Abstract
The positron annihilation lifetimes were measured using a V positron source in noncentrosymmetric cubic single crystals of CoSi, FeSi and MnSi. The following lifetimes were determined from the positron annihilation time spectra: 168(1) ps for CoSi, 114(1) ps for FeSi and 111(1) ps for MnSi. For single-crystal CoSi, the positron annihilation lifetime was also determined with a Na positron source. For CoSi, the lifetimes obtained from different positron sources are consistent. The differences in the positron annihilation lifetimes in MnSi and FeSi, on the one hand, and in the Weyl semimetal CoSi, on the other hand, are possibly caused by the formation of a positron + electron bound state (positronium).
1. Introduction
Positronium (Ps) is a purely lepton bound state consisting of an electron and a positron [1,2]. As the simplest electromagnetically bound state, it is an ideal system for studying in quantum electrodynamics. Ps can exist either in a spin-singlet (para(p)–Ps) state or in a spin-triplet (ortho(o)–Ps) state. In vacuum, these states have an average lifetime of 0.125 ns and 142 ns, respectively [3,4]. The Ps lifetimes in solids differ from their values in vacuum due to the many-particle Coulomb interaction. For example, in the -SiO single crystal, the lifetime of p-Ps amounts to ps [5]. The formation of Ps both on the surface of a solid [6] and in the bulk [7] depends on the electronic structure near the Fermi level of the sample under study. In studying the formation of Ps in multilayer graphene, grown on a polycrystalline copper substrate, it has been found that Ps in graphene and Ps on the surface of copper are different [8]. On the other hand, it is well known that the electronic structure of graphene, characterized by the presence of quasi-two-dimensional Dirac fermions, gives rise to a discovery of Weyl semimetals that contain massless Dirac–Weyl fermions in three dimensions [9,10,11,12,13,14].
This suggests that the formation of Ps can also be expected in single crystals of Weyl semimetals, including, in particular, CoSi, RhSi, RhSn, and PtAl [15,16,17,18,19], which are crystallized in the noncentrosymmetric structure of the FeSi-type (the space group). In addition, in these quantum materials, such unusual objects as chiral fermions have been found. For CoSi and RhSi, the existence of two types of chiral fermions with nonzero Chern numbers was confirmed: spin-1 and charge-2. Ab initio calculations [20] showed that their band structure near the Fermi energy () has a threefold degenerate point at the point and a fourfold degenerate point at the R point of the Brilloin zone. It is also worth mentioning that in CoSi and RhSi the topological superconductivity was theoretically predicted in Ref. [21]. New spin-related transport properties of these unconventional chiral fermionic semimetals make them very promising for future spintronic and spin caloritronics applications [22], while the quantum combination of topological and optical properties can be used for new information technologies [23].
The electronic properties of CoSi are often compared with those of MnSi and FeSi. Notice that, since Mn, Fe and Co are consecutive elements of the same row in the periodic table, in going from Mn to Fe and then to Co, the electron band acquires more electrons and the Fermi energy () is increased. As a result, in FeSi, the added electron populates the unoccupied states below the energy gap, while in CoSi the extra electron is accommodated by filling electron states above the gap, with reaching a three-fold degenerate state at the point and a four-fold degenerate level at the R point [24]. Correspondingly, one observes a change in properties from the helicoid magnet MnSi [25] through the formation of the Kondo state in FeSi [26] to the chiral diamagnetic Weyl semimetal ground state in CoSi. This change, caused by differences in the electronic band structure near the Fermi level, can be probed by positron annihilation, and, in this paper, we present our results of the positron lifetime annihilation spectroscopy (PALS) study performed in CoSi, FeSi, and MnSi single crystals.
Usually, the positron annihilation rate (inversely proportional to the annihilation lifetime ) is determined by the overlap of the positron and electron densities in the localization region: , where is the classical electron radius, whereas describes the increase in the electron density as a result of the mutual Coulomb attraction of the electron and the positron [27]. For performing PALS experiments in laboratories, the preferred source of positrons is usually NaCl on thin metal (Ni, Al) or polymer foil (Kapton, Mylar). However, the monosilicides MnSi, FeSi and CoSi have already been studied using this source or accelerator beams [28,29,30,31]. In this work, as a source of positrons, we have decided to use the V isotope in titanium foil with a half-life 16 days, which makes PALS measurements more convenient and environmentally friendly. First, titanium has a high melting point (1668 °C), which makes it possible to use the obtained source in various experiments at high temperatures (for example, in liquid metals or boiling solutions). On the other hand, at low temperatures, this source is also convenient in experiments due to its low thermal conductivity (13 times less than the thermal conductivity of aluminum and 4 times less than that of iron), making it possible to carry out positron measurements with high accuracy in a thermostat, and also without the possibility of dissolving the source itself in the process of its operation. A chemically aggressive environment (for example, molten salts) is also not a problem for such a source due to the high corrosion resistance of titanium. Due to its convenient shape (thin metal foil), V can also be used in high pressure experiments. Secondly, after titanium foil irradiation at the cyclotron, active nuclides V are distributed in the titanium node, and the foil becomes a closed source of positrons, which is already ready for experiments without requiring radiochemical preparation. This allows you not to worry about additional personal protective equipment in the future due to the fact that the source will be lost or smeared on the surfaces of other materials. Moreover, the relatively short half-life makes it possible to store the source without excessive radiation and biological protection almost immediately after its use in a nuclear physics experiment. Based on this, excessive environmental pollution does not occur, and the process of “recharging” the source can be easily controlled by having a cyclotron with a beam of low-energy protons. Compared to Na, the positron spectrum from V has higher energy, with a maximum of about 700 keV (for Na, the maximum energy is 545 keV). A higher positron energy will make it possible to study slightly thicker layers of the studied substance (and hence the volume) and is commensurate with the energies of the Na source; thus, it does not require additional serious changes in the reconfiguration of the experimental technique and changes in the design of the detectors (replacement of crystals and the electronic part of the equipment).
2. Materials and Methods
The samples of MnSi ( Å) and CoSi ( Å) single crystals studied in this work were grown by the Bridgman method [32,33] (Ames Laboratory), and their crystal structure was well defined and they have been characterized by various macroscopic measurements (see [32,33,34]). The sample of FeSi ( Å) single crystal was grown by the Czochralski method. The lattice parameters of the crystals, determined by X-ray diffraction, correspond well to literature data [33,35,36]. As has been mentioned earlier, as a source of positrons, we used the V isotope obtained by the reaction Ti(p,n)V by irradiating titanium foil (50 m) with protons with an energy of 7.8 MeV (in the cyclotron of the Institute of Nuclear Physics, Moscow State University). The scattering cross section for protons was about 65 mbarn [37,38]. The use of relatively low proton energy proved to be sufficient to obtain the required V activity. Measurements of the energy spectrum of the irradiated foil showed the absence of "spurious" lines from another isotope (see Figure 1).
Figure 1.
Measured energy spectrum of an irradiated 50 m thick titanium foil. The blue points are data from the HPGe detector, and the green points are data from the LaBr:Ce detector.
Annihilation time spectra with the V positron source were measured using the “VUKAP” four-detector compact digital spectrometer equipped with two LaBr:Ce detectors (BrilLanCe 380) [39]. The time resolution of the spectrometer (FWHM at Co) was 380 ps. Two detectors were installed at an angle of 90 to each other at a short distance. The irradiated titanium foil was sandwiched between two samples of the same single crystal. Such a “sandwich” was installed at an angle of 45 to the detectors. All measurements were carried out at room temperature using the same positron source. The source size was 5 × 5 mm, which made it possible to completely cover the source with samples. The initial activity of the source was about 150 kBq. The 1312 keV -ray photon from the V decay was used for the “START” and the 511 keV annihilation gamma-ray photon for the “STOP”. Each PALS spectrum contained more than 6 million counts.
3. Results and Discussion
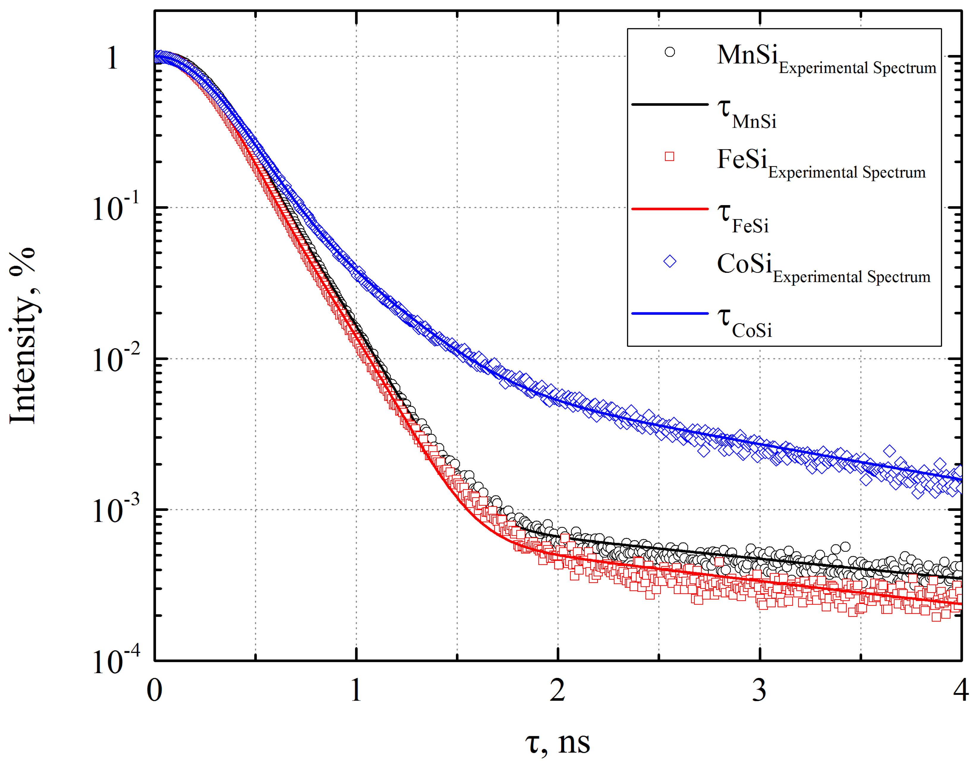
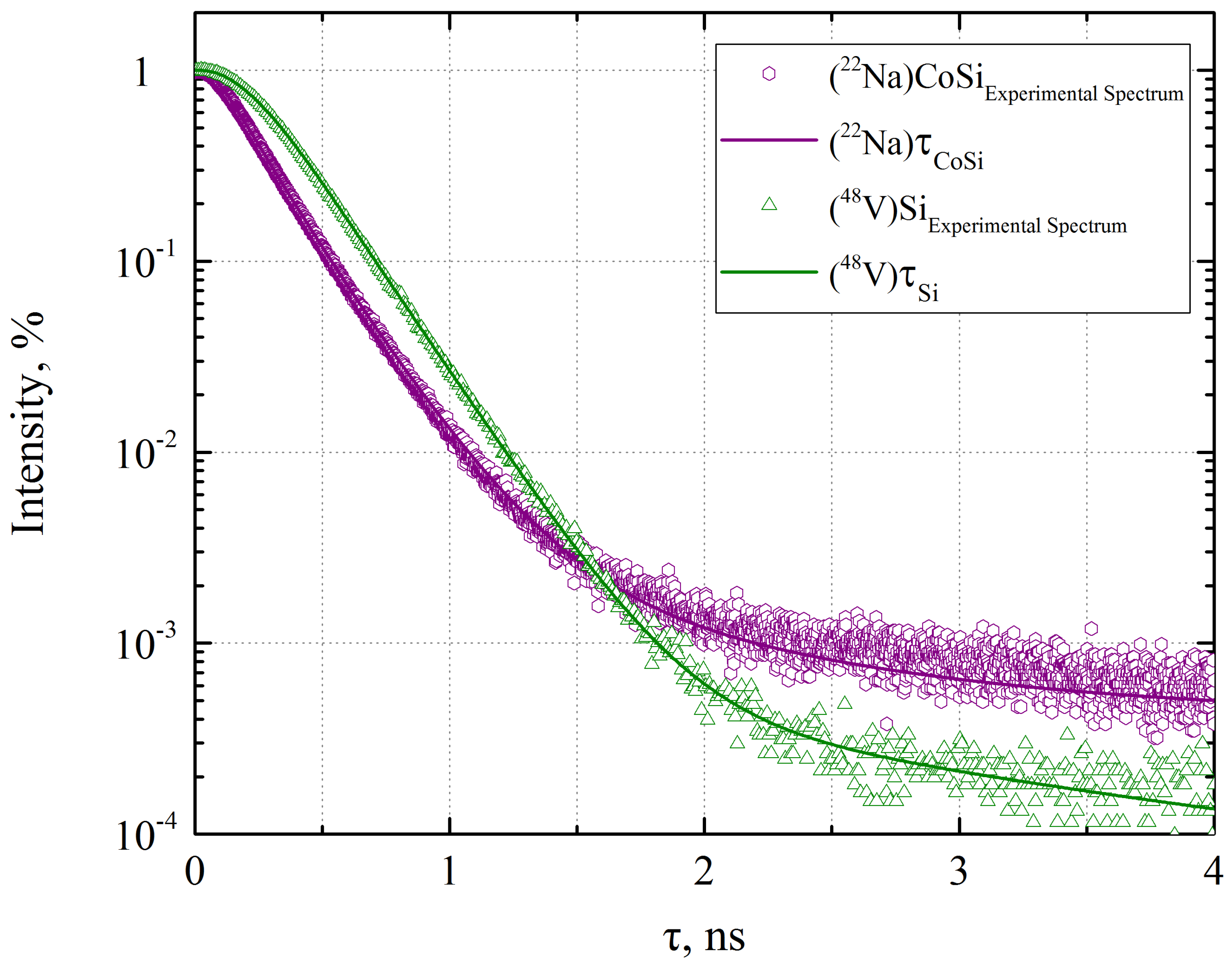
The time spectra of bulk positron annihilation and their characteristics, described with the two-exponential model in the LT10 program [40], are shown in Figure 2 and in Table 1. Our results for MnSi and FeSi agree with previous measurements performed with other experimental setups with Na as a positron source [29,31]. It has been found that the value of for the second component varies from 1700 ps to 4000 ps depending on the sample under study. Therefore, we attribute the second component to the medium between the samples and the source. Its partial contribution to the intensity varies from 0.5% to 3%. The intensity contribution from the annihilation in the source (the 50 m width Ti foil) should be within 15–20% [41]. As pointed out in [42], the main component (about 90%) from a proton-irradiated unannealed Ti-foil source is described by ps. We were unable to resolve such a low lifetime due to the finite time resolution of the spectrometer. As a result, the contribution of the positron source to the spectra could not be reliably determined. We then measured the PALS spectrum for the CoSi single crystal using another spectrometer with a time resolution of about 200 ps and the NaCl positron source (Joint Institute for Nuclear Research, Dubna). In this case, the positron lifetime is 166(2) ps (see Figure 3 and Table 1), which coincides with the result obtained with a V positron source. We also measured the PALS spectrum for the Si single crystal with a V positron source. The positron lifetime is 218(1) ps (see Figure 3 and Table 1), which coincides with the result obtained with a V positron source [43]. The lifetimes for MnSi and FeSi are found to be approximately the same, despite the different densities of electron states at . While MnSi is a metal, FeSi has a small energy gap of about 75 eV above the filled electron band. On the other hand, our high-quality single crystal positron annihilation lifetime in CoSi has turned out to be 1.5 times larger than the found values of in MnSi, FeSi and polycrystal CoSi (see Figure 2 and Table 1). This result contradicts the previous value of the positron lifetime, obtained in polycrystalline samples of CoSi [28]. According to Ref. [28], the lifetime in polycrystalline CoSi amounts to 115 ps, which is close to the value of both in the MnSi single crystal (Table 1) and in FeSi and apparently can be explained by positron annihilation on conducting electrons, despite the fact that defects may exist in a polycrystalline sample of CoSi. In our case, we consider that the positron annihilation in the single-crystal CoSi can be associated with its electronic features [17,44]. In particular, since the chiral Weyl fermions near the Fermi energy are absent in MnSi and FeSi, their presence can probably account for the formation and subsequent decay of the Ps, which results in a longer positron annihilation lifetime observed experimentally. The peculiarities of CoSi in this B20-compounds row have been recently observed on the temperature dependence of elastic constants; the values of c and c are highest for CoSi and then follow FeSi and MnSi [33,45]. In contrast to FeSi, inelastic neutron scattering measurements have shown that CoSi exhibits normal phonon behavior, which is clear from its different electronic structure [46]. Our experimental results certainly indicate the need for further research to elucidate the mechanism of positron annihilation in topological semimetal single crystals with Weyl singular points.
Figure 2.
Time spectra of positron annihilation with the V source in titanium foil and their fittings for the CoSi, MnSi, and FeSi single crystals.
Table 1.
Measured positron annihilation lifetimes () in single crystals of Si, CoSi, MnSi, and FeSi (this work), compared with in polycristalline samples (CoSi, MnSi, FeSi) and the Si single crystal with Na as a source of positrons.
Figure 3.
Time spectra of positron annihilation for the CoSi single crystal with the Na source and for the Si single crystal with the V source.
4. Conclusions
Our measurements of the PALS spectra in the single crystals of MnSi, FeSi and CoSi indicate that the positron annihilation lifetime in CoSi is approximately 1.5 times longer than in MnSi and FeSi, and by the same amount exceeds the value of , obtained in polycrystalline CoSi. The longer lifetime implies a possible formation of the Ps. The peculiarities of CoSi in this B20-compounds row also have been recently observed on the temperature dependence of elastic constants, the small value of shear modulo and phonon density of states.
In the future, we plan to continue our PALS study of other topological Weyl semimetals at various temperatures. In addition, we prepare the PALS experiment at high pressure thanks to the good possibilities of the V positron source.
Author Contributions
Conceptualization, A.V.T.; methodology, D.A.S., A.V.S., M.V.M., M.G.K. and I.L.R.; software, D.A.S. and M.V.M.; formal analysis, A.V.B.; investigation, D.A.S., M.G.K., I.L.R. and A.V.T.; resources, A.E.P., V.A.S. and Z.F.; data curation, D.A.S.; writing—original draft preparation, A.V.T.; writing—review and editing, D.A.S., A.V.B., M.G.K. and I.L.R.; visualization, D.A.S. and A.V.B.; supervision, A.V.T. and A.V.N.; project administration, A.V.T. All authors have read and agreed to the published version of the manuscript.
Funding
The study was supported by the Russian Science Foundation Grant No. 22-12-00008 (https://rscf.ru/project/22-12-00008/ accessed on 1 February 2023).
Data Availability Statement
The data presented in this study are available on request from the corresponding author.
Acknowledgments
The authors are grateful to Pawel Horodek for the help in conducting PALS measurements with Na positron source, Sergei Mikhailovich Stishov for providing the samples and Dmitry Olegovich Eremenko for help in fabricating the positron source. We thank Vadim Veniaminovich Brazhkin for his support of the work and for his valuable remarks.
Conflicts of Interest
The authors declare no conflict of interest.
Abbreviations
The following abbreviations are used in this manuscript:
| Ps | positronium |
| PAL | positron annihilation lifetime |
| PALS | positron annihilation lifetime spectroscopy |
References
- Mohorovičić, S. Möglichkeit neuer Elemente und ihre Bedeutung für die Astrophysik. Astron. Nachr. 1934, 253, 93–108. [Google Scholar] [CrossRef]
- Deutsch, M. Evidence for the Formation of Positronium in Gases. Phys. Rev. 1951, 82, 455–456. [Google Scholar] [CrossRef]
- Al-Ramadhan, A.H.; Gidley, D.W. New precision measurement of the decay rate of singlet positronium. Phys. Rev. Lett. 1994, 72, 1632–1635. [Google Scholar] [CrossRef] [PubMed]
- Asai, S.; Orito, S.; Shinohara, N. New measurement of the orthopositronium decay rate. Phys. Lett. B 1995, 357, 475–480. [Google Scholar] [CrossRef]
- Saito, H.; Hyodo, T. Direct Measurement of the Parapositronium Lifetime in α-SiO2. Phys. Rev. Lett. 2003, 90, 193401. [Google Scholar] [CrossRef] [PubMed]
- Mills, A.P.; Pfeiffer, L.; Platzman, P.M. Positronium Velocity Spectroscopy of the Electronic Density of States at a Metal Surface. Phys. Rev. Lett. 1983, 51, 1085–1088. [Google Scholar] [CrossRef]
- Nagai, Y.; Kakimoto, M.; Hyodo, T.; Fujiwara, K.; Ikari, H.; Eldrup, M.; Stewart, A.T. Temperature dependence of the momentum distribution of positronium in MgF2, SiO2, and H2O. Phys. Rev. B 2000, 62, 5531–5535. [Google Scholar] [CrossRef]
- Chirayath, V.A.; Fairchild, A.J.; Gladen, R.W.; Chrysler, M.D.; Koymen, A.R.; Weiss, A.H. Positronium formation in graphene and graphite. Aip Conf. Proc. 2019, 2182, 050002. [Google Scholar] [CrossRef]
- Wang, Z.; Sun, Y.; Chen, X.Q.; Franchini, C.; Xu, G.; Weng, H.; Dai, X.; Fang, Z. Dirac semimetal and topological phase transitions in A3Bi (A = Na, K, Rb). Phys. Rev. B 2012, 85, 195320. [Google Scholar] [CrossRef]
- Wang, Z.; Weng, H.; Wu, Q.; Dai, X.; Fang, Z. Three-dimensional Dirac semimetal and quantum transport in Cd3As2. Phys. Rev. B 2013, 88, 125427. [Google Scholar] [CrossRef]
- Neupane, M.; Xu, S.Y.; Sankar, R.; Alidoust, N.; Bian, G.; Liu, C.; Belopolski, I.; Chang, T.R.; Jeng, H.T.; Lin, H.; et al. Observation of a three-dimensional topological Dirac semimetal phase in high-mobility Cd3As2. Nat. Commun. 2014, 5, 3786. [Google Scholar] [CrossRef]
- Borisenko, S.; Gibson, Q.; Evtushinsky, D.; Zabolotnyy, V.; Büchner, B.; Cava, R.J. Experimental Realization of a Three-Dimensional Dirac Semimetal. Phys. Rev. Lett. 2014, 113, 027603. [Google Scholar] [CrossRef]
- Liu, Z.K.; Zhou, B.; Zhang, Y.; Wang, Z.J.; Weng, H.M.; Prabhakaran, D.; Mo, S.K.; Shen, Z.X.; Fang, Z.; Dai, X.; et al. Discovery of a Three-Dimensional Topological Dirac Semimetal, Na3Bi. Science 2014, 343, 864–867. [Google Scholar] [CrossRef]
- Xu, S.Y.; Belopolski, I.; Alidoust, N.; Neupane, M.; Bian, G.; Zhang, C.; Sankar, R.; Chang, G.; Yuan, Z.; Lee, C.C.; et al. Discovery of a Weyl fermion semimetal and topological Fermi arcs. Science 2015, 349, 613–617. [Google Scholar] [CrossRef]
- Rao, Z.; Li, H.; Zhang, T.; Tian, S.; Li, C.; Fu, B.; Tang, C.; Wang, L.; Li, Z.; Fan, W.; et al. Observation of unconventional chiral fermions with long Fermi arcs in CoSi. Nature 2019, 567, 496–499. [Google Scholar] [CrossRef] [PubMed]
- Sanchez, D.S.; Belopolski, I.; Cochran, T.A.; Xu, X.; Yin, J.X.; Chang, G.; Xie, W.; Manna, K.; Süß, V.; Huang, C.Y.; et al. Topological chiral crystals with helicoid-arc quantum states. Nature 2019, 567, 500–505. [Google Scholar] [CrossRef]
- Takane, D.; Wang, Z.; Souma, S.; Nakayama, K.; Nakamura, T.; Oinuma, H.; Nakata, Y.; Iwasawa, H.; Cacho, C.; Kim, T.; et al. Observation of Chiral Fermions with a Large Topological Charge and Associated Fermi-Arc Surface States in CoSi. Phys. Rev. Lett. 2019, 122, 076402. [Google Scholar] [CrossRef] [PubMed]
- Li, H.; Xu, S.; Rao, Z.C.; Zhou, L.Q.; Wang, Z.J.; Zhou, S.M.; Tian, S.J.; Gao, S.Y.; Li, J.J.; Huang, Y.B.; et al. Chiral fermion reversal in chiral crystals. Nat. Commun. 2019, 10, 5505. [Google Scholar] [CrossRef] [PubMed]
- Schröter, N.B.M.; Pei, D.; Vergniory, M.G.; Sun, Y.; Manna, K.; de Juan, F.; Krieger, J.A.; Süss, V.; Schmidt, M.; Dudin, P.; et al. Chiral topological semimetal with multifold band crossings and long Fermi arcs. Nat. Phys. 2019, 15, 759–765. [Google Scholar] [CrossRef]
- Tang, P.; Zhou, Q.; Zhang, S.C. Multiple Types of Topological Fermions in Transition Metal Silicides. Phys. Rev. Lett. 2017, 119, 206402. [Google Scholar] [CrossRef]
- Lee, C.; Yoon, C.; Kim, T.; Chung, S.B.; Min, H. Topological multiband s-wave superconductivity in coupled multifold fermions. Phys. Rev. B 2021, 104, L241115. [Google Scholar] [CrossRef]
- Hsieh, T.Y.; Prasad, B.B.; Guo, G.Y. Helicity-tunable spin Hall and spin Nernst effects in unconventional chiral fermion semimetals XY (X = Co, Rh; Y = Si, Ge). Phys. Rev. B 2022, 106, 165102. [Google Scholar] [CrossRef]
- Castelvecchi, D. The strange topology that is reshaping physics. Nature 2017, 547, 272–274. [Google Scholar] [CrossRef] [PubMed]
- Pshenay-Severin, D.A.; Burkov, A.T. Electronic Structure of B20 (FeSi-Type) Transition-Metal Monosilicides. Materials 2019, 12, 2710. [Google Scholar] [CrossRef] [PubMed]
- Mühlbauer, S.; Binz, B.; Jonietz, F.; Pfleiderer, C.; Rosch, A.; Neubauer, A.; Georgii, R.; Böni, P. Skyrmion Lattice in a Chiral Magnet. Science 2009, 323, 915–919. [Google Scholar] [CrossRef]
- Schlesinger, Z.; Fisk, Z.; Zhang, H.T.; Maple, M.B.; DiTusa, J.; Aeppli, G. Unconventional charge gap formation in FeSi. Phys. Rev. Lett. 1993, 71, 1748–1751. [Google Scholar] [CrossRef]
- Eldrup, M. Positron Methods for the Study of Defects in Bulk Materials. J. Phys. IV France 1995, 05, C1-93–C1-109. [Google Scholar] [CrossRef]
- Abhaya, S.; Amarendra, G. Positron annihilation studies on bulk cobalt silicides. Phys. Status Solidi C 2009, 6, 2519–2522. [Google Scholar] [CrossRef]
- Reiner, M.; Bauer, A.; Leitner, M.; Gigl, T.; Anwand, W.; Butterling, M.; Wagner, A.; Kudejova, P.; Pfleiderer, C.; Hugenschmidt, C. Positron spectroscopy of point defects in the skyrmion-lattice compound MnSi. Sci. Rep. 2016, 6, 29109. [Google Scholar] [CrossRef]
- Mostafaa, K.; De Baerdemaekera, J.; Calvillob, P.; Van Caenegemb, N.; Houbaertb, Y.; Segers, D. A Study of Defects in Iron Based Alloys by Positron Annihilation Techniques. Acta Phys. Pol. A 2008, 113, 1471–1478. [Google Scholar] [CrossRef]
- Bharathi, A.; Hariharan, Y.; Mani, A.; Sundar, C.S. Positron-lifetime studies in the Kondo insulator FeSi. Phys. Rev. B 1997, 55, R13385–R13388. [Google Scholar] [CrossRef]
- Stishov, S.M.; Petrova, A.E.; Khasanov, S.; Panova, G.K.; Shikov, A.A.; Lashley, J.C.; Wu, D.; Lograsso, T.A. Magnetic phase transition in the itinerant helimagnet MnSi: Thermodynamic and transport properties. Phys. Rev. B 2007, 76, 052405. [Google Scholar] [CrossRef]
- Petrova, A.E.; Krasnorussky, V.N.; Shikov, A.A.; Yuhasz, W.M.; Lograsso, T.A.; Lashley, J.C.; Stishov, S.M. Elastic, thermodynamic, and electronic properties of MnSi, FeSi, and CoSi. Phys. Rev. B 2010, 82, 155124. [Google Scholar] [CrossRef]
- Stishov, S.M.; Petrova, A.E. Itinerant helimagnet MnSi. Phys. Uspekhi 2011, 54, 1117. [Google Scholar] [CrossRef]
- Sales, B.C.; Jones, E.C.; Chakoumakos, B.C.; Fernandez-Baca, J.A.; Harmon, H.E.; Sharp, J.W.; Volckmann, E.H. Magnetic, transport, and structural properties of Fe1−xIrxSi. Phys. Rev. B 1994, 50, 8207–8213. [Google Scholar] [CrossRef]
- Wong-Ng, W.; McMurdie, F.H.; Paretzkin, B.; Zhang, Y.; Davis, K.L.; Hubbard, C.R.; Dragoo, A.L.; Stewart, J.M. Reference X-ray diffraction powder patterns of fifteen ceramic phases. Powder Diffr. 1987, 2, 257–265. [Google Scholar] [CrossRef]
- Khandaker, M.; Kim, K.; Lee, M.; Kim, K.; Kim, G.; Cho, Y.; Lee, Y. Investigations of the natTi(p,x)43,44m,44g,46,47,48Sc,48V nuclear processes up to 40 MeV. Appl. Radiat. Isot. 2009, 67, 1348–1354, 6th International Conference on Isotopes. [Google Scholar] [CrossRef]
- Garrido, E.; Duchemin, C.; Guertin, A.; Haddad, F.; Michel, N.; Métivier, V. New excitation functions for proton induced reactions on natural titanium, nickel and copper up to 70 MeV. Nucl. Instrum. Methods Phys. Res. Sect. B Beam Interact. Mater. Atoms 2016, 383, 191–212. [Google Scholar] [CrossRef]
- Salamatin, D.; Tsvyashchenko, A.; Salamatin, A.; Velichkov, A.; Magnitskaya, M.; Chtchelkatchev, N.; Sidorov, V.; Fomicheva, L.; Mikhin, M.; Kozin, M.; et al. Hyperfine field studies of the high-pressure phase of noncentrosymmetric superconductor RhGe (B20) doped with hafnium. J. Alloys Compd. 2021, 850, 156601. [Google Scholar] [CrossRef]
- Giebel, D.; Kansy, J. LT10 Program for Solving Basic Problems Connected with Defect Detection. Phys. Procedia 2012, 35, 122–127, Positron Studies of Defects 2011. [Google Scholar] [CrossRef]
- Krsjak, V.; Degmova, J.; Noga, P.; Petriska, M.; Sojak, S.; Saro, M.; Neuhold, I.; Slugen, V. Application of Positron Annihilation Spectroscopy in Accelerator-Based Irradiation Experiments. Materials 2021, 14, 6238. [Google Scholar] [CrossRef] [PubMed]
- Dryzek, J. Positron source based on the 48V isotope dedicated to positron lifetime spectroscopy. Phys. Status Solidi C 2009, 6, 2380–2383. [Google Scholar] [CrossRef]
- Dannefaer, S.; Puff, W.; Kerr, D. Positron line-shape parameters and lifetimes for semiconductors: Systematics and temperature effects. Phys. Rev. B 1997, 55, 2182–2187. [Google Scholar] [CrossRef]
- Xu, X.; Wang, X.; Cochran, T.A.; Sanchez, D.S.; Chang, G.; Belopolski, I.; Wang, G.; Liu, Y.; Tien, H.J.; Gui, X.; et al. Crystal growth and quantum oscillations in the topological chiral semimetal CoSi. Phys. Rev. B 2019, 100, 045104. [Google Scholar] [CrossRef]
- Stishov, S.M.; Petrova, A.E. Thermodynamic, elastic and electronic properties of substances with chiral crystal structure: MnSi, FeSi, CoSi. Phys. Uspekhi 2021, 65. [Google Scholar] [CrossRef]
- Delaire, O.; Marty, K.; Stone, M.B.; Kent, P.R.C.; Lucas, M.S.; Abernathy, D.L.; Mandrus, D.; Sales, B.C. Phonon softening and metallization of a narrow-gap semiconductor by thermal disorder. Proc. Natl. Acad. Sci. USA 2011, 108, 4725–4730. [Google Scholar] [CrossRef]
Disclaimer/Publisher’s Note: The statements, opinions and data contained in all publications are solely those of the individual author(s) and contributor(s) and not of MDPI and/or the editor(s). MDPI and/or the editor(s) disclaim responsibility for any injury to people or property resulting from any ideas, methods, instructions or products referred to in the content. |
© 2023 by the authors. Licensee MDPI, Basel, Switzerland. This article is an open access article distributed under the terms and conditions of the Creative Commons Attribution (CC BY) license (https://creativecommons.org/licenses/by/4.0/).


