Encapsulated Passivation of Perovskite Quantum Dot (CsPbBr3) Using a Hot-Melt Adhesive (EVA-TPR) for Enhanced Optical Stability and Efficiency
Abstract
1. Introduction
2. Materials and Methods
3. Results and Discussion
3.1. Structural Characteristics of the Pure PQDs and the EVA-TPR/PQD Composite
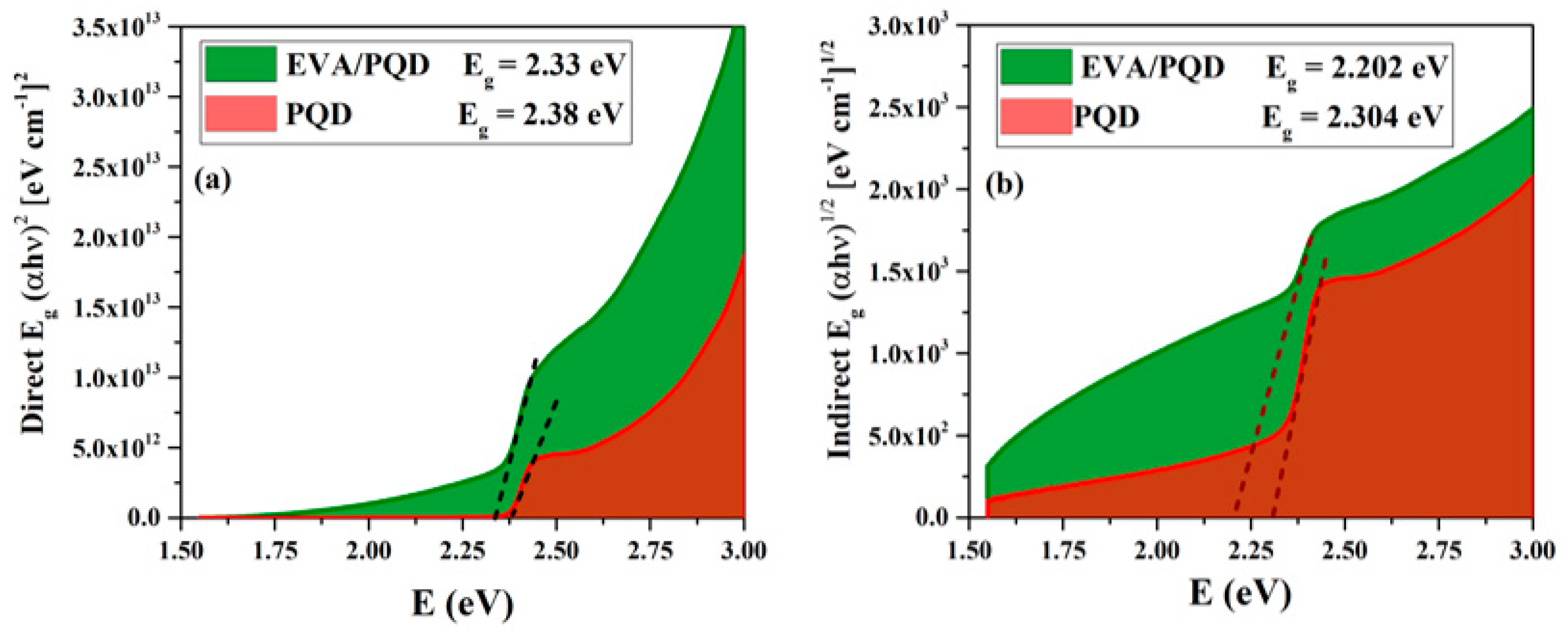
3.2. Optical Properties of the Pure PQDs and the EVA-TPR/PQD Composite
4. Conclusions
Author Contributions
Institutional Review Board Statement
Informed Consent Statement
Data Availability Statement
Acknowledgments
Conflicts of Interest
References
- Kim, H.-S.; Lee, C.-R.; Im, J.-H.; Lee, K.-B.; Moehl, T.; Marchioro, A.; Moon, S.-J.; Humphry-Baker, R.; Yum, J.-H.; Moser, J.E. Lead iodide perovskite sensitized all-solid-state submicron thin film mesoscopic solar cell with efficiency exceeding 9%. Sci. Rep. 2012, 2, 1–7. [Google Scholar] [CrossRef]
- Kojima, A.; Teshima, K.; Shirai, Y.; Miyasaka, T. Organometal halide perovskites as visible-light sensitizers for photovoltaic cells. J. Am. Chem. Soc. 2009, 131, 6050–6051. [Google Scholar] [CrossRef]
- Kumawat, N.K.; Gupta, D.; Kabra, D. Recent Advances in Metal Halide-Based Perovskite Light-Emitting Diodes. Energy Technol. 2017, 5, 1734–1749. [Google Scholar] [CrossRef]
- Chen, Y.; Chu, Y.; Wu, X.; Ou-Yang, W.; Huang, J. High-Performance Inorganic Perovskite Quantum Dot–Organic Semiconductor Hybrid Phototransistors. Adv. Mater. 2017, 29, 1–8. [Google Scholar] [CrossRef] [PubMed]
- Eperon, G.E.; Paternò, G.M.; Sutton, R.J.; Zampetti, A.; Haghighirad, A.A.; Cacialli, F.; Snaith, H.J. Inorganic caesium lead iodide perovskite solar cells. J. Mater. Chem. A 2015, 3, 19688–19695. [Google Scholar] [CrossRef]
- Kim, Y.C.; Kim, K.H.; Son, D.-Y.; Jeong, D.-N.; Seo, J.-Y.; Choi, Y.S.; Han, I.T.; Lee, S.Y.; Park, N.-G. Printable organometallic perovskite enables large-area, low-dose X-ray imaging. Nature 2017, 550, 87–91. [Google Scholar] [CrossRef]
- Huang, C.Y.; Zou, C.; Mao, C.; Corp, K.L.; Yao, Y.C.; Lee, Y.J.; Schlenker, C.W.; Jen, A.K.Y.; Lin, L.Y. CsPbBr3 Perovskite Quantum Dot Vertical Cavity Lasers with Low Threshold and High Stability. ACS Photonics 2017, 4, 2281–2289. [Google Scholar] [CrossRef]
- Yassitepe, E.; Yang, Z.; Voznyy, O.; Kim, Y.; Walters, G.; Castañeda, J.A.; Kanjanaboos, P.; Yuan, M.; Gong, X.; Fan, F. Amine-free synthesis of cesium lead halide perovskite quantum dots for efficient light-emitting diodes. Adv. Funct. Mater. 2016, 26, 8757–8763. [Google Scholar] [CrossRef]
- Sun, C.; Zhang, Y.; Ruan, C.; Yin, C.; Wang, X.; Wang, Y.; Yu, W.W. Efficient and stable white LEDs with silica-coated inorganic perovskite quantum dots. Adv. Mater. 2016, 28, 10088–10094. [Google Scholar] [CrossRef]
- Song, J.; Li, J.; Li, X.; Xu, L.; Dong, Y.; Zeng, H. Quantum Dot Light-Emitting Diodes Based on Inorganic Perovskite Cesium Lead Halides (CsPbX3). Adv. Mater. 2015, 27, 7162–7167. [Google Scholar] [CrossRef]
- Deschler, F.; Price, M.; Pathak, S.; Klintberg, L.E.; Jarausch, D.-D.; Higler, R.; Hüttner, S.; Leijtens, T.; Stranks, S.D.; Snaith, H.J. High photoluminescence efficiency and optically pumped lasing in solution-processed mixed halide perovskite semiconductors. J. Phys. Chem. Lett. 2014, 5, 1421–1426. [Google Scholar] [CrossRef]
- Gholipour, S.; Saliba, M. Bandgap tuning and compositional exchange for lead halide perovskite materials. In Characterization Techniques for Perovskite Solar Cell Materials; Elsevier: Amsterdam, The Netherlands, 2020; pp. 1–22. [Google Scholar]
- Han, T.-H.; Lee, J.-W.; Choi, C.; Tan, S.; Lee, C.; Zhao, Y.; Dai, Z.; De Marco, N.; Lee, S.-J.; Bae, S.-H. Perovskite-polymer composite cross-linker approach for highly-stable and efficient perovskite solar cells. Nat. Commun. 2019, 10, 1–10. [Google Scholar] [CrossRef] [PubMed]
- Peng, L.; Tang, A.; Yang, C.; Teng, F. Size-controlled synthesis of highly luminescent organometal halide perovskite quantum dots. J. Alloys Compd. 2016, 687, 506–513. [Google Scholar] [CrossRef]
- Yang, G.-L.; Zhong, H.-Z. Organometal halide perovskite quantum dots: Synthesis, optical properties, and display applications. Chin. Chem. Lett. 2016, 27, 1124–1130. [Google Scholar] [CrossRef]
- Protesescu, L.; Yakunin, S.; Bodnarchuk, M.I.; Krieg, F.; Caputo, R.; Hendon, C.H.; Yang, R.X.; Walsh, A.; Kovalenko, M.V. Nanocrystals of Cesium Lead Halide Perovskites (CsPbX3, X = Cl, Br, and I): Novel Optoelectronic Materials Showing Bright Emission with Wide Color Gamut. Nano Lett. 2015, 15, 3692–3696. [Google Scholar] [CrossRef]
- Levchuk, I.; Osvet, A.; Tang, X.; Brandl, M.; Perea, J.D.; Hoegl, F.; Matt, G.J.; Hock, R.; Batentschuk, M.; Brabec, C.J. Brightly luminescent and color-tunable formamidinium lead halide perovskite FAPbX3 (X= Cl, Br, I) colloidal nanocrystals. Nano Lett. 2017, 17, 2765–2770. [Google Scholar] [CrossRef]
- Liu, Z.; Zhang, Y.; Fan, Y.; Chen, Z.; Tang, Z.; Zhao, J.; Lv, Y.; Lin, J.; Guo, X.; Zhang, J. Toward highly luminescent and stabilized silica-coated perovskite quantum dots through simply mixing and stirring under room temperature in air. ACS Appl. Mater. Interfaces 2018, 10, 13053–13061. [Google Scholar] [CrossRef]
- Meyns, M.; Perálvarez, M.; Heuer-Jungemann, A.; Hertog, W.; Ibáñez, M.; Nafria, R.; Genç, A.; Arbiol, J.; Kovalenko, M.V.; Carreras, J. Polymer-enhanced stability of inorganic perovskite nanocrystals and their application in color conversion LEDs. ACS Appl. Mater. Interfaces 2016, 8, 19579–19586. [Google Scholar] [CrossRef]
- Li, Z.; Hofman, E.; Li, J.; Davis, A.H.; Tung, C.; Wu, L.; Zheng, W. Photoelectrochemically active and environmentally stable CsPbBr3/TiO2 core/shell nanocrystals. Adv. Funct. Mater. 2018, 28, 1704288. [Google Scholar] [CrossRef]
- Aljaafreh, M.J.; Prasad, S.; AlSalhi, M.S.; Lemmer, U.; Alahmed, Z.A.; Baloch, M.A. Emission dynamics of conjugated oligomer (BECV-DHF)/quantum dot perovskite (CsPbBr3) composites in solutions. Colloids Surf. A Physicochem. Eng. Asp. 2021, 610, 125911. [Google Scholar] [CrossRef]
- Yang, H.; Yin, W.; Dong, W.; Gao, L.; Tan, C.-H.; Li, W.; Zhang, X.; Zhang, J. Enhancing the light-emitting performance and stability in CsPbBr3 perovskite quantum dots via simultaneous doping and surface passivation. J. Mater. Chem. C 2020, 8, 14439–14445. [Google Scholar] [CrossRef]
- Xiang, Q.; Zhou, B.; Cao, K.; Wen, Y.; Li, Y.; Wang, Z.; Jiang, C.; Shan, B.; Chen, R. Bottom up stabilization of CsPbBr3 quantum dots-silica sphere with selective surface passivation via atomic layer deposition. Chem. Mater. 2018, 30, 8486–8494. [Google Scholar] [CrossRef]
- Wu, Y.; Wei, C.; Li, X.; Li, Y.; Qiu, S.; Shen, W.; Cai, B.; Sun, Z.; Yang, D.; Deng, Z. In situ passivation of PbBr64–octahedra toward blue luminescent CsPbBr3 nanoplatelets with near 100% absolute quantum yield. ACS Energy Lett. 2018, 3, 2030–2037. [Google Scholar] [CrossRef]
- Wang, H.; Lin, S.; Tang, A.; Singh, B.P.; Tong, H.; Chen, C.; Lee, Y.; Tsai, T.; Liu, R. Mesoporous silica particles integrated with all-inorganic CsPbBr3 perovskite quantum-dot nanocomposites (MP-PQDs) with high stability and wide color gamut used for backlight display. Angew. Chem. Int. Ed. 2016, 55, 7924–7929. [Google Scholar] [CrossRef]
- Li, Z.; Kong, L.; Huang, S.; Li, L. Highly luminescent and ultrastable CsPbBr3 perovskite quantum dots incorporated into a silica/alumina monolith. Angew. Chem. 2017, 129, 8246–8250. [Google Scholar] [CrossRef]
- Shen, X.; Sun, C.; Bai, X.; Zhang, X.; Wang, Y.; Wang, Y.; Song, H.; Yu, W.W. Efficient and stable CsPb(Br/I)3@ anthracene composites for white light-emitting devices. ACS Appl. Mater. Interfaces 2018, 10, 16768–16775. [Google Scholar] [CrossRef]
- He, Z.; He, J.; Zhang, C.; Wu, S.; Dong, Y. Swelling-Deswelling Microencapsulation-Enabled Ultrastable Perovskite− Polymer Composites for Photonic Applications. Chem. Rec. 2020, 20, 672–681. [Google Scholar] [CrossRef]
- Chen, L.-C.; Tien, C.-H.; Tseng, Z.-L.; Dong, Y.-S.; Yang, S. Influence of PMMA on all-inorganic halide perovskite CsPbBr3 quantum dots combined with polymer matrix. Materials 2019, 12, 985. [Google Scholar] [CrossRef]
- Carrillo-Carrión, C.; del Pino, P.; Pelaz, B. Aqueous stable luminescent perovskite-polymer composites. Appl. Mater. Today 2019, 15, 562–569. [Google Scholar] [CrossRef]
- Li, Y.; Lv, Y.; Guo, Z.; Dong, L.; Zheng, J.; Chai, C.; Chen, N.; Lu, Y.; Chen, C. One-step preparation of long-term stable and flexible CsPbBr3 perovskite quantum dots/ethylene vinyl acetate copolymer composite films for white light-emitting diodes. ACS Appl. Mater. Interfaces 2018, 10, 15888–15894. [Google Scholar] [CrossRef]
- Gao, Y.; Guo, N.; Gauvreau, B.; Rajabian, M.; Skorobogata, O.; Pone, E.; Zabeida, O.; Martinu, L.; Dubois, C.; Skorobogatiy, M. Consecutive solvent evaporation and co-rolling techniques for polymer multilayer hollow fiber preform fabrication. J. Mater. Res. 2006, 21, 2246–2254. [Google Scholar] [CrossRef]
- Skorobogatiy, M. Efficient antiguiding of TE and TM polarizations in low-index core waveguides without the need for an omnidirectional reflector. Opt. Lett. 2005, 30, 2991. [Google Scholar] [CrossRef]
- Becker, H.; Locascio, L.E. Polymer microfluidic devices. Talanta 2002, 56, 267–287. [Google Scholar] [CrossRef]
- Ilican, S.; Caglar, M.; Caglar, Y. Determination of the thickness and optical constants of transparent indium-doped ZnO thin films by the envelope method. Mater. Sci. Pol. 2007, 25, 709–718. [Google Scholar]
- Dahshan, A.; Aly, K.A. Determination of the thickness and optical constants of amorphous Ge-Se-Bi thin films. Philos. Mag. 2009, 89, 1005–1016. [Google Scholar] [CrossRef]
- Ghosh, S.; Lima, A.H.; Flôres, L.S.; Pacheco, T.S.; Barbosa, A.A.; Ullah, S.; de Mendonça, J.P.A.; Oliveira, L.F.C.; Quirino, W.G. Growth and characterization of ammonium nickel-copper sulfate hexahydrate: A new crystal of Tutton’s salt family for the application in solar-blind technology. Opt. Mater. 2018, 85, 425–437. [Google Scholar] [CrossRef]
- Gong, J.; Krishnan, S. Chapter 2—Mathematical Modeling of Dye-Sensitized Solar Cells. In Dye-Sensitized Solar Cells: Mathematical Modeling, and Materials Design and Optimization; Soroush, M., Lau, K.K.S., Eds.; Academic Press: Cambridge, MA, USA, 2019; pp. 51–81. ISBN 978-0-12-814541-8. [Google Scholar]
- Mayerhöfer, T. The Bouguer-Beer-Lambert Law: Shining Light on the Obscure the Bouguer-Beer-Lambert Law: Shining Light on the Obscure. ChemPhysChem 2020, 21, 2029. [Google Scholar] [CrossRef]
- Rahman, M.F.; Hossain, J.; Ismail, A.B.M. Structural, surface morphological and optical properties and their correlation with the thickness of spin coated superior quality CdS thin film synthesized using a novel chemical route. SN Appl. Sci. 2020, 2, 2–10. [Google Scholar] [CrossRef]
- Yin, W.J.; Shi, T.; Yan, Y. Unique properties of halide perovskites as possible origins of the superior solar cell performance. Adv. Mater. 2014, 26, 4653–4658. [Google Scholar] [CrossRef] [PubMed]
- Roknuzzaman, M.; Zhang, C.; Ostrikov, K.K.; Du, A.; Wang, H.; Wang, L.; Tesfamichael, T. Electronic and optical properties of lead-free hybrid double perovskites for photovoltaic and optoelectronic applications. Sci. Rep. 2019, 9, 1–7. [Google Scholar] [CrossRef]
- Shankar, J.S.; Ashok Kumar, S.; Periyasamy, B.K.; Nayak, S.K. Studies on Optical Characteristics of Multicolor Emitting MEH-PPV/ZnO Hybrid Nanocomposite. Polym. Technol. Mater. 2019, 58, 148–157. [Google Scholar] [CrossRef]
- Arslan, M.; Duymuş, H.; Yakuphanoglu, F. Optical Properties of the Poly(N-benzylaniline) Thin Film. J. Phys. Chem. B 2006, 110, 276–280. [Google Scholar] [CrossRef]









| PQDs | Full-Width Half-Maximum (deg) | D (nm) | Lattice Strain € × 10−3 | Dislocation Density × 10−2 (nm)−2 |
|---|---|---|---|---|
| EVA | 3.16 | 2.55 | 13.59 | 15.38 |
| PQD | 0.83 | 9.70 | 3.57 | 1.061 |
| EVA/PQD | 1.02 | 7.89 | 4.39 | 1.604 |
Publisher’s Note: MDPI stays neutral with regard to jurisdictional claims in published maps and institutional affiliations. |
© 2021 by the authors. Licensee MDPI, Basel, Switzerland. This article is an open access article distributed under the terms and conditions of the Creative Commons Attribution (CC BY) license (https://creativecommons.org/licenses/by/4.0/).
Share and Cite
Prasad, S.; Aljaafreh, M.J.; AlSalhi, M.S.; Alshammari, A. Encapsulated Passivation of Perovskite Quantum Dot (CsPbBr3) Using a Hot-Melt Adhesive (EVA-TPR) for Enhanced Optical Stability and Efficiency. Crystals 2021, 11, 419. https://doi.org/10.3390/cryst11040419
Prasad S, Aljaafreh MJ, AlSalhi MS, Alshammari A. Encapsulated Passivation of Perovskite Quantum Dot (CsPbBr3) Using a Hot-Melt Adhesive (EVA-TPR) for Enhanced Optical Stability and Efficiency. Crystals. 2021; 11(4):419. https://doi.org/10.3390/cryst11040419
Chicago/Turabian StylePrasad, Saradh, Mamduh J. Aljaafreh, Mohamad S. AlSalhi, and Abeer Alshammari. 2021. "Encapsulated Passivation of Perovskite Quantum Dot (CsPbBr3) Using a Hot-Melt Adhesive (EVA-TPR) for Enhanced Optical Stability and Efficiency" Crystals 11, no. 4: 419. https://doi.org/10.3390/cryst11040419
APA StylePrasad, S., Aljaafreh, M. J., AlSalhi, M. S., & Alshammari, A. (2021). Encapsulated Passivation of Perovskite Quantum Dot (CsPbBr3) Using a Hot-Melt Adhesive (EVA-TPR) for Enhanced Optical Stability and Efficiency. Crystals, 11(4), 419. https://doi.org/10.3390/cryst11040419

