Abstract
The rapid advancements in vehicular technologies have enabled modern autonomous vehicles (AVs) to perform complex tasks, such as augmented reality, real-time video surveillance, and automated parking. However, these applications require significant computational resources, which AVs often lack. To address this limitation, Vehicular Edge Computing (VEC) has emerged as a promising solution, allowing AVs to offload computational tasks to nearby vehicles and edge servers. This offloading process, however, is complicated by factors such as high vehicle mobility and intermittent connectivity. In this paper, we propose the Hungarian Algorithm for Task Offloading (HATO), a novel approach designed to optimize the distribution of computational tasks in 5G-enabled VEC systems. HATO leverages 5G’s low-latency, high-bandwidth communication to efficiently allocate tasks across edge servers and nearby vehicles, utilizing the Hungarian algorithm for optimal task assignment. By designating an edge server to gather contextual information from surrounding nodes and compute the best offloading scheme, HATO reduces computational burdens on AVs and minimizes task failures. Through extensive simulations in both urban and highway scenarios, HATO achieved a significant performance improvement, reducing execution time by up to 75.4% compared to existing methods under full 5G coverage in high-density environments. Additionally, HATO demonstrated zero energy constraint violations and achieved the highest task processing reliability, with an offloading success rate of 87.75% in high-density urban areas. These results highlight the potential of HATO to enhance the efficiency and scalability of VEC systems for autonomous vehicles.
1. Introduction
The significant advancements in embedded systems and the Internet of Things (IoT) have transformed modern automobiles into intelligent, innovative machines known as Autonomous Vehicles (AVs) [1]. These AVs are equipped with a wide array of sensors and processors that allow them to perform essential tasks such as detecting and recognizing surrounding objects, ensuring the safety of both pedestrians and passengers, making real-time decisions, adhering to traffic rules, maintaining internet connectivity, and offering features like automated parking, among other capabilities [2]. Furthermore, these vehicles utilize wireless communication technologies to interact with each other in Vehicle-to-Vehicle (V2V) mode or with roadside infrastructure in Vehicle-to-Infrastructure (V2I) mode. V2V communication leverages wireless access in vehicular environments (WAVE), which is based on IEEE 1609 and IEEE 802.11p protocols [2]. On the other hand, V2I communication is expected to utilize advanced networks that provide enhanced mobile broadband, reduced latency, increased node mobility, and high reliability, all of which are realized through the deployment of fifth-generation (5G) cellular networks [3].
As these vehicles continue to evolve, they are generating increasingly vast amounts of data. Each autonomous vehicle is estimated to produce approximately 30 terabytes of data every day, driven by the growing adoption of features such as augmented reality and real-time video surveillance [2]. This increase in computing workload imposes significant demands on the vehicle’s central processing unit (CPU). Additionally, AVs must contend with time-sensitive delays, further complicating the computational process [4]. Most AVs, however, lack the necessary computational power to quickly process and handle the vast amounts of data they gather, nor are they equipped to run complex vehicular applications within the required time frames [5].
To address this challenge, a proposed solution was the implementation of a system in which nearby vehicles and edge servers, connected to base stations (BSs), offer their computational resources to vehicles in need of assistance [6]. This system is known as Vehicle Edge Computing (VEC) [7]. VEC enables vehicles to tap into idle computational resources from neighboring nodes, thereby avoiding potential communication delays that might occur if cloud servers were used.However, the VEC approach introduces a key complexity: each vehicle must possess detailed contextual knowledge about nearby servers and other vehicles in order to effectively leverage the VEC system [8]. An autonomous vehicle must have a comprehensive understanding of its surroundings, including data such as location, path, speed, communication coverage, energy and computation capacity, and node availability [9]. Once this contextual information is collected, the vehicle must then evaluate the data to determine which tasks should be offloaded to which nodes, be it a nearby vehicle or an edge server [10].
Many solutions in the literature delegate the responsibility of decision making to the vehicle in need. However, this approach requires additional time and may impose a computational burden on the vehicle itself, as noted in some proposed solutions. To overcome this challenge, we propose an alternative method in this paper. We suggest that one of the edge servers, possessing the most comprehensive contextual information, should handle the computation and provide the vehicle with an optimal allocation matrix of tasks to be offloaded to neighboring edge servers and vehicles. This solution capitalizes on the high reliability, enhanced mobile broadband, and reduced latency offered by 5G connectivity between vehicles and edge servers. As a result, our contributions can be summarized as follows:
- We propose assigning the most suitable edge server the responsibility of determining the optimal task offloading plan for a vehicle, based on the contextual data gathered from nearby nodes.
- The edge server utilizes a game theory approach, specifically the Hungarian method, to provide the vehicle with an optimal task offloading scheme.
- We employ both communication technologies in our approach. 5G technology, specifically V2I (Vehicle-to-Infrastructure) communication, is used to offload tasks from the edge server to specific nodes, while WAVE (Wireless Access in Vehicular Environments) in V2V (Vehicle-to-Vehicle) mode is used to relay the results of tasks completed remotely by selected vehicles. This dual communication strategy maximizes the potential of the VEC system.
- We conducted simulations of the proposed system across various vehicular scenarios and alternative algorithms to assess the effectiveness of our solution. The simulation results demonstrate improvements in application execution time and a reduction in the frequency of task offloading failures.
The structure of this paper is organized as follows: Section 2 provides a review of the related work. In Section 3, the problem formulation and system model are introduced. Section 4 outlines the proposed solution. Section 5 discusses the simulation parameters and presents a detailed analysis of the results. Finally, the paper concludes in Section 6.
2. Related Work
Task offloading in Vehicular Edge computing is a crucial component of the vehicular system and requires careful attention to fulfill end-user expectations regarding the intricate new vehicular applications. Researchers worldwide are currently studying the problem of job offloading in autonomous vehicular networks employing vehicle edge networks, in light of the emergence of 5G and B5G (Beyond 5G) technologies. The authors of [11] suggested exploiting solely V2I communication via 5G networks for task offloading, resorting to V2V mode only in the event of failure in the initial offloading mode. This argument disregards the computational abilities of nearby vehicles in the event that the V2I offloading is successful, and if it is unsuccessful, the time it takes to offload in V2V mode diminishes the quality of experience for customers. In [12], de Souza et al. employed a greedy approach to assign jobs to edge nodes, disregarding any contextual information about the nodes. This oversight could lead to system malfunction if a node lacks the necessary processing power for its assigned work. Chen et al. in [13] suggested employing the Particle Swarm Optimization method (PSO) for selecting the edge server to which the vehicles will offload. The authors of [14] presented a solution to the task allocation problem using a Markov decision process (MDP). These systems select a single edge server to offload tasks to, disregarding other edge servers and adjacent vehicles. This approach does not make efficient use of the Vehicle Edge Computing, resulting in overburdening the chosen server with all jobs. The authors of [15] focused solely on offloading computing tasks to edge and cloud servers, disregarding the processing capabilities of nearby vehicles.
The authors of [16] suggested the utilization of a bee-colony-based algorithm to delegate computational tasks to nearby vehicles and edge servers. In their study, Dai et al. [17] introduced a deep Q-network (DQN) to determine the optimal offloading strategy for a vehicle. However, their approach only considered offloading to edge and cloud servers. The authors in [18] presented a method for vehicle task offloading with the assistance of an unmanned aerial vehicle (UAV) in order to reduce the time it takes to complete vehicular activities, the optimal offloading strategy was selected using Lyapunov and Markov approximation optimization techniques. Karimi et al. [19] suggested employing deep reinforcement learning to determine the most advantageous offloading approach, exclusively utilizing edge and cloud servers for offloading. The authors of [20] suggested a method that uses traffic awareness to perform a binary search and feasibility check in order to plan an effective strategy for offloading. Meanwhile, Fan et al. [21] presented a categorization of neighbor vehicles and employed Reformulation Linearization (RL) and Generalized Benders Decomposition (GBD) to address the optimization problem of resource and job allocation. In [22], Sun et al. the suggested approach involves utilizing ant colony optimization (ACO) to determine the optimal path for dumping data to edge and cloud servers, and the authors of [23] suggested a game-based approach to delegate tasks to an edge server, and if that server is heavily burdened, the assignment will be transferred to another edge server. This proposal has the potential to cause delays and not fully utilize VEC (Vehicle-to-Everything) optimization by disregarding the unused processing power of nearby vehicles.
Many solutions presented in the literature fail to consider the computational capabilities of neighboring vehicles. These solutions solely offload tasks to edge and cloud servers, disregarding the potential computing power of nearby automobiles, like [13,14,15,17,22,23], or emphasize the vehicles that require computational assistance in determining which tasks should be offloaded to specific nodes, like [11,12,16,18,19,20,21]. This research suggests utilizing an edge server to determine the optimal offloading technique by employing the Hungarian Algorithm and considering contextual data from neighboring vehicles and edge servers.
3. System Model and Problem Formulation
In this section, we present the system model and formulate the problem of task offloading for autonomous vehicles in the VEC system.
3.1. Network Specification
As depicted in Figure 1, the network consists of vehicles, BS-5G operating in the mmWave frequency range (specifically in 5G mode), and edge servers. All vehicles are assumed to operate within the same communication range and regularly transmit messages (known as beacons) to edge servers and nearby vehicles. These vehicles are equipped with two types of communication interfaces: IEEE 802.11p (WAVE) and mmWave (5G). The decision to offload tasks or not depends on the computational state of the vehicle, which may choose to not offload, partially offload, or fully offload tasks.
Figure 1.
System illustration.
Our proposed solution integrates BS-5G and edge servers using fiber optics. The BS-5G, equipped with a mmWave interface, enables wireless communication over a significant range, functioning as a relay node between vehicles and edge servers. This setup ensures high-speed data transmission and processing across the network.
3.2. Offloading Scheme
When a vehicle requires computational assistance, it becomes the client, while all other nodes in the network serve as potential servers for delegating computational tasks. The offloading procedure begins with the client broadcasting a help request via WAVE mode to nearby vehicles and via BS-5G to edge servers. In this request, the client specifies a preferred edge server to handle the task allocation. Consequently, any responses to this request are directed towards the designated edge server.
Upon sending the request, the client proceeds to transmit the tasks that need to be offloaded. Nodes receiving the request respond to the edge server with relevant contextual information, including location, transmission rate, direction, speed, CPU capacity, and availability. After a set duration, , the edge server gathers this contextual information and formulates an optimal allocation matrix using an algorithm (detailed in Section 4). The edge server then transmits the task files to the selected nodes over a 5G communication link.
Once the tasks are completed, the results are sent back to the client, either via WAVE if completed by a vehicle, or via BS-5G if executed by an edge server. In cases where the edge server fails to receive a beacon from any of the selected nodes within a specific time frame, ms, it assumes the task has failed and reassigns the task to another node. If the client vehicle receives duplicate results for the same task, the most recent one is discarded.
3.3. Communication Model
Consider a client vehicle i and a server node j. The transmission time from i to j is calculated as follows:
where is the average transmission rate of data from vehicle i to vehicle j, is the speed of propagation, and is the distance between the two vehicles. accounts for any other probable delay. Minor delays, such as those from BS-5G wired links and channel switching in WAVE mode, are neglected in this model [24].
3.4. Computation Model
Each node in the VEC system, whether an edge server or a vehicle, has varying CPU capacity and availability. To reduce system complexity, we assume all CPUs can process only one task at a time, and follow a First In, First Out (FIFO) scheduling algorithm. As in [25], if a new task arrives while the CPU is occupied, it enters a queue and waits to be processed.
When vehicles generate a set of tasks , these tasks may be offloaded or processed locally. Each task has three parameters: (the number of CPU cycles needed), (the size of the data to upload), and (the size of the result after execution).
The total execution time for each task depends on whether it is processed locally or offloaded. For local processing, the execution time is:
where is the queue waiting time, and is the time to process the task, calculated as [26]:
where is the client’s computational capacity in cycles per second.
If the task is processed remotely, the overall execution time is calculated as:
The waiting time in the remote queue is , and the remote processing time is calculated as:
To calculate the total time for L tasks processed locally and R tasks processed remotely, we compute:
Finally, the total time to execute all tasks is:
3.5. Energy Model
In this analysis, we assume that combustion engine-powered vehicles and edge servers have an unlimited energy supply. However, non-combustion-powered vehicles (NCP) and electric vehicles (EV) have limited remaining energy (RE) and must meet a minimum energy threshold (MTE) to complete tasks. All clients are assumed to have enough energy to either offload tasks or process them locally.
In offloading scenarios, client energy consumption consists of transmission energy and the power consumed during local processing, expressed as:
where is the energy consumed for local processing, and is the energy consumed during data transmission to the edge server. We disregard minor energy consumption from small transmissions and receptions [27].
3.6. Problem Formulation
We formulate the problem of minimizing task offloading time in the VEC system as follows:
- Pb1: min TotalT
Subject to:
The problem Pb1 is NP-hard with multiple constraints. C1 states that the sum of tasks processed locally (L) and remotely (R) equals the total number of tasks n. C2 ensures that the execution time of all tasks by server s is shorter than the connection time between the client and server s [28]. C3 and C4 indicate that both client and server nodes must have sufficient energy to execute all delegated tasks.
4. Proposed Method Based on HATO
To address the problem formulated as Pb 1, we propose using the Hungarian algorithm, specifically adapted for offloading tasks in 5G VEC systems. This algorithm, referred to as Hungarian Algorithm for Task Offloading (HATO), facilitates the selection of an edge server by the client (the vehicle in need) to act as a control unit responsible for managing the task offloading process. Once the client vehicle designates the responsible server, it broadcasts a request for assistance and begins transmitting the tasks to be processed remotely by the selected edge server. A brief description of HATO is presented in Algorithm 1.
Upon receiving the help request, the other nodes (both edge servers and vehicles) respond by sending their contextual information to the designated edge server, provided they are available to assist. The edge server then creates an allocation matrix based on the responses from these nodes, which will be used in the task assignment algorithm. To achieve an optimal distribution of tasks across available servers, we propose using the Hungarian Algorithm, which is well-suited for this type of problem and is computationally efficient [29].
Once the contextual data from vehicles and edge servers willing to assist has been gathered, the responsible edge server generates a square matrix (), where each column represents one of the offloaded tasks (R tasks in total), and each row represents a helping vehicle or edge server. The number of rows is equal to the number of offloaded tasks. If the number of assisting nodes exceeds the number of tasks, the server only considers the first R nodes and disregards the rest. Conversely, if the number of available nodes is fewer than the number of tasks, the server reuses the most capable nodes (those with higher processing power and availability) as virtual nodes to maintain a square matrix for the Hungarian method [30].
The edge server then calculates the cost of executing each task at each available server using Equation (4), filling the matrix with these costs. The Hungarian Algorithm begins with the first step: subtracting the minimum value in each row from all elements in that row. The same process is repeated for the columns. In the second step, the algorithm identifies the minimum number of rows and columns needed to cover all zeros in the updated matrix. If the number of marked rows and columns is less than the total number of rows (R), the algorithm proceeds to identify the lowest uncovered cost and adjusts the matrix by subtracting this value from all uncovered elements and adding it to the doubly covered elements. This process continues until the number of marked lines is equal to or greater than the number of rows (R). The final matrix provides the optimal assignment solution, indicated by the zeros in the matrix.
Figure 2 illustrates the proposed system, where the client initiates the process by (A) broadcasting a help request to neighbouring vehicles using WAVE and to edge servers via the 5G interface. The client then selects a specific edge server to manage the offloading of tasks. In step (B), the tasks requiring remote execution are transmitted to the designated edge server through the 5G interface. Available nodes respond to the help request by sending their contextual information to the responsible edge server. In steps (D) and (E), the edge server creates a square matrix and calculates the costs associated with task execution. The Hungarian Algorithm is then applied to determine the optimal task assignment. In step (F), the tasks are transferred to the assisting nodes via the 5G interface from the responsible edge server. This communication method is significantly faster than the WAVE communication used between vehicles [31]. Finally, in step (G), the assisting nodes execute the tasks and return the results directly to the client—via WAVE if the node is a vehicle, or via 5G-BS if the node is an edge server.
Figure 2.
Diagram of HATO.
To illustrate how the edge server reduces the computational burden on the client, we provide Algorithm 1, a pseudo-code for the Hungarian Algorithm used to assign tasks to servers (either vehicles or edge servers). Specifically, the Hungarian Algorithm aims to efficiently assign a set of tasks to servers to minimize costs. Initially, the algorithm generates a task set and a corresponding assignment matrix. Costs are calculated using a predefined equation, and the matrix is then adjusted by subtracting the minimum values from each row and column, ensuring that the lowest cost paths are highlighted by zeros. The core of the algorithm involves marking the minimum number of lines necessary to cover all zeros in the matrix. If not all zeros are covered by the marked lines (indicating an incomplete optimal assignment), the algorithm adjusts the matrix further by subtracting the smallest uncovered value from all unmarked elements and adding it to elements that are doubly marked. This process iterates until the minimum lines cover all zeros, indicating that the optimal assignment has been achieved based on the zero elements of the matrix. This method effectively ensures that tasks are assigned to servers in a way that either minimizes or optimizes costs based on the original objective.
| Algorithm 1: Task Offloading in 5G-Enabled Vehicular Edge Computing Systems with HATO |
![]() |
5. Simulation and Results
To evaluate the performance of the proposed offloading scheme, we simulated our system using ns3 [32] with a 5G interface module (mmWAVE) [33] and SUMO [34]. Typically, we implemented the HATO algorithm by creating a new header file in ns3 that contains all the necessary HATO functions. These functions are integrated into the simulation workflow and executed during the task offloading process. This allows for seamless use of the HATO algorithm within the ns3 environment. The simulation was conducted on a portable computer with an Core(TM) i3-1115G4 processor running at 3.00 GHz and 8 GB of RAM. The parameters used for the simulation are displayed in Table 1. Vehicles were randomly distributed across two scenarios with random directions and speeds. The first scenario takes place in a 2 urban area with two vehicle density levels: LowD and HighD , where 10% of vehicles may be off. The second scenario simulates a 5 km highway with dual lanes in each direction and two density levels: LowD and HighD . In both scenarios, the maximum speed is 60 , and partial or full 5G coverage is assumed. We consider two workloads, ST1 and ST2, each consisting of 5 and 10 tasks, respectively, with each task having a unique data size in case of offloading.
Table 1.
Simulation parameters.
The parameters listed in Table 1 are crucial for configuring the simulation environment and ensuring accurate results. The simulation runs for 150 s, during which tasks are offloaded, processed, and results are returned. Each scenario is simulated 50 times to ensure statistical significance and account for performance variability. Edge servers are equipped with CPU capacities ranging from 1.5 GHz to 2.5 GHz, while vehicles, with their more limited CPU capacities of 0.5 GHz to 1.0 GHz, rely on offloading tasks to these more powerful edge servers. The tasks themselves range in size from 300 kB to 600 kB, while the results are fixed at 1 kB, affecting the transmission time during the simulation.
In terms of energy, the simulation accounts for both non-combustion-powered (NCP) and electric vehicles (EVs), with defined minimum energy thresholds (MTE) and remaining energy (RE) levels to ensure that only nodes with sufficient energy participate in task offloading. Communication coverage is defined for both WAVE (250 m) and 5G (200 m) technologies, determining the communication range between vehicles and edge servers. The data transmission rates—27 Mbps for WAVE and 500 Mbps for 5G—affect the speed of task and result transfer, with 5G providing significantly faster communication. These parameters collectively ensure that the simulation closely mimics real-world conditions in 5G-enabled Vehicular Edge Computing systems.
To assess the effectiveness of the proposed system, we conducted a comparative analysis with two existing methods: the HVC (Hybrid Vehicular Edge Cloud) [11] and the MDO (Multi-Decision Based Offloading) [25]. In the HVC method, tasks are transferred through a 5G interface to an edge server as the primary destination, with offloading to neighboring vehicles only occurring in the event of a failure. The MDO method, on the other hand, offloads tasks to either neighboring vehicles or the client itself, depending on the queue length and vehicle speed. The evaluation focuses on key parameters, including energy constraint violation, task processing reliability, and improvements in execution time.
5.1. Energy Constraint Violation
In this section, we analyze the violation of energy constraints ( and ), which occurs when the client offloads tasks to a server with power below the minimum threshold (MTE) or whose power will drop below the MTE after completing the tasks.
Table 2 presents the percentage of energy constraint violations for the workloads ST1 and ST2 using the HVC, MDO, and HATO algorithms. Both HVC and MDO exhibit energy constraint violations, as these methods do not consider the energy levels of the offloading targets. MDO records the highest violation rate since it primarily offloads tasks to nearby vehicles. In contrast, HATO demonstrates zero violations in all scenarios due to its energy-aware offloading constraints.
Table 2.
Energy Constraint Violation (%).
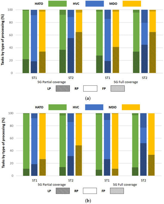
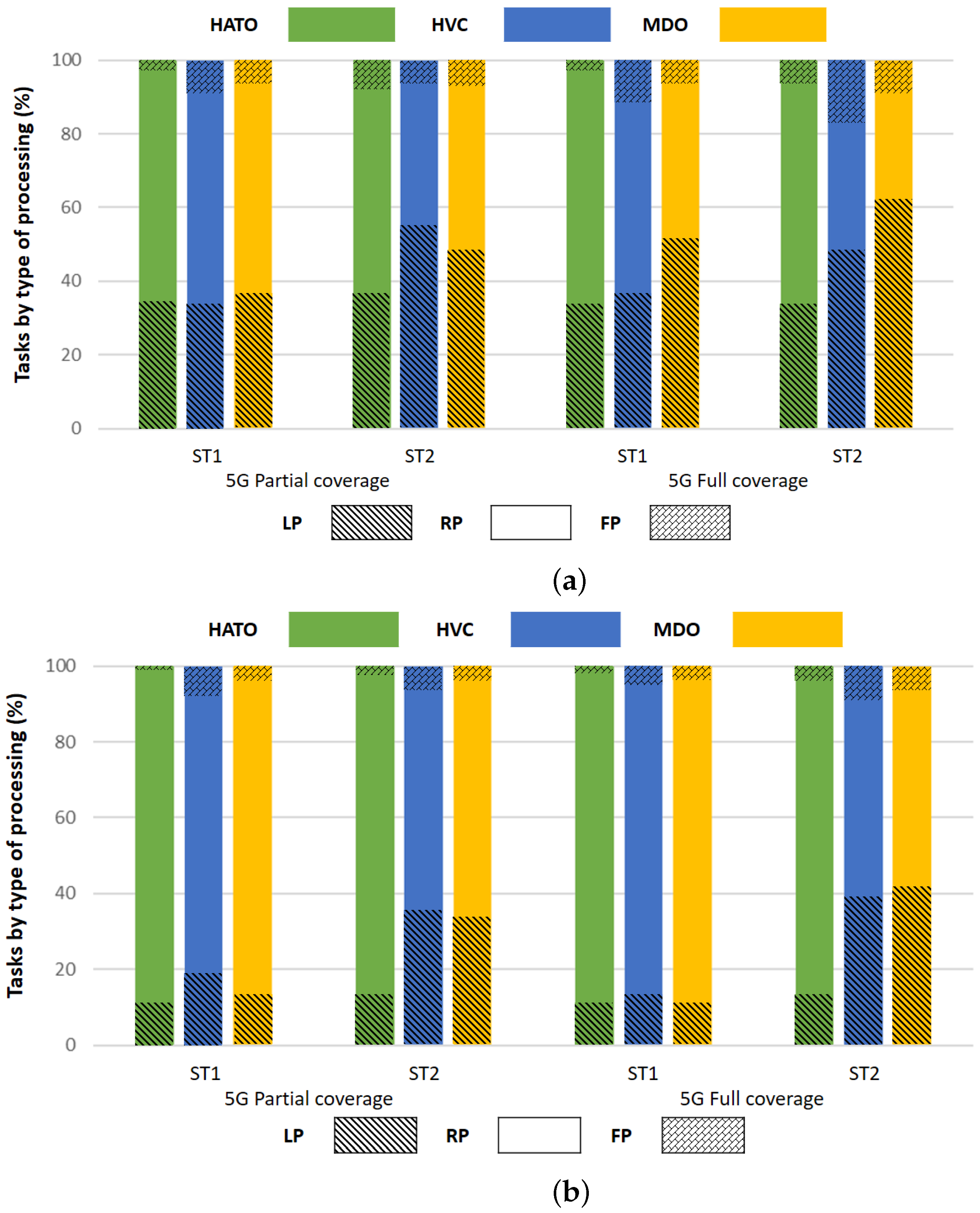
Task Processing Reliability
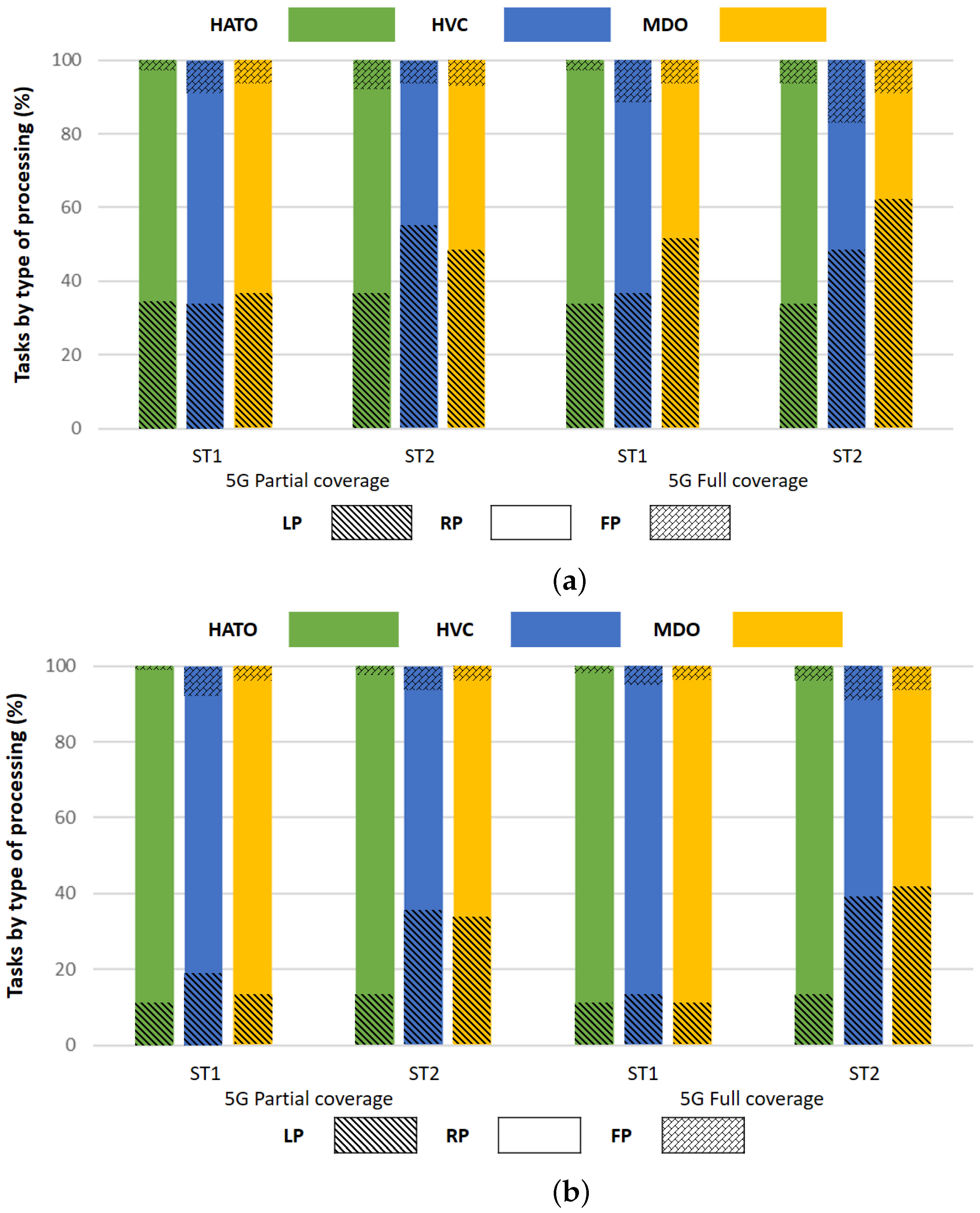
We classify tasks into three categories based on their processing location: locally processed (LP), remotely processed (RP), and failed cases (FP), where the edge server fails to execute the task. Figure 3 and Figure 4 display the results for urban and highway scenarios, respectively.
Figure 3.
Evaluation of task processing reliability in urban areas: (a) low vehicular density and (b) high vehicular density.
Figure 4.
Evaluation of task processing reliability on highways: (a) low vehicular density and (b) high vehicular density.
In the urban scenario, as shown in Figure 3a,b, HATO achieves a high offloading percentage of 87.75% in high-density areas with workload ST1, while maintaining the lowest failed processing rate at 1.13%. The MDO algorithm performs better than HVC but still falls short compared to HATO. For highway scenarios, as illustrated in Figure 4, HATO excels in minimizing locally processed tasks (LP), though it ranks second in failed cases (FP). The highest failure rate of 7.93% occurs for remotely processed tasks (RP) on low-density highways under partial 5G coverage (Figure 4a). Overall, HATO proves to be the most reliable for RP workloads, owing to its improved decision-making process.
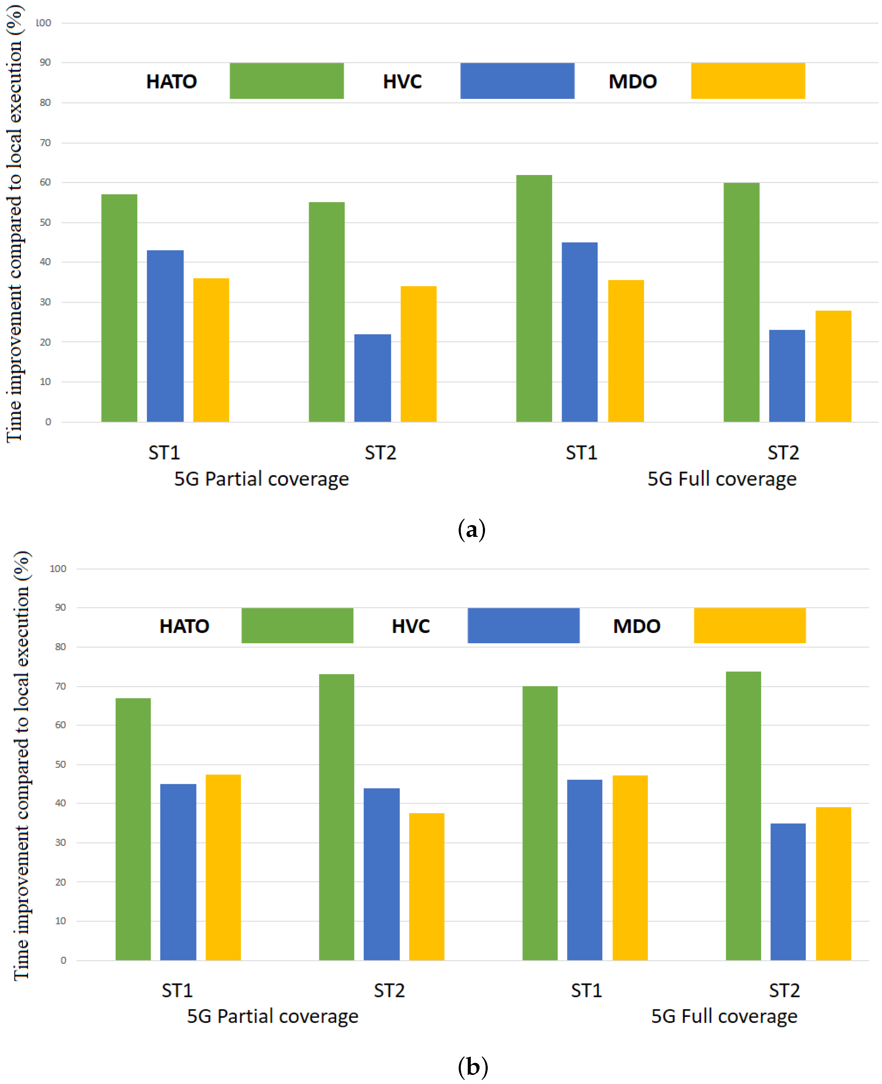
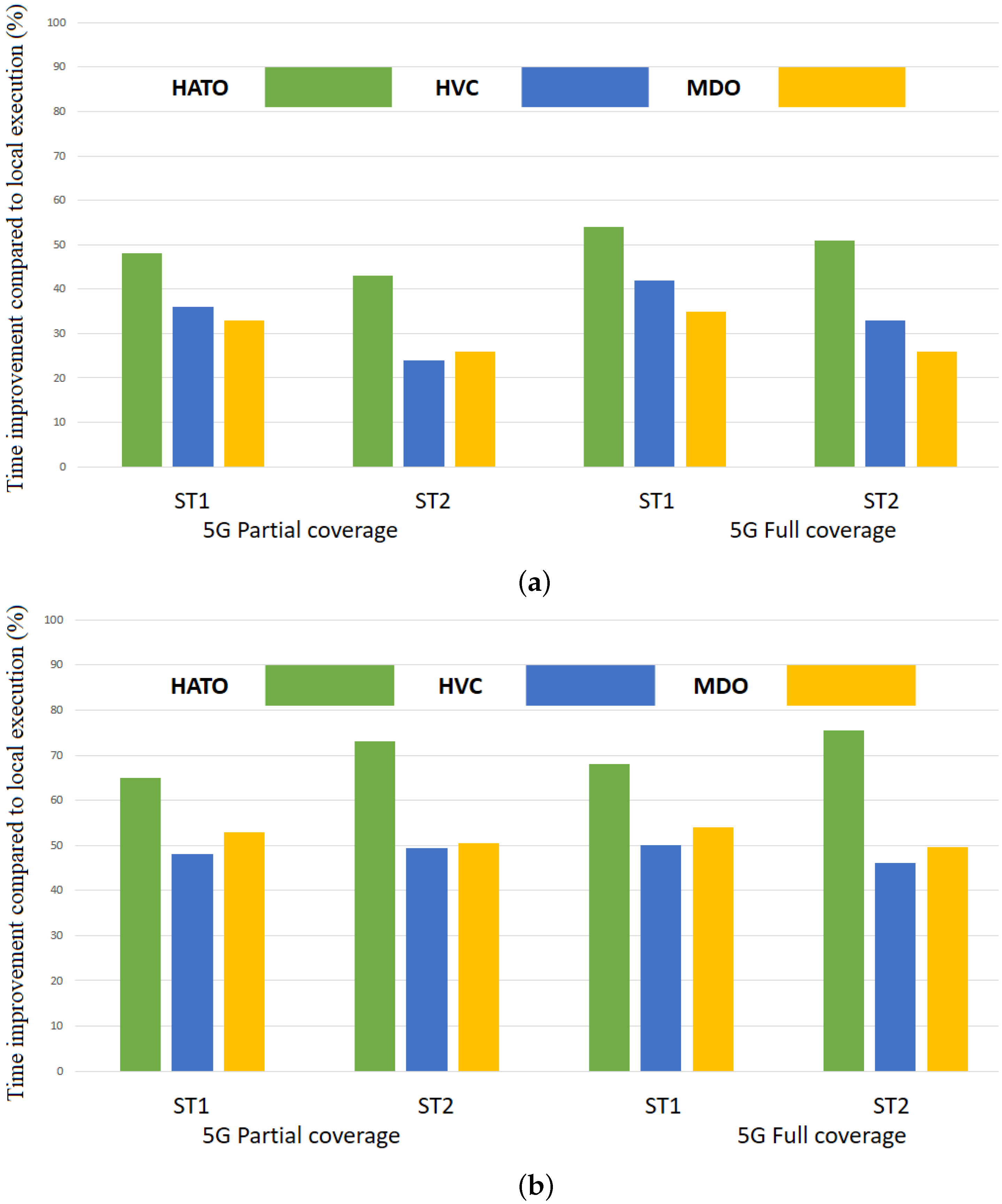
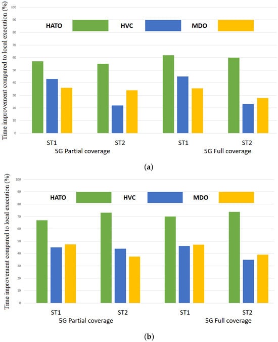
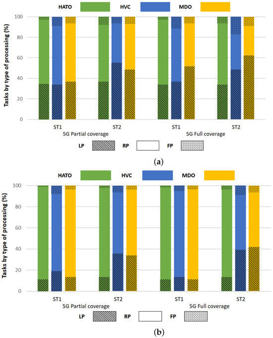
5.2. Execution Time Gain
In this subsection, we analyze the improvement in execution time achieved by the three schemes (HATO, HVC, and MDO) compared to the baseline scenario where all tasks are processed locally by the client. The execution time in our simulation includes both the decision-making time and the time taken to allocate jobs to remote servers.
Figure 5 and Figure 6 depict the results for urban and highway scenarios, respectively, with a 5% margin of error. In urban areas (Figure 5), HATO significantly outperforms HVC and MDO in reducing execution latency, achieving a maximum improvement of 75.4% in high-density urban areas (Figure 5b) under full 5G coverage. In highway scenarios (Figure 6), HATO demonstrates substantial improvement in determining assignment schemes and reducing execution time, with a gain of 74.1% in high-density areas (Figure 6b) under full 5G coverage. In all scenarios, HATO outperforms both HVC and MDO in terms of execution time reduction.
Figure 5.
Evaluation of execution time gain in urban areas: (a) low vehicular density and (b) high vehicular density.
Figure 6.
Evaluation of execution time gain on highways: (a) low vehicular density and (b) high vehicular density.
The superior performance of the HATO scheme can be attributed to the use of 5G connectivity between edge servers and vehicles, which offers significantly faster communication compared to WAVE. By selecting assignments based on factors such as connection time, proximity to servers, and computational resource availability, HATO provides a more effective offloading strategy with fewer task failures and better time efficiency compared to HVC and MDO.
6. Conclusions
In this paper, we proposed the HATO (Hungarian Algorithm for Task Offloading) scheme, specifically designed to address the challenge of task offloading in 5G Vehicular Edge Computing (VEC) systems. The main contribution of this work lies in leveraging the computational power of both edge servers and nearby vehicles, facilitated by 5G connectivity, to efficiently offload and process tasks generated by autonomous vehicles (AVs). By utilizing the Hungarian algorithm, our approach optimizes the allocation of tasks based on contextual information from surrounding nodes, ensuring an effective distribution of computational load. Through extensive simulations in both urban and highway environments, the results demonstrate that HATO significantly outperforms existing approaches such as Hybrid Vehicular Edge Cloud (HVC) and Multi-Decision Based Offloading (MDO). Specifically, HATO showed superior performance in minimizing energy constraint violations, increasing task processing reliability, and improving overall execution time. The zero energy constraint violations observed with HATO further highlight its effectiveness in energy-aware task offloading, a key consideration for non-combustion-powered vehicles.
However, there are limitations to this work that must be acknowledged. First, the assumption of full and partial 5G coverage in both scenarios may not reflect real-world deployment challenges, such as connectivity issues in rural or highly congested areas. Additionally, the Hungarian algorithm, while effective for static or semi-static environments, may require adaptation to handle more dynamic vehicular networks where node availability and context change rapidly. Finally, our approach assumes the availability of an edge server to act as a central control unit, which may not always be feasible in all regions or at all times.
As for future work, we propose several areas of improvement. First, the integration of more dynamic task allocation techniques, such as deep reinforcement learning, could further enhance the adaptability of the system in real-time changing environments. Second, incorporating more robust fault-tolerant mechanisms would improve the system’s reliability, particularly in scenarios where edge servers or assisting vehicles fail unexpectedly. Lastly, exploring the impact of integrating Beyond 5G (B5G) or 6G technologies could provide even greater enhancements in communication speed, reliability, and overall system performance.
Author Contributions
Conceptualization, M.K.B. and O.K.; Methodology, M.K.B., O.K., Y.H. and K.T.; Software, M.K.B.; Validation, M.K.B., O.K. and K.T.; Formal analysis, O.K., Y.H., K.T., S.A. and W.M.; Investigation, S.A. and W.M.; Resources, Y.H., S.A. and W.M.; Data curation, M.K.B.; Writing—original draft, M.K.B. and K.T.; Writing—review & editing, O.K., Y.H., S.A. and W.M.; Supervision, Y.H.; Project administration, Y.H. and W.M. All authors have read and agreed to the published version of the manuscript.
Funding
This research received no external funding.
Data Availability Statement
Data will be shared upon request.
Conflicts of Interest
The authors declare no conflicts of interest.
References
- Parekh, D.; Poddar, N.; Rajpurkar, A.; Chahal, M.; Kumar, N.; Joshi, G.P.; Cho, W. A review on autonomous vehicles: Progress, methods and challenges. Electronics 2022, 11, 2162. [Google Scholar] [CrossRef]
- Dziyauddin, R.A.; Niyato, D.; Luong, N.C.; Izhar, M.A.M.; Hadhari, M.; Daud, S. Computation Offloading and Content Caching Delivery in Vehicular Edge Computing: A Survey. arXiv 2019, arXiv:1912.07803. [Google Scholar]
- Su, Y.S.; Huang, H.; Daim, T.; Chien, P.W.; Peng, R.L.; Akgul, A.K. Assessing the technological trajectory of 5G-V2X autonomous driving inventions: Use of patent analysis. Technol. Forecast. Soc. Chang. 2023, 196, 122817. [Google Scholar] [CrossRef]
- Boukerche, A.; Soto, V. Computation offloading and retrieval for vehicular edge computing. ACM Comput. Surv. 2020, 6. [Google Scholar] [CrossRef]
- Xia, Y.; Zhang, H.; Zhou, X.; Yuan, D. Location-aware and delay-minimizing task offloading in vehicular edge computing networks. IEEE Trans. Veh. Technol. 2023, 72, 16266–16279. [Google Scholar] [CrossRef]
- Salem, A.H.; Damaj, I.W.; Mouftah, H.T. Vehicle as a Computational Resource: Optimizing Quality of Experience for connected vehicles in a smart city. Veh. Commun. 2022, 33, 100432. [Google Scholar] [CrossRef]
- Liu, L.; Feng, J.; Mu, X.; Pei, Q.; Lan, D.; Xiao, M. Asynchronous deep reinforcement learning for collaborative task computing and on-demand resource allocation in vehicular edge computing. IEEE Trans. Intell. Transp. Syst. 2023, 24, 15513–15526. [Google Scholar] [CrossRef]
- Sana, F.; Azad, N.L.; Raahemifar, K. Autonomous vehicle decision-making and control in complex and unconventional scenarios—A review. Machines 2023, 11, 676. [Google Scholar] [CrossRef]
- Xu, D.; Li, Y.; Chen, X.; Li, J.; Hui, P.; Chen, S.; Crowcroft, J. A survey of opportunistic offloading. IEEE Commun. Surv. Tutorials 2018, 20, 2198–2236. [Google Scholar] [CrossRef]
- Yan, R.; Gu, Y.; Zhang, Z.; Jiao, S. Vehicle Trajectory Prediction Method for Task Offloading in Vehicular Edge Computing. Sensors 2023, 23, 7954. [Google Scholar] [CrossRef]
- Feng, J.; Liu, Z.; Wu, C.; Ji, Y. Mobile edge computing for the internet of vehicles: Offloading framework and job scheduling. IEEE Veh. Technol. Mag. 2018, 14, 28–36. [Google Scholar] [CrossRef]
- de Souza, A.B.; Rego, P.A.L.; Carneiro, T.; Rocha, P.H.G.; de Souza, J.N. A context-oriented framework for computation offloading in vehicular edge computing using WAVE and 5G networks. Veh. Commun. 2021, 32, 100389. [Google Scholar]
- Chen, C.; Chen, L.; Liu, L.; He, S.; Yuan, X.; Lan, D.; Chen, Z. Delay-optimized V2V-based computation offloading in urban vehicular edge computing and networks. IEEE Access 2020, 8, 18863–18873. [Google Scholar] [CrossRef]
- Zhang, X.; Zhang, J.; Liu, Z.; Cui, Q.; Tao, X.; Wang, S. MDP-based task offloading for vehicular edge computing under certain and uncertain transition probabilities. IEEE Trans. Veh. Technol. 2020, 69, 3296–3309. [Google Scholar] [CrossRef]
- Guo, H.; Liu, J.; Ren, J.; Zhang, Y. Intelligent task offloading in vehicular edge computing networks. IEEE Wirel. Commun. 2020, 27, 126–132. [Google Scholar] [CrossRef]
- de Souza, A.B.; Rego, P.A.L.; Chamola, V.; Carneiro, T.; Rocha, P.H.G.; de Souza, J.N. A bee colony-based algorithm for task offloading in vehicular edge computing. IEEE Syst. J. 2023, 17, 4165–4176. [Google Scholar] [CrossRef]
- Dai, F.; Liu, G.; Mo, Q.; Xu, W.; Huang, B. Task offloading for vehicular edge computing with edge-cloud cooperation. World Wide Web 2022, 25, 1999–2017. [Google Scholar] [CrossRef]
- Dai, X.; Xiao, Z.; Jiang, H.; Lui, J.C. UAV-assisted task offloading in vehicular edge computing networks. IEEE Trans. Mob. Comput. 2023, 23, 2520–2534. [Google Scholar] [CrossRef]
- Karimi, E.; Chen, Y.; Akbari, B. Task offloading in vehicular edge computing networks via deep reinforcement learning. Comput. Commun. 2022, 189, 193–204. [Google Scholar] [CrossRef]
- Qi, Y.; Zhou, Y.; Liu, Y.F.; Liu, L.; Pan, Z. Traffic-aware task offloading based on convergence of communication and sensing in vehicular edge computing. IEEE Internet Things J. 2021, 8, 17762–17777. [Google Scholar] [CrossRef]
- Fan, W.; Su, Y.; Liu, J.; Li, S.; Huang, W.; Wu, F.; Liu, Y.A. Joint task offloading and resource allocation for vehicular edge computing based on V2I and V2V modes. IEEE Trans. Intell. Transp. Syst. 2023, 24, 4277–4292. [Google Scholar] [CrossRef]
- Sun, Y.; Wu, Z.; Meng, K.; Zheng, Y. Vehicular task offloading and job scheduling method based on cloud-edge computing. IEEE Trans. Intell. Transp. Syst. 2023, 24, 14651–14662. [Google Scholar] [CrossRef]
- Fan, W.; Hua, M.; Zhang, Y.; Su, Y.; Li, X.; Tang, B.; Liu, Y.A. Game-based task offloading and resource allocation for vehicular edge computing with edge-edge cooperation. IEEE Trans. Veh. Technol. 2023, 72, 7857–7870. [Google Scholar] [CrossRef]
- Cui, T.; Hu, Y.; Shen, B.; Chen, Q. Task offloading based on Lyapunov optimization for MEC-assisted vehicular platooning networks. Sensors 2019, 19, 4974. [Google Scholar] [CrossRef] [PubMed]
- Rahman, A.U.; Malik, A.W.; Sati, V.; Chopra, A.; Ravana, S.D. Context-aware opportunistic computing in vehicle-to-vehicle networks. Veh. Commun. 2020, 24, 100236. [Google Scholar] [CrossRef]
- Zhang, J.; Guo, H.; Liu, J.; Zhang, Y. Task offloading in vehicular edge computing networks: A load-balancing solution. IEEE Trans. Veh. Technol. 2019, 69, 2092–2104. [Google Scholar] [CrossRef]
- Li, X.; Dang, Y.; Aazam, M.; Peng, X.; Chen, T.; Chen, C. Energy-efficient computation offloading in vehicular edge cloud computing. IEEE Access 2020, 8, 37632–37644. [Google Scholar] [CrossRef]
- Maleki, H.; Başaran, M.; Durak-Ata, L. Handover-enabled dynamic computation offloading for vehicular edge computing networks. IEEE Trans. Veh. Technol. 2023, 72, 9394–9405. [Google Scholar] [CrossRef]
- Mills-Tettey, G.A.; Stentz, A.; Dias, M.B. The Dynamic Hungarian Algorithm for the Assignment Problem with Changing Costs; Technical Report CMU-RI-TR-07-27; Robotics Institute: Pittsburgh, PA, USA, 2007. [Google Scholar]
- Samiei, A.; Sun, L. Distributed Matching-By-Clone Hungarian-Based Algorithm for Task Allocation of Multi-Agent Systems. IEEE Trans. Robot. 2023, 40, 851–863. [Google Scholar] [CrossRef]
- Tahir, M.N.; Katz, M.; Javed, Z. Poster: Connected Vehicles using Short-range (Wi-Fi & IEEE 802.11 p) and Long-range Cellular Networks (LTE & 5G). In Proceedings of the 2021 IEEE 29th International Conference on Network Protocols (ICNP), Dallas, TX, USA, 1–5 November 2021; IEEE: Piscataway, NJ, USA, 2021; pp. 1–2. [Google Scholar]
- Campanile, L.; Gribaudo, M.; Iacono, M.; Marulli, F.; Mastroianni, M. Computer network simulation with ns-3: A systematic literature review. Electronics 2020, 9, 272. [Google Scholar] [CrossRef]
- Mezzavilla, M.; Zhang, M.; Polese, M.; Ford, R.; Dutta, S.; Rangan, S.; Zorzi, M. End-to-end simulation of 5G mmWave networks. IEEE Commun. Surv. Tutor. 2018, 20, 2237–2263. [Google Scholar] [CrossRef]
- Krajzewicz, D. Traffic simulation with SUMO–simulation of urban mobility. In Fundamentals of Traffic Simulation; Springer: Berlin/Heidelberg, Germany, 2010; pp. 269–293. [Google Scholar]
Disclaimer/Publisher’s Note: The statements, opinions and data contained in all publications are solely those of the individual author(s) and contributor(s) and not of MDPI and/or the editor(s). MDPI and/or the editor(s) disclaim responsibility for any injury to people or property resulting from any ideas, methods, instructions or products referred to in the content. |
© 2024 by the authors. Licensee MDPI, Basel, Switzerland. This article is an open access article distributed under the terms and conditions of the Creative Commons Attribution (CC BY) license (https://creativecommons.org/licenses/by/4.0/).
