Graphene Imaging Using Scanning Electron Microscopy: Mechanism of Secondary Electron Contrast Formation
Abstract
1. Introduction
- Introduction
- Types of SEM Instrument Used for Graphene Imaging
- Ex Situ Imaging of Graphene
- 3.1
- Graphene on SiO2
- 3.2
- Graphene on metals
- 3.3
- Effect of metal oxidation
- 3.4
- Effect of layer stacking
- In Situ Imaging of Graphene
- 4.1
- Segregation process
- 4.2
- Chemical vapor deposition process
- 4.3
- Graphene contrast in in situ observation: Effect of detector
- Challenges and Perspectives
- Conclusions
2. Types of SEM Instruments Used for Graphene Imaging
3. Ex Situ Imaging of Graphene
3.1. Graphene on SiO2
3.2. Graphene on Metals
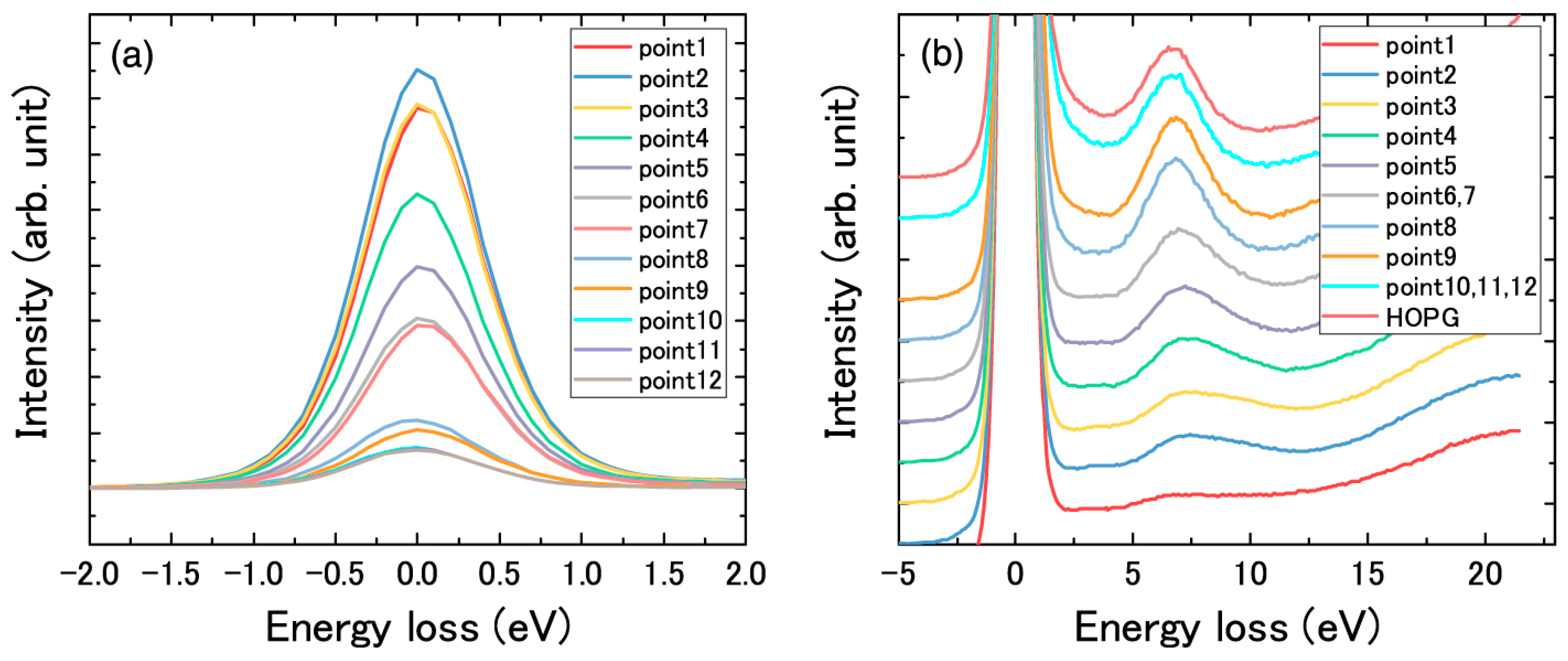
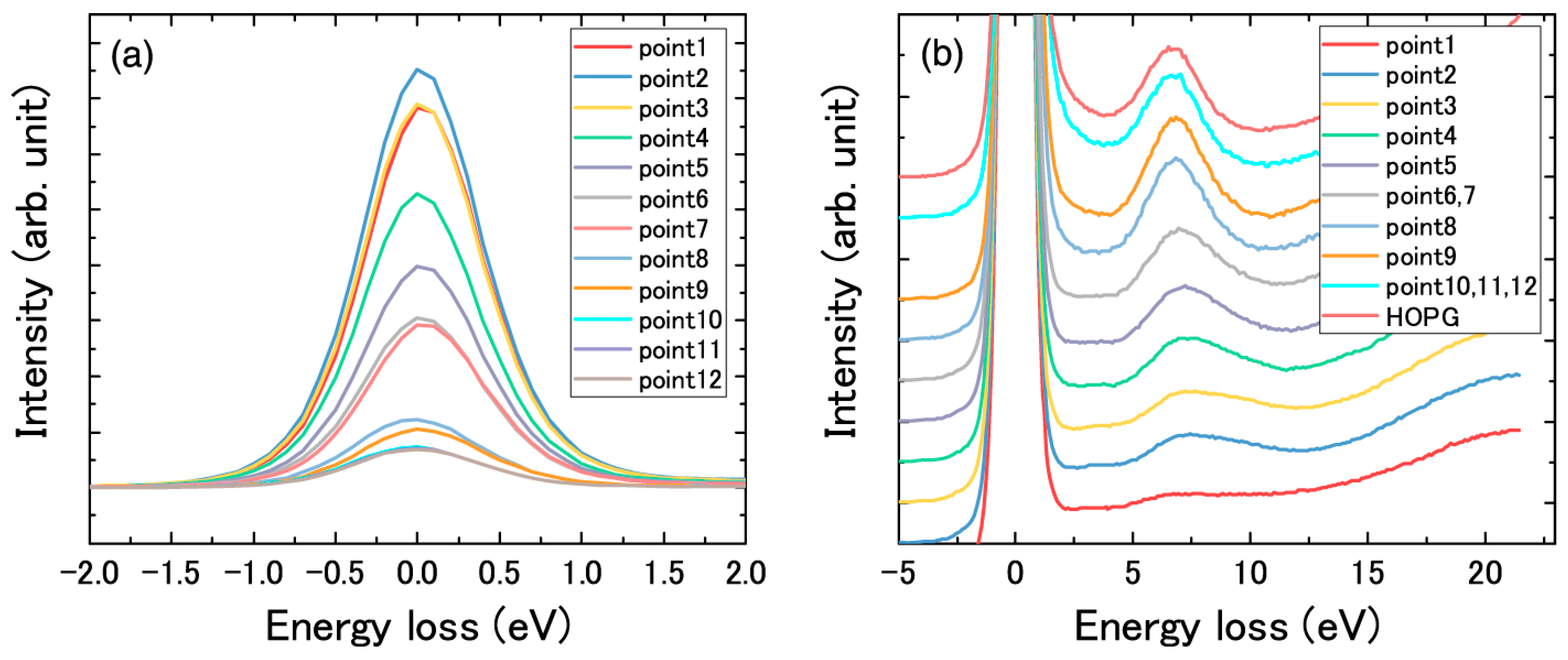
3.3. Effect of Metal Oxidation
3.4. Effect of Layer Stacking
4. In Situ Imaging of Graphene
4.1. Segregation Process
4.2. Chemical Vapor Deposition Process
4.3. Graphene Contrast in In Situ Observation: Effect of Detector
5. Challenges and Perspectives
6. Conclusions
Funding
Data Availability Statement
Acknowledgments
Conflicts of Interest
Abbreviations
| BSE | Backscattered electron |
| CVD | Chemical vapor deposition |
| SE | Secondary electron |
| SEM | Scanning electron microscopy |
References
- Geim, A.K.; Novoselov, K.S. The rise of graphene. Nat. Mater. 2007, 6, 183–191. [Google Scholar] [CrossRef] [PubMed]
- Castro Neto, A.H.; Guinea, F.; Peres, N.M.R.; Novoselov, K.S.; Geim, A.K. The electronic properties of graphene. Rev. Mod. Phys. 2009, 81, 109–1162. [Google Scholar] [CrossRef]
- Allen, M.J.; Tung, V.C.; Kaner, R.B. Honeycomb Carbon: A Review of Graphene. Chem. Rev. 2010, 110, 132–145. [Google Scholar] [CrossRef]
- Urade, A.R.; Lahiri, I.; Suresh, K.S. Graphene Properties, Synthesis and Applications: A Review. JOM 2023, 75, 614–630. [Google Scholar] [CrossRef]
- Choi, S.H.; Yun, S.J.; Won, Y.S.; Oh, C.S.; Kim, S.M.; Kim, K.K.; Lee, Y.H. Large-scale synthesis of graphene and other 2D materials towards industrialization. Nat. Commun. 2022, 13, 1484. [Google Scholar] [CrossRef]
- Huang, M.; Ruoff, R.S. Growth of Single-Layer and Multilayer Graphene on Cu/Ni Alloy Substrates. Acc. Chem. Res. 2020, 53, 800–811. [Google Scholar] [CrossRef] [PubMed]
- Tau, O.; Lovergine, N.; Prete, P. Adsorption and decomposition steps on Cu(111) of liquid aromatic hydrocarbon precursors for low-temperature CVD of graphene: A DFT study. Carbon 2023, 206, 142–149. [Google Scholar] [CrossRef]
- Tau, O.; Lovergine, N.; Prete, P. Molecular decomposition reactions and early nucleation in CVD growth of graphene on Cu and Si substrates from toluene. In Proceedings of the SPIE Optics + Photonics 2024-Nanoscience + Engineering Symposium, San Diego, CA, USA, 18–23 August 2024; Volume 13114. [Google Scholar]
- Novoselov, K.S.; Geim, A.K.; Morozov, S.V.; Yiang, D.; Zhang, Y.; Dubonos, S.V. Electric Field Effect in Atomically Thin Carbon Films. Science 2004, 306, 666–669. [Google Scholar] [CrossRef]
- Terasawa, T.; Saiki, K. Radiation-mode optical microscopy on the growth of graphene. Nat. Commun. 2015, 7, 834. [Google Scholar] [CrossRef]
- Loginova, E.; Nie, S.; Thürmer, K.; Bartelt, N.C.; McCarty, K.F. Defects of graphene on Ir(111): Rotational domains and ridges. Phys. Rev. B 2009, 80, 085430. [Google Scholar] [CrossRef]
- Sutter, P.; Sadowski, J.T.; Sutter, E. Graphene on Pt(111): Growth and substrate interaction. Phys. Rev. B 2009, 80, 245411. [Google Scholar] [CrossRef]
- Wofford, J.M.; Nie, S.; McCarty, K.F.; Bartelt, N.C.; Dubon, O.D. Graphene Islands on Cu Foils: The Interplay between Shape, Orientation, and Defects. Nano Lett. 2010, 10, 4890–4896. [Google Scholar] [CrossRef]
- Odahara, G.; Hibino, H.; Nakayama, N.; Shimbata, T.; Oshima, C.; Otani, S.; Suzuki, M.; Yasue, T.; Koshikawa, T. Macroscopic Single-Domain Graphene Growth on Polycrystalline Nickel Surface. Appl. Phys. Express 2012, 5, 035501. [Google Scholar] [CrossRef]
- Hibino, H.; Kageshima, H.; Nagase, M. Epitaxial few-layer graphene: Towards single crystal growth. J. Phys. D Appl. Phys. 2010, 43, 374005. [Google Scholar] [CrossRef]
- Reimer, L. Scanning Electron Microscopy: Physics of Image Formation and Microanalysis, 2nd ed.; Springer: Berlin/Heidelberg, Germany, 1998. [Google Scholar]
- Homma, Y.; Suzuki, M.; Tomita, M. Atomic Configuration Dependent Secondary Electron Emission from Reconstructed Silicon Surfaces. Appl. Phys. Lett. 1993, 62, 3276–3278. [Google Scholar] [CrossRef]
- Homma, Y.; Hibino, H.; Ogino, T.; Aizawa, N. Sublimation of Si(111) Surface in Ultrahigh Vacuum. Phys. Rev. B 1997, 55, R10237. [Google Scholar] [CrossRef]
- Finnie, P.; Homma, Y. Dynamics, Interactions, and Collisions of Atomic Steps on Si(111) in Sublimation. Phys. Rev. Lett. 1999, 82, 2737–2740. [Google Scholar] [CrossRef]
- Homma, Y.; Hibino, H.; Kunii, Y.; Ogino, T. Transformation of surface structures on vicinal Si(111) during heating. Surf. Sci. 2000, 445, 327–334. [Google Scholar] [CrossRef]
- Homma, Y.; Osaka, J.; Inoue, N. In-situ Observation of Monolayer Steps During Molecular Beam Epitaxy of Gallium Arsenide by Scanning Electron Microscopy. Jpn. J. Appl. Phys. 1994, 33, L563–L566. [Google Scholar] [CrossRef]
- Yamaguchi, Y.; Homma, Y. Imaging of Layer by Layer Growth Processes During Molecular Beam Epitaxy of GaAs on (111)A Substrates by Scanning Electron Microscopy. Appl. Phys. Lett. 1998, 73, 3079–3081. [Google Scholar] [CrossRef]
- Finnie, P.; Homma, Y. Nucleation and step flow on ultraflat silicon. Phys. Rev. B 2000, 62, 8313–8317. [Google Scholar] [CrossRef]
- Homma, Y.; Finnie, P.; Uwaha, M. Morphological Instability of Atomic Steps Observed on Si(111) Surfaces. Surf. Sci. 2001, 492, 125–136. [Google Scholar] [CrossRef]
- Hiura, H.; Miyazaki, H.; Tsukagoshi, K. Determination of the Number of Graphene Layers: Discrete Distribution of the Secondary Electron Intensity Stemming from Individual Graphene Layers. Appl. Phys. Express 2010, 3, 095101. [Google Scholar] [CrossRef]
- Kochat, V.; Pal, A.N.; Sneha, E.S.; Sampathkumar, A.; Gairola, A.; Shivashankar, S.A.; Raghavan, S.; Ghosh, A. High contrast imaging and thickness determination of graphene with in-column secondary electron microscopy. J. Appl. Phys. 2011, 110, 014315. [Google Scholar] [CrossRef]
- Zhou, Y.; Fox, D.S.; Maguire, P.; O’Connell, R.; Masters, R.; Rodenburg, C.; Wu, H.; Dapor, M.; Chen, Y.; Zhang, H. Quantitative secondary electron imaging for work function extraction at atomic level and layer identification of graphene. Sci. Rep. 2016, 6, 21045. [Google Scholar] [CrossRef]
- Robertson, A.W.; Warner, J.H. Hexagonal Single Crystal Domains of Few-Layer Graphene on Copper Foils. Nano Lett. 2011, 11, 1182–1189. [Google Scholar] [CrossRef]
- Luo, Z.; Kim, S.; Kawamoto, N.; Rappe, A.M.; Johnson, A.T.C. Growth Mechanism of Hexagonal-Shape Graphene Flakes with Zigzag Edges. ACS Nano 2011, 5, 9154–9160. [Google Scholar] [CrossRef] [PubMed]
- Han, G.H.; Günes, F.; Bae, J.J.; Kim, E.S.; Chae, S.J.; Shin, H.-J.; Choi, J.-Y.; Pribat, D.; Lee, Y.H. Influence of Copper Morphology in Forming Nucleation Seeds for Graphene Growth. Nano Lett. 2011, 11, 4144–4148. [Google Scholar] [CrossRef] [PubMed]
- Weatherup, R.S.; Bayer, B.C.; Blume, R.; Ducati, C.; Baehtz, C.; Schloegl, R.; Hofmann, S. In Situ Characterization of Alloy Catalysts for Low-Temperature Graphene Growth. Nano Lett. 2011, 11, 4154–4160. [Google Scholar] [CrossRef] [PubMed]
- Yang, F.; Liu, Y.; Wu, W.; Chen, W.; Gao, L.; Sun, J. A facile method to observe graphene growth on copper foil. Nanotechnology 2012, 23, 475705. [Google Scholar] [CrossRef]
- Zhao, P.; Kumamoto, A.; Kim, S.; Chen, X.; Hou, B.; Chiashi, S.; Einarsson, E.; Ikuhara, Y.; Maruyama, S. Self-Limiting Chemical Vapor Deposition Growth of Monolayer Graphene from Ethanol. J. Phys. Chem. C 2013, 117, 10755–10763. [Google Scholar] [CrossRef]
- Shima, M.; Kato, H.; Shihommatsu, K.; Homma, Y. Determination of absolute number of graphene layers on nickel substrate with scanning Auger microprobe. Appl. Phys. Express 2020, 13, 015502. [Google Scholar] [CrossRef]
- Takahashi, K.; Yamada, K.; Kato, K.; Hibino, H.; Homma, Y. In situ scanning electron microscopy of graphene growth on polycrystalline Ni substrate. Surf. Sci. 2012, 606, 728–732. [Google Scholar] [CrossRef]
- Momiuchi, Y.; Yamada, K.; Kato, H.; Homma, Y.; Hibino, H.; Odahara, G.; Oshima, C. In situ scanning electron microscopy of graphene nucleation during segregation of carbon on polycrystalline Ni substrate. J. Phys. D Appl. Phys. 2014, 47, 455301. [Google Scholar] [CrossRef]
- Shihommatsu, K.; Takahashi, J.; Momiuchi, Y.; Hoshi, Y.; Kato, H.; Homma, Y. Formation Mechanism of Secondary Electron Contrast of Graphene Layers on a Metal Substrate. ACS Omega 2017, 2, 7831–7836. [Google Scholar] [CrossRef]
- Inoue, E.; Shihommatsu, K.; Takahashi, J.; Kato, H.; Homma, Y. Characterization of Au intercalation at the interface of graphene/polycrystalline Ni substrate. Surf. Sci. 2020, 700, 121613. [Google Scholar] [CrossRef]
- Kidambi, P.R.; Bayer, B.C.; Blume, R.; Wang, Z.-J.; Baehtz, C.; Weatherup, R.S.; Willinger, M.-G.; Schloegl, R.; Hofmann, S. Observing Graphene Grow: Catalyst−Graphene Interactions during Scalable Graphene Growth on Polycrystalline Copper. Nano Lett. 2013, 13, 4769–4778. [Google Scholar] [CrossRef] [PubMed]
- Wang, Z.-J.; Weinberg, G.; Zhang, Q.; Lunkenbein, T.; Klein-Hoffmann, K.; Kurnatowska, M.; Plodinec, M.; Li, Q.; Chi, L.; Schloegl, R.; et al. Direct Observation of Graphene Growth and Associated Copper Substrate Dynamics by In Situ Scanning Electron Microscopy. ACS Nano 2015, 9, 1506–1519. [Google Scholar] [CrossRef]
- Wang, Z.-J.; Dong, J.; Cui, Y.; Eres, G.; Timpe, O.; Fu, Q.; Ding, F.; Schloegl, R.; Willinger, M.-G. Stacking Sequence and Interlayer Coupling in Few-layer Graphene Revealed by In Situ Imaging. Nat. Commun. 2016, 7, 13256. [Google Scholar] [CrossRef]
- Weatherup, R.S.; Shahani, A.J.; Wang, Z.-J.; Mingard, K.; Pollard, A.J.; Willinger, M.-G.; Schloegl, R.; Voorhees, P.W.; Hofmann, S. In Situ Graphene Growth Dynamics on Polycrystalline Catalyst Foils. Nano Lett. 2016, 16, 6196–6206. [Google Scholar] [CrossRef] [PubMed]
- Wang, Z.-J.; Dong, J.; Li, L.; Dong, G.; Cui, Y.; Yang, Y.; Wei, W.; Blume, R.; Li, Q.; Wang, L.; et al. The Coalescence Behavior of Two-Dimensional Materials Revealed by Multiscale In Situ Imaging during Chemical Vapor Deposition Growth. ACS Nano 2020, 14, 1902–1918. [Google Scholar] [CrossRef]
- Wang, H.; Yamada, C.; Homma, Y. Scanning electron microscopy imaging mechanisms of CVD-grown graphene on Cu substrate revealed by in situ observation. Jpn. J. Appl. Phys. 2015, 54, 050301. [Google Scholar] [CrossRef]
- Hoshi, Y.; Takahashi, J.; Wang, H.; Kato, H.; Homma, Y. Crossover of 2D graphene and 3D carbon island growth on Cu-In alloy surface. Surf. Sci. 2018, 670, 72–75. [Google Scholar] [CrossRef]
- Hashimoto, Y.; Takeuchi, S.; Sunaoshi, T.; Yamazawa, Y. Voltage contrast imaging with energy filtered signal in a field-emission scanning electron microscope. Ultramicroscopy 2020, 209, 112889. [Google Scholar] [CrossRef]
- Jaksch, H.; Martin, J.P. High-resolution, low-voltage SEM for true surface imaging and analysis. Fresenius J. Anal. Chem. 1995, 353, 378–382. [Google Scholar]
- Everhardt, T.E.; Thornley, R.F. Wide-band detector for micro-microampere low-energy electron currents. J. Sci. Instrum. 1960, 37, 246–248. [Google Scholar] [CrossRef]
- Tsurumi, D.; Hamada, K.; Kawasaki, Y. Energy-filtered imaging in a scanning electron microscope for dopant contrast in InP. J. Electron Microsc. 2010, 59 (Suppl. 1), S183–S187. [Google Scholar] [CrossRef] [PubMed]
- Tandokoro, K.; Nagoshi, M.; Kawano, T.; Sato, K.; Tsuno, K. Low-voltage SEM contrasts of steel surface studied by observations and electron trajectory simulations for GEMINI lens system. Microscopy 2018, 67, 274–279. [Google Scholar] [CrossRef]
- Joy, D.C.; Joy, C.S. Dynamic Charging in the Low Voltage SEM. Microsc. Microanal. 1995, 1, 109–112. [Google Scholar] [CrossRef]
- Homma, Y.; Suzuki, S.; Kobayashi, Y.; Nagase, M.; Takagi, D. Mechanism of bright selective imaging of single-walled carbon nanotubes on insulators by scanning electron microscopy. Appl. Phys. Lett. 2004, 84, 1750–1752. [Google Scholar] [CrossRef]
- Ferrari, A.C.; Meyer, J.C.; Scardaci, V.; Casiraghi, C.; Lazzeri, M.; Mauri, F.; Piscanec, S.; Jiang, D.; Novoselov, K.S.; Roth, S.; et al. Raman spectrum of graphene and graphene layers. Phys. Rev. Lett. 2006, 97, 187401. [Google Scholar] [CrossRef]
- Hilleret, H.; Scheuerlein, C.; Taborelli, M. The secondary-electron yield of air-exposed metal surfaces. Appl. Phys. A 2003, 76, 1085–1091. [Google Scholar] [CrossRef]
- Chen, S.S.; Brown, L.; Levendorf, M.; Cai, W.W.; Ju, S.Y.; Edgeworth, J.; Li, X.S.; Magnuson, C.W.; Velamakanni, A.; Piner, R.D.; et al. Oxidation Resistance of Graphene-Coated Cu and Cu/Ni Alloy. ACS Nano 2011, 5, 1321–1327. [Google Scholar] [CrossRef]
- Chen, S.; Xu, J.; Huang, D.; Zhang, W.; Zhang, T.; Xiong, L.; Fan, X. Effect of Deposition Parameters for Ni-Au Coatings on Corrosion Protection Properties of 2A12 Aluminum Alloy. Materials 2025, 18, 969. [Google Scholar] [CrossRef]
- Walker, C.G.H.; El-Gomati, M.M.; Assa’d, A.M.D.; Zadražil, M. The Secondary Electron Emission Yield for 24 Solid Elements Excited by Primary Electrons in the Range 250–5000 eV: A Theory/Experiment Comparison. Scanning 2008, 30, 365–380. [Google Scholar] [CrossRef]
- Shelton, J.C.; Patil, H.R.; Blakely, J.M. Equilibrium segregation of carbon to a nickel (111) surface: A surface phase transition. Surf. Sci. 1974, 43, 493–520. [Google Scholar] [CrossRef]
- Eizenberg, M.; Blakely, J.M. Carbon monolayer phase condensation on Ni(111). Surf. Sci. 1979, 82, 228–236. [Google Scholar] [CrossRef]
- Takahashi, J.; Ueyama, T.; Kamei, K.; Kato, H.; Homma, Y. Experimental and theoretical studies on the surface morphology variation of a Ni substrate by graphene growth. J. Appl. Phys. 2021, 129, 024302. [Google Scholar] [CrossRef]
- Riccardi, P.; Cupolillo, A.; Pisarra, M.; Sindona, A.; Caputi, L.S. Primary energy dependence of secondary electron emission from graphene adsorbed on Ni(111). Appl. Phys. Lett. 2012, 101, 183102. [Google Scholar] [CrossRef]
- Cao, M.; Zhang, X.-S.; Liu, W.-H.; Wang, H.-G.; Li, Y.-D. Secondary electron emission of graphene-coated copper. Diam. Relat. Mater. 2017, 73, 199–203. [Google Scholar] [CrossRef]
- Nguyen, H.K.A.; Mankowski, J.; Dickens, J.C.; Neuber, A.A.; Joshia, R.P. Calculations of secondary electron yield of graphene coated copper for vacuum electronic applications. AIP Adv. 2018, 8, 015325. [Google Scholar] [CrossRef]
- Ueda, Y.; Suzuki, Y.; Watanabe, K. Time-dependent first-principles study of angle-resolved secondary electron emission from atomic sheets. Phys. Rev. B 2018, 97, 075406. [Google Scholar] [CrossRef]





















| Substrate | Ref. No. | Fig. No. | Instrument | Energy (keV) | Detector | Type * |
|---|---|---|---|---|---|---|
| Oxide surface, ex situ | ||||||
| SiO2/Si, mica, sapphire | [25] | 4 | Keyence VE-9800 | 1 | E-T | I |
| SiO2/Si, TiOx/Si | [26] | 3 | Carl Zeiss SIGMA | 0.5–5 | in-column | III |
| SiO2/Si | [27] | 2 | Carl Zeiss Supra | 5 | in-column | III |
| Metal surface, ex situ | ||||||
| Cu | [28] | 1 | ? | ? | ? | ? |
| Cu | [29] | 1 | ? | ? | ? | ? |
| Cu | [30] | 2 | JEOL7100F, JEOL7600F | ? | in-column | II |
| Ni, Au-Ni | [31] | 1 | FEI Philips XL30s | 1 | E-T | I |
| Cu | [32] | 1 | Hitachi S-4800 | 1 | in-column | II |
| Cu | [33] | 2 | Hitachi S-4800 | 5 | in-column | II |
| Ni | [34] | 1, 2 | JEOL JAMP-9510F | 1.5 | HSA ** | AES *** |
| Segregation on metal, in situ | ||||||
| Ni, 850 °C | [35] | 1, 3 | Carl Zeiss LEO 1530 VP | 1.5 | in-column | III |
| Ni, 850 °C | [36] | 1, 3 | Carl Zeiss LEO 1530 VP | 1.45 | in-column | III |
| Ni, 850 °C | [37] | 1 | Carl Zeiss LEO 1530 VP | 1.45 | in-column/ out-lens | III |
| Ni, 850 °C | [38] | 1 | Carl Zeiss LEO 1530 VP | 1.45 | in-column/ out-lens | III |
| CVD on metal, in situ | ||||||
| Cu, 900 °C | [39] | 2 | FEI Quantum 200 | 5 | E-T | I |
| Cu, 1000 °C | [40] | 2, 3 | FEI Quantum 200 | 5 | E-T | I |
| Pt, 900 °C | [41] | 1 | FEI Quantum 200 | 5.0–7.5 | E-T | I |
| Pt, 900 °C | [42] | 1 | FEI Quantum 200 | 5 | E-T | I |
| Pt, Rh, 900 °C | [43] | 4, 7 | FEI Quantum 200 | 5.0–7.5 | E-T | I |
| Cu, 300–500 °C | [44] | 2 | Carl Zeiss LEO 1530 VP | 1.45 | in-column | III |
| Cu-In, 800 °C | [45] | 3 | Carl Zeiss LEO 1530 VP | 1.45 | in-column | III |
Disclaimer/Publisher’s Note: The statements, opinions and data contained in all publications are solely those of the individual author(s) and contributor(s) and not of MDPI and/or the editor(s). MDPI and/or the editor(s) disclaim responsibility for any injury to people or property resulting from any ideas, methods, instructions or products referred to in the content. |
© 2025 by the author. Licensee MDPI, Basel, Switzerland. This article is an open access article distributed under the terms and conditions of the Creative Commons Attribution (CC BY) license (https://creativecommons.org/licenses/by/4.0/).
Share and Cite
Homma, Y. Graphene Imaging Using Scanning Electron Microscopy: Mechanism of Secondary Electron Contrast Formation. Crystals 2025, 15, 1025. https://doi.org/10.3390/cryst15121025
Homma Y. Graphene Imaging Using Scanning Electron Microscopy: Mechanism of Secondary Electron Contrast Formation. Crystals. 2025; 15(12):1025. https://doi.org/10.3390/cryst15121025
Chicago/Turabian StyleHomma, Yoshikazu. 2025. "Graphene Imaging Using Scanning Electron Microscopy: Mechanism of Secondary Electron Contrast Formation" Crystals 15, no. 12: 1025. https://doi.org/10.3390/cryst15121025
APA StyleHomma, Y. (2025). Graphene Imaging Using Scanning Electron Microscopy: Mechanism of Secondary Electron Contrast Formation. Crystals, 15(12), 1025. https://doi.org/10.3390/cryst15121025

