NiSe2/Ag3PO4 Nanocomposites for Enhanced Visible Light Photocatalysts for Environmental Remediation Applications
Abstract
1. Introduction
2. Results and Discussion
2.1. Powder X-ray Diffraction (PXRD)
2.2. Scanning Electron Microscopy (SEM)
2.3. Energy-Dispersive X-ray Spectroscopy
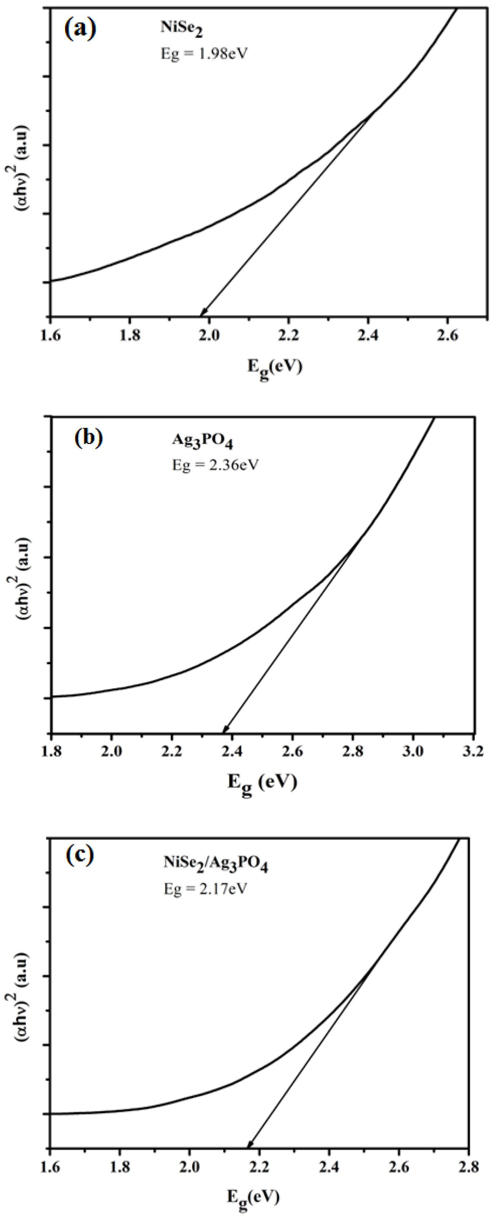
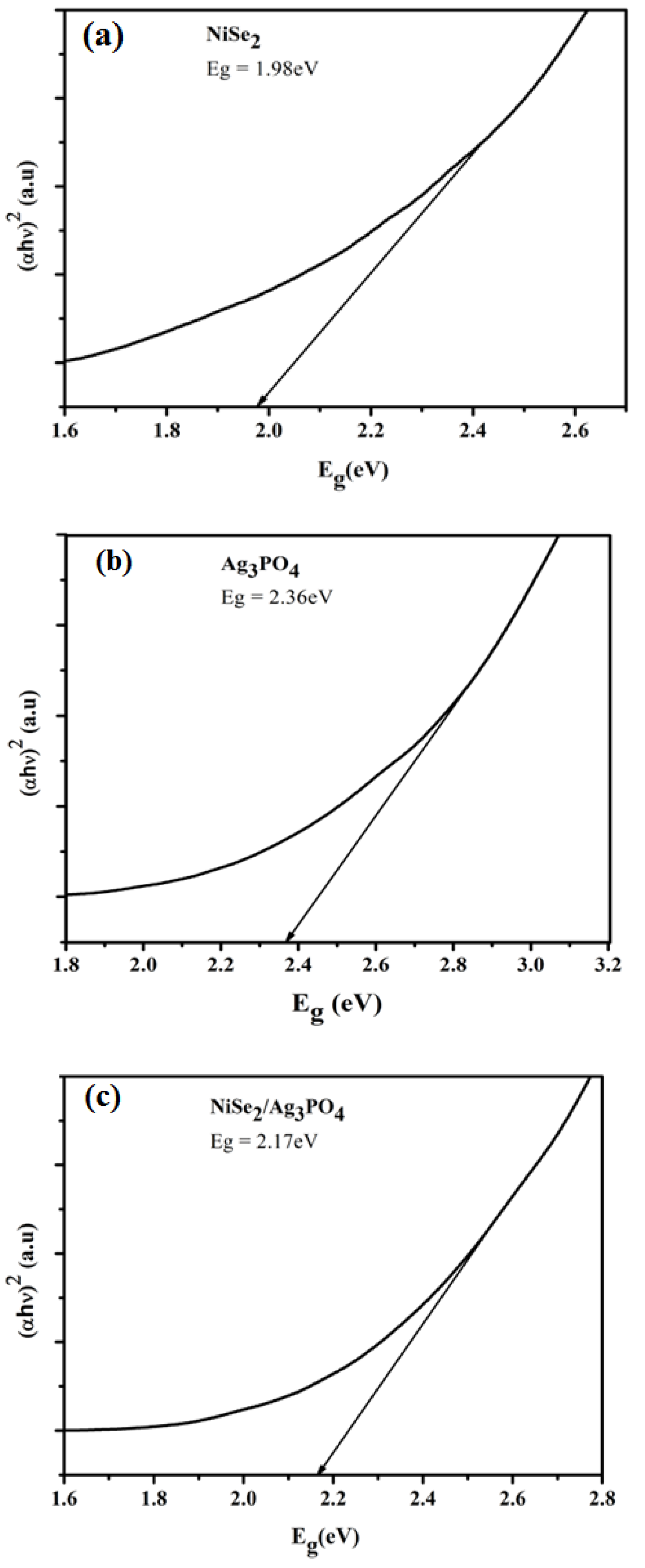
2.4. Optical Study and Band Gap Calculation
2.5. Rhodamine B Optimization Studies
2.5.1. Selection of Appropriate Catalysts for RhB Degradation
2.5.2. Effect of pH on the Degradation of Rhodamine B
2.5.3. Reaction Time Optimization for the Photodegradation of Rhodamine B
2.5.4. Catalyst Dose Optimization for the Photodegradation of Rhodamine B
2.5.5. Dye Concentration Optimization for the Photodegradation of Rhodamine B
2.5.6. Comparison of RhB Degradation Methods in the Literature
2.6. Bisphenol A Optimization Studies
2.6.1. Photocatalyst Selection for BPA Degradation
2.6.2. pH Optimization for the Degradation of Bisphenol A
2.6.3. Reaction Time Optimization for the Degradation of Bisphenol A
2.6.4. Catalyst Dose Optimization for the Degradation of Bisphenol A
2.6.5. BPA Concentration Optimization for the Degradation of Bisphenol A
2.6.6. Comparison of BPA Degradation Methods in the Literature
2.7. Degradation Kinetics
2.8. Possible Photodegradation Mechanisms
2.9. Photocatalyst Stability
3. Experiments
3.1. Materials
3.2. Synthesis of NiSe2
3.3. Synthesis of NiSe2/Ag3PO4 Composites by Hydrothermal Method
3.4. Photocatalytic Performance
4. Conclusions
Author Contributions
Funding
Data Availability Statement
Acknowledgments
Conflicts of Interest
References
- Areeb, A.; Yousaf, T.; Murtaza, M.; Zahra, M.; Zafar, M.I.; Waseem, A. Green photocatalyst Cu/NiO doped zirconia for the removal of environmental pollutants. Mater. Today Commun. 2021, 28, 102678. [Google Scholar] [CrossRef]
- Nafees, M.; Waseem, A. Organoclays as Sorbent Material for Phenolic Compounds: A Review. CLEAN-Soil Air Water 2014, 42, 1500–1508. [Google Scholar] [CrossRef]
- Wahab, N.; Saeed, M.; Ibrahim, M.; Munir, A.; Saleem, M.; Zahra, M.; Waseem, A. Synthesis, Characterization, and Applications of Silk/Bentonite Clay Composite for Heavy Metal Removal From Aqueous Solution. Front. Chem. 2019, 7, 654. [Google Scholar] [CrossRef] [PubMed]
- Yousaf, T.; Areeb, A.; Murtaza, M.; Munir, A.; Khan, Y.; Waseem, A. Silane-Grafted MXene (Ti3C2TX) Membranes for Enhanced Water Purification Performance. ACS Omega 2022, 7, 19502–19512. [Google Scholar] [CrossRef] [PubMed]
- Chowdhary, P.; Bharagava, R.N.; Mishra, S.; Khan, N. Role of industries in water scarcity and its adverse effects on environment and human health, Environmental Concerns and Sustainable Development. Air Water Energy Resour. 2020, 1, 235–256. [Google Scholar]
- Ullah, R.; Iftikhar, F.J.; Ajmal, M.; Shah, A.; Akhter, M.S.; Ullah, H.; Waseem, A. Modified Clays as an Efficient Adsorbent for Brilliant Green, Ethyl Violet and Allura Red Dyes: Kinetic and Thermodynamic Studies. Pol. J. Environ. Stud. 2020, 29, 3831–3839. [Google Scholar] [CrossRef]
- Ullah, H.; Nafees, M.; Iqbal, F.; Awan, M.S.; Shah, A.; Waseem, A. Adsorption Kinetics of Malachite Green and Methylene Blue from Aqueous Solutions Using Surfactant-modified Organoclays. Acta Chim. Slov. 2017, 64, 449–460. [Google Scholar] [CrossRef]
- Saeed, M.; Munir, M.; Nafees, M.; Shah, S.S.A.; Ullah, H.; Waseem, A. Synthesis, characterization and applications of silylation based grafted bentonites for the removal of Sudan dyes: Isothermal, kinetic and thermodynamic studies. Microporous Mesoporous Mater. 2020, 291, 109697. [Google Scholar] [CrossRef]
- Kaviyarasu, K.; Kanimozhi, K.; Matinise, N.; Magdalane, C.M.; Mola, G.T.; Kennedy, J.; Maaza, M. Antiproliferative effects on human lung cell lines A549 activity of cadmium selenide nanoparticles extracted from cytotoxic effects: Investigation of bio-electronic application. Mater. Sci. Eng. C 2017, 76, 1012–1025. [Google Scholar] [CrossRef] [PubMed]
- Huang, Y.; Wong, C.; Zheng, J.; Bouwman, H.; Barra, R.; Wahlström, B.; Neretin, L.; Wong, M.H. Bisphenol A (BPA) in China: A review of sources, environmental levels, and potential human health impacts. Environ. Int. 2012, 42, 91–99. [Google Scholar] [CrossRef]
- Rasalingam, S.; Peng, R.; Koodali, R.T. Removal of hazardous pollutants from wastewaters: Applications of TiO2-SiO2 mixed oxide materials. J. Nanomater. 2014, 2014, 10. [Google Scholar] [CrossRef]
- Dou, M.-Y.; Han, S.-R.; Du, X.-X.; Pang, D.-H.; Li, L.-L. Well-defined FeP/CdS heterostructure construction with the assistance of amine for the efficient H2 evolution under visible light irradiation. Int. J. Hydrog. Energy 2020, 45, 32039–32049. [Google Scholar] [CrossRef]
- Yan, Z.; Wang, W.; Du, L.; Zhu, J.; Phillips, D.L.; Xu, J. Interpreting the enhanced photoactivities of 0D/1D heterojunctions of CdS quantum dots/TiO2 nanotube arrays using femtosecond transient absorption spectroscopy. Appl. Catal. B 2020, 275, 119151. [Google Scholar] [CrossRef]
- Cao, Q.; Yu, J.; Cao, Y.; Delaunay, J.-J.; Che, R. Unusual effects of vacuum annealing on large-area Ag3PO4 microcrystalline film photoanode boosting cocatalyst- and scavenger-free water splitting. J. Mater. 2021, 7, 929–939. [Google Scholar] [CrossRef]
- Zhang, X.; Cheng, Z.; Deng, P.; Zhang, L.; Hou, Y. NiSe2/Cd0. 5Zn0. 5S as a type-II heterojunction photocatalyst for enhanced photocatalytic hydrogen evolution. Int. J. Hydrog. Energy 2021, 46, 15389–15397. [Google Scholar] [CrossRef]
- Li, L.; Xu, J.; Li, X.; Liu, Z. Reasonable design of roman cauliflower photocatalyst Cd0.8Zn0.2S, high-efficiency visible light induced hydrogen generation. J. Mater. Sci. Mater. Electron. 2020, 31, 10657–10668. [Google Scholar] [CrossRef]
- Zhang, Z.; Yin, Q.; Xu, L.; Zhai, J.; Guo, C.; Niu, Y.; Zhang, L.; Li, M.; Wang, H.; Guan, L. Potassium-doped-C3N4/Cd0.5Zn0.5S photocatalysts toward the enhancement of photocatalytic activity under visible-light. J. Alloys Compd. 2020, 816, 152654. [Google Scholar] [CrossRef]
- Dashairya, L.; Sharma, M.; Basu, S.; Saha, P. Enhanced dye degradation using hydrothermally synthesized nanostructured Sb2S3/rGO under visible light irradiation. J. Alloys Compd. 2018, 735, 234–245. [Google Scholar] [CrossRef]
- Song, Y.-T.; Lin, L.-Y.; Chen, Y.-S.; Chen, H.-Q.; Ni, Z.-D.; Tu, C.-C.; Yang, S.-S. Novel TiO2/Sb2S3 heterojunction with whole visible-light response for photoelectrochemical water splitting reactions. RSC Adv. 2016, 6, 49130–49137. [Google Scholar] [CrossRef]
- Lu, Q.; Yu, Y.; Ma, Q.; Chen, B.; Zhang, H. 2D transition-metal-dichalcogenide-nanosheet-based composites for photocatalytic and electrocatalytic hydrogen evolution reactions. Adv. Mater. 2016, 28, 1917–1933. [Google Scholar] [CrossRef] [PubMed]
- Zhang, J.; Xing, C.; Shi, F. MoS2/Ti3C2 heterostructure for efficient visible-light photocatalytic hydrogen generation. Int. J. Hydrog. Energy 2020, 45, 6291–6301. [Google Scholar] [CrossRef]
- Zhou, Y.; Ye, X.; Lin, D. One-pot synthesis of non-noble metal WS2/g-C3N4 photocatalysts with enhanced photocatalytic hydrogen production. Int. J. Hydrog. Energy 2019, 44, 14927–14937. [Google Scholar] [CrossRef]
- McCarthy, C.L.; Downes, C.A.; Brutchey, R.L. Room temperature dissolution of bulk elemental Ni and Se for solution deposition of a NiSe2 HER electrocatalyst. Inorg. Chem. 2017, 56, 10143–10146. [Google Scholar] [CrossRef] [PubMed]
- Shen, Y.; Ren, X.; Qi, X.; Zhou, J.; Xu, G.; Huang, Z.; Zhong, J. Hydrothermal synthesis of NiSe2 nanosheets on carbon cloths for photoelectrochemical hydrogen generation. J. Mater. Sci. Mater. Electron. 2017, 28, 768–772. [Google Scholar] [CrossRef]
- Lv, T.; Wu, M.; Guo, M.; Liu, Q.; Jia, L. Self-assembly photocatalytic reduction synthesis of graphene-encapusulated LaNiO3 nanoreactor with high efficiency and stability for photocatalytic water splitting to hydrogen. Chem. Eng. J. 2019, 356, 580–591. [Google Scholar] [CrossRef]
- Cao, Q.; Li, Q.; Pi, Z.; Zhang, J.; Sun, L.-W.; Xu, J.; Cao, Y.; Cheng, J.; Bian, Y. Metal–Organic-Framework-Derived Ball-Flower-like Porous Co3O4/Fe2O3 Heterostructure with Enhanced Visible-Light-Driven Photocatalytic Activity. Nanomaterials 2022, 12, 904. [Google Scholar]
- Cao, Q.; Hao, S.; Wu, Y.; Pei, K.; You, W.; Che, R. Interfacial charge redistribution in interconnected network of Ni2P–Co2P boosting electrocatalytic hydrogen evolution in both acidic and alkaline conditions. Chem. Eng. J. 2021, 424, 130444. [Google Scholar] [CrossRef]
- Shafi, P.M.; Bose, A.C. Impact of crystalline defects and size on X-ray line broadening: A phenomenological approach for tetragonal SnO2 nanocrystals. AIP Adv. 2015, 5, 057137. [Google Scholar] [CrossRef]
- Masnadi-Shirazi, M.; Lewis, R.; Bahrami-Yekta, V.; Tiedje, T.; Chicoine, M.; Servati, P. Bandgap and optical absorption edge of GaAs1−xBix alloys with 0 < x < 17.8%. J. Appl. Phys. 2014, 116, 223506. [Google Scholar]
- Hameeda, B.; Mushtaq, A.; Saeed, M.; Munir, A.; Jabeen, U.; Waseem, A. Development of Cu-doped NiO nanoscale material as efficient photocatalyst for visible light dye degradation. Toxin Rev. 2021, 40, 1396–1406. [Google Scholar] [CrossRef]
- Li, T.; Zhao, L.; He, Y.; Cai, J.; Luo, M.; Lin, J. Synthesis of g-C3N4/SmVO4 composite photocatalyst with improved visible light photocatalytic activities in RhB degradation. Appl. Catal. B 2013, 129, 255–263. [Google Scholar] [CrossRef]
- Liu, R.; Li, H.; Duan, L.; Shen, H.; Zhang, Q.; Zhao, X. The synergistic effect of graphene oxide and silver vacancy in Ag3PO4-based photocatalysts for rhodamine B degradation under visible light. Appl. Surf. Sci. 2018, 462, 263–269. [Google Scholar] [CrossRef]
- Zhang, J.; Yu, K.; Yu, Y.; Lou, L.-L.; Yang, Z.; Yang, J.; Liu, S. Highly effective and stable Ag3PO4/WO3 photocatalysts for visible light degradation of organic dyes. J. Mol. Catal. A Chem. 2014, 391, 12–18. [Google Scholar] [CrossRef]
- Huang, K.; Lv, Y.; Zhang, W.; Sun, S.; Yang, B.; Chi, F.; Ran, S.; Liu, X. One-step synthesis of Ag3PO4/Ag photocatalyst with visible-light photocatalytic activity. Mater. Res. 2015, 18, 939–945. [Google Scholar] [CrossRef]
- Dong, C.; Wu, K.-L.; Li, M.-R.; Liu, L.; Wei, X.-W. Synthesis of Ag3PO4–ZnO nanorod composites with high visible-light photocatalytic activity. Catal. Commun. 2014, 46, 32–35. [Google Scholar] [CrossRef]
- Kim, Y.G.; Jo, W.-K. Efficient decontamination of textile industry wastewater using a photochemically stable n–n type CdSe/Ag3PO4 heterostructured nanohybrid containing metallic Ag as a mediator. J. Hazard. Mater. 2019, 361, 64–72. [Google Scholar] [CrossRef]
- Khalid, N.; Mazia, U.; Tahir, M.; Niaz, N.; Javid, M.A. Photocatalytic degradation of RhB from an aqueous solution using Ag3PO4/N-TiO2 heterostructure. J. Mol. Liq. 2020, 313, 113522. [Google Scholar] [CrossRef]
- Qi, X.; Gu, M.; Zhu, X.; Wu, J.; Wu, Q.; Long, H.; He, K. Controlled synthesis of Ag3PO4/BiVO4 composites with enhanced visible-light photocatalytic performance for the degradation of RhB and 2, 4-DCP. Mater. Res. Bull. 2016, 80, 215–222. [Google Scholar] [CrossRef]
- Cao, W.; An, Y.; Chen, L.; Qi, Z. Visible-light-driven Ag2MoO4/Ag3PO4 composites with enhanced photocatalytic activity. J. Alloys Compd. 2017, 701, 350–357. [Google Scholar] [CrossRef]
- Wang, B.; Gu, X.; Zhao, Y.; Qiang, Y. A comparable study on the photocatalytic activities of Ag3PO4, AgBr and AgBr/Ag3PO4 hybrid microstructures. Appl. Surf. Sci. 2013, 283, 396–401. [Google Scholar] [CrossRef]
- Zheng, C.; Yang, H.; Cui, Z.; Zhang, H.; Wang, X. A novel Bi4Ti3O12/Ag3PO4 heterojunction photocatalyst with enhanced photocatalytic performance. Nanoscale Res. Lett. 2017, 12, 1–12. [Google Scholar] [CrossRef] [PubMed]
- He, P.; Song, L.; Zhang, S.; Wu, X.; Wei, Q. Synthesis of g-C3N4/Ag3PO4 heterojunction with enhanced photocatalytic performance. Mater. Res. Bull. 2014, 51, 432–437. [Google Scholar] [CrossRef]
- Zhang, C.; Wang, L.; Yuan, F.; Meng, R.; Chen, J.; Hou, W.; Zhu, H. Construction of pn type Ag3PO4/CdWO4 heterojunction photocatalyst for visible-light-induced dye degradation. Appl. Surf. Sci. 2020, 534, 147544. [Google Scholar] [CrossRef]
- Xu, H.; Wang, C.; Song, Y.; Zhu, J.; Xu, Y.; Yan, J.; Song, Y.; Li, H. CNT/Ag3PO4 composites with highly enhanced visible light photocatalytic activity and stability. Chem. Eng. J. 2014, 241, 35–42. [Google Scholar] [CrossRef]
- Shen, S.; Yan, L.; Song, K.; Lin, Z.; Wang, Z.; Du, D.; Zhang, H. NiSe2/CdS composite nanoflakes photocatalyst with enhanced activity under visible light. RSC Adv. 2020, 10, 42008–42013. [Google Scholar] [CrossRef]
- Shen, S.; Zhang, H.; Xu, A.; Zhao, Y.; Lin, Z.; Wang, Z.; Zhong, W.; Feng, S. Construction of NiSe2/BiVO4 Schottky junction derived from work function discrepancy for boosting photocatalytic activity. J. Alloys Compd. 2021, 875, 160071. [Google Scholar] [CrossRef]
- Kaneco, S.; Rahman, M.A.; Suzuki, T.; Katsumata, H.; Ohta, K. Optimization of solar photocatalytic degradation conditions of bisphenol A in water using titanium dioxide. J. Photochem. Photobiol. A Chem. 2004, 163, 419–424. [Google Scholar] [CrossRef]
- Kosky, P.G.; Silva, J.M.; Guggenheim, E.A. The aqueous phase in the interfacial synthesis of polycarbonates. Part 1. Ionic equilibria and experimental solubilities in the BPA-sodium hydroxide-water system. Ind. Eng. Chem. Res. 1991, 30, 462–467. [Google Scholar] [CrossRef]
- Koohestani, H.; Sadrnezhaad, S.K. Photocatalytic degradation of methyl orange and cyanide by using TiO2/CuO composite. Desalination Water Treat. 2016, 57, 22029–22038. [Google Scholar] [CrossRef]
- Guo, J.; Dai, Y.-Z.; Chen, X.-J.; Zhou, L.-L.; Liu, T.-H. Synthesis and characterization of Ag3PO4/LaCoO3 nanocomposite with superior mineralization potential for bisphenol A degradation under visible light. J. Alloys Compd. 2017, 696, 226–233. [Google Scholar] [CrossRef]
- Ma, Y.; Li, J.; Jin, Y.; Gao, K.; Cai, H.; Ou, G. The enhancement mechanism of ultra-active Ag3PO4 modified by tungsten and the effective degradation towards phenolic pollutants. Chemosphere 2021, 285, 131440. [Google Scholar] [CrossRef]
- Taheri, M.E.; Petala, A.; Frontistis, Z.; Mantzavinos, D.; Kondarides, D.I. Fast photocatalytic degradation of bisphenol A by Ag3PO4/TiO2 composites under solar radiation. Catal. Today 2017, 280, 99–107. [Google Scholar] [CrossRef]
- Katsumata, H.; Taniguchi, M.; Kaneco, S.; Suzuki, T. Photocatalytic degradation of bisphenol A by Ag3PO4 under visible light. Catal. Commun. 2013, 34, 30–34. [Google Scholar] [CrossRef]
- Wang, C.; Zhu, J.; Wu, X.; Xu, H.; Song, Y.; Yan, J.; Song, Y.; Ji, H.; Wang, K.; Li, H. Photocatalytic degradation of bisphenol A and dye by graphene-oxide/Ag3PO4 composite under visible light irradiation. Ceram. Int. 2014, 40, 8061–8070. [Google Scholar] [CrossRef]
- Zhai, Y.; Dai, Y.; Guo, J.; Zhou, L.; Chen, M.; Yang, H.; Peng, L. Novel biochar@ CoFe2O4/Ag3PO4 photocatalysts for highly efficient degradation of bisphenol a under visible-light irradiation. J. Colloid Interface Sci. 2020, 560, 111–121. [Google Scholar] [CrossRef] [PubMed]
- Chu, Y.; Miao, B.; Zheng, X.; Su, H. Fabrication of flower-globular Bi2WO6/BiOI@Ag3PO4 photocatalyst for the degradation of bisphenol A and cefepime under sunlight: Photoelectric properties, degradation performance, mechanism and biodegradability enhancement. Sep. Purif. Technol. 2021, 272, 118866. [Google Scholar] [CrossRef]
- Kumar, K.V.; Porkodi, K.; Rocha, F. Langmuir–Hinshelwood kinetics—A theoretical study. Catal. Commun. 2008, 9, 82–84. [Google Scholar] [CrossRef]
- Colmenares, J.C.; Luque, R. Heterogeneous photocatalytic nanomaterials: Prospects and challenges in selective transformations of biomass-derived compounds. Chem. Soc. Rev. 2014, 43, 765–778. [Google Scholar] [CrossRef]
- Ahmed, S.; Rasul, M.; Brown, R.; Hashib, M. Influence of parameters on the heterogeneous photocatalytic degradation of pesticides and phenolic contaminants in wastewater: A short review. J. Environ. Manag. 2011, 92, 311–330. [Google Scholar] [CrossRef] [PubMed]
- Ge, M.; Zhu, N.; Zhao, Y.; Li, J.; Liu, L. Sunlight-Assisted Degradation of Dye Pollutants in Ag3PO4 Suspension. Ind. Eng. Chem. Res. 2012, 51, 5167–5173. [Google Scholar] [CrossRef]











| Catalyst | Catalyst Amount (mg) | Dye Amount (ppm) | Degradation Time (min) | Degradation Efficiency (%) | Rate Constant (min−1) | Reference |
|---|---|---|---|---|---|---|
| Ag3PO4@GO | 50 | 6 | 60 | 99 | - | [32] |
| Ag3PO4/WO3 | 40 | 5 | 30 | 97 | - | [33] |
| Ag3PO4/Ag | 100 | 10 | 90 | 98 | - | [34] |
| Ag3PO4/ZnO | 20 | 10 | 30 | 93 | 0.0895 | [35] |
| Ag3PO4/CdSe | 25 | 10 | 60 | 99 | - | [36] |
| Ag3PO4/N-TiO2 | 20 | 10 | 120 | 99 | 0.0194 | [37] |
| Ag3PO4/BiVO4 | 100 | 10 | 30 | 92 | 0.088 | [38] |
| Ag2MoO4/Ag3PO4 | 50 | 10 | 12 | 97 | 0.3591 | [39] |
| AgBr/Ag3PO4 | 100 | 10 | 7 | 99 | - | [40] |
| Bi4Ti3O4/Ag3PO4 | 20 | 5 | 30 | 99 | 0.1789 | [41] |
| g-C3N4/Ag3PO4 | 100 | 10 | 10 | 96 | - | [42] |
| Ag3PO4/CdWO4 | 100 | 10 | 5 | 99 | 0.71 | [43] |
| CNT/Ag3PO4 | 75 | 10 | 12 | 92.4 | 0.207 | [44] |
| NiSe2/CdS | 50 | 10 | 360 | 85 | 0.01 | [45] |
| NiSe2/BiVO4 | 50 | 10 | 360 | 99 | 0.0149 | [46] |
| NiSe2/Ag3PO4 | 25 25 | 10 40 | 20 20 | 99.9 90.5 | 0.2275 | This Work |
| Catalyst | Catalyst Amount (mg) | Dye Amount (ppm) | Degradation Time (min) | Degradation Efficiency (%) | Rate Constant (min−1) | Reference |
|---|---|---|---|---|---|---|
| Ag3PO4/LaCoO3 | 25 | 10 | 30 | 81.5 | 0.08321 | [50] |
| Ag3PO4/W | 400 | 20 | 40 | 82 | 0.122 | [51] |
| Ag3PO4/TiO2 | 50 | 20 | 20 | 95 | 0.17 | [52] |
| Ag3PO4 | 50 | 10 | 10 | 80.3 | - | [53] |
| Ag3PO4/GO | 75 | 10 | 30 | 86.4 | - | [54] |
| CoFe2O4/Ag3PO4 | 25 | 20 | 60 | 91.12 | 0.03411 | [55] |
| Bi2WO6/BiOI@Ag3PO4 | 100 | 20 | 120 | 84.8 | 0.03127 | [56] |
| NiSe2/Ag3PO4 | 20 | 20 | 30 | 99.4 | 0.1266 | This work |
Disclaimer/Publisher’s Note: The statements, opinions and data contained in all publications are solely those of the individual author(s) and contributor(s) and not of MDPI and/or the editor(s). MDPI and/or the editor(s) disclaim responsibility for any injury to people or property resulting from any ideas, methods, instructions or products referred to in the content. |
© 2023 by the authors. Licensee MDPI, Basel, Switzerland. This article is an open access article distributed under the terms and conditions of the Creative Commons Attribution (CC BY) license (https://creativecommons.org/licenses/by/4.0/).
Share and Cite
Rani, M.; Murtaza, M.; Amjad, A.; Zahra, M.; Waseem, A.; Alhodaib, A. NiSe2/Ag3PO4 Nanocomposites for Enhanced Visible Light Photocatalysts for Environmental Remediation Applications. Catalysts 2023, 13, 929. https://doi.org/10.3390/catal13060929
Rani M, Murtaza M, Amjad A, Zahra M, Waseem A, Alhodaib A. NiSe2/Ag3PO4 Nanocomposites for Enhanced Visible Light Photocatalysts for Environmental Remediation Applications. Catalysts. 2023; 13(6):929. https://doi.org/10.3390/catal13060929
Chicago/Turabian StyleRani, Madeeha, Maida Murtaza, Aneeqa Amjad, Manzar Zahra, Amir Waseem, and Aiyeshah Alhodaib. 2023. "NiSe2/Ag3PO4 Nanocomposites for Enhanced Visible Light Photocatalysts for Environmental Remediation Applications" Catalysts 13, no. 6: 929. https://doi.org/10.3390/catal13060929
APA StyleRani, M., Murtaza, M., Amjad, A., Zahra, M., Waseem, A., & Alhodaib, A. (2023). NiSe2/Ag3PO4 Nanocomposites for Enhanced Visible Light Photocatalysts for Environmental Remediation Applications. Catalysts, 13(6), 929. https://doi.org/10.3390/catal13060929

