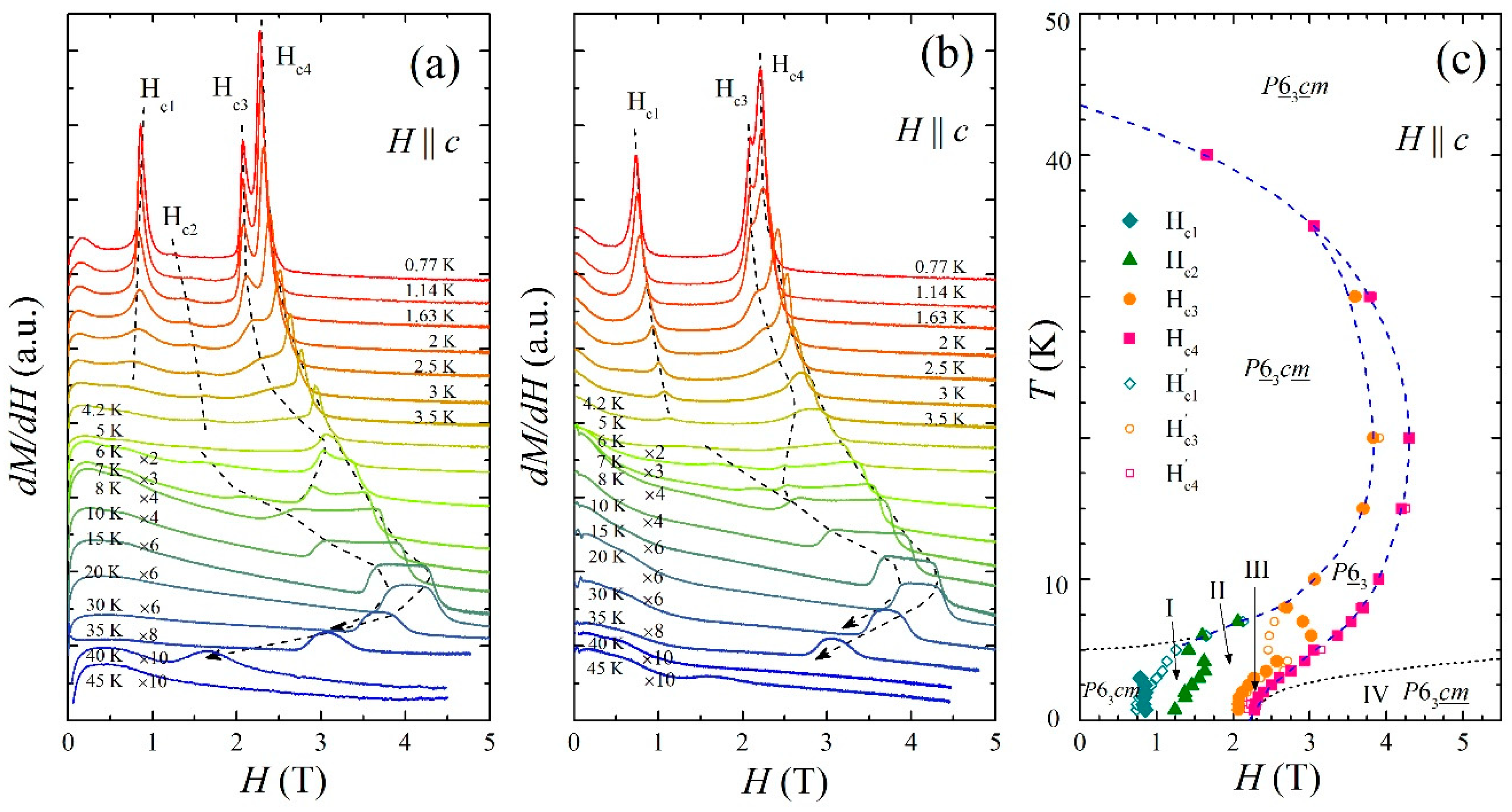
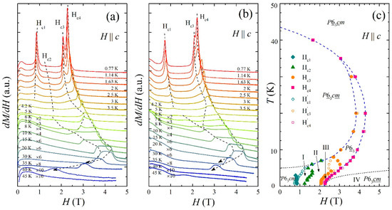
The most important feature of h-HoMnO3 is the successive magnetic transitions for H//c. We performed comprehensive magnetization measurements at temperatures from 45 down to 0.77 K. The derivative dM/dH data are shown in Figure 4a,b. There is a little difference in the low-temperature region between the data of H-increasing and -decreasing processes. It is ambiguous that the evolutions of Hc1 are opposite and Hc2 is almost invisible in the decreasing field. At temperatures above 6 K, the dM/dH curve shows a plateau, which moves firstly to the high field and then to the low field, as indicated by the dashed lines. From the dM/dH anomalies, we summarize the H-T phase diagram of H//c in Figure 4c. At a first glance, a dome-shaped phase (P63cm) below 43 K and an intermediate phase (P63) in a higher field are demonstrated, which are consistent with all early results [5,6,7,8,9,10,11,12]. Note that the phase boundary at 5 K and 0–1 T is not observed in this study. The reason is that this boundary is nearly temperature independent and thus insensitive to our measurement. Upon a close inspection on the low-T region, it looks different from those reported in Refs. [6,7,8,9], but similar to the result derived from the neutron scattering experiment [10,11]. Below 5 K, three phases labeled as I, II, and III appear between Hc1 and Hc4. The puzzling LT1 and LT2 phases determined by a dielectric constant are not observed in our data. Besides, the dielectric constant and susceptibility measurements revealed that Hc3 and Hc4 merged into one multicritical point at 1.4 K [2,7]. However, these two transitions, associated with a critical endpoint at 2.05 T and 2.2 K [18], can be distinguished in our data even down to 0.77 K. Another interesting finding in Figure 4c is the evolution of the Hc3 transition. From the neutron scattering data, Vajk et al. proposed a boundary extending Hc3 to a multicritical point at 7 K and 1.4 T [10,11]. However, this transition seems to end at 3.5 K and 2.5 T, where a first-order transition appears and separates phases II and III from the intermediate phase. It is noteworthy that similar hysteresis effect was observed in the same area by the dielectric constant measurement [6].
Figure 4.
dM/dH curves for H//c measured from 45 to 0.77 K. For clarity, the data for increasing and decreasing fields are shown in (a) and (b), respectively. Dashed lines are guided for eyes. (c) The resulting H-T phase diagram for H//c. Phases I-III are the result in this work, while phase IV and the phase boundaries (dotted lines) show the result obtained in Ref. [8]. The hysteresis effect is observed between phase II and the P63 phase. The change of magnetic symmetry is discussed in the text.
To understand the H//c phase diagram, the role of the Ho3+ spins and their interaction with the Mn3+ spins should be considered. In a zero field, the Ho3+ spins undergo a change of magnetic symmetry from P63cm to P63cm (Γ4→Γ3) at TSR and then another change from P63cm to P63cm (Γ3→Γ1) at THo [10,15]. While following neutron experiment did not find a transition at THo arising from the Ho3+ orderings [14]. For P63cm, all the Ho3+ spins are ordered along the c-axis. Due to a strong uniaxial anisotropy, it is hard to align the Ho3+ spins along the a-axis by magnetic fields. However, as shown in Figure 2c, the magnetic moment for H//a quickly reaches ~9 μB/f.u. at 5 T, much larger than the saturation moment (4.9 μB) of the Mn3+ spins. In the case of P63cm, the Ho3+ spins are disordered and may contribute to a rapid increase in the a-axis magnetization, in agreement with our magnetization data. In Figure 2c, the magnetic moment for H//c is smaller than that for H//a. This is because the Mn3+ spins lying in the ab plane do not contribute much to the c-axis magnetization. For H//c, the Hc3 and Hc4 transitions are accompanied by a large magnetization jump, see Figure 2b. By extrapolating the magnetization data above Hc4 to zero fields, the magnetic moment at 0 T is ~3.1 μB, which is nearly 1/3 of the effective moment of Ho3+ (10.4 μB). Given the four allowed symmetries (Γ1–Γ4) of Ho3+, only Γ2 (P63cm) can realize, such a ferrimagnetic phase. This scenario is similar to the 1/3-magnetization plateau phase in the analog h-RMnO3 (R = Er, Yb) [19]. Based on the above analysis, the variety of Ho3+ spin structures in applied fields is proposed in Figure 5. The Hc5 transition is characterized by other techniques, such as thermal conductivity [17]. A flip of the Ho3+ 2a spins at Hc6 coincides with a step-like transition at ~41 T. The reorientation of spins around Hc6 is not continuous, while it will be continuous above this transition in a higher field. The magnetic structures of phase I–III in Figure 4c remain unclear, which are likely a result of the rotation of the Mn3+ spins triggered by a mutual induction of the Ho3+ and Mn3+ moments [18].
Figure 5.
Proposed magnetic structures of the Ho3+ 2a and 4b lattices in applied c-axis magnetic fields. The Mn3+ spins are not shown because they strictly lie in the ab plane.
4. Summary
Large-sized h-HoMnO3 single crystals were grown by the optical floating zone method. Magnetization measurements up to 62 T show six magnetic transitions for H//c and two magnetic transitions for H//a. By measurements down to ~0.7 K, we construct the phase diagrams of h-HoMnO3 for H//a and H//c, respectively. The variety of the magnetic symmetry of these field-induced phases is also discussed. The obtained phase diagram for H//c is very complex, which makes new insight into those results reported previously.
Author Contributions
Y.L. and W.L. grew the crystals by optical floating zone furnace. R.C. and C.L. oriented the crystals by X-ray single-crystal diffraction and cut the samples. C.D., Y.L., and M.Y. conducted the pulsed-field measurements. H.Z. and J.K. help with the He-3 cryogenic system. C.D., R.C., and J.W. analyzed the data and wrote the manuscript.
Acknowledgments
This work was supported by the National Natural Science Foundation of China (11574098 and U1832214), the Fundamental Research Funds for the Central Universities (2018KFYXKJC005) and the National Key R&D Program of China (2016YFA0401704).
Conflicts of Interest
The authors declare no conflict of interest.
References
- Kindo, K.; Motokawa, M.; De Boer, F. Field-induced magnetic phase transitions. In High Magnetic Fields: Science and Technology: Theory and Experiments II; World Scientific: River Edge, NJ, USA, 2006; Volume 3, pp. 125–148. [Google Scholar]
- Lorenz, B. Hexagonal manganites-(RMnO3): Class (I) multiferroics with strong coupling of magnetism and ferroelectricity. ISRN Condens. Matter Phys. 2013. [Google Scholar] [CrossRef]
- Hur, N.; Jeong, I.; Hundley, M.; Kim, S.; Cheong, S.-W. Giant magnetoelectric effect in multiferroic HoMnO3 with a high ferroelectric transition temperature. Phys. Rev. B 2009, 79, 134120. [Google Scholar] [CrossRef]
- Yen, F.; Dela Cruz, C.; Lorenz, B.; Galstyan, E.; Sun, Y.; Gospodinov, M.; Chu, C. Magnetic phase diagrams of multiferroic hexagonal RMnO3 (R = Er, Yb, Tm, and Ho). J. Mat. Res. 2007, 22, 2163–2173. [Google Scholar] [CrossRef]
- Lorenz, B.; Litvinchuk, A.; Gospodinov, M.; Chu, C. Field-Induced reentrant novel phase and a ferroelectric-magnetic order ooupling in HoMnO3. Phys. Rev. Lett. 2004, 92, 087204. [Google Scholar] [CrossRef] [PubMed]
- Yen, F.; Dela Cruz, C.; Lorenz, B.; Sun, Y.; Wang, Y.; Gospodinov, M.; Chu, C. Low-temperature dielectric anomalies in HoMnO3: The complex phase diagram. Phys. Rev. B 2005, 71, 180407. [Google Scholar] [CrossRef]
- Lorenz, B.; Yen, F.; Gospodinov, M.; Chu, C. Field-induced phases in HoMnO3 at low temperatures. Phys. Rev. B 2005, 71, 014438. [Google Scholar] [CrossRef]
- Lemyre, J.C.; Poirier, M.; Pinsard-Gaudart, L.; Revcolevschi, A. Microwave investigation of the phase diagram of hexagonal multiferroic HoMnO3. Phys. Rev. B 2009, 79, 094423. [Google Scholar] [CrossRef]
- Poirier, M.; Lemyre, J.C.; Lahaie, P.-O.; Pinsard-Gaudart, L.; Revcolevschi, A. Enhanced magnetoelastic coupling in hexagonal multiferroic HoMnO3. Phys. Rev. B 2011, 83, 054418. [Google Scholar] [CrossRef]
- Vajk, O.; Kenzelmann, M.; Lynn, J.; Kim, S.; Cheong, S.-W. Magnetic order and spin dynamics in ferroelectric HoMnO3. Phys. Rev. Lett. 2005, 94, 087601. [Google Scholar] [CrossRef] [PubMed]
- Vajk, O.; Kenzelmann, M.; Lynn, J.; Kim, S.; Cheong, S.-W. Neutron-scattering studies of magnetism in multiferroic HoMnO3. J. Appl. Phys. 2006, 99, 08E301. [Google Scholar] [CrossRef]
- Fiebig, M.; Fröhlich, D.; Kohn, K.; Lottermoser, T.; Pavlov, V.; Pisarev, R. Determination of the magnetic symmetry of hexagonal manganites by second harmonic generation. Phys. Rev. Lett. 2000, 84, 5620. [Google Scholar] [CrossRef] [PubMed]
- Fiebig, M.; Lottermoser, T.; Pisarev, R.V. Spin-rotation phenomena and magnetic phase diagrams of hexagonal RMnO3. J. Appl. Phys. 2003, 93, 8194–8196. [Google Scholar] [CrossRef]
- Brown, P.; Chatterji, T. Neutron diffraction and polarimetric study of the magnetic and crystal structures of HoMnO3 and YMnO3. J. Phys. Condens. Matter 2006, 18, 10085. [Google Scholar] [CrossRef]
- Nandi, S.; Kreyssig, A.; Tan, L.; Kim, J.; Yan, J.; Lang, J.; Haskel, D.; McQueeney, R.; Goldman, A. Nature of Ho magnetism in multiferroic HoMnO3. Phys. Rev. Lett. 2008, 100, 217201. [Google Scholar] [CrossRef] [PubMed]
- Fan, C.; Zhao, Z.; Song, J.; Wu, J.; Zhang, F.; Sun, X. Single crystal growth of the hexagonal manganites RMnO3 (R= rare earth) by the optical floating-zone method. J. Cryst. Growth 2014, 388, 54–60. [Google Scholar] [CrossRef]
- Song, J.; Fan, C.; Zhao, Z.; Zhang, F.; Zhao, J.; Liu, X.; Zhao, X.; Liu, Y.; Wang, J.; Sun, X. Magnetization, specific heat, and thermal conductivity of hexagonal ErMnO3 single crystals. Phys. Rev. B 2017, 96, 174425. [Google Scholar] [CrossRef]
- Choi, Y.J.; Lee, N.; Sharma, P.; Kim, S.; Vajk, O.; Lynn, J.; Oh, Y.; Cheong, S.-W. Giant magnetic fluctuations at the critical endpoint in insulating HoMnO3. Phys. Rev. Lett. 2013, 110, 157202. [Google Scholar] [CrossRef]
- Liu, Y.; Wang, J.; Sun, X.; Zhou, J.-S.; Xia, Z.; Ouyang, Z.; Yang, M.; Liu, C.; Chen, R.; Cheng, J.-G. High-field phase diagram and phase transitions in hexagonal manganite ErMnO3. Phys. Rev. B 2018, 97, 214419. [Google Scholar] [CrossRef]
© 2019 by the authors. Licensee MDPI, Basel, Switzerland. This article is an open access article distributed under the terms and conditions of the Creative Commons Attribution (CC BY) license (http://creativecommons.org/licenses/by/4.0/).




