Synthesis, Spectroscopic Characterization, and Biological Activities of New Binuclear Co(II), Ni(II), Cu(II), and Zn(II) Diimine Complexes
Abstract
1. Introduction
2. Experimental
2.1. Materials and Instruments
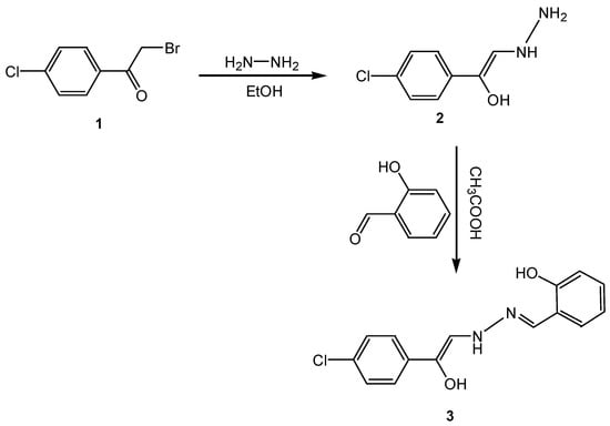
2.2. Synthesis of diim Ligand
2.3. Synthesis of solid Co(II), Ni(II), Cu(II), and Zn(II) diim Complexes
2.4. Antibacterial and Antifungal Activities
3. Results and Discussion
3.1. Elemental Analyses and Physical Properties
3.2. Infrared Spectral Studies
3.3. Electronic, Magnetic, and Mass Spectral Studies
3.4. 1H-NMR Spectra Studies
3.5. Thermo Gravimetric Studies
3.5.1. Diim Free Ligand
3.5.2. Cobalt(II) Complex I
3.5.3. Nickel(II) Complex II
3.5.4. Copper(II) Complex III
3.5.5. Zinc(II) Complex IV
3.6. Kinetic Thermodynamic Parameters
3.7. Biological Assessments
3.8. Molecular Docking
4. Conclusions
Supplementary Materials
Author Contributions
Funding
Institutional Review Board Statement
Informed Consent Statement
Data Availability Statement
Acknowledgments
Conflicts of Interest
References
- Verma, G.; Marella, A.; Shaquiquzzaman, M.; Akhtar, M.; Ali, M.R.; Alam, M.M. A review exploring biological activities of hydrazones. J. Pharm. Bioallied. Sci. 2014, 6, 69–80. [Google Scholar] [PubMed]
- Uppal, G.; Bala, S.; Kamboj, S.; Saini, M. Therapeutic review exploring antimicrobial potential of hydrazones as promising lead. Der Pharma Chem. 2011, 3, 250–268. [Google Scholar]
- Rollas, S.; Küçükgüzel, S.G. Biological Activities of Hydrazone Derivatives. Molecules 2007, 12, 1910–1939. [Google Scholar] [CrossRef]
- Narang, R.; Narasimhan, B.; Sharma, S. A review on biological activities and chemical synthesis of hydrazide derivatives. Curr. Med. Chem. 2012, 19, 569–612. [Google Scholar] [CrossRef] [PubMed]
- Negi, V.J.; Sharma, A.K.; Negi, J.S.; Ra, V. Biological activities of hydrazone derivatives in the new millennium. Int. J. Pharm. Chem. 2012, 4, 100–109. [Google Scholar] [CrossRef]
- Belskaya, N.P.; Dehaen, W.; Bakulev, V.A. Synthesis and properties of hydrazones bearing amide, thioamide and amidine functions. Arch. Org. Chem. 2010, 1, 275–332. [Google Scholar] [CrossRef]
- Xavier, A.J.; Thakur, M.; Marie, J.M. Synthesis and spectral characterisation of hydrazone based 14-membered octaaza macrocyclic Ni(II) complexes. J. Chem. Pharm. Res. 2012, 4, 986–990. [Google Scholar]
- Banerjee, S.; Mondal, S.; Chakraborty, W.; Sen, S.; Gachhui, R.; Butcher, R.J. Syntheses, X-ray crystal structures, DNA binding, oxidative cleavage activities and antimicrobial studies of two Cu (II) hydrazone complexes. Polyhedron 2009, 28, 2785–2793. [Google Scholar] [CrossRef]
- Shakdofa, M.; Shtaiwi, M.; Morsy, N.M.; Abdel-Rassel, T.M.A. Metal complexes of hydrazones and their biological, analytical and catalytic applications: A review. Main Group Chem. 2014, 13, 187–218. [Google Scholar] [CrossRef]
- Issa, Y.M.; Issa, R.M.; El-Latif, S.A.A.; El-Salam, H.A.A. Structural Studies of Cu(II) Chelates with Some Arylidene Derivatives of Benzilic Hydrazide. Mon. Fur Chem. 1998, 129, 19–29. [Google Scholar] [CrossRef]
- Sharma, A.; Mehta, T.; Shah, M.K. Synthesis and spectral studies of transition metal complexes supported by NO-bidentate Schiff-Base ligand. Der Chem. Sin. 2013, 4, 141–146. [Google Scholar]
- Kumar, R.; Singh, K.; Srivastava, R.; Kamalasanan, M.N. Advanced Nanomaterials and Emerging Engineering Technologies (ICANMEET). In Proceedings of the 2013 International Conference, Chennai, India, 24–26 July 2013; pp. 520–523. [Google Scholar]
- Kim, S.M.; Kim, J.S.; Sin, D.M.; Kim, Y.G.; Ha, Y.G. Synthesis and application of the novel azomethine metal complexes for the organic electroluminescent devices. Bull. Korean Chem. Soc. 2001, 22, 743–747. [Google Scholar]
- Bushuev, M.B.; Selivanov, B.A.; Pervukhina, N.V.; Naumov, D.Y.; Rakhmanova, M.I.; Sheludyakova, L.A.; Tikhonov, A.Y.; Larionov, S.V. Luminescent zinc (II) and cadmium (II) complexes based on 2-(4, 5-dimethyl-1 H-imidazol-2-yl) pyridine and 2-(1-hydroxy-4, 5-dimethyl-1 H-imidazol-2-yl) pyridine. Russ. J. Gen. Chem. 2012, 82, 1859–1868. [Google Scholar] [CrossRef]
- Yang, C.L.; Luo, J.X.; Ma, J.Y.; Lu, M.G.; Liang, L.Y.; Tong, B.H. Synthesis and photoluminescent properties of four novel trinuclear europium complexes based on two tris-β-diketones ligands. Dyes Pigm. 2012, 92, 696–704. [Google Scholar] [CrossRef]
- Chattopadhyay, T.; Mukherjee, M.; Banu, K.S.; Banerjee, A.; Suresh, E.; Zangrando, E.; Das, D. Mono-and dinuclear Zn (II) complexes of Schiff-base ligands: Syntheses, characterization and studies of photoluminescence. J. Coord. Chem. 2009, 62, 967–979. [Google Scholar] [CrossRef]
- El-Habeeb, A.A.; Refat, M.S. Synthesis, structure interpretation, antimicrobial and anticancer studies of tranexamic acid complexes towards Ga (III), W (VI), Y (III) and Si (IV) metal ions. J. Mol. Struct. 2019, 1175, 65–72. [Google Scholar] [CrossRef]
- Nakamoto, K. Infrared and Raman Spectra of Inorganic and Coordination Compounds: Part A: Theory and Applications in Inorganic Chemistry, 6th ed.; Wiley: New York, NY, USA, 2008. [Google Scholar]
- Chandra, S.; Gupta, K. Twelve-, fourteen- and sixteen-membered macrocyclic ligands and a study of the effect of ring size on ligand field strength. Trans. Met. Chem. 2002, 27, 329–332. [Google Scholar] [CrossRef]
- Lever, A.B.P. Crystal Field Spectra. In Inorganic Electronic Spectroscopy, 1st ed.; Elsevier: Amsterdam, The Netherlands, 1968. [Google Scholar]
- Lever, A.B.P. Inorganic Electronic Spectroscopy, 2nd ed.; Elsevier: Amsterdam, The Netherlands, 1984. [Google Scholar]
- Coats, A.W.; Redfern, J.P. Kinetic Parameters from Thermogravimetric Data. Nature 1964, 201, 68–69. [Google Scholar] [CrossRef]
- Horowitz, H.W.; Metzger, G. A new analysis of thermogravimetric traces. Anal. Chem. 1963, 35, 1464. [Google Scholar] [CrossRef]
- Chourasia, P.; Suryesh, K.K.; Mishra, A.P. Synthesis and structural investigation of some mixed-ligand selenito complexes of cobalt (II). Proc. Indian Acad. Sci. 1993, 105, 173–189. [Google Scholar]
- Claudel, M.; Schwarte, J.V.; Fromm, K.M. New Antimicrobial Strategies Based on Metal Complexes. Chemistry 2020, 2, 849–899. [Google Scholar] [CrossRef]
- Zalevskaya, O.; Gur’eva, Y.; Kutchin, A.; Hansford, K.A. Antimicrobial and Antifungal Activities of Terpene-Derived Palladium Complexes. Antibiotics 2020, 9, 277. [Google Scholar] [CrossRef] [PubMed]
- Sheikhshoaie, I.; Lotfi, N.; Sieler, J.; Krautscheid, H.; Khaleghi, M. Synthesis, structures and antimicrobial activities of nickel (II) and zinc (II) diaminomaleonitrile-based complexes. Transit. Met. Chem. 2018, 43, 555–562. [Google Scholar] [CrossRef]
- Bikadi, Z.; Hazai, E. Application of the PM6 semi-empirical method to modeling proteins enhances docking accuracy of AutoDock. J. Cheminformatics 2009, 1, 15. [Google Scholar] [CrossRef] [PubMed]
- Morris, G.M.; Goodsell, D.S.; Halliday, R.S.; Huey, R.; Hart, W.E.; Belew, R.K.; Olson, A.J. Automated docking using a Lamarckian genetic algorithm and an empirical binding free energy function. J. Comput. Chem. 1998, 19, 1639–1662. [Google Scholar] [CrossRef]
- Solis, F.J.; Wets, R.J.B. Minimization by random search techniques. Math. Oper. Res. 1981, 6, 19–30. [Google Scholar] [CrossRef]















| Compounds | Color | %Found (%Calcd.) | ||||
|---|---|---|---|---|---|---|
| C% | H% | N% | Cl% | M% | ||
| diim | Yellow | 62.12 (62.40) | 4.43 (4.54) | 9.56 (9.70) | 12.14 (12.28) | - |
| I | Brown | 30.86 (30.98) | 4.12 (4.33) | 9.54 (9.63) | 18.19 (18.29) | 20.16 (20.27) |
| II | Dark brown | 28.38 (28.45) | 5.17 (5.25) | 13.21 (13.27) | 16.76 (16.80) | 18.32 (18.54) |
| III | Orange brown | 30.28 (30.49) | 4.19 (4.26) | 9.37 (9.48) | 17.87 (18.00) | 21.09 (21.51) |
| IV | Reddish brown | 32.17 (32.26) | 3.66 (3.79) | 9.96 (10.03) | 18.36 (19.04) | 23.31 (23.42) |
| Compounds | ν (O-H) | ν (N–H) | ν (C=O) | ν (C=N) | ν (C–O) | ν (M–O) | ν (M–N) |
|---|---|---|---|---|---|---|---|
| MTSC | 3449 | 3046 | 1678 | 1622 | 1390, 1271 | - | - |
| I | 3449 | 3025 | - | 1604 | 1314, 1152 | 589, 518 | 461 |
| II | 3448 | 3025 | - | 1606 | 1311, 1153 | 586, 517 | 452 |
| III | 3447 | 3025 | - | 1606 | 1319, 1150 | 593, 510 | 463 |
| IV | 3421 | 3025 | - | 1611 | 1150 | 600 | 466 |
| Compounds | Steps | Temp. Range/°C | DTG Peak/°C | Decompositon Product Assignments | Mass Loss Found (Calc.)% |
|---|---|---|---|---|---|
| diim | 1st | 49–220 | 115 | NH3 | 6.25 (5.89) |
| 2nd | 220–425 | 299 | 5C2H2 + NO | 53.75 (55.5) | |
| 3rd | 425–700 | 560 | C3O + ½Cl2 | 32.5 (30.3) | |
| residue | 700 | carbon residue | 7.5 (8.32) | ||
| I | 1st | 38–163 | 80 | 2H2O | 6.7 (6.2) |
| 2nd | 163–470 | 355 | NH3 + NO2 + 1½Cl2 + 6C2H2 | 57.1 (55.9) | |
| 3rd | 470–565 | 515 | 2NH3 | 4.8 (5.8) | |
| Residue | 565–700 | 2CoO + carbon residue | 31.4 (32.1) | ||
| II | 1st | 38–168 | 80 | 2H2O + 2H2 | 7 (6.3) |
| 2nd | 168–449 | 388 | H2O + CO + NH3 + NO + 2N2 + 3H2 +1½Cl2 | 41.3 (41.1) | |
| 3rd | 449–586 | 496 | 7C2H2 | 29.3 (28.8) | |
| Residue | 586–700 | 2NiO | 22.4 (23.6) | ||
| III | 1st | 40–170 | 85 | 2H2O | 6 (6.1) |
| 2nd | 170–349 | 250 | 1½Cl2 + 2H2 | 19 (18.7) | |
| 3rd | 349–587 | 530 | CO + NH3 + NO + N2 + 7C2H2 | 50 (48.2) | |
| Residue | 587–700 | 2CuO | 25 (26.9) | ||
| IV | 1st | 39–180 | 62 | NO + 3H2 | 6.7 (6.7) |
| 2nd | 180–335 | 265 | 3C2H2 | 14.7 (14.4) | |
| 3rd | 335–552 | 440 | 2C2H2 + NH3 + N2 + 1½Cl2 | 38.6 (37.6) | |
| Residue | 552–700 | 2ZnO + carbon residue | 40 (41.1) |
| Compound | Stage | Method | Parameter | r | ||||
|---|---|---|---|---|---|---|---|---|
| E* (J mol−1) | A (s−1) | ΔS (J mol−1 K−1) | ΔH (J mol−1) | ΔG (J mol−1) | ||||
| diim | 1st | CR | 1.98 × 10−1 | 5.99 × 10−9 | −4.08 × 102 | −4.85 × 103 | 2.33 × 105 | 0.9654 |
| HM | 1.34 × 103 | 1.04 × 10−4 | −3.27 × 102 | −3.50 × 103 | 1.87 × 105 | 0.9168 | ||
| 2nd | CR | 1.74 × 10−1 | 3.42 × 10−9 | −4.16 × 102 | −7.26 × 103 | 3.56 × 105 | 0.9983 | |
| HM | 2.21 × 103 | 7.87 × 10−5 | –3.32 × 102 | −5.05 × 103 | 2.85 × 105 | 0.9907 | ||
| I | 1st | CR | 6.49 × 10−2 | 6.99 × 10−9 | −4.04 × 102 | −3.73 × 103 | 1.78 × 105 | 0.9268 |
| HM | 5.69 × 102 | 6.62 × 10−5 | −3.28 × 102 | −3.16 × 103 | 1.44 × 105 | 0.9974 | ||
| 2nd | CR | 1.89 × 10−1 | 4.73 × 10−9 | −4.11 × 102 | −5.31 × 103 | 2.57 × 105 | 0.9154 | |
| HM | 1.36 × 103 | 8.63 × 10−5 | −3.29 × 102 | −3.95 × 103 | 2.06 × 105 | 0.9695 | ||
| II | 1st | CR | 1.70 × 10−1 | 1.24 × 10−8 | −3.98 × 102 | −3.02 × 103 | 1.41 × 105 | 0.9115 |
| HM | 3.79 × 102 | 6.53 × 10−5 | −3.27 × 102 | −2.64 × 103 | 1.16 × 105 | 0.9901 | ||
| 2nd | CR | 2.50 × 10−1 | 7.26 × 10−10 | −4.25 × 102 | −4.73 × 103 | 2.37 × 105 | 0.9700 | |
| HM | 1.62 × 103 | 1.41 × 10−4 | −3.24 × 102 | −3.11 × 103 | 1.81 × 105 | 0.9087 | ||
| 3rd | CR | 1.16 × 10−1 | 4.44 × 10−9 | −4.10 × 102 | −6.68 × 103 | 3.25 × 105 | 0.9116 | |
| HM | 1.41 × 103 | 5.41 × 10−5 | −3.30 × 102 | −5.27 × 103 | 2.64 × 105 | 0.9949 | ||
| III | 1st | CR | 1.37 × 10−1 | 7.06 × 10−9 | −4.05 × 102 | −3.85 × 103 | 1.84 × 105 | 0.9135 |
| HM | 7.20 × 102 | 8.11 × 10−5 | −3.27 × 102 | −3.13 × 103 | 1.48 × 105 | 0.9637 | ||
| 2nd | CR | 9.40 × 10−2 | 2.04 × 10−9 | −4.19 × 102 | −6.43 × 103 | 3.18 × 105 | 0.9899 | |
| HM | 1.72 × 103 | 7.52 × 10−5 | −3.32 × 102 | −4.71 × 103 | 2.52 × 105 | 0.9957 | ||
| IV | 1st | CR | 3.82 × 10−2 | 2.25 × 10−9 | −4.14 × 102 | −3.84 × 103 | 1.88 × 105 | 0.9024 |
| HM | 5.47 × 102 | 5.92 × 10−5 | −3.30 × 102 | −3.30 × 103 | 1.49 × 105 | 0.9983 | ||
| 2nd | CR | 1.02 × 10−1 | 3.09 × 10−9 | −4.15 × 102 | −6.14 × 103 | 3.00 × 105 | 0.9647 | |
| HM | 1.57 × 103 | 7.44 × 10−5 | −3.32 × 102 | −4.57 × 103 | 2.40 × 105 | 0.9926 | ||
| Compound | Gram-Positive Bacteria | Gram-Negative Bacteria | Fungi | |||
|---|---|---|---|---|---|---|
| B. subtillus | S. aureus | E. coli | Proteus vulgaris | Aspergillus flavus | Candida albicans | |
| diim | 9 | 12 | 10 | NA | NA | NA |
| I | 10 | 10 | 11 | NA | NA | NA |
| II | 12 | 12 | 13 | NA | NA | NA |
| III | 18 | 18 | 12 | NA | NA | NA |
| IV | 13 | 13 | NA | NA | NA | NA |
| Gentamicin | 26 | 24 | 30 | 25 | - | - |
| Ketoconazole | - | - | - | - | 16 | 20 |
| Est. Free Energy of Binding | Est. Inhibition Constant, Ki | vdW + Hbond + desolv Energy | Electrostatic Energy | Total Intermolec. Energy | Frequency | Interact. Surface |
|---|---|---|---|---|---|---|
| Results of TSC against 3hb5-Oxidoreductase | ||||||
| −7.23 kcal/mol | 5.03 uM | −8.88 kcal/mol | −0.09 kcal/mol | −8.97 kcal/mol | 10% | 858.354 |
| Results of TSC against 4o1v-Protein | ||||||
| −2.87 kcal/mol | 7.86 mM | −5.15 kcal/mol | −0.09 kcal/mol | −5.24 kcal/mol | 10% | 587.943 |
Publisher’s Note: MDPI stays neutral with regard to jurisdictional claims in published maps and institutional affiliations. |
© 2021 by the authors. Licensee MDPI, Basel, Switzerland. This article is an open access article distributed under the terms and conditions of the Creative Commons Attribution (CC BY) license (http://creativecommons.org/licenses/by/4.0/).
Share and Cite
Gaber, A.; Belal, A.A.M.; El-Deen, I.M.; Hassan, N.; Zakaria, R.; Alsanie, W.F.; M. Naglah, A.; Refat, M.S. Synthesis, Spectroscopic Characterization, and Biological Activities of New Binuclear Co(II), Ni(II), Cu(II), and Zn(II) Diimine Complexes. Crystals 2021, 11, 300. https://doi.org/10.3390/cryst11030300
Gaber A, Belal AAM, El-Deen IM, Hassan N, Zakaria R, Alsanie WF, M. Naglah A, Refat MS. Synthesis, Spectroscopic Characterization, and Biological Activities of New Binuclear Co(II), Ni(II), Cu(II), and Zn(II) Diimine Complexes. Crystals. 2021; 11(3):300. https://doi.org/10.3390/cryst11030300
Chicago/Turabian StyleGaber, Ahmed, Arafa A. M. Belal, Ibrahim M. El-Deen, Nader Hassan, Rozan Zakaria, Walaa F. Alsanie, Ahmed M. Naglah, and Moamen S. Refat. 2021. "Synthesis, Spectroscopic Characterization, and Biological Activities of New Binuclear Co(II), Ni(II), Cu(II), and Zn(II) Diimine Complexes" Crystals 11, no. 3: 300. https://doi.org/10.3390/cryst11030300
APA StyleGaber, A., Belal, A. A. M., El-Deen, I. M., Hassan, N., Zakaria, R., Alsanie, W. F., M. Naglah, A., & Refat, M. S. (2021). Synthesis, Spectroscopic Characterization, and Biological Activities of New Binuclear Co(II), Ni(II), Cu(II), and Zn(II) Diimine Complexes. Crystals, 11(3), 300. https://doi.org/10.3390/cryst11030300

